Dielectric Spectroscopy Using Dual Reflection Analysis of TDR Signals †
Abstract
1. Introduction
2. Materials and Methods
2.1. Theoretical Framework of DRA
2.2. Signal Processing and Parameter Calibration for DRA Implementation
2.3. Numerical Simulation Parameters
2.4. Experimental Setup
3. Results and Discussion
3.1. DRA in Non-Dispersive MUTs
3.2. DRA in Dispersive MUTs
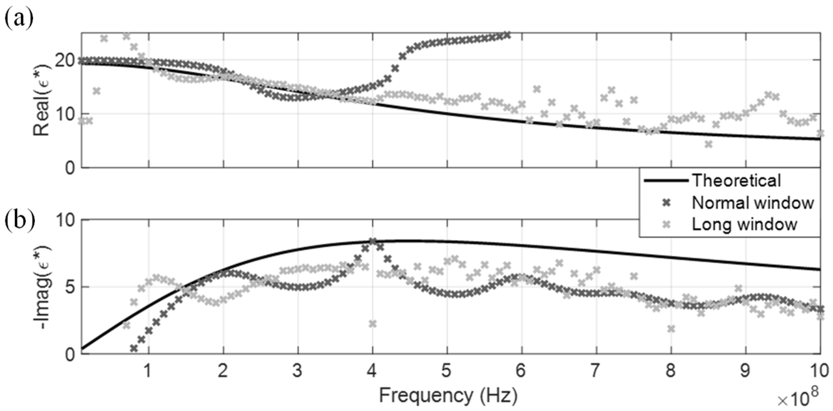
3.3. Long-Time-Window (LTW) Selection for Dispersive Signals
4. Conclusions
Author Contributions
Funding
Conflicts of Interest
References
- Lin, C.-P. Frequency domain versus travel time analyses of TDR waveforms for soil moisture measurements. Soil Sci. Soc. Am. J. 2003, 67, 720–729. [Google Scholar] [CrossRef]
- Friel, R.; Or, D. Frequency analysis of time-domain reflectometry (TDR) with application to dielectric spectroscopy of soil constituents. Geophysics 1999, 64, 707–718. [Google Scholar] [CrossRef]
- Heimovaara, T.J. Frequency domain analysis of time domain reflectometry waveforms: 1. Measurement of the complex dielectric permittivity of soils. Water Resour. Res. 1994, 30, 189–199. [Google Scholar] [CrossRef]
- Lin, C.-P.; Ngui, Y.J.; Lin, C.-H. TDR Phase Velocity Analysis for Measuring Apparent Dielectric Spectrum of Soil. In Proceedings of the International Geophysical Conference, Qingdao, China, 17–20 April 2017; Society of Exploration Geophysicists and Chinese Petroleum Society: Qingdao, China, 2017; pp. 993–996. [Google Scholar]
- Topp, G.C.; Davis, J.L.; Annan, A.P. Electromagnetic determination of soil water content: Measurements in coaxial transmission lines. Water Resour. Res. 1980, 16, 574–582. [Google Scholar] [CrossRef]
- Robinson, D.A.; Jones, S.B.; Wraith, J.M.; Or, D.; Friedman, S.P. A Review of Advances in Dielectric and Electrical Conductivity Measurement in Soils Using Time Domain Reflectometry. Vadose Zone J. 2003, 2, 32. [Google Scholar] [CrossRef]
- Chung, C.-C.; Lin, C.-P. Apparent Dielectric Constant and Effective Frequency of TDR Measurements: Influencing Factors and Comparison. Vadose Zone J. 2009, 8, 548. [Google Scholar] [CrossRef]
- Topp, G.C.; Zegelin, S.; White, I. Impacts of the Real and Imaginary Components of Relative Permittivity on Time Domain Reflectometry Measurements in Soils. Soil Sci. Soc. Am. J. 2000, 64, 1244–1252. [Google Scholar] [CrossRef]
- Lin, C.-P.; Ngui, Y.J.; Lin, C.-H. A novel TDR signal processing technique for measuring apparent dielectric spectrum. Meas. Sci. Technol. 2017, 28, 015501. [Google Scholar] [CrossRef]
- Lin, C.-P.; Ngui, Y.J. Robust Extraction of Frequency-Dependent Dielectric Properties from Time Domain Reflectometry. In Proceedings of the 2018 12th International Conference on Electromagnetic Wave Interaction with Water and Moist Substances (ISEMA), Lublin, Poland, 4–7 June 2018; IEEE: Lublin, Poland, 2018; pp. 1–9. [Google Scholar]
- Giese, K.; Tiemann, R. Determination of the complex permittivity from thin-sample time domain reflectometry improved analysis of the step response waveform. Adv. Mol. Relax. Process. 1975, 7, 45–59. [Google Scholar] [CrossRef]
- Nozaki, R.; Bose, T.K. Broadband complex permittivity measurements by time-domain spectroscopy. IEEE Trans. Instrum. Meas. 1990, 39, 945–951. [Google Scholar] [CrossRef]
- Cataldo, A.; Catarinucci, L.; Tarricone, L.; Attivissimo, F.; Trotta, A. A frequency-domain method for extending TDR performance in quality determination of fluids. Meas. Sci. Technol. 2007, 18, 675–688. [Google Scholar] [CrossRef]
- Sato, T.; Buchner, R. Dielectric relaxation spectroscopy of 2-propanol–water mixtures. J. Chem. Phys. 2003, 118, 4606–4613. [Google Scholar] [CrossRef]
- Logsdon, S.D. Soil Dielectric Spectra from Vector Network Analyzer Data. Soil Sci. Soc. Am. J. 2005, 69, 983–989. [Google Scholar] [CrossRef]
- Lin, C.-P.; Ngui, Y.J.; Lin, C.-H. Multiple Reflection Analysis of TDR Signal for Complex Dielectric Spectroscopy. IEEE Trans. Instrum. Meas. 2018, 67, 2649–2661. [Google Scholar] [CrossRef]
- Elmore, W.C.; Heald, M.A. Physics of Waves; Dover Publications: New York, NY, USA, 1985; ISBN 978-0-486-64926-9. [Google Scholar]
- Lin, C.-P.; Tang, S.-H. Comprehensive wave propagation model to improve TDR interpretations for geotechnical applications. Geotech. Test. J. 2007, 30, 90–97. [Google Scholar]
- Cole, K.S.; Cole, R.H. Dispersion and Absorption in Dielectrics I. Alternating Current Characteristics. J. Chem. Phys. 1941, 9, 341–351. [Google Scholar] [CrossRef]
- Skierucha, W.; Wilczek, A. A FDR Sensor for Measuring Complex Soil Dielectric Permittivity in the 10–500 MHz Frequency Range. Sensors 2010, 10, 3314–3329. [Google Scholar] [CrossRef] [PubMed]
- Hasted, J.B. Aqueous Dielectrics; Studies in Chemical Physics; Chapman and Hall: New York, NY, USA, 1973. [Google Scholar]















| MUT | |||||
|---|---|---|---|---|---|
| Distilled water [2] | 80.20 | 4.22 | 17.4 GHz | 0.0125 | 0 μS/cm |
| Tap water [2] | 78.54 | 4.22 | 17 GHz | 0.0125 | 300 μS/cm |
| Acetone [20] | 21.20 | 1.90 | 47.65 GHz | 0 | 0 μS/cm |
| Air [16] | 1.00 | 1.00 | - | 0 | 0 μS/cm |
| Methanol [20] | 33.64 | 5.70 | 3.002 GHz | 0 | 0 μS/cm |
| Ethanol [21] | 25.50 | 4.25 | 0.782 GHz | 0 | 0 μS/cm |
| Isopropanol [14] | 19.34 | 2.48 | 0.448 GHz | 0 | 0 μS/cm |
| Butanol [1] | 17.70 | 3.30 | 0.274 GHz | 0 | 0 μS/cm |
© 2019 by the authors. Licensee MDPI, Basel, Switzerland. This article is an open access article distributed under the terms and conditions of the Creative Commons Attribution (CC BY) license (http://creativecommons.org/licenses/by/4.0/).
Share and Cite
Ngui, Y.J.; Lin, C.-P.; Wu, T.-J. Dielectric Spectroscopy Using Dual Reflection Analysis of TDR Signals. Sensors 2019, 19, 1299. https://doi.org/10.3390/s19061299
Ngui YJ, Lin C-P, Wu T-J. Dielectric Spectroscopy Using Dual Reflection Analysis of TDR Signals. Sensors. 2019; 19(6):1299. https://doi.org/10.3390/s19061299
Chicago/Turabian StyleNgui, Yin Jeh, Chih-Ping Lin, and Tsai-Jung Wu. 2019. "Dielectric Spectroscopy Using Dual Reflection Analysis of TDR Signals" Sensors 19, no. 6: 1299. https://doi.org/10.3390/s19061299
APA StyleNgui, Y. J., Lin, C.-P., & Wu, T.-J. (2019). Dielectric Spectroscopy Using Dual Reflection Analysis of TDR Signals. Sensors, 19(6), 1299. https://doi.org/10.3390/s19061299

