Reliability and Maintenance Analysis of Unmanned Aerial Vehicles †
Abstract
1. Introduction
1.1. Definitions
1.1.1. Reliability
1.1.2. Availability
1.1.3. The Environment
2. RAMS Assessment
3. How Reliable Does a Drone Have to Be?
- Catastrophic failures: for these kind of failures, a crash of the drone is certain while injuries or even the death of persons on the ground is possible.
- Severe failures: heavy damages are expected and the probability of repairing the drone is low.
- Moderate failures: cause a moderate degradation of the drone’s functions, which could lead to aborting the mission; however, they are not cause of severe damage.
- Soft failures: cause light degradation of the drone’s functions, but do not lead to the cancellation of the mission.
4. Reliability Assessment Hierarchy
4.1. Ground Control System (GCS)
4.2. Mainframe
4.3. Power Plant
4.4. Navigation System
4.5. Electronic System
4.6. Payload
5. Multiplexed Systems
6. The UAV as a Complex Maintenance System
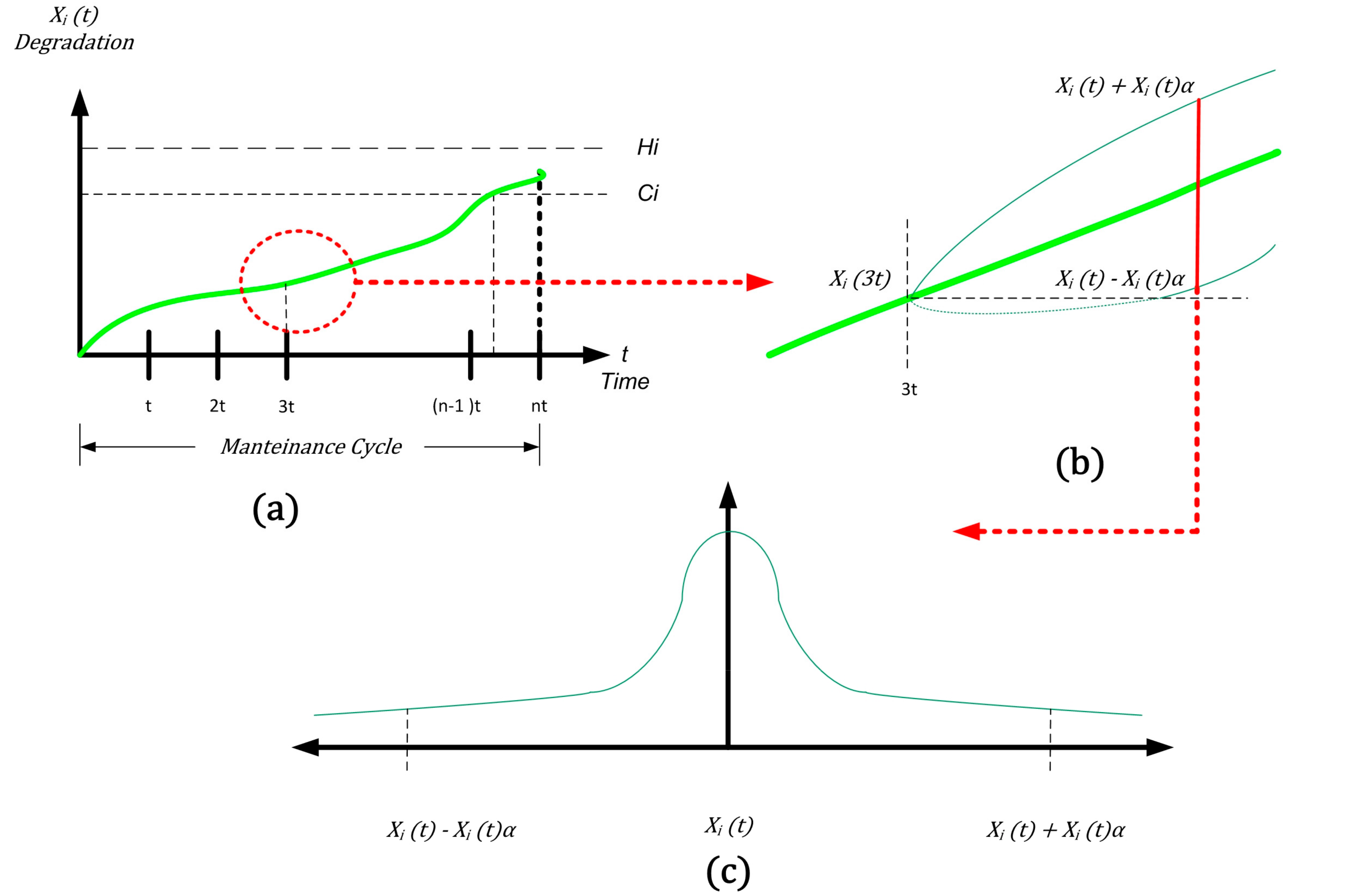
6.1. Degradation Model for an UAV
6.2. Uncertainty of Degradation in Corrective Maintenance
6.3. The Thresholds of Preventive Maintenance
6.4. The Failure Rate Paradox
7. Conclusions
Author Contributions
Funding
Conflicts of Interest
References
- Petritoli, E.; Leccese, F.; Ciani, L. Reliability Degradation, Preventive and Corrective Maintenance of UAV Systems. In Proceedings of the 2018 5th IEEE International Workshop on Metrology for AeroSpace (MetroAeroSpace), Rome, Italy, 20–22 June 2018; pp. 430–434. [Google Scholar] [CrossRef]
- Hobbs, A.; Herwitz, S. Human Challenges in the Maintenance of Unmanned Aircraft Systems; Interim Report to FAA and NASA; NASA: Moffett Field, CA, USA, May 2006.
- Overview of Military Drones Used By the UK Armed Forces; House of Commons Library: London, UK, 2015.
- Bhamidipati, K.K.; Uhlig, D.; Neogi, N. Engineering Safety and Reliability into UAV Systems: Mitigating the Ground Impact Hazard; University of Illinois, Urbana-Champaign: Urbana, IL, USA, August 2007; Volume 61822. [Google Scholar] [CrossRef]
- Austin, R. Unmanned Aircraft Systems; Wiley: Hoboken, NJ, USA, May 2010; ISBN 978-0-470-05819-0. [Google Scholar]
- US Department of Defence. Electronic Reliability Design Handbook; Technical Report, MIL-HDBK-338B; US Department of Defence: Washington, DC, USA, 1998.
- Miller, J.A.; Minear, P.D.; Niessner, A.F.; DeLullo, A.M.; Geiger, B.R.; Long, L.N.; Horn, J.F. Intelligent Unmanned Air Vehicle Flight Systems. In Proceedings of the AIAA 2005-7081 Infotech@Aerospace Conference, Arlington, VA, USA, 3–5 September 2005. [Google Scholar]
- Schmidt, J.; Parker, R. Development of A UAV Mishap Human Factors Database. In Proceedings of the Unmanned Systems 1995 Proceedings, Washington, DC, USA, 10–12 July 1995. [Google Scholar]
- Ballenger, K. Unmanned Aircraft Systems—General Overview. In Proceedings of the Presented to American Institute of Aeronautics and Astronautics, San Diego, CA, USA, 26–28 March 2013. [Google Scholar]
- Paggi, R.; Mariotti, G.L.; Paggi, A.; Leccese, F. Optimization of Availability Operation via simulated Prognostics. In Proceedings of the Metrology for Aerospace, 2nd IEEE International Workshop, Benevento, Italy, 4–5 June 2015; pp. 44–48, ISBN 978-1-4799-7568-6. [Google Scholar] [CrossRef]
- Clough, B.T. Unmanned Aerial Vehicles: Autonomous Control Challenges, A Researcher’s Perspective. J. Aerosp. Comput. Inf. Commun. 2005, 2, 327–347. [Google Scholar] [CrossRef]
- Department of Defense. MIL-HDBK-217/F2 Reliability Prediction of Electronic Equipment; Department of Defense: Washington, DC, USA, 1995.
- De Francesco, E.; De Francesco, R. The CoDeF structure: A way to evaluate Ai including failures caused by multiple minor degradations. In Proceedings of the 2nd IEEE International Workshop Metrology for Aerospace, Benevento, Italy, 3–5 June 2015. [Google Scholar]
- Weibel, R.; Hansman, R.J. Safety Considerations for Operation of Different Classes of UAVs in the NAS. In Proceedings of the AIAA 3rd “Unmanned Unlimited” Technical Conference, Workshop and Exhibit, Infotech@Aerospace Conferences, Chicago, IL, USA, 20–23 September 2004. [Google Scholar] [CrossRef]
- Peroni, M.; Dolce, F.; Kingston, J.; Palla, C.; Fanfani, A.; Leccese, F. Reliability study for LEO satellites to assist the selection of end of life disposal methods. In Proceedings of the 3rd IEEE International Workshop on Metrology for Aerospace, MetroAeroSpace 2016—Proceedings, Florence, Italy, 21–23 June 2016; pp. 141–145. [Google Scholar]
- Kabir, A.; Bailey, C.; Lu, H.; Stoyanov, S. A review of data-driven prognostics in power electronics. In Proceedings of the 35th International Spring Seminar on Electronics Technology, Bad Aussee, Austria, 9–13 May 2012; pp. 189–192. [Google Scholar] [CrossRef]
- Heywood, J.B.; Sher, E. The Two-Stroke Cycle Engine: Its Development, Operation, and Design; Society of Automotive Engineers, Inc.: Warrendale, PA, USA, 1999. [Google Scholar]
- USAF Judge Advocate General’s Corps. USAF Accident Investigation Board Reports. Available online: http://usaf.aib.law.af.mil/ (accessed on 1 July 2008).
- US Department of Defense. Reliability Prediction of Electronic Components; Technical Report, MIL-HDBK-217/F2; Department of Defense: Washington, DC, USA, 1991.
- Smith, G.; Schroeder, J.B.; Navarro, S.; Haldeman, D. Development of a prognostics and health management capability for the Joint Strike Fighter. In Proceedings of the 1997 IEEE Autotestcon Proceedings AUTOTESTCON ‘97, IEEE Systems Readiness Technology Conference. Systems Readiness Supporting Global Needs and Awareness in the 21st Century, Anaheim, CA, USA, 22–25 September 1997; pp. 676–682. [Google Scholar] [CrossRef]
- Murtha, J.F. An Evidence Theoretical Approach to Design of Reliable Low-Cost UAV’s. Master’s Thesis, Virginia Polytechnic Institute and State University, Blacksburg, VA, USA, 2009. [Google Scholar]
- Liu, H.; Yu, J.; Zhang, P.; Li, S. A review on fault prognostics in integrated health management. In Proceedings of the 2009 9th International Conference on Electronic Measurement & Instruments, Beijing, China, 16–19 August 2009; pp. 267–270. [Google Scholar] [CrossRef]
- Beard, R.W.; McLain, T.W. Small Unmanned Aircraft—Theory and Practice; Princeton University Press: Princeton, NJ, USA, 2012. [Google Scholar]
- Ng, Y.; Tomblin, J.; Freisthler, M. NCAMP Standard Operating Procedures. Available online: https://www.niar.wichita.edu/coe/ncamp_documents/ncampsop/NSP%20100%20NCAMP%20Standard%20Operating%20Procedure%20March%2011% (accessed on 1 May 2012).
- Paggi, R.; Mariotti, G.L.; Paggi, A.; Calogero, A.; Leccese, F. Prognostics via physics-based probabilistic simulation approaches. In Proceedings of the 3rd IEEE International Workshop on Metrology for Aerospace, MetroAeroSpace 2016, Florence, Italy, 22–23 June 2016; pp. 130–135. [Google Scholar]
- De Oliveira Martins Franco, B.J.; Sandoval Góes, L.C. Failure Analysis Methods in Unmanned Aerial Vehicle (UAV) Applications. In Proceedings of the Proceedings of COBEM 2007 19th International Congress of Mechanical Engineering, Brasília, Brazil, 5–9 November 2007. [Google Scholar]
- Schirripa Spagnolo, G.; Papalillo, D.; Leccese, F. Forensic Metrology: Uncertainty of Measurements in Forensic Analysis. In Proceedings of the 20th IMEKO TC-4 International Symposium Measurement of Electrical Quantities, Benevento, Italy, 15–17 September 2014. [Google Scholar]
- De Francesco, E.; De Francesco, R.; Leccese, F.; Cagnetti, M. Risk analysis in aviation: The forensic point of view. In Proceedings of the 20th IMEKO TC4 Symposium on Measurements of Electrical Quantities, Research on Electrical and Electronic Measurement for the Economic Upturn, together with 18th TC4 International Workshop on ADC and DCA Modeling and Testing, Benevento, Italy, 15–17 September 2014; pp. 563–568. [Google Scholar]
- Caciotta, M.; Cerqua, V.; Leccese, F.; Giarnetti, S.; DeFrancesco, E.; De Francesco, E.; Scaldarella, N. A First Study on Prognostic System for Electric Engines Based on Envelope Analysis. In Proceedings of the IEEE International Workshop on Metrology for Aerospace, Benevento, Italy, 29–30 May 2014. [Google Scholar]
- Blom, J.D. Unmanned Aerial System a Historical Perspective; Combat Studies Institute Press: Fort Leavenwort, KS, USA, 2010; Available online: https://usacac.army.mil/cac2/cgsc/carl/download/csipubs/OP37.pdf (accessed on 5 April 2018).
- ASD/AIA. S3000L International Procedure Specification for Logistic Support Analysis LSA. Issue 1.1. 24 July 2014. Available online: http://www.s3000l.org/ (accessed on 9 May 2016).
- Kakaes, K.; Greenwood, F.; Lippincott, M.; Dosemagen, S.; Meier, P.; Wich, S. Drones and Aerial Observation: New Technologies for Property Rights, Human Rights, and Global Development. New America. 2015. Available online: http://www.rhinoresourcecenter.com/pdf_files/143/1438073140.pdf (accessed on 5 May 2016).
- De Angelis, G.; Dati, E.; Bernabei, M.; Leccese, F. Development on aerospace composite structures investigation using thermography and shearography in comparison to traditional NDT methods. In Proceedings of the 2nd IEEE International Workshop on Metrology for Aerospace, MetroAeroSpace 2015, Benevento, Italy, 4–5 June 2015; pp. 49–55. [Google Scholar] [CrossRef]
- Draper, M.; Calhoun, G.; Ruff, H.; Williamson, D.; Barry, T. Manual versus Speech Input for the Unmanned Aerial Vehicle Control Station Operations. In Proceedings of the 47th Annual Meeting Human Factors and Ergonomics Society, Denver, CO, USA, 13–17 October 2003. [Google Scholar]
- Tobon-Mejia, D.A.; Medjaher, K.; Zerhouni, N.; Tripot, G. A Data-Driven Failure Prognostics Method Based on Mixture of Gaussians Hidden Markov Models. IEEE Trans. Reliab. 2012, 61, 491–503. [Google Scholar] [CrossRef]
- Reimann, S.; Amos, J.; Bergquist, E.; Cole, J.; Phillips, J.; Shuster, S. UAV for Reliability Build; Technical Report; Department of Aerospace Engineering and Mechanics, University of Minnesota: Minneapolis, MN, USA, May 2014. [Google Scholar]
- Bianchi, S.; Paggi, R.; Mariotti, G.L.; Leccese, F. Why and When Must the Preventive Maintenance be Performed? In Proceedings of the IEEE International Workshop on Metrology for Aerospace, Benevento, Italy, 29–30 May 2014; pp. 221–226. [Google Scholar]
- USA Department of Defense. MIL-1388-2B Logistics Support Analysis Record. Available online: http://ld.hq.nasa.gov/docs/MILSTD-1388-2B_DoD_Requirements.pdf (accessed on 5 May 2016).
- Wichita State University; SAE International. Polymer Matrix Composites: Guidelines for Characterization of Structural Materials; ASTM International: West Conshohocken, PA, USA, 2002; Volume 1, ISBN 978-0-7680-7811-4. [Google Scholar]
- Saha, B.; Goebel, K.; Christophersen, J. Comparison of prognostic algorithms for estimating remaining useful life of batteries. Trans. Inst. Meas. Control SAGE J. 2009, 31, 293–308. Available online: http://tim.sagepub.com/content/31/3-4/293.abstract (accessed on 5 May 2016). [CrossRef]
- Wood, S. Autonomous Underwater Gliders. In Underwater Vehicles; Inzartsev, A.V., Ed.; In-Tech: Vienna, Austria, 2009; Chapter 26; pp. 499–524. [Google Scholar]
- Kayton, M.; Fried, W.R. Avionics Navigation Systems; Wiley: Hoboken, NJ, USA, 1997. [CrossRef]
- Wang, T.; Yu, J.; Siegel, D.; Lee, J. A similarity-based prognostics approach for Remaining Useful Life estimation of engineered systems. In Proceedings of the International Conference on Prognostics and Health Management, Denver, CO, USA, 6–9 October 2008; pp. 1–6. [Google Scholar] [CrossRef]
- Schaefer, R. Unmanned Aerial Vehicle Reliability Study; Office of the Secretary of Defense: Washington, DC, USA, February 2003. [Google Scholar]
- Zio, E.; Di Maio, F. A data-driven fuzzy approach for predicting the remaining useful life in dynamic failure scenarios of a nuclear system. Reliab. Eng. Syst. Saf. 2010, 95, 49–57. [Google Scholar] [CrossRef]
- Petritoli, E.; Leccese, F.; Ciani, L. Reliability assessment of UAV systems. In Proceedings of the 2017 IEEE International Workshop on Metrology for AeroSpace (MetroAeroSpace), Padua, Italy, 21–23 June 2017; pp. 266–270. [Google Scholar] [CrossRef]
- Gnedenko, B.; Belyayev, Y.; Solovyev, A.D. Mathematical Methods of Reliability Theory; Barlow, R.E., Ed.; Academic Press: New York, NY, USA, 1969. [Google Scholar]
- Lloyd, D.; Lipow, M. Reliability: Management, Methods, and Mathematics. Am. Math. Mon. 1963, 70, 342. [Google Scholar]
- Romig, H. Binomial Table; John Wiley and Sons, Inc.: New York, NY, USA, 1953. [Google Scholar]
- Shooman, M. Probabilistic Reliability: An Engineering Approach; McGraw-Hill: New York, NY, USA, 1968. [Google Scholar]
- Rao, C. Linear Statistical Inference and Its Applications; John Wiley and Sons, Inc.: New York, NY, USA, 1977. [Google Scholar]
- Mann, N.; Schafer, R.; Sigpurwalla, N. Mathematical Methods for Statistical Analysis of Reliability and Life Data; John Wiley and Sons, Inc.: New York, NY, USA, 1974. [Google Scholar]
- Graver, J.G.; Liu, J.; Woolsey, C.; Leonard, N.E. Design and Analysis of an Underwater Vehicle for Controlled Gliding. In Proceedings of the 1998 Conference on Information Sciences and Systems, Princeton, NJ, USA, 15–17 March 1998; pp. 801–806. [Google Scholar]
- Chen, Y.; Chen, T. Implementing Fault-Tolerance via Modular Redundancy with Comparison. IEEE Trans. Reliab. 1990, 39, 217–225. [Google Scholar] [CrossRef]
- Feldstein, C.B.; Muzio, J.C. Development of a Fault Tolerant Flight Control System. In Proceedings of the 23rd Digital Avionics Systems Conference (IEEE Cat. No. 04CH37576), Salt Lake City, UT, USA, 28 October 2004; p. 6.E.3-61. [Google Scholar] [CrossRef]
- Khan, R.; Williams, P.; Riseborough, P.; Rao, A.; Hill, R. Active Fault Tolerant Flight Control System Design—A UAV Case Study. Available online: https://arxiv.org/abs/1610.03162v1 (accessed on 7 May 2016).
- Ducard, G.J.J. Fault-tolerant Flight Control and Guidance Systems. In Practical Methods for Small Unmanned Aerial Vehicles; Springer: Berlin, Germany, 2009; Volume XXII, p. 264. [Google Scholar]
- Kobayashi, Y.; Takahashi, M. Design of Intelligent Fault-Tolerant Flight Control System for Unmanned Aerial Vehicles. Keio University. Japan. Nihon Kikai Gakkai Ronbunshu C Hen/Trans. Jpn. Soc Mech Eng. Part C 2009, 75, 2301–2310. [Google Scholar]
- Zhang, X.; Li, H.; Yuan, D. Dual Redundant Flight Control System Design for Microminiature. UAV. In Proceedings of the 2nd International Conference on Electrical, Computer Engineering and Electronics, Jinan, China, 29–31 May 2015. [Google Scholar] [CrossRef]
- Department of the Army. Reliability/Availability of Electrical and Mechanical Systems for Command, Control, Communications, Computer, Intelligence, Surveillance and Reconnaissance (C4ISR) Facilities. TM 5-698-1. 2003. Available online: https://www.wbdg.org/FFC/ARMYCOE/COETM/tm_5_698_1.pdf (accessed on 1 March 2018).
- Poole, J. A Fast Reliability Analysis for an Unmanned Aerial Vehicle Performing a Phased Mission. Ph.D. Thesis, Loughborough University, Loughborough, UK, 2011. Available online: https://dspace.lboro.ac.uk/2134/8775 (accessed on 1 March 2018).
- Zhu, Q. Maintenance Optimization for Multi-Component Systems under Condition Monitoring. Technische Universiteit Eindhoven, Eindhoven. 2015. Available online: https://pure.tue.nl/ws/portalfiles/portal/3934830/784814.pdf (accessed on 1 March 2018).
- Zhu, Q.; Peng, H.; van Houtum, G.J. A condition-based maintenance policy for multicomponent systems with a high maintenance setup cost. In OR Spectrum; Springer: Berlin, Germany, 2015; Volume 37, pp. 1007–1035. [Google Scholar] [CrossRef]
- DSIAC. Reliability of UAVs and Drones. Available online: https://www.dsiac.org/resources/journals/dsiac/spring-2017-volume-4-number-2/reliability-uavs-and-drones (accessed on 1 March 2018).









| Class 1 | Definition 1 |
|---|---|
| AUF Airborne, Uninhabited, Fighter | Environmentally uncontrolled areas, which cannot be inhabited by an aircrew during flight. Environmental extremes of pressure, temperature and shock may be severe. |
| Commercial Drone (a) | |||
| System Description | λP System FIT (F/106 hrs) | MTBF (hours) | Incidence (%) |
| Ground Control System | 2.00 | 500,000.0 | 6.62% |
| Mainframe | 2.77 | 360,984.8 | 9.16% |
| Power plant | 9.94 | 100,603.6 | 32.88% |
| Navigation system | 9.41 | 106,269.9 | 31.13% |
| Electronic system | 5.01 | 199,600.8 | 16.57% |
| Payload | 1.10 | 909,090.9 | 3.64% |
| λ TOTAL = | 30.23 | FIT | |
| MTBF (RTotal) = | 33,079.50 | Hours | |
| 1378.31 | Days | ||
| 49.23 | Months | ||
| Military Drone (b) | |||
| System Description | λP System FIT (F/106 hrs) | MTBF (hours) | Incidence (%) |
| Ground Control System | 14.00 | 71,403.6 | 27.30% |
| Mainframe | 2.77 | 360,984.8 | 5.40% |
| Power plant | 21.08 | 47,428.7 | 41.10% |
| Navigation system | 7.39 | 135,369.3 | 14.40% |
| Electronic system | 3.44 | 290,942.9 | 6.70% |
| Payload | 2.62 | 382,219.2 | 5.10% |
| λ TOTAL = | 51.30 | FIT | |
| MTBF (RTotal) = | 19,493.18 | Hours | |
| 812.22 | Days | ||
| 29.01 | Months | ||
© 2018 by the authors. Licensee MDPI, Basel, Switzerland. This article is an open access article distributed under the terms and conditions of the Creative Commons Attribution (CC BY) license (http://creativecommons.org/licenses/by/4.0/).
Share and Cite
Petritoli, E.; Leccese, F.; Ciani, L. Reliability and Maintenance Analysis of Unmanned Aerial Vehicles. Sensors 2018, 18, 3171. https://doi.org/10.3390/s18093171
Petritoli E, Leccese F, Ciani L. Reliability and Maintenance Analysis of Unmanned Aerial Vehicles. Sensors. 2018; 18(9):3171. https://doi.org/10.3390/s18093171
Chicago/Turabian StylePetritoli, Enrico, Fabio Leccese, and Lorenzo Ciani. 2018. "Reliability and Maintenance Analysis of Unmanned Aerial Vehicles" Sensors 18, no. 9: 3171. https://doi.org/10.3390/s18093171
APA StylePetritoli, E., Leccese, F., & Ciani, L. (2018). Reliability and Maintenance Analysis of Unmanned Aerial Vehicles. Sensors, 18(9), 3171. https://doi.org/10.3390/s18093171

