Evolution of Scintillation and Electrical Characteristics of AlGaN Double-Response Sensors During Proton Irradiation
Abstract
1. Introduction
2. Sample Preparation
3. Evolution of Scintillation and Short-Circuit Current in GaN/AlGaN Structures
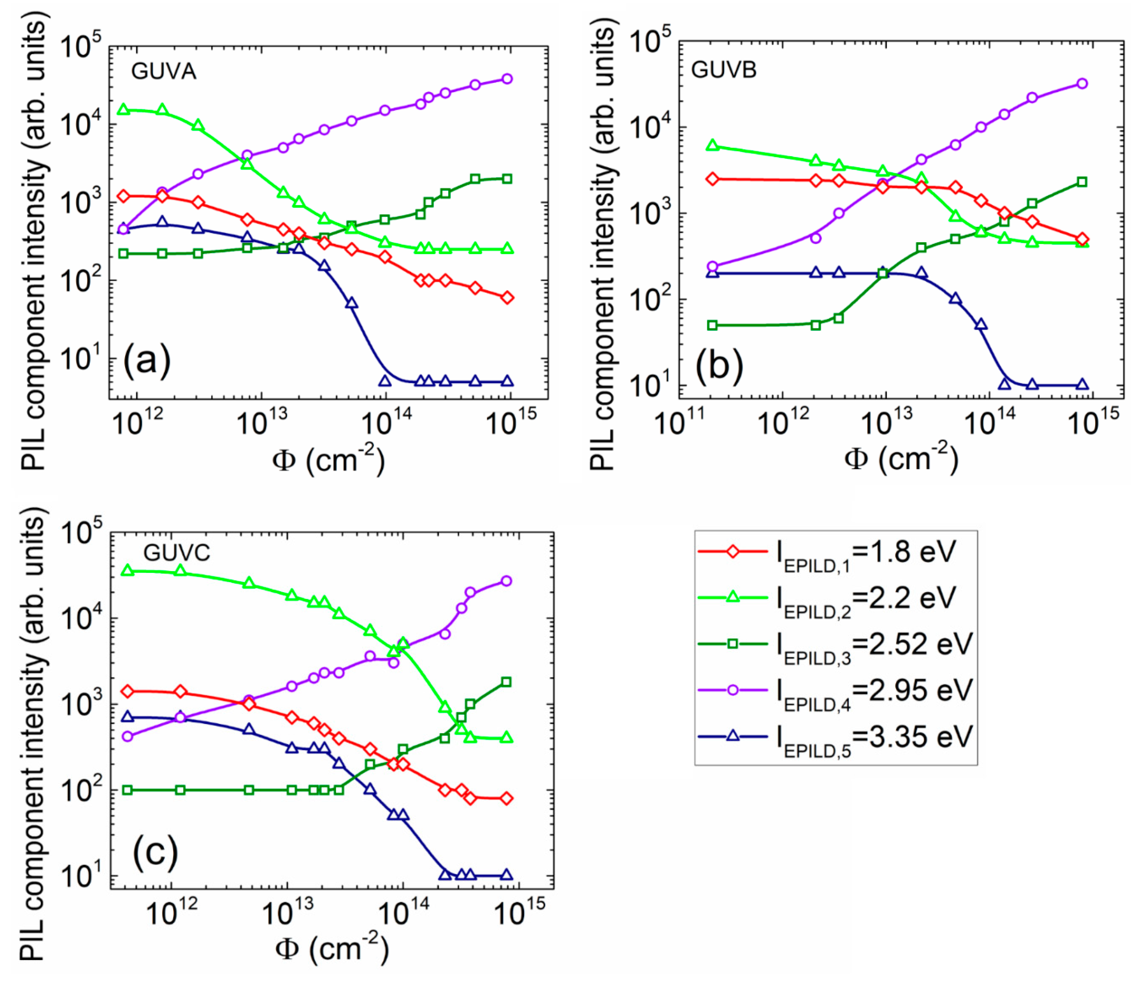
3.1. The Mesa Structure Samples
3.2. Schottky Diode Structures
4. Discussion
5. Summary
Author Contributions
Funding
Conflicts of Interest
References
- Sellin, P.J.; Vaitkus, J. New materials for radiation hard semiconductor dectectors. Nucl. Instrum. Methods A 2006, 557, 479–489. [Google Scholar] [CrossRef]
- Moll, M. Radiation tolerant semiconductor sensors for tracking detectors. Nucl. Instrum. Methods A 2006, 565, 202–211. [Google Scholar] [CrossRef]
- Gaubas, E.; Ceponis, T.; Meskauskas, D.; Pavlov, J.; Zukauskas, A.; Kovalevskij, V.; Remeikis, V. In situ characterization of radiation sensors based on GaN LED structure by pulsed capacitance technique and luminescence spectroscopy. Sens. Actuators A Phys. 2017, 267, 194–199. [Google Scholar] [CrossRef]
- Podlipskas, Z.; Aleksiejunas, R.; Kadys, A.; Mickevicius, J.; Jurkevicius, J.; Tamulaitis, G.; Shur, M.; Jang, J.; Gaska, R. Dependence of radiative and nonradiative recombination on carrier density and Al content in thick AlGaN epilayers. J. Phys. D Appl. Phys. 2016, 49, 145110. [Google Scholar] [CrossRef]
- Gaubas, E.; Ceponis, T.; Deveikis, L.; Dobrovolskas, D.; Rumbauskas, V.; Viliunas, M. Room-temperature infrared photoluminescence in GaN doped with various impurities. Opt. Mater. 2019, 94, 266–271. [Google Scholar] [CrossRef]
- Gaubas, E.; Ceponis, T.; Mickevicius, J.; Pavlov, J.; Rumbauskas, V.; Velicka, M.; Simoen, E.; Zhao, M. Pulsed photo-ionization spectroscopy in carbon doped MOCVD GaN epi-layers on Si. Semicond. Sci. Technol. 2018, 33, 075015. [Google Scholar] [CrossRef]
- Gaubas, E.; Ceponis, T.; Meskauskaite, D.; Mickevicius, J.; Pavlov, J.; Rumbauskas, V.; Grigonis, R.; Zajac, M.; Kucharski, R. Pulsed photo-ionization spectroscopy of traps in as-grown and neutron irradiated ammonothermally synthesized GaN. Sci. Rep. 2019, 9, 1473. [Google Scholar] [CrossRef] [PubMed]
- Gaubas, E.; Baronas, P.; Ceponis, T.; Deveikis, L.; Dobrovolskas, D.; Kuokstis, E.; Mickevicius, J.; Rumbauskas, V.; Bockowski, M.; Iwinska, M.; et al. Study of spectral and recombination characteristics of HVPE GaN grown on ammono substrates. Mater. Sci. Semicond. Process. 2019, 91, 341–355. [Google Scholar] [CrossRef]
- Pankove, J.I. Optical Processes in Semiconductors; Prentice Hall: Englewood Cliffs, NJ, USA, 1971. [Google Scholar]
- Bhattacharya, R.; Pal, B.; Bansal, B. On conversion of luminescence into absorption and the van Roosbroeck-Shockley relation. Appl. Phys. Lett. 2012, 100, 222103. [Google Scholar] [CrossRef]
- Reshchikov, M.A.; Demchenko, D.O.; Usikov, A.; Helava, H.; Makarov, Y. Carbon defects as sources of the green and yellow luminescence bands in undoped GaN. Phys. Rev. B 2014, 90, 235203. [Google Scholar] [CrossRef]
- Zhang, Z.; Hurni, C.A.; Arehart, A.R.; Yang, J.; Myers, R.C.; Speck, J.S.; Ringel, S.A. Deep traps in nonpolar m-plane GaN grown by ammonia-based molecular beam epitaxy. Appl. Phys. Lett. 2012, 100, 52114. [Google Scholar] [CrossRef]
- Sedhain, A.; Lin, J.Y.; Jiang, H.X. Nature of optical transitions involving cation vacancies and complexes in AlN and AlGaN. Appl. Phys. Lett. 2012, 100, 221107. [Google Scholar] [CrossRef]
- Reshchikov, M.A.; Morkoc, H. Luminescence properties of defects in GaN. J. Appl. Phys. 2005, 97, 061301. [Google Scholar] [CrossRef]
- Goldys, E.M.; Godlewski, M.; Langer, R.; Barski, A.; Bergman, P.; Monemar, B. Analysis of the red optical emission in cubic GaN grown by molecular-beam epitaxy. Phys. Rev. B 1999, 60, 5464. [Google Scholar] [CrossRef]
- Nam, K.B.; Nakarmi, M.L.; Lin, J.Y.; Jiang, H.X. Deep impurity transitions involving cation vacancies and complexes in AlGaN alloys. Appl. Phys. Lett. 2005, 86, 222108. [Google Scholar] [CrossRef]
- Lee, I.H.; Polyakov, A.Y.; Smirnov, N.B.; Govorkov, A.V.; Usikov, A.S.; Helava, H.; Makarov, Y.N.; Pearton, S.J. Deep hole traps in undoped n-GaN films grown by hydride vapor phase epitaxy. J. Appl. Phys. 2014, 115, 223702. [Google Scholar] [CrossRef]
- Reshchikov, M.A. Point Defects in GaN. In Semiconductors and Semimetals: Defects in Semiconductors; Jagadish, C., Privitera, V., Romano, L., Eds.; Academic Press: Burlington, UK, 2015. [Google Scholar]
- Polyakov, A.Y.; Smirnov, N.B.; Govorkov, A.V.; Redwing, J.M. Deep traps in high resistivity AlGaN films. Solid State Electron. 1998, 46, 831–838. [Google Scholar] [CrossRef]
- Nepal, N.; Nakarmi, M.L.; Lin, J.Y.; Jiang, H.X. Photoluminescence studies of impurity transitions in AlGaN alloys. Appl. Phys. Lett. 2006, 89, 092107. [Google Scholar] [CrossRef]
- Henry, T.A.; Armstrong, A.; Allerman, A.A.; Crawford, M.H. The influence of Al composition on point defect incorporation in AlGaN. Appl. Phys. Lett. 2012, 100, 043509. [Google Scholar] [CrossRef]









| Diode | C | N | O | Al | Si | Ga |
|---|---|---|---|---|---|---|
| GUVA | 9.08 | 24.39 | 23.04 | 0.15 | 5.53 | 37.10 |
| GUVB | 7.75 | 23.81 | 31.32 | 6.90 | 6.72 | 22.87 |
| GUVC | 6.05 | 19.79 | 33.70 | 11.01 | 8.10 | 20.84 |
| AlxGa1−xN | ||
|---|---|---|
| PIL Peak Quantum Energy (eV) | Defect Type | Reference |
| EPILD,1 = 1.27 for x = 0; 1.89 for x = 1; 1.8 for x = 0; 1.9 for x = 0 | (VIII-ON)2−/1−; VGa related complex; shallow donor and a deep acceptor pair | [13] [14] [15] |
| EPILD,2 = 2.15 for x = 0; 3.9 for x = 1 | VGa or VGa related complex | [16] |
| EPIDL,3 = 2.20 for x = 0; 3.9 for x~1 | VGa-ON; shallow donor and a deep acceptor pair; VIII-ON | [17,18] [19] [13] |
| EPILD,4 = 2.80 for x = 0; 3.0 | VIII-ON related | [20] |
| EPILD,5 = 2.80 for x = 0; 3.17 | VIII related | [21] |
© 2019 by the authors. Licensee MDPI, Basel, Switzerland. This article is an open access article distributed under the terms and conditions of the Creative Commons Attribution (CC BY) license (http://creativecommons.org/licenses/by/4.0/).
Share and Cite
Ceponis, T.; Badokas, K.; Deveikis, L.; Pavlov, J.; Rumbauskas, V.; Kovalevskij, V.; Stanionyte, S.; Tamulaitis, G.; Gaubas, E. Evolution of Scintillation and Electrical Characteristics of AlGaN Double-Response Sensors During Proton Irradiation. Sensors 2019, 19, 3388. https://doi.org/10.3390/s19153388
Ceponis T, Badokas K, Deveikis L, Pavlov J, Rumbauskas V, Kovalevskij V, Stanionyte S, Tamulaitis G, Gaubas E. Evolution of Scintillation and Electrical Characteristics of AlGaN Double-Response Sensors During Proton Irradiation. Sensors. 2019; 19(15):3388. https://doi.org/10.3390/s19153388
Chicago/Turabian StyleCeponis, Tomas, Kazimieras Badokas, Laimonas Deveikis, Jevgenij Pavlov, Vytautas Rumbauskas, Vitalij Kovalevskij, Sandra Stanionyte, Gintautas Tamulaitis, and Eugenijus Gaubas. 2019. "Evolution of Scintillation and Electrical Characteristics of AlGaN Double-Response Sensors During Proton Irradiation" Sensors 19, no. 15: 3388. https://doi.org/10.3390/s19153388
APA StyleCeponis, T., Badokas, K., Deveikis, L., Pavlov, J., Rumbauskas, V., Kovalevskij, V., Stanionyte, S., Tamulaitis, G., & Gaubas, E. (2019). Evolution of Scintillation and Electrical Characteristics of AlGaN Double-Response Sensors During Proton Irradiation. Sensors, 19(15), 3388. https://doi.org/10.3390/s19153388

