Spatial Landslide Susceptibility Assessment Based on Novel Neural-Metaheuristic Geographic Information System Based Ensembles
Abstract
1. Introduction
2. Study Area
3. Data Preparation and Spatial Interaction between the Landslide and Conditioning Parameters
4. Methodology
4.1. Artificial Neural Network
4.2. Grey Wolf 0ptimization
4.3. Biogeography-Based Optimization
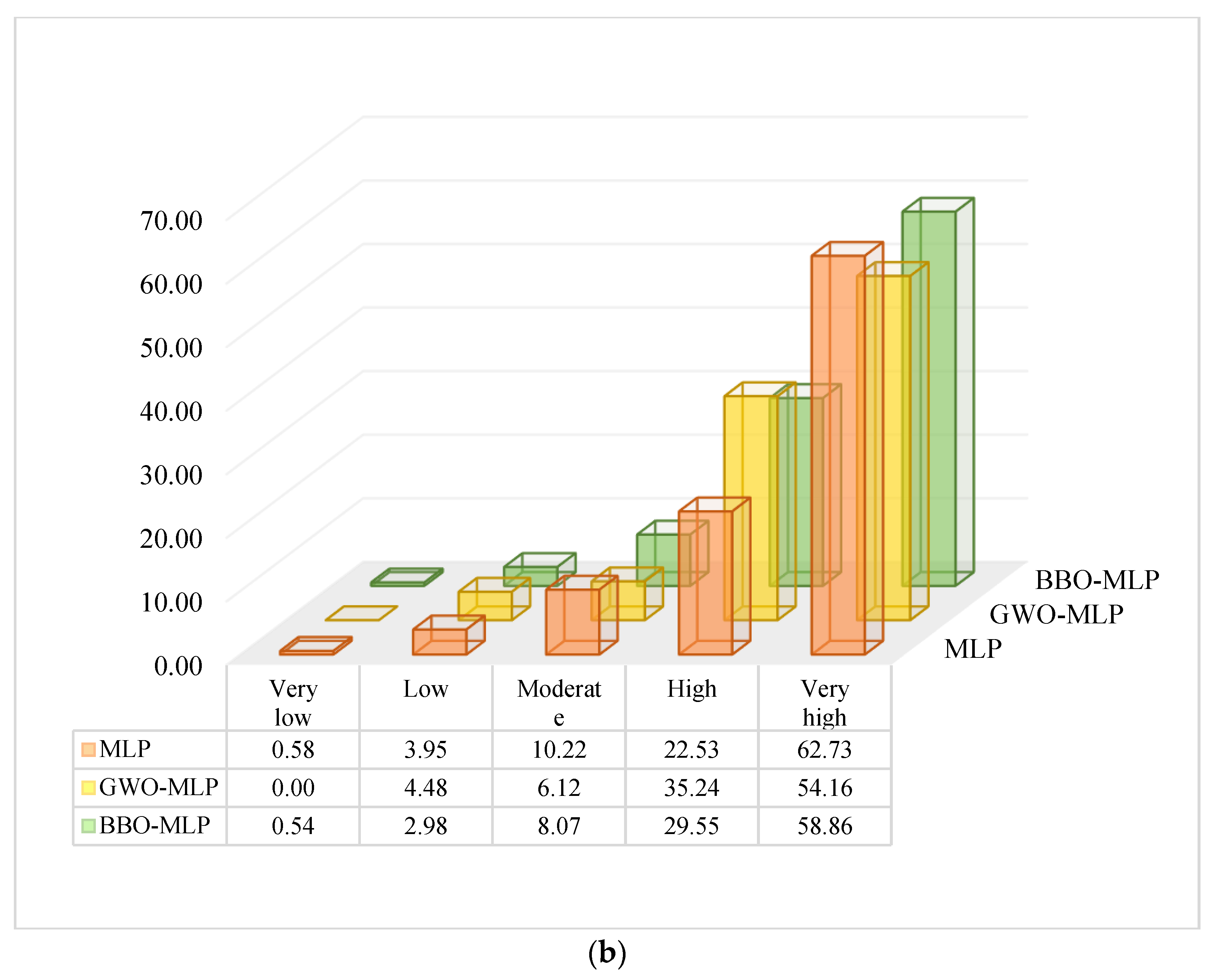
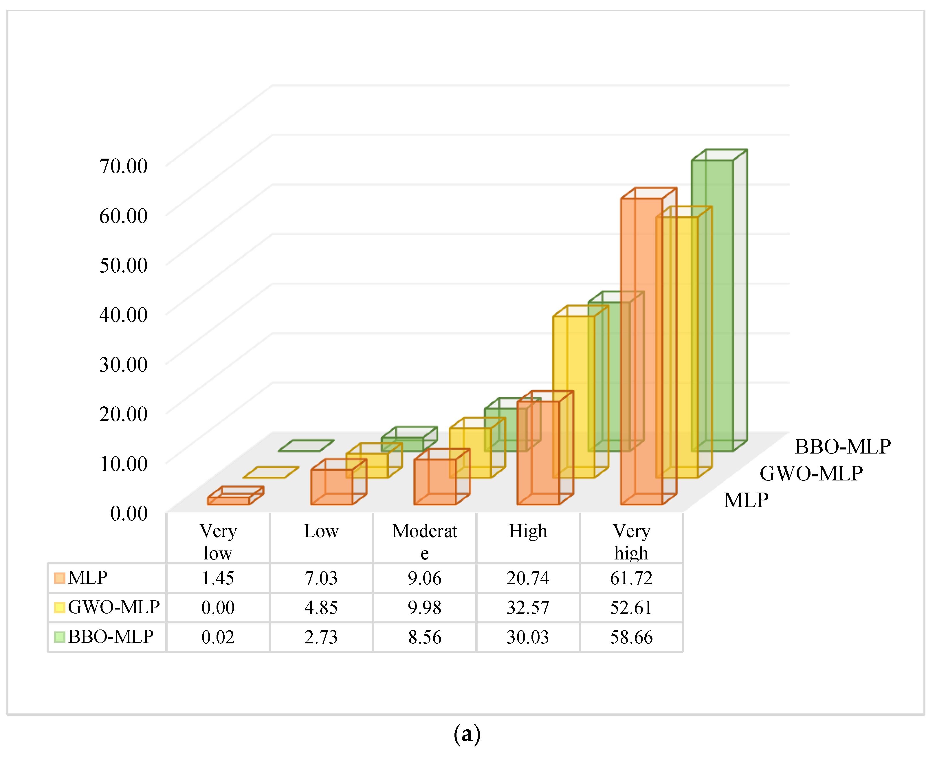
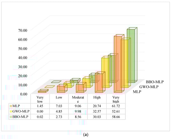
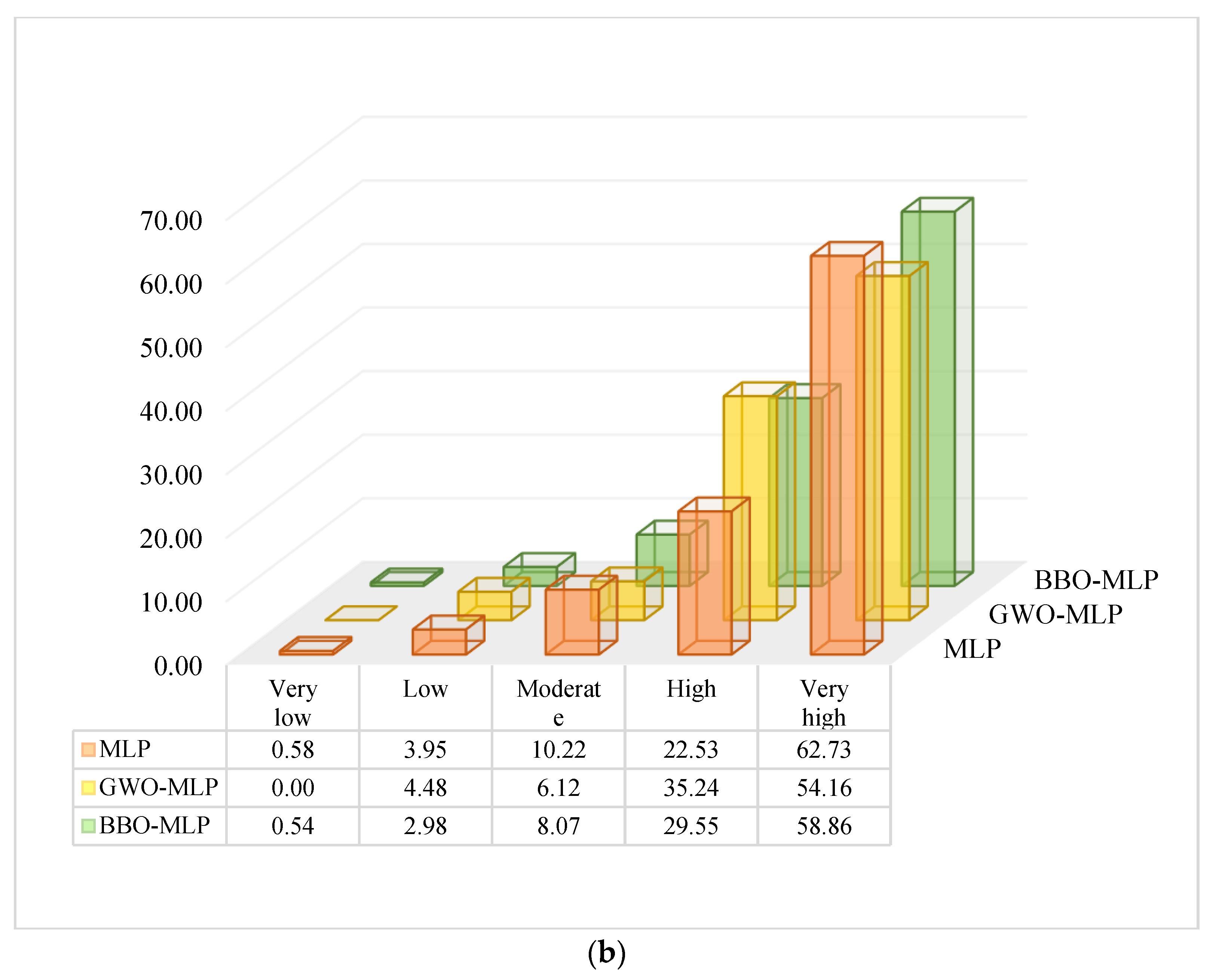
5. Results and Discussion
5.1. Optimization of the Used Models
5.2. Susceptibility Maps
5.3. Validation and Comparison
6. Discussion
7. Conclusions and Remarks
Author Contributions
Funding
Conflicts of Interest
References
- Varnes, D.; Radbruch-Hall, D. Landslides cause and effect. Bull. Int. Assoc. Eng. Geol 1976, 13, 205–216. [Google Scholar]
- Mihir, M.; Malamud, B.; Rossi, M.; Reichenbach, P.; Ardizzone, F. Landslide Susceptibility Statistical Methods: A Critical and Systematic Literature Review. In Proceedings of the EGU General Assembly Conference Abstracts, Vienna, Austria, 27 April–2 May 2014. [Google Scholar]
- Pourghasemi, H.R.; Pradhan, B.; Gokceoglu, C. Application of fuzzy logic and analytical hierarchy process (AHP) to landslide susceptibility mapping at Haraz watershed, Iran. Nat. Hazards 2012, 63, 965–996. [Google Scholar] [CrossRef]
- Shoaei, Z.; Ghayoumian, J. The largest debris flow in the world, Seimareh Landslide, Western Iran. In Environmental Forest Science; Springer: Berlin, Germany, 1998; pp. 553–561. [Google Scholar]
- Hong, H.; Miao, Y.; Liu, J.; Zhu, A.X. Exploring the effects of the design and quantity of absence data on the performance of random forest-based landslide susceptibility mapping. Catena 2019, 176, 45–64. [Google Scholar] [CrossRef]
- Yalcin, A. GIS-based landslide susceptibility mapping using analytical hierarchy process and bivariate statistics in Ardesen (Turkey): Comparisons of results and confirmations. Catena 2008, 72, 1–12. [Google Scholar] [CrossRef]
- Razavizadeh, S.; Solaimani, K.; Massironi, M.; Kavian, A. Mapping landslide susceptibility with frequency ratio, statistical index, and weights of evidence models: A case study in northern Iran. Environ. Earth Sci. 2017, 76, 499. [Google Scholar] [CrossRef]
- Youssef, A.M.; Al-Kathery, M.; Pradhan, B. Landslide susceptibility mapping at Al-Hasher area, Jizan (Saudi Arabia) using GIS-based frequency ratio and index of entropy models. Geosci. J. 2015, 19, 113–134. [Google Scholar] [CrossRef]
- Yang, J.; Song, C.; Yang, Y.; Xu, C.; Guo, F.; Xie, L. New method for landslide susceptibility mapping supported by spatial logistic regression and GeoDetector: A case study of Duwen Highway Basin, Sichuan Province, China. Geomorphology 2019, 324, 62–71. [Google Scholar] [CrossRef]
- Chen, W.; Chai, H.; Sun, X.; Wang, Q.; Ding, X.; Hong, H. A GIS-based comparative study of frequency ratio, statistical index and weights-of-evidence models in landslide susceptibility mapping. Arab. J. Geosci. 2016, 9, 204. [Google Scholar] [CrossRef]
- Nicu, I.C. Application of analytic hierarchy process, frequency ratio, and statistical index to landslide susceptibility: An approach to endangered cultural heritage. Environ. Earth Sci. 2018, 77, 79. [Google Scholar] [CrossRef]
- Chen, W.; Pourghasemi, H.R.; Naghibi, S.A. A comparative study of landslide susceptibility maps produced using support vector machine with different kernel functions and entropy data mining models in China. Bull. Eng. Geol. Environ. 2018, 77, 647–664. [Google Scholar] [CrossRef]
- Vahidnia, M.H.; Alesheikh, A.A.; Alimohammadi, A.; Hosseinali, F. A GIS-based neuro-fuzzy procedure for integrating knowledge and data in landslide susceptibility mapping. Comput. Geosci. 2010, 36, 1101–1114. [Google Scholar] [CrossRef]
- Yao, X.; Tham, L.; Dai, F. Landslide susceptibility mapping based on support vector machine: A case study on natural slopes of Hong Kong, China. Geomorphology 2008, 101, 572–582. [Google Scholar] [CrossRef]
- Chen, W.; Yan, X.; Zhao, Z.; Hong, H.; Bui, D.T.; Pradhan, B. Spatial prediction of landslide susceptibility using data mining-based kernel logistic regression, naive Bayes and RBFNetwork models for the Long County area (China). Bull. Eng. Geol. Environ. 2019, 78, 247–266. [Google Scholar] [CrossRef]
- Oh, H.-J.; Pradhan, B. Application of a neuro-fuzzy model to landslide-susceptibility mapping for shallow landslides in a tropical hilly area. Comput. Geosci. 2011, 37, 1264–1276. [Google Scholar] [CrossRef]
- Lee, S.; Hong, S.-M.; Jung, H.-S. A support vector machine for landslide susceptibility mapping in Gangwon Province, Korea. Sustainability 2017, 9, 48. [Google Scholar] [CrossRef]
- Tian, Y.; Xu, C.; Hong, H.; Zhou, Q.; Wang, D. Mapping earthquake-triggered landslide susceptibility by use of artificial neural network (ANN) models: An example of the 2013 Minxian (China) Mw 5.9 event. Geomat. Nat. Hazards Risk 2019, 10, 1–25. [Google Scholar] [CrossRef]
- Zare, M.; Pourghasemi, H.R.; Vafakhah, M.; Pradhan, B. Landslide susceptibility mapping at Vaz Watershed (Iran) using an artificial neural network model: A comparison between multilayer perceptron (MLP) and radial basic function (RBF) algorithms. Arab. J. Geosci. 2013, 6, 2873–2888. [Google Scholar] [CrossRef]
- Pradhan, B.; Lee, S.; Buchroithner, M.F. A GIS-based back-propagation neural network model and its cross-application and validation for landslide susceptibility analyses. Comput. Environ. Urb. Syst. 2010, 34, 216–235. [Google Scholar] [CrossRef]
- Bui, D.T.; Tuan, T.A.; Klempe, H.; Pradhan, B.; Revhaug, I. Spatial prediction models for shallow landslide hazards: A comparative assessment of the efficacy of support vector machines, artificial neural networks, kernel logistic regression, and logistic model tree. Landslides 2016, 13, 361–378. [Google Scholar]
- Pham, B.T.; Bui, D.T.; Pourghasemi, H.R.; Indra, P.; Dholakia, M. Landslide susceptibility assesssment in the Uttarakhand area (India) using GIS: A comparison study of prediction capability of naïve bayes, multilayer perceptron neural networks, and functional trees methods. Theor. Appl. Climatol. 2017, 128, 255–273. [Google Scholar] [CrossRef]
- Chen, W.; Panahi, M.; Pourghasemi, H.R. Performance evaluation of GIS-based new ensemble data mining techniques of adaptive neuro-fuzzy inference system (ANFIS) with genetic algorithm (GA), differential evolution (DE), and particle swarm optimization (PSO) for landslide spatial modelling. Catena 2017, 157, 310–324. [Google Scholar] [CrossRef]
- Bui, D.T.; Tuan, T.A.; Hoang, N.-D.; Thanh, N.Q.; Nguyen, D.B.; Van Liem, N.; Pradhan, B. Spatial prediction of rainfall-induced landslides for the Lao Cai area (Vietnam) using a hybrid intelligent approach of least squares support vector machines inference model and artificial bee colony optimization. Landslides 2017, 14, 447–458. [Google Scholar]
- Jaafari, A.; Panahi, M.; Pham, B.T.; Shahabi, H.; Bui, D.T.; Rezaie, F.; Lee, S. Meta optimization of an adaptive neuro-fuzzy inference system with grey wolf optimizer and biogeography-based optimization algorithms for spatial prediction of landslide susceptibility. Catena 2019, 175, 430–445. [Google Scholar] [CrossRef]
- Tien Bui, D.; Shahabi, H.; Shirzadi, A.; Chapi, K.; Hoang, N.-D.; Pham, B.; Bui, Q.-T.; Tran, C.-T.; Panahi, M.; Bin Ahamd, B. A novel integrated approach of relevance vector machine optimized by imperialist competitive algorithm for spatial modeling of shallow landslides. Remote Sens. 2018, 10, 1538. [Google Scholar] [CrossRef]
- Tien Bui, D.; Pham, B.T.; Nguyen, Q.P.; Hoang, N.-D. Spatial prediction of rainfall-induced shallow landslides using hybrid integration approach of Least-Squares Support Vector Machines and differential evolution optimization: A case study in Central Vietnam. Int. J. Digit. Earth 2016, 9, 1077–1097. [Google Scholar] [CrossRef]
- Moayedi, H.; Mehrabi, M.; Kalantar, B.; Abdullahi Mu’azu, M.A.; Rashid, A.S.; Foong, L.K.; Nguyen, H. Novel hybrids of adaptive neuro-fuzzy inference system (ANFIS) with several metaheuristic algorithms for spatial susceptibility assessment of seismic-induced landslide. Geomat. Nat. Hazards Risk 2019, 10, 1879–1911. [Google Scholar] [CrossRef]
- Moayedi, H.; Mehrabi, M.; Mosallanezhad, M.; Rashid, A.S.A.; Pradhan, B. Modification of landslide susceptibility mapping using optimized PSO-ANN technique. Eng. Comput. 2018, 35, 1–18. [Google Scholar] [CrossRef]
- Bui, D.T.; Moayedi, H.; Kalantar, B.; Osouli, A.; Gör, M.; Pradhan, B.; Nguyen, H.; Rashid, A.S.A. Harris Hawks Optimization: A Novel Swarm Intelligence Technique for Spatial Assessment of Landslide Susceptibility. Sensors 2019, 19, 3590. [Google Scholar] [CrossRef]
- Ahmadlou, M.; Karimi, M.; Alizadeh, S.; Shirzadi, A.; Parvinnejhad, D.; Shahabi, H.; Panahi, M. Flood susceptibility assessment using integration of adaptive network-based fuzzy inference system (ANFIS) and biogeography-based optimization (BBO) and BAT algorithms (BA). Geocarto Int. 2018, 34, 1–21. [Google Scholar] [CrossRef]
- Bui, Q.-T. Metaheuristic algorithms in optimizing neural network: A comparative study for forest fire susceptibility mapping in Dak Nong, Vietnam. Geomat. Nat. Hazards Risk 2019, 10, 136–150. [Google Scholar] [CrossRef]
- Ercanoglu, M.; Gokceoglu, C. Use of fuzzy relations to produce landslide susceptibility map of a landslide prone area (West Black Sea Region, Turkey). Eng. Geol. 2004, 75, 229–250. [Google Scholar] [CrossRef]
- Huang, F.; Yin, K.; Huang, J.; Gui, L.; Wang, P. Landslide susceptibility mapping based on self-organizing-map network and extreme learning machine. Eng. Geol. 2017, 223, 11–22. [Google Scholar] [CrossRef]
- Felicísimo, Á.M.; Cuartero, A.; Remondo, J.; Quirós, E. Mapping landslide susceptibility with logistic regression, multiple adaptive regression splines, classification and regression trees, and maximum entropy methods: A comparative study. Landslides 2013, 10, 175–189. [Google Scholar] [CrossRef]
- Huang, F.; Yao, C.; Liu, W.; Li, Y.; Liu, X. Landslide susceptibility assessment in the Nantian area of China: A comparison of frequency ratio model and support vector machine. Geomat. Nat. Hazards Risk 2018, 9, 919–938. [Google Scholar] [CrossRef]
- Oh, H.-J.; Kim, Y.-S.; Choi, J.-K.; Park, E.; Lee, S. GIS mapping of regional probabilistic groundwater potential in the area of Pohang City, Korea. J. Hydrol. 2011, 399, 158–172. [Google Scholar] [CrossRef]
- Pourghasemi, H.; Moradi, H.; Aghda, S.F. Landslide susceptibility mapping by binary logistic regression, analytical hierarchy process, and statistical index models and assessment of their performances. Nat. Hazards 2013, 69, 749–779. [Google Scholar] [CrossRef]
- Pourghasemi, H.R.; Kerle, N. Random forests and evidential belief function-based landslide susceptibility assessment in Western Mazandaran Province, Iran. Environ. Earth Sci. 2016, 75, 185. [Google Scholar] [CrossRef]
- Yilmaz, I. Landslide susceptibility mapping using frequency ratio, logistic regression, artificial neural networks and their comparison: A case study from Kat landslides (Tokat—Turkey). Comput. Geosci. 2009, 35, 1125–1138. [Google Scholar] [CrossRef]
- Shirzadi, A.; Soliamani, K.; Habibnejhad, M.; Kavian, A.; Chapi, K.; Shahabi, H.; Chen, W.; Khosravi, K.; Thai Pham, B.; Pradhan, B. Novel GIS based machine learning algorithms for shallow landslide susceptibility mapping. Sensors 2018, 18, 3777. [Google Scholar] [CrossRef]
- Beven, K.J.; Kirkby, M.J. A physically based, variable contributing area model of basin hydrology/Un modèle à base physique de zone d’appel variable de l’hydrologie du bassin versant. Hydrol. Sci. J. 1979, 24, 43–69. [Google Scholar] [CrossRef]
- Moore, I.D.; Grayson, R.B.; Ladson, A.R. Digital terrain modelling: A review of hydrological, geomorphological, and biological applications. Hydrol. Process. 1991, 5, 3–30. [Google Scholar] [CrossRef]
- McCulloch, W.S.; Pitts, W. A logical calculus of the ideas immanent in nervous activity. Bull. Math. Biophys. 1943, 5, 115–133. [Google Scholar] [CrossRef]
- Gao, W.; Wang, W.; Dimitrov, D.; Wang, Y. Nano properties analysis via fourth multiplicative ABC indicator calculating. Arabian J. Chem. 2018, 11, 793–801. [Google Scholar] [CrossRef]
- Gao, W.; Dimitrov, D.; Abdo, H. Tight independent set neighborhood union condition for fractional critical deleted graphs and ID deleted graphs. Discrete & Continuous Dynamical Systems-S 2018, 12, 711–721. [Google Scholar]
- Gao, W.; Guirao, J.L.G.; Abdel-Aty, M.; Xi, W. An independent set degree condition for fractional critical deleted graphs. Discrete & Continuous Dynamical Systems-S 2019, 12, 877–886. [Google Scholar]
- Gao, W.; Guirao, J.L.G.; Basavanagoud, B.; Wu, J. Partial multi-dividing ontology learning algorithm. Information Sciences 2018, 467, 35–58. [Google Scholar] [CrossRef]
- Gao, W.; Wu, H.; Siddiqui, M.K.; Baig, A.Q. Study of biological networks using graph theory. Saudi J. Biol. Sci. 2018, 25, 1212–1219. [Google Scholar] [CrossRef]
- Mirjalili, S.; Mirjalili, S.M.; Lewis, A. Grey wolf optimizer. Adv. Eng. Softw. 2014, 69, 46–61. [Google Scholar] [CrossRef]
- Dehghani, M.; Riahi-Madvar, H.; Hooshyaripor, F.; Mosavi, A.; Shamshirband, S.; Zavadskas, E.K.; Chau, K.-W. Prediction of hydropower generation using grey wolf optimization adaptive neuro-fuzzy inference system. Energies 2019, 12, 289. [Google Scholar] [CrossRef]
- Bozorg-Haddad, O. Advanced Optimization by Nature-Inspired Algorithms; Springer: Berlin, Germany, 2018. [Google Scholar]
- Muro, C.; Escobedo, R.; Spector, L.; Coppinger, R.P. Wolf-pack (Canis lupus) hunting strategies emerge from simple rules in computational simulations. Behav. Process. 2011, 88, 192–197. [Google Scholar] [CrossRef]
- Simon, D. Biogeography-based optimization. IEEE Trans. Evol. Comput. 2008, 12, 702–713. [Google Scholar] [CrossRef]
- Mirjalili, S.; Mirjalili, S.M.; Lewis, A. Let a biogeography-based optimizer train your multi-layer perceptron. Inf. Sci. 2014, 269, 188–209. [Google Scholar] [CrossRef]
- Bhattacharya, A.; Chattopadhyay, P.K. Solving complex economic load dispatch problems using biogeography-based optimization. Expert Syst. Appl. 2010, 37, 3605–3615. [Google Scholar] [CrossRef]
- Roy, P.; Ghoshal, S.; Thakur, S. Biogeography based optimization for multi-constraint optimal power flow with emission and non-smooth cost function. Expert Syst. Appl. 2010, 37, 8221–8228. [Google Scholar] [CrossRef]
- Hadidi, A. A robust approach for optimal design of plate fin heat exchangers using biogeography based optimization (BBO) algorithm. Appl. Energy 2015, 150, 196–210. [Google Scholar] [CrossRef]
- Pourghasemi, H.; Pradhan, B.; Gokceoglu, C.; Moezzi, K.D. A comparative assessment of prediction capabilities of Dempster–Shafer and weights-of-evidence models in landslide susceptibility mapping using GIS. Geomat. Nat. Hazards Risk 2013, 4, 93–118. [Google Scholar] [CrossRef]
- Xu, C.; Dai, F.; Xu, X.; Lee, Y.H. GIS-based support vector machine modeling of earthquake-triggered landslide susceptibility in the Jianjiang River watershed, China. Geomorphology 2012, 145, 70–80. [Google Scholar] [CrossRef]
- Akgun, A.; Sezer, E.A.; Nefeslioglu, H.A.; Gokceoglu, C.; Pradhan, B. An easy-to-use MATLAB program (MamLand) for the assessment of landslide susceptibility using a Mamdani fuzzy algorithm. Comput. Geosci. 2012, 38, 23–34. [Google Scholar] [CrossRef]
- Jaafari, A.; Najafi, A.; Pourghasemi, H.; Rezaeian, J.; Sattarian, A. GIS-based frequency ratio and index of entropy models for landslide susceptibility assessment in the Caspian forest, Northern Iran. Int. J. Environ. Sci. Technol. 2014, 11, 909–926. [Google Scholar] [CrossRef]
- Egan, J.P. Signal Detection Theory and {ROC} Analysis; Academic press: Cambridge, MA, USA, 1975. [Google Scholar]
- Wang, Y.; Fang, Z.; Hong, H. Comparison of convolutional neural networks for landslide susceptibility mapping in Yanshan County, China. Sci. Total Environ. 2019, 666, 975–993. [Google Scholar] [CrossRef]
- Falah, F.; Rahmati, O.; Rostami, M.; Ahmadisharaf, E.; Daliakopoulos, I.N.; Pourghasemi, H.R. Artificial Neural Networks for Flood Susceptibility Mapping in Data-Scarce Urban Areas. In Spatial Modeling in GIS and R for Earth and Environmental Sciences; Elsevier: Amsterdam, The Netherlands, 2019; pp. 323–336. [Google Scholar]
- Pourghasemi, H.R.; Yousefi, S.; Kornejady, A.; Cerdà, A. Performance assessment of individual and ensemble data-mining techniques for gully erosion modeling. Sci. Total Environ. 2017, 609, 764–775. [Google Scholar] [CrossRef] [PubMed]
- Pradhan, B.; Lee, S. Regional landslide susceptibility analysis using back-propagation neural network model at Cameron Highland, Malaysia. Landslides 2010, 7, 13–30. [Google Scholar] [CrossRef]
- Lin, Y.; Xia, K.; Jiang, X.; Bai, J.; Wu, P. Landslide susceptibility mapping based on particle swarm optimization of multiple kernel relevance vector machines: Case of a low hill area in Sichuan Province, China. ISPRS Int. J. Geo-Inf. 2016, 5, 191. [Google Scholar] [CrossRef]
- Reihanian, A.; Feizi-Derakhshi, M.-R.; Aghdasi, H.S. Community detection in social networks with node attributes based on multi-objective biogeography based optimization. Eng. Appl. Artif. Intell. 2017, 62, 51–67. [Google Scholar] [CrossRef]
- Nguyen, H.; Mehrabi, M.; Kalantar, B.; Moayedi, H.; Abdullahi, M.A. Potential of hybrid evolutionary approaches for assessment of geo-hazard landslide susceptibility mapping. Geomat. Nat. Hazards Risk 2019, 10, 1667–1693. [Google Scholar] [CrossRef]
- Li, D.; Huang, F.; Yan, L.; Cao, Z.; Chen, J.; Ye, Z. Landslide Susceptibility Prediction Using Particle-Swarm-Optimized Multilayer Perceptron: Comparisons with Multilayer-Perceptron-Only, BP Neural Network, and Information Value Models. Appl. Sci. 2019, 9, 3664. [Google Scholar] [CrossRef]
- Feng, S.; Zhu, Q.; Gong, X.; Zhong, S. An Improved Hybridizing Biogeography-Based Optimization with Differential Evolution for Global Numerical Optimization, 2nd International Conference on Science and Social Research (ICSSR 2013); Atlantis Press: Paris, France, 2013. [Google Scholar]
- Uchimura, T.; Towhata, I.; Wang, L.; Nishie, S.; Yamaguchi, H.; Seko, I.; Qiao, J. Precaution and early warning of surface failure of slopes using tilt sensors. Soils Found. 2015, 55, 1086–1099. [Google Scholar] [CrossRef]
- Gian, Q.A.; Tran, D.-T.; Nguyen, D.C.; Nhu, V.H.; Tien Bui, D. Design and implementation of site-specific rainfall-induced landslide early warning and monitoring system: A case study at Nam Dan landslide (Vietnam). Geomat. Nat. Hazards Risk 2017, 8, 1978–1996. [Google Scholar] [CrossRef]
- Barla, M.; Antolini, F. An integrated methodology for landslides’ early warning systems. Landslides 2016, 13, 215–228. [Google Scholar] [CrossRef]
- Calvello, M.; Piciullo, L. Assessing the performance of regional landslide early warning models: The EDuMaP method. Nat. Hazards Earth Syst. Sci. 2016, 16, 103–122. [Google Scholar] [CrossRef]
- Bhardwaj, G.S.; Metha, M.; Ahmed, M.Y.; Chowdhury, M.A.I. Landslide monitoring by using sensor and wireless technique: A review. Int. J. Geomat. Geosci. 2014, 5, 1. [Google Scholar]















| Lithology Unit | Description | FR | Lithology Unit | Description | FR |
|---|---|---|---|---|---|
| 1 | Stream channel, braided channel and flood plain deposites | 0.00 | 27 | Coarse grained fanglomerate composed of volcaniclastic materials locally with intercalation of lava flows (Lahar) | 1.14 |
| 2 | High level piedmont fan and vally terrace deposits | 0.24 | 28 | Gypsiferous marl | 0.00 |
| 3 | Low level piedment fan and vally terrace deposits | 0.35 | 29 | Andesitic tuff | 0.00 |
| 4 | Silty clay, sandy tuff and fresh water limestone (Baku Fm) | 0.00 | 30 | Light grey, thin-bedded to massive limestone (LAR Fm) | 4.39 |
| 5 | Silty clay, sand, gravel and volcanic ash (Absheran Fm) | 0.00 | 31 | Conglomerate and sandstone | 0.00 |
| 6 | Varigated gypsiferous clay shale; conglomerate and sandstone | 0.00 | 32 | Pliocene andesitic subvolcanics | 0.00 |
| 7 | Polymictic conglomerate and sandstone | 1.54 | 33 | Dark grey shale and sandstone (SHEMSHAK Fm) | 7.50 |
| 8 | Alternation of varigated siltyclay shale with sandstone | 0.49 | 34 | Dolomite and sandstone (Bayandour Fm) | 0.05 |
| 9 | Red marl, gypsiferous marl, sandstone and conglomerate (Upper red Fm.) | 1.38 | 35 | Granite to diorite | 0.00 |
| 10 | Massive to thick bedded tuffaceous sandstone and varigated shale | 0.32 | 36 | Rhyolitic to rhyodacitic tuff | 0.00 |
| 11 | Alternation of sandstone with siltstone and claystone | 0.50 | 37 | Andesite to basaltic volcanics | 0.65 |
| 12 | Alternations of marl, silty clay shale, sandstone and dolomitic limestone | 1.34 | 38 | Andesitic subvolcanic | 0.00 |
| 13 | sandstone, calcareous sandstone and limestone | 0.00 | 39 | Rhyolitic to rhyodacitic volcanic tuff | 0.00 |
| 14 | Red Beds composed of red conglomerate, sandstone, marl, gypsiferous marl and gypsum | 0.00 | 40 | Teravertine | 0.85 |
| 15 | Basal conglomerate and sandstone | 0.00 | 41 | Dacitic to andesitic subvolcanic rocks | 2.31 |
| 16 | Silty shale, marl, thin-bedded limestone, tuffaceous sandstone and basaltic volcanic rocks | 0.00 | 42 | Marl, shale, sandstone and conglomerate | 1.77 |
| 17 | Basaltic volcanic rocks | 0.23 | 43 | Andesitic and basaltic volcanics | 0.00 |
| 18 | Silty shale, sandstone, marl, sandy limestone, limestone and conglomerate | 0.00 | 44 | Marl, calcareous sandstone, sandy limestone and minor conglomerate | 2.70 |
| 19 | Flysch turbidite, sandstone and calcareous mudstone | 0.00 | 45 | sandy to silty gluconitic limestone and calcareous limestone (Shal Fm) | 0.68 |
| 20 | Basaltic volcanic | 0.00 | 46 | Fluvial conglomerate, Piedmont conglomerate and sandstone. | 5.82 |
| 21 | Andesitic volcanic | 0.00 | 47 | Red and green silty, gypsiferous marl, sandstone and gypsum (Lower Red Fm) | 3.04 |
| 22 | Low-grade, regional metamorphic rocks (Green Schist Facies) | 0.00 | 48 | Cretaceous rocks ingeneral | 0.82 |
| 23 | Andesitic volcanics | 1.41 | 49 | Dacitic to andesitic volcanic | 5.36 |
| 24 | Dacitic to Andesitic tuff | 0.00 | 50 | Gneiss, anatectic granite, amphibolite, kyanite, staurolite schist, quartzite and minor marble (Barreh Koshan Complex and Rutchan Complex) | 1.85 |
| 25 | Upper cretaceous, undifferentiated rocks | 0.00 | 51 | Andesitic basaltic volcanic | 5.09 |
| 26 | Andesitic volcanic tuff | 0.00 | 52 | Massive grey to black limestone | 3.58 |
| Susceptibility Class | MLP | GWO-MLP | BBO-MLP | |||
|---|---|---|---|---|---|---|
| Ratio (%) | Area (km2) | Ratio (%) | Area (km2) | Ratio (%) | Area (km2) | |
| Very low | 24.38 | 4317.18 | 23.39 | 4142.80 | 18.96 | 3357.75 |
| Low | 22.55 | 3992.97 | 25.06 | 4436.87 | 28.80 | 5099.14 |
| Moderate | 18.28 | 3237.48 | 19.37 | 3429.38 | 19.84 | 3513.20 |
| High | 19.06 | 3374.70 | 20.24 | 3584.99 | 19.34 | 3425.24 |
| Very high | 15.73 | 2785.78 | 11.94 | 2114.06 | 13.06 | 2312.78 |
| Ensemble Models | Network Results | |||||
|---|---|---|---|---|---|---|
| Training Phase | Testing Phase | |||||
| MSE | MAE | AUROC | MSE | MAE | AUROC | |
| MLP | 0.1575 | 0.3319 | 0.850 | 0.1997 | 0.3781 | 0.767 |
| GWO-MLP | 0.1316 | 0.2861 | −0.896 | 0.2004 | 0.3629 | 0.768 |
| BBO-MLP | 0.1113 | 0.2627 | −0.933 | 0.1887 | 0.3445 | 0.800 |
| i | Wi1 | Wi2 | Wi3 | Wi4 | Wi5 | Wi6 | Wi7 | Wi8 | Wi9 | Wi10 | Wi11 | Wi12 | Wi13 | Wi14 | bi |
|---|---|---|---|---|---|---|---|---|---|---|---|---|---|---|---|
| 1 | 0.3068 | −0.3699 | −0.2489 | 0.1434 | −0.5437 | −0.7416 | 0.0732 | 0.0473 | −0.1541 | −0.0666 | −0.7739 | 0.5818 | 0.4335 | −0.3827 | −1.5706 |
| 2 | 0.4424 | 0.3283 | −0.5875 | 0.4642 | −0.5592 | −0.5253 | 0.3199 | 0.2965 | −0.5317 | 0.3238 | −0.5168 | −0.3437 | 0.1962 | 0.1108 | −0.7853 |
| 3 | −0.4365 | 0.4556 | −0.5879 | 0.0676 | −0.5329 | 0.3528 | 0.1440 | 0.1758 | 0.1744 | −0.0691 | 0.6151 | −0.7576 | −0.2494 | 0.4567 | 0.0000 |
| 4 | 0.1483 | −0.1693 | −0.0301 | −0.0738 | 0.4592 | −0.7367 | −0.2852 | 0.3932 | −0.6592 | −0.2104 | −0.0276 | 0.7537 | −0.6050 | −0.0807 | −0.7853 |
| 5 | −0.5482 | −0.5329 | −0.5605 | −0.2488 | 0.5488 | 0.3826 | −0.4658 | 0.1531 | 0.0340 | −0.3164 | −0.5746 | 0.2770 | −0.2494 | 0.4976 | −1.5706 |
© 2019 by the authors. Licensee MDPI, Basel, Switzerland. This article is an open access article distributed under the terms and conditions of the Creative Commons Attribution (CC BY) license (http://creativecommons.org/licenses/by/4.0/).
Share and Cite
Moayedi, H.; Osouli, A.; Tien Bui, D.; Foong, L.K. Spatial Landslide Susceptibility Assessment Based on Novel Neural-Metaheuristic Geographic Information System Based Ensembles. Sensors 2019, 19, 4698. https://doi.org/10.3390/s19214698
Moayedi H, Osouli A, Tien Bui D, Foong LK. Spatial Landslide Susceptibility Assessment Based on Novel Neural-Metaheuristic Geographic Information System Based Ensembles. Sensors. 2019; 19(21):4698. https://doi.org/10.3390/s19214698
Chicago/Turabian StyleMoayedi, Hossein, Abdolreza Osouli, Dieu Tien Bui, and Loke Kok Foong. 2019. "Spatial Landslide Susceptibility Assessment Based on Novel Neural-Metaheuristic Geographic Information System Based Ensembles" Sensors 19, no. 21: 4698. https://doi.org/10.3390/s19214698
APA StyleMoayedi, H., Osouli, A., Tien Bui, D., & Foong, L. K. (2019). Spatial Landslide Susceptibility Assessment Based on Novel Neural-Metaheuristic Geographic Information System Based Ensembles. Sensors, 19(21), 4698. https://doi.org/10.3390/s19214698

