Determination of the Porosity Distribution during an Erosion Test Using a Coaxial Line Cell
Abstract
1. Introduction
2. Experimental Setup
2.1. General Setup
2.2. Coaxial Cell
2.3. TDR Device
2.4. Materials
3. Spatial TDR: From TDR Trace to Porosity Profile
3.1. Principle
3.2. Computation of the Capacitance Profile
3.3. Computation of the Dielectric Permittivity Profile
3.4. Computation of the Porosity Profile
4. Validation of the Forward Model
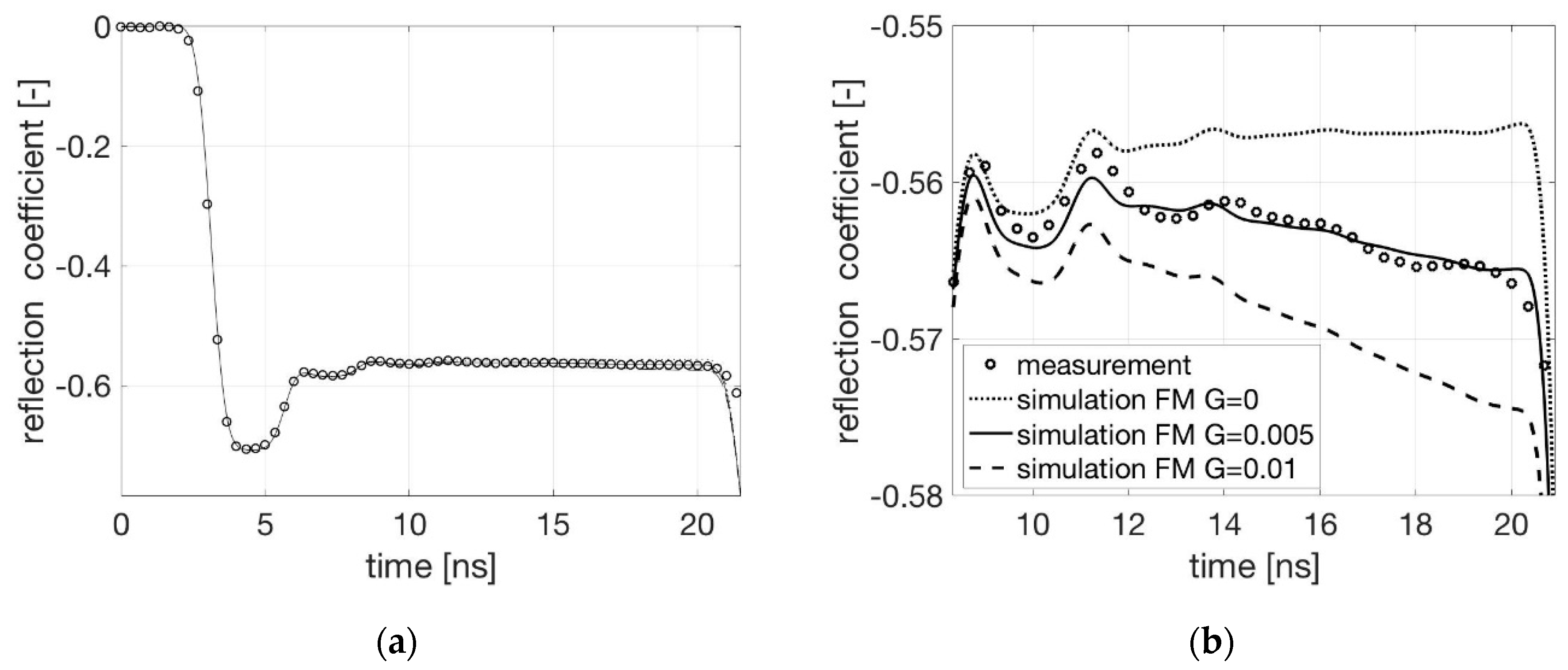
4.1. Calibration of the Forward Model
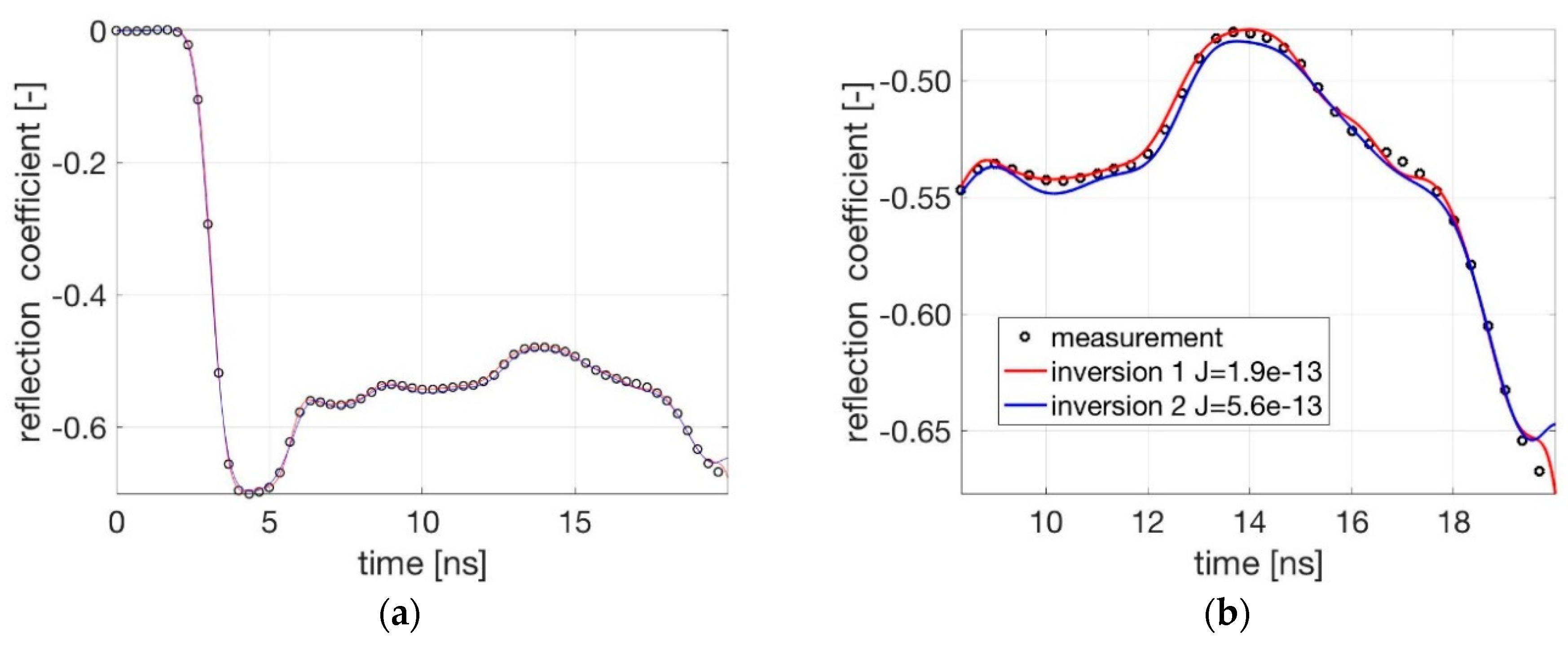
4.2. Validation of the Inversion
5. Computation of Porosity Profiles during Erosion Experiments
6. Conclusions
Author Contributions
Funding
Conflicts of Interest
References
- Bonelli, S. Erosion of Geomaterials; John Wiley & Sons: New York, NY, USA, 2012. [Google Scholar]
- Harshani, H.; Galindo-Torres, S.; Scheuermann, A. Pore scale measurements for onset of contact erosion. J. Comput. Geotech. 2017, submitted. [Google Scholar]
- Beguin, R.; Philippe, P.; Faure, Y.-H. Pore-scale flow measurements at the interface between a sandy layer and a model porous medium: Application to statistical modeling of contact erosion. J. Hydraul. Eng. 2012, 139, 1–11. [Google Scholar] [CrossRef]
- Ke, L.; Takahashi, A. Triaxial erosion test for evaluation of mechanical consequences of internal erosion. Geotech. Test. J. 2014, 37, 1–18. [Google Scholar] [CrossRef]
- Rochim, A.; Marot, D.; Sibille, L.; Thao Le, V. Effects of Hydraulic Loading History on Suffusion Susceptibility of Cohesionless Soils. J. Geotech. Geoenviron. Eng. 2017, 143. [Google Scholar] [CrossRef]
- Ke, L.; Takahashi, A. Strength reduction of cohesionless soil due to internal erosion induced by one-dimensional upward seepage flow. Soils Found. 2012, 52, 698–711. [Google Scholar] [CrossRef]
- Rosenbrand, E.; Dijkstra, J. Application of image subtraction data to quantify suffusion. Géotech. Lett. 2012, 2, 37–41. [Google Scholar] [CrossRef]
- Fonseca, J.; Sim, W.; Shire, T.; O’sullivan, C. Microstructural analysis of sands with varying degrees of internal stability. Géotechnique 2014, 64, 405. [Google Scholar] [CrossRef]
- Homberg, U.; Baum, D.; Prohaska, S.; Kalbe, U.; Witt, K. Automatic Extraction and Analysis of Realistic Pore Structures from muCT Data for Pore Space Characterization of Graded Soil. In Proceedings of the 6th International Conference on Scour and Erosion (ICSE-6), Paris, France, 27–31 August 2012; pp. 345–352. [Google Scholar]
- Fonseca, J. The Evolution of Morphology and Fabric of a Sand during Shearing. Ph.D. Thesis, Department of Civil and Environmental Engineering, Imperial College London, London, UK, 2011. [Google Scholar]
- Sibille, L.; Marot, D.; Sail, Y. A description of internal erosion by suffusion and induced settlements on cohesionless granular matter. Acta Geotech. 2015, 10, 735–748. [Google Scholar] [CrossRef]
- Alexis, A.; Thomas, P. Experimental bench for study of settling-consolidation soil formation. Geotech. Test. J. 2004, 27, 557–567. [Google Scholar]
- Robinson, D.; Jones, S.B.; Wraith, J.; Or, D.; Friedman, S. A review of advances in dielectric and electrical conductivity measurement in soils using time domain reflectometry. Vadose Zone J. 2003, 2, 444–475. [Google Scholar] [CrossRef]
- Bore, T.; Schwing, M.; Serna, M.L.; Speer, J.; Scheuermann, A.; Wagner, N. A New Broadband Dielectric Model for Simultaneous Determination of Water Saturation and Porosity. IEEE Trans. Geosci. Remote Sens. 2018, 56, 4702–4713. [Google Scholar] [CrossRef]
- Topp, G.; Davis, J.; Annan, A. Electromagnetic determination of soil water content using TDR: I. Applications to wetting fronts and steep gradients. Soil Sci. Soc. Am. J. 1982, 46, 672–678. [Google Scholar] [CrossRef]
- Evett, S.; Parkin, G. Advances in soil water content sensing. Vadose Zone J. 2005, 4, 986–991. [Google Scholar] [CrossRef]
- Cataldo, A.; Cannazza, G.; De Benedetto, E.; Tarricone, L.; Cipressa, M. Metrological assessment of TDR performance for moisture evaluation in granular materials. Measurement 2009, 42, 254–263. [Google Scholar] [CrossRef]
- Suchorab, Z.; Widomski, M.; Łagód, G.; Barnat-Hunek, D.; Majerek, D. A Noninvasive TDR Sensor to Measure the Moisture Content of Rigid Porous Materials. Sensors 2018, 18, 3935. [Google Scholar] [CrossRef] [PubMed]
- Drnevich, V.P.; Ashmawy, A.K.; Yu, X.; Sallam, A.M. Time domain reflectometry for water content and density of soils: Study of soil-dependent calibration constants. Can. Geotech. J. 2005, 42, 1053–1065. [Google Scholar] [CrossRef]
- Schlaeger, S. Inversion of TDR Measurements to Reconstruct Spatially Distributed Geophysical Ground Parameters. Ph.D. Thesis, University of Karlsruhe, Karlsruhe, Germany, 2002. (In German). [Google Scholar]
- Schlaeger, S. A fast TDR-inversion technique for the reconstruction of spatial soil moisture content. Hydrol. Earth Syst. Sci. Discuss. 2005, 9, 481–492. [Google Scholar] [CrossRef]
- Scheuermann, A.; Huebner, C.; Schlaeger, S.; Wagner, N.; Becker, R.; Bieberstein, A. Spatial time domain reflectometry and its application for the measurement of water content distributions along flat ribbon cables in a full-scale levee model. Water Resources Res. 2009, 45. [Google Scholar] [CrossRef]
- Scheuermann, A. Determination of porosity distributions of water saturated granular media using Spatial Time Domain Reflectometry (Spatial TDR). Geotech. Test. J. 2012, 35, 441–450. [Google Scholar] [CrossRef]
- Robert, A. Dielectric permittivity of concrete between 50 MHz and 1 GHz and GPR measurements for building materials evaluation. J. Appl. Geophys. 1998, 40, 89–94. [Google Scholar] [CrossRef]
- Kaatze, U.; Feldman, Y. Broadband dielectric spectrometry of liquids and biosystems. Meas. Sci. Technol. 2005, 17, R17. [Google Scholar] [CrossRef]
- Wagner, N.; Bore, T.; Robinet, J.C.; Coelho, D.; Taillade, F.; Delepine-Lesoille, S. Dielectric relaxation behavior of Callovo-Oxfordian clay rock: A hydraulic-mechanical-electromagnetic coupling approach. J. Geophys. Res. Solid Earth 2013, 118, 4729–4744. [Google Scholar] [CrossRef]
- Bore, T.; Bhuyan, H.; Bittner, T.; Murgan, V.; Wagner, N.; Scheuermann, A. A large coaxial reflection cell for broadband dielectric characterization of coarse-grained materials. Meas. Sci. Technol. 2017, 29, 015602. [Google Scholar] [CrossRef]
- Available online: https://sequid.de/en/products/tdr/stdr-65-en (accessed on 10 January 2019).
- Tomlinson, S.S.; Vaid, Y. Seepage forces and confining pressure effects on piping erosion. Can. Geotech. J. 2000, 37, 1–13. [Google Scholar] [CrossRef]
- Scheuermann, A.; Muehlhaus, H.-B.; Bittner, T.; Bieberstein, A. Measurement of porosity distributions during erosion experiments using spatial time domain reflectometry (spatial tdr). In Proceedings of the 6th International Conference on Scour and Erosion (ICSE-6), Paris, France, 27–31 August 2012; pp. 94–101. [Google Scholar]
- Becker, R. Spatial time domain reflectometry for monitoring transient moisture profiles. Ph.D. Thesis, Institute for Water and River Basin Management, Karlsruhe University, Karlsruhe, Germany, 2004. [Google Scholar]
- Huebner, C.; Schlaeger, S.; Becker, R.; Scheuermann, A.; Brandelik, A.; Schaedel, W.; Schuhmann, R. Advanced measurement methods in time domain reflectometry for soil moisture determination. In Electromagnetic Aquametry; Springer: Berlin/Heidelberg, Germany, 2005; pp. 317–347. [Google Scholar]
- Todoroff, P.; Luk, J.L.S. Calculation of in situ soil water content profiles from TDR signal traces. Meas. Sci. Technol. 2001, 12, 27. [Google Scholar] [CrossRef]
- Nelder, J.A.; Mead, R. A simplex method for function minimization. Comput. J. 1965, 7, 308–313. [Google Scholar] [CrossRef]
- Pozar, D.M. Microwave Engineering, 4th ed.; John Wiley & Sons: Hoboken, NJ, USA, 2012. [Google Scholar]
- Capparelli, G.; Spolverino, G.; Greco, R. Experimental Determination of TDR Calibration Relationship for Pyroclastic Ashes of Campania (Italy). Sensors 2018, 18, 3727. [Google Scholar] [CrossRef]
- Sihvola, A.H. Electromagnetic Mixing Formulas and Applications; IET: Stevenage, UK, 1999. [Google Scholar]
- Wagner, N.; Daschner, F.; Scheuermann, A.; Schwing, M. Analysis of coupled hydraulic and dielectric material properties of soils: A multivariate approach. In Proceedings of the 5th International Workshop on Impedance Spectroscopy (IWIS 2012), Chemnitz, Germany, 26–28 September 2012. [Google Scholar]
- Karkkainen, K.; Sihvola, A.; Nikoskinen, K. Analysis of a three-dimensional dielectric mixture with finite difference method. IEEE Trans. Geosci. Remote Sens. 2001, 39, 1013–1018. [Google Scholar] [CrossRef]
- Robinson, D.; Friedman, S. The effective permittivity of dense packings of glass beads, quartz sand and their mixtures immersed in different dielectric backgrounds. J. Non-Cryst. Solids 2002, 305, 261–267. [Google Scholar] [CrossRef]
- Lichtenecker, K. Die Herleitung des logarithmischen Mischungsgesetzes aus allgemeinen Prinzipien der stationären Strömung. Physikalische Zeitschrift 1931, 32, 255–260. [Google Scholar]
- Bore, T.; Wagner, N.; Delepine Lesoille, S.; Taillade, F.; Six, G.; Daout, F.; Placko, D. Error analysis of clay-rock water content estimation with broadband high-frequency electromagnetic sensors—Air gap effect. Sensors 2016, 16, 554. [Google Scholar] [CrossRef] [PubMed]
- Sen, P.; Scala, C.; Cohen, M. A self-similar model for sedimentary rocks with application to the dielectric constant of fused glass beads. Geophysics 1981, 46, 781–795. [Google Scholar] [CrossRef]
- Johnson, R.H.; Poeter, E.P. Iterative use of the Bruggeman-Hanai-Sen mixing model to determine water saturations in sand. Geophysics 2005, 70, K33–K38. [Google Scholar] [CrossRef]
- Kaatze, U. Reference liquids for the calibration of dielectric sensors and measurement instruments. Meas. Sci. Technol. 2007, 18, 967. [Google Scholar] [CrossRef]











| Application | Material | Diameter Inner/Outer | Spinner Component |
|---|---|---|---|
| Outer tube | Copper | 151.9/155.6 mm | 6 1/8” EIA outer conductor |
| Inner tube before constriction | Copper | 64.0/66.0 mm | 6 1/8” EIA inner conductor |
| Inner tube after constriction | Copper | 38.8/41.3 mm | 1 5/8” EIA outer conductor |
| Diameter | Roundness | Colour | Grain Density | Application |
|---|---|---|---|---|
| 0.3–0.425 mm | ≥70% | Clear | 25 kN/m3 | Base II |
| 0.425–0.6 mm | ≥70% | Red | 25 kN/m3 | Base I |
| 2.0 mm | 90% | Clear | 25 kN/m3 | Subbase filter |
| 6.0 mm | ≥90% | Clear | 25 kN/m3 | Filter D |
| 8.0 mm | ≥90% | Clear | 25 kN/m3 | Filter A |
© 2019 by the authors. Licensee MDPI, Basel, Switzerland. This article is an open access article distributed under the terms and conditions of the Creative Commons Attribution (CC BY) license (http://creativecommons.org/licenses/by/4.0/).
Share and Cite
Bittner, T.; Bajodek, M.; Bore, T.; Vourc’h, E.; Scheuermann, A. Determination of the Porosity Distribution during an Erosion Test Using a Coaxial Line Cell. Sensors 2019, 19, 611. https://doi.org/10.3390/s19030611
Bittner T, Bajodek M, Bore T, Vourc’h E, Scheuermann A. Determination of the Porosity Distribution during an Erosion Test Using a Coaxial Line Cell. Sensors. 2019; 19(3):611. https://doi.org/10.3390/s19030611
Chicago/Turabian StyleBittner, Tilman, Mathieu Bajodek, Thierry Bore, Eric Vourc’h, and Alexander Scheuermann. 2019. "Determination of the Porosity Distribution during an Erosion Test Using a Coaxial Line Cell" Sensors 19, no. 3: 611. https://doi.org/10.3390/s19030611
APA StyleBittner, T., Bajodek, M., Bore, T., Vourc’h, E., & Scheuermann, A. (2019). Determination of the Porosity Distribution during an Erosion Test Using a Coaxial Line Cell. Sensors, 19(3), 611. https://doi.org/10.3390/s19030611

