Effect of Catadioptric Component Postposition on Lens Focal Length and Imaging Surface in a Mirror Binocular System
Abstract
:1. Introduction
2. Principle
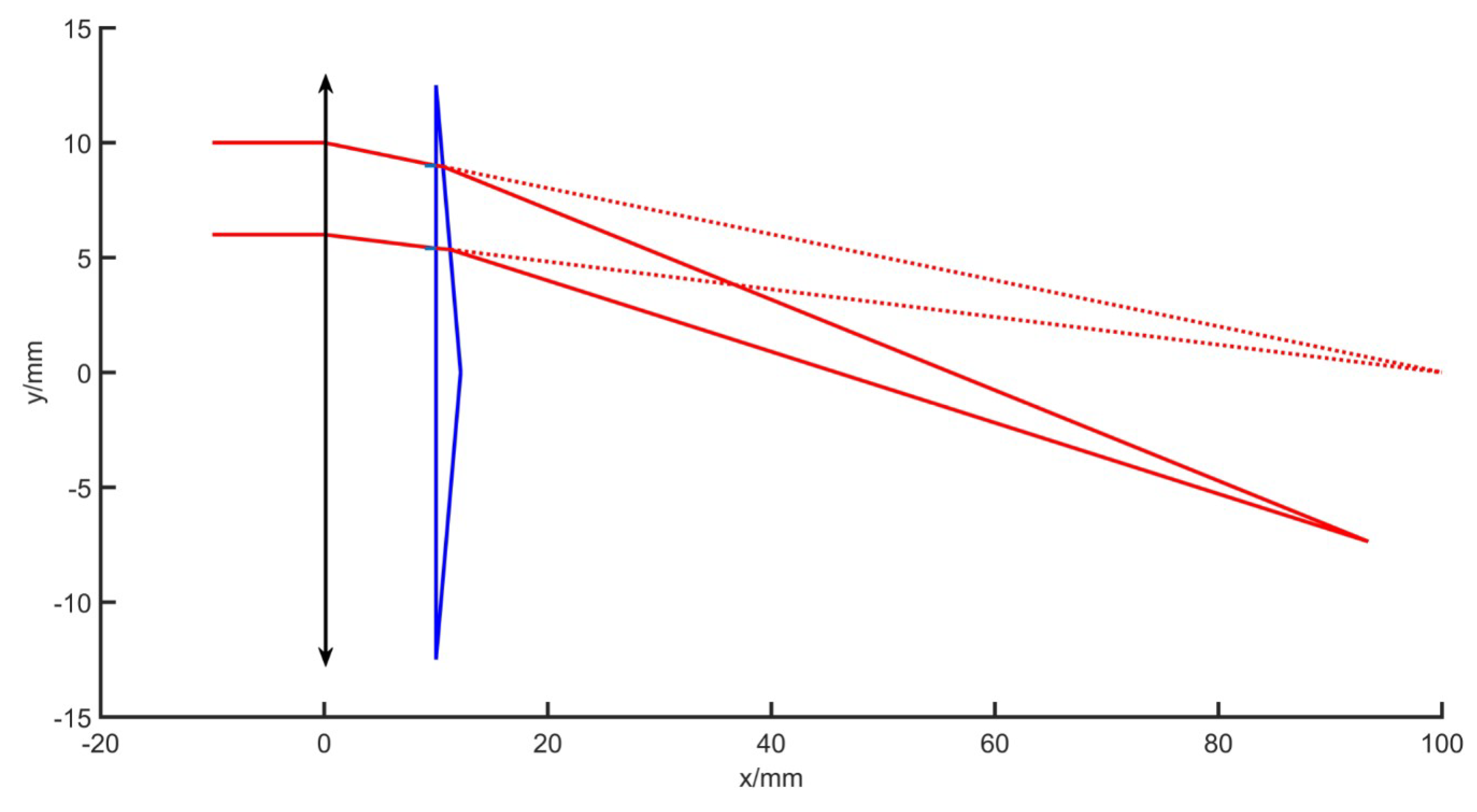
2.1. Influence of Catadioptric System Postposition on the Incident Light Path of Parallel Light
2.2. Analysis of Aliasing of Two Images after Imaging Separation
2.3. Compensation for Focal Length Changes Based on Finite Point Imaging Changes on the Axis
2.4. Imaging Clarity Evaluation
3. Experiment and Analysis
3.1. Construction of the Catadioptric Component Postposition System
3.2. Comparative Analysis of Image Clarity before and after Prism Postposition Focal Length Compensation
3.3. Calibration Experiment of the Catadioptric Component Postposition in Mirror Binocular
3.4. Discussion and Future Work
4. Conclusions
Author Contributions
Funding
Conflicts of Interest
Abbreviations
| CCD | Charge-coupled Device |
References
- Luo, Z.; Zhang, K.; Wang, Z.; Zheng, J.; Chen, Y. 3D pose estimation of large and complicated workpieces based on binocular stereo vision. Appl. Opt. 2017, 56, 6822–6836. [Google Scholar] [CrossRef] [PubMed]
- Ali, M.A.; Lun, A.K. A cascading fuzzy logic with image processing algorithm–based defect detection for automatic visual inspection of industrial cylindrical object’s surface. Int. J. Adv. Manuf. Technol. 2019, 102, 81–94. [Google Scholar] [CrossRef]
- Jin, T.; Jia, H.; Hou, W.; Yamamoto, R.; Nagai, N.; Fujii, Y.; Maru, K.; Ohta, N.; Shimada, K. Evaluating 3D position and velocity of subject in parabolic flight experiment by use of the binocular stereo vision measurement. Chin. Opt. Lett. 2010, 8, 601–605. [Google Scholar] [CrossRef]
- Sanchez-Rodriguez, J.P.; Aceves-Lopez, A. A survey on stereo vision-based autonomous navigation for multi-rotor MUAVs. Robotica 2018, 36, 1225–1243. [Google Scholar] [CrossRef]
- Zhang, J.; Liu, W.; Wu, Y. Novel Technique for Vision-Based UAV Navigation. IEEE Trans. Aerosp. Electron. Syst. 2011, 47, 2731–2741. [Google Scholar] [CrossRef]
- Li, H.; Zhang, X.; Zhu, B.; Fatikow, S. Online Precise Motion Measurement of 3-DOF Nanopositioners Based on Image Correlation. IEEE Trans. Instrum. Meas. 2019, 68, 782–790. [Google Scholar] [CrossRef]
- Rodríguez, J.A.M.; Mejía Alanís, F.C. Binocular self-calibration performed via adaptive genetic algorithm based on laser line imaging. J. Mod. Opt. 2016, 63, 1–14. [Google Scholar] [CrossRef]
- Cui, Y.; Zhou, F.; Wang, Y.; Liu, L.; Gao, H. Precise calibration of binocular vision system used for vision measurement. Opt. Express 2014, 22, 9134–9149. [Google Scholar] [CrossRef]
- Shao, F.; Lin, W.; Jiang, G.; Dai, Q. Models of Monocular and Binocular Visual Perception in Quality Assessment of Stereoscopic Images. IEEE Trans. Comput. Imaging 2016, 2, 123–135. [Google Scholar] [CrossRef]
- Gluckman, J.; Nayar, S.K. Catadioptric Stereo Using Planar Mirrors. Int. J. Comput. Vision 2001, 44, 65–79. [Google Scholar] [CrossRef]
- Feng, X.F.; Pan, D.F. Research on the application of single camera stereo vision sensor in three-dimensional point measurement. J. Mod. Opt. 2015, 62, 1204–1210. [Google Scholar] [CrossRef]
- Yu, L.; Pan, B. Single-camera stereo-digital image correlation with a four-mirror adapter: Optimized design and validation. Opt. Lasers Eng. 2016, 87, 120–128. [Google Scholar] [CrossRef]
- Chai, X.; Zhou, F.; Chen, X. Epipolar constraint of single-camera mirror binocular stereo vision systems. Opt. Eng. 2017, 56, 084103. [Google Scholar] [CrossRef]
- Lee, D.; Kweon, I. A novel stereo camera system by a biprism. IEEE Trans. Rob. Autom. 2000, 16, 528–541. [Google Scholar]
- Xiao, Y.; Lim, K.B. A prism-based single-lens stereovision system: From trinocular to multi-ocular. Image Vision Comput. 2007, 25, 1725–1736. [Google Scholar] [CrossRef]
- Chen, C.Y.; Deng, Q.L.; Sun, W.S.; Cheng, Q.Y.; Lin, B.S.; Su, C.L. Panoramic stereo photography based on single-lens with a double-symmetric prism. Opt. Express 2013, 21, 8474–8482. [Google Scholar] [CrossRef]
- Zhao, Y.; Cui, X.; Wang, Z.; Chen, H.; Fan, H.; Wu, T. Prism-based single-camera system for stereo display. Opt. Express 2013, 55, 063106. [Google Scholar] [CrossRef]
- Chen, C.Y.; Yang, T.T.; Sun, W.S. Optics system design applying a micro-prism array of a single lens stereo image pair. Opt. Express 2008, 16, 15495–15505. [Google Scholar] [CrossRef]
- Zhou, F.; Chen, X.; Tan, H.; Chai, X. Optical-path-difference analysis and compensation for asymmetric binocular catadioptric vision measurement. Measurement 2017, 109, 233–241. [Google Scholar] [CrossRef]
- Yu, L.; Wei, Q.; Jiang, H.; Zhang, T.; Wang, C.; Zhu, R. Design of mid-wave infrared solid catadioptric optical system. In Proceedings of the 2013 IEEE Third International Conference on Information Science and Technology (ICIST), Yangzhou, China, 23–25 March 2013; pp. 1434–1436. [Google Scholar]
- Hagimori, H. Change of optical design thought about focusing of zoom lens. SPIE Opt. Eng. Appl. 2015, 9580, 95800J. [Google Scholar]
- Shen, T.C.; Drost, R.J.; Sadler, B.M.; Rzasa, J.R.; Davis, C.C. Omnidirectional beacon-localization using a catadioptric system. Opt. Express 2016, 24, 6931–6944. [Google Scholar] [CrossRef] [PubMed]
- Gagnon, Y.L.; Speiser, D.I.; Johnsen, S. Simplifying numerical ray tracing for characterization of optical systems. Appl. Opt. 2014, 21, 4784–4790. [Google Scholar] [CrossRef] [PubMed]
- Zhang, Z. A Flexible New Technique for Camera Calibration. IEEE Trans. Pattern Anal. Mach. Intell. 2000, 22, 1330–1334. [Google Scholar] [CrossRef]
- Liu, Z.; Laganière, R. Phase congruence measurement for image similarity assessment. Pattern Recognit. Lett. 2007, 28, 166–172. [Google Scholar] [CrossRef]
- Horita, Y.; Arata, S.; Murai, T. No-reference image quality assessment for JPEG/JPEG2000 coding. In Proceedings of the 12th European Signal Processing Conference, Vienna, Austria, 6–10 September 2004; pp. 1301–1304. [Google Scholar]
- Bosse, S.; Maniry, D.; Müller, K.R.; Wiegand, T.; Samek, W. Deep Neural Networks for No-Reference and Full-Reference Image Quality Assessment. IEEE Trans. Image Process. 2017, 101, 206–219. [Google Scholar] [CrossRef] [PubMed]
- Lv, X.; Wang, Z.J. Reduced-reference image quality assessment based on perceptual image hashing. In Proceedings of the 16th IEEE International Conference on Image Processing (ICIP), Cairo, Egypt, 7–10 November 2009; pp. 4361–4364. [Google Scholar]
- Bovik, A.C. Automatic Prediction of Perceptual Image and Video Quality. Proc. IEEE 2013, 101, 2008–2024. [Google Scholar]
- Tian, Y.; Hu, H.; Cui, H.; Yang, S.; Qi, J.; Xu, Z.; Li, L. Three-dimensional surface microtopography recovery from a multifocus image sequence using an omnidirectional modified Laplacian operator with adaptive window size. Appl. Opt. 2007, 56, 6300–6310. [Google Scholar] [CrossRef]
- Martinez, J.; Pistonesi, S.; Maciel, M.C.; Flesia, A.G. Multi-scale fidelity measure for image fusion quality assessment. Inf. Fusion 2019, 50, 197–211. [Google Scholar] [CrossRef]
- Rodríguez, J.A.M. Microscope self-calibration based on micro laser line imaging and soft computing algorithms. Opt. Lasers Eng. 2018, 105, 75–85. [Google Scholar] [CrossRef]





















| Number | Type | Radius | Thickness | Material | Aperture |
|---|---|---|---|---|---|
| 0 | −∞ | ∞ | − | − | |
| 1 | Standard | ∞ | − | ||
| 2 | Standard | Glass(BK7) | |||
| 3 | Standard | − | |||
| 4 | Non-sequence model | ∞ | − | Glass(BK7) | 12.321 |
| 5 | Standard | ∞ | 0 | − |
| D/mm | D/mm | f/mm | d/mm | F’/mm | |
|---|---|---|---|---|---|
| 25 | 25 | 100 | 10 | 20 | |
| 25 | 25 | 100 | 10 | 10 | |
| 25 | 25 | 100 | 10 | ||
| 20 | 25 | 100 | 10 | 10 | |
| 25 | 25 | 100 | 20 | 10 |
| Number | Type | Radius | Thickness | Material | Aperture |
|---|---|---|---|---|---|
| 0 | −∞ | − | − | ||
| 1 | Standard | Glass(BK7) | |||
| 2 | Standard | − | |||
| 3 | Non-sequence model | ∞ | − | Glass(BK7) | 12.321 |
| 4 | Standard | ∞ | 0 | − |
| Key Component | Configuration |
|---|---|
| Camera | Type: IMPERX IGV-B1610M-SC000 Sensors: CCD,1/1.8” Resolution: 1628 × 1236 Pixel size: 4.4 m × 4.4 m |
| Zoom lens | Type: ZLKC VM06012MP Operation: Manual Aperture range: F1.6-C Focal length: 6 mm~12 mm |
| Prism | Wedge Angle: 10 Size: 12.76 mm × 12.76 mm × 1.12 mm |
| Number | 8.5 mm | f | f | f | ||||
|---|---|---|---|---|---|---|---|---|
| U | C | U | C | U | C | U | C | |
| 1 | ||||||||
| 2 | ||||||||
| 3 | ||||||||
| 4 | ||||||||
| 5 | ||||||||
| 6 | − | − | ||||||
| 7 | − | − | ||||||
| 8 | − | − | ||||||
| 9 | − | − | ||||||
| mean | ||||||||
| Number | 8.5 mm | f | f | f | ||||
|---|---|---|---|---|---|---|---|---|
| U | C | U | C | U | C | U | C | |
| 1 | ||||||||
| 2 | ||||||||
| 3 | ||||||||
| 4 | ||||||||
| 5 | ||||||||
| 6 | − | − | ||||||
| 7 | − | − | ||||||
| 8 | − | − | ||||||
| 9 | − | − | ||||||
| mean | ||||||||
| Number | 8.5 mm | f | f | f | ||||
|---|---|---|---|---|---|---|---|---|
| U | C | U | C | U | C | U | C | |
| 1 | ||||||||
| 2 | ||||||||
| 3 | ||||||||
| 4 | ||||||||
| 5 | ||||||||
| 6 | − | − | ||||||
| 7 | − | − | ||||||
| 8 | − | − | ||||||
| 9 | − | − | ||||||
| mean | ||||||||
| Parameters | /(pixel) | /(pixel) | /(1/pixel) | /(1/pixel) |
|---|---|---|---|---|
| Left | ||||
| Right |
| R | T |
|---|---|
| E | F |
© 2019 by the authors. Licensee MDPI, Basel, Switzerland. This article is an open access article distributed under the terms and conditions of the Creative Commons Attribution (CC BY) license (http://creativecommons.org/licenses/by/4.0/).
Share and Cite
Zhou, F.; Chen, Y.; Zhou, M.; Li, X. Effect of Catadioptric Component Postposition on Lens Focal Length and Imaging Surface in a Mirror Binocular System. Sensors 2019, 19, 5309. https://doi.org/10.3390/s19235309
Zhou F, Chen Y, Zhou M, Li X. Effect of Catadioptric Component Postposition on Lens Focal Length and Imaging Surface in a Mirror Binocular System. Sensors. 2019; 19(23):5309. https://doi.org/10.3390/s19235309
Chicago/Turabian StyleZhou, Fuqiang, Yuanze Chen, Mingxuan Zhou, and Xiaosong Li. 2019. "Effect of Catadioptric Component Postposition on Lens Focal Length and Imaging Surface in a Mirror Binocular System" Sensors 19, no. 23: 5309. https://doi.org/10.3390/s19235309
APA StyleZhou, F., Chen, Y., Zhou, M., & Li, X. (2019). Effect of Catadioptric Component Postposition on Lens Focal Length and Imaging Surface in a Mirror Binocular System. Sensors, 19(23), 5309. https://doi.org/10.3390/s19235309

