Precision and Accuracy of a Direct-Reading Miniaturized Monitor in PM2.5 Exposure Assessment
Abstract
1. Introduction
2. Materials and Methods
2.1. Study Design
2.2. Instruments: PM
2.3. Instruments: Meteorological Data
2.4. Statistical Analyses and Data Treatment
3. Results
3.1. Average PM2.5 Levels and Meteorological Parameters
3.2. Precision Evaluation: Comparison among AB Copies
3.3. Accuracy: Comparison with Reference Methods
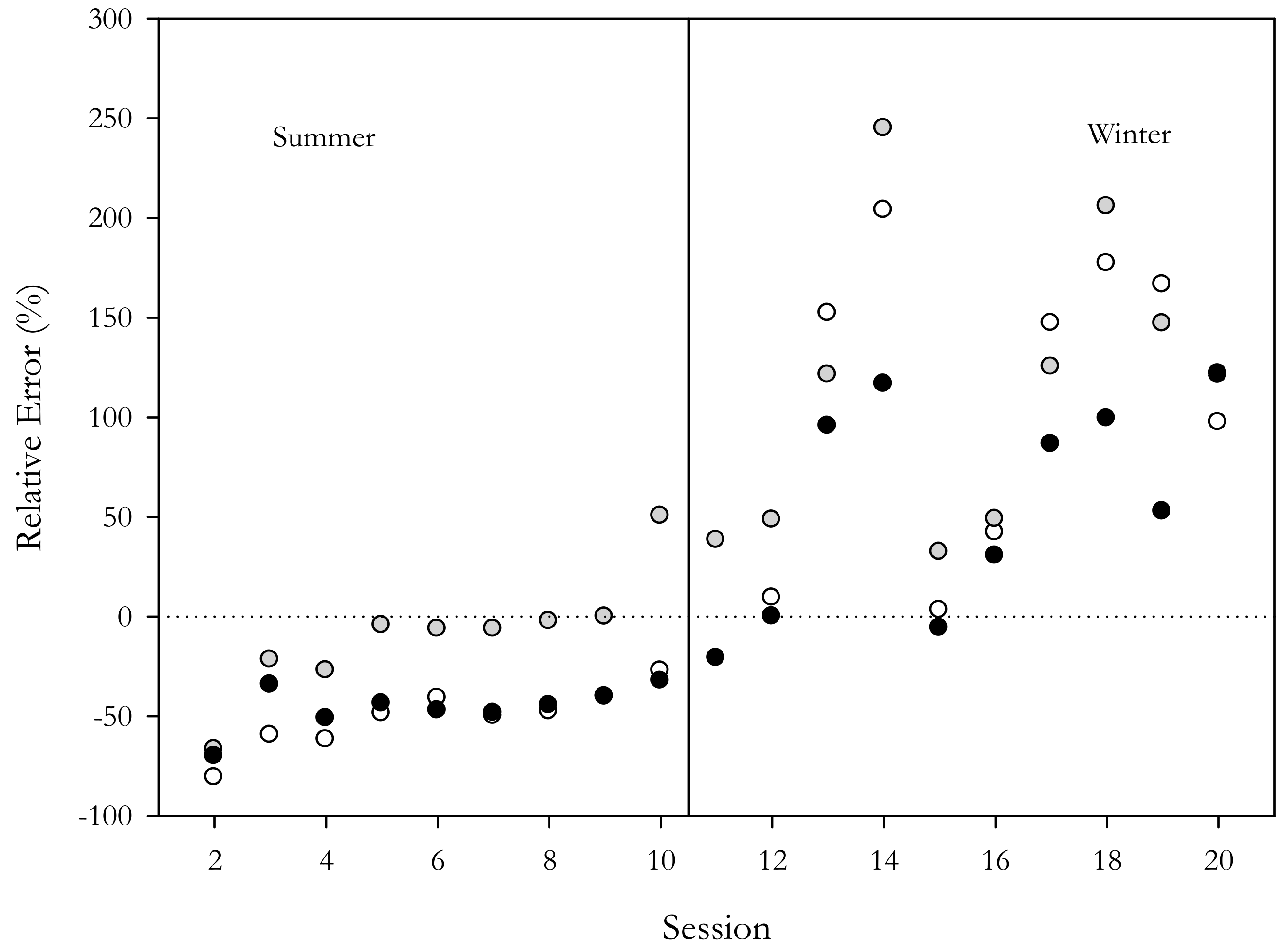
3.4. Accuracy: Measurement Error Trends
3.5. Error and Meteorological Parameters
4. Discussion
4.1. Practicality
4.2. Strengths and Limitations of The Study
5. Conclusions
Supplementary Materials
Author Contributions
Funding
Acknowledgments
Conflicts of Interest
References
- World Health Organization. Effects of Air Pollution on Children’s Health and Development—A Review of the Evidence. European Center for Environment and Health; World Health Organization: Geneva, Switzerland, 2005. [Google Scholar]
- Raaschou-Nielsen, O.; Beelen, R.; Wang, M.; Hoek, G.; Andersen, Z.J.; Hoffmann, B.; Stafoggia, M.; Samoli, E.; Weinmayr, G.; Dimakopoulou, K.; et al. Particulate matter air pollution components and risk for lung cancer. Environ. Int. 2016, 87, 66–73. [Google Scholar] [CrossRef] [PubMed]
- Hänninen, O.; Knol, A.B.; Jantunen, M.; Lim, T.A.; Conrad, A.; Rappolder, M.; Carrer, P.; Fanetti, A.C.; Kim, R.; Buekers, J.; et al. Environmental burden of disease in Europe: Assessing nine risk factors in six countries. Environ. Health Perspect. 2014, 122, 439. [Google Scholar]
- Stafoggia, M.; Samoli, E.; Alessandrini, E.; Cadum, E.; Ostro, B.; Berti, G.; Faustini, A.; Jacquemin, B.; Linares, C.; Pascal, M.; et al. Short-term associations between fine and coarse particulate matter and hospitalizations in Southern Europe: Results from the MED-PARTICLES Project. Environ. Health Perspect. 2013, 121, 1026–1033. [Google Scholar] [CrossRef] [PubMed]
- Brook, R.D.; Rajagopalan, S.; Pope, C.A.; Brook, J.R.; Bhatnagar, A.; Diez-Roux, A.V.; Holguin, F.; Hong, Y.; Luepker, R.V.; Mittleman, M.A.; et al. Particulate matter air pollution and cardiovascular disease an update to the scientific statement from the American Heart Association. Circulation 2010, 107, 2331–2378. [Google Scholar] [CrossRef] [PubMed]
- Velasco, A.; Ferrero, R.; Gandino, F.; Montrucchio, B.; Rebaudengo, M. A mobile and low-cost system for environmental monitoring: A case study. Sensors 2016, 16, 710. [Google Scholar] [CrossRef] [PubMed]
- Xiang, Y.; Tang, Y.; Zhu, W. Mobile sensor network noise reduction and recalibration using a Bayesian network. Atmos. Meas. Tech. 2016, 9, 347–357. [Google Scholar] [CrossRef]
- Antonić, A.; Marjanović, M.; Pripužić, K.; Podnar, Ž.I. A mobile crowd sensing ecosystem enabled by CUPUS: Cloud-based publish/subscribe middleware for the Internet of Things. Future Gener. Comput. Syst. 2016, 56, 607–622. [Google Scholar] [CrossRef]
- Mead, M.I.; Popoola, O.A.M.; Stewart, G.B.; Landshoff, P.; Calleja, M.; Hayes, M.; Baldovi, J.J.; McLeod, M.W.; Hodgson, T.F.; Dicks, J.; et al. The use of electrochemical sensors for monitoring urban air quality in low-cost, high-density networks. Atmos. Environ. 2013, 70, 186–203. [Google Scholar] [CrossRef]
- Magno, M.; Jelicic, V.; Chikkadi, K.; Roman, C.; Hierold, C.; Bilas, V.; Benini, L. Low-power gas sensing using carbon nanotubes in wearable devices. IEEE Sens. J. 2016, 23, 8329–8337. [Google Scholar] [CrossRef]
- Pokrić, B.; Krčo, S.; Drajić, D.; Pokrić, M.; Rajs, V.; Mihajlović, Z.; Knežević, P.; Jovanović, D. Augmented reality enabled IoT services for environmental monitoring utilising serious gaming concept. J. Wirel. Mob. Netw. 2015, 6, 37–55. [Google Scholar]
- Snyder, E.G.; Watkins, T.H.; Solomon, P.A.; Thoma, E.D.; Williams, R.W.; Hagler, G.S.W.; Shelow, D.; Hindin, D.A.; Kilaru, V.J.; Preuss, P.W. The changing paradigm of air pollution monitoring. Environ. Sci. Technol. 2013, 47, 11369–11377. [Google Scholar] [CrossRef] [PubMed]
- Buonanno, G.; Fuoco, F.C.; Stabile, L. Influential parameters on particle exposure of pedestrians in urban microenvironments. Atmos. Environ. 2011, 45, 1434–1443. [Google Scholar] [CrossRef]
- Liu, Y.; Beaucham, C.C.; Pearce, T.A.; Zhuang, Z. Assessment of two portable real-time particle monitors used in nanomaterial workplace exposure evaluations. PLoS ONE 2014, 9, 105769. [Google Scholar] [CrossRef] [PubMed]
- Price, H.D.; Stahlmecke, B.; Arthur, R.; Kaminski, H.; Lindermann, J.; Dauber, E.; Asbach, C.; Kuhlbusch, T.A.J.; Berube, K.A.; Jones, T.P. Comparison of instruments for particle number size distribution measurements in air quality monitoring. J. Aerosol Sci. 2014, 76, 48–55. [Google Scholar] [CrossRef]
- Stabile, L.; Cauda, E.; Marini, S.; Buonanno, G. Metrological assessment of a portable analyzer for monitoring the particle size distribution of ultrafine particles. Ann. Occup. Hyg. 2014, 58, 860–876. [Google Scholar] [PubMed]
- Zimmerman, N.; Pollitt, K.J.G.; Jeong, C.H.; Wang, J.M.; Jung, T.; Cooper, J.M.; Wallace, J.S.; Evans, G.J. Comparison of three nanoparticle sizing instruments: The influence of particle morphology. Atmos. Environ. 2014, 86, 140–147. [Google Scholar] [CrossRef]
- Kaminski, H.; Kuhlbusch, T.A.; Rath, S.; Gotz, U.; Sprenger, M.; Wels, D.; Polloczek, J.; Bachmann, V.; Dziurowitz, N.; Kiesling, H.J.; et al. Comparability of mobility particle sizers and diffusion chargers. J. Aerosol Sci. 2013, 57, 156–178. [Google Scholar] [CrossRef]
- Asbach, C.; Kaminski, H.; von Barany, D.; Kuhlbusch, T.A.J.; Monz, C.; Dziurowitz, N.; Pelzer, J.; Vossen, K.; Berlin, K.; Dietrich, S.; et al. Comparability of portable nanoparticle exposure monitors. Ann. Occup. Hyg. 2012, 56, 606–621. [Google Scholar] [PubMed]
- Spinazzè, A.; Fanti, G.; Borghi, F.; Del Buono, L.; Campagnolo, D.; Rovelli, S.; Cattaneo, A.; Cavallo, D.M. Field comparison of instruments for exposure assessment of airborne ultrafine particles and particulate matter. Atmos. Environ. 2017, 154, 274–284. [Google Scholar] [CrossRef]
- Cambra-Lopez, M.; Winkel, A.; Mosquera, J.; Ogink, N.W.; Aarnink, A.J. Comparison between light scattering and gravimetric samplers for PM10 mass concentration in poultry and pig houses. Atmos. Environ. 2015, 111, 20–27. [Google Scholar] [CrossRef]
- Viana, M.; Rivas, I.; Reche, C.; Fonseca, A.S.; Perez, N.; Querol, X.; Alastuey, A.; Alvarez-Pedrerol, M.; Sunyer, J. Field comparison of portable and stationary instruments for outdoor urban air exposure assessments. Atmos. Environ. 2015, 123, 220–228. [Google Scholar] [CrossRef]
- Belosi, F.; Santachiara, G.; Prodi, F. Performance evaluation of four commercial optical particle counters. Atmos. Clim. Sci. 2013, 3, 27561. [Google Scholar] [CrossRef]
- Giorio, C.; Tapparo, A.; Scapellato, M.L.; Carrieri, M.; Apostoli, P.; Bartolucci, G.B. Field comparison of a personal cascade impactor sampler, an optical particle counter and CEN-EU standard methods for PM10, PM2.5 and PM1 measurement in urban environment. J. Aerosol Sci. 2013, 65, 111–120. [Google Scholar] [CrossRef]
- Weber, K.; Eliasson, J.; Vogel, A.; Fischer, C.; Pohl, T.; van Haren, G.; Meier, M.; Grobety, B.; Dahmann, D. Airborne in-situ investigations of the Eyjafjallajokull volcanic ash plume on Iceland and over north-western Germany with light aircrafts and optical particle counters. Atmos. Environ. 2012, 48, 9–21. [Google Scholar] [CrossRef]
- Burkart, J.; Steiner, G.; Reischl, G.; Moshammer, H.; Neuberger, M.; Hitzenberger, R. Characterizing the performance of two optical particle counters (Grimm OPC1. 108 and OPC1. 109) under urban aerosol conditions. J. Aerosol Sci. 2010, 41, 953–962. [Google Scholar] [CrossRef] [PubMed]
- Heim, M.; Mullins, B.J.; Umhauer, H.; Kasper, G. Performance evaluation of three optical particle counters with an efficient “multimodal” calibration method. J. Aerosol Sci. 2008, 39, 1019–1031. [Google Scholar] [CrossRef]
- Borghi, F.; Spinazzè, A.; Rovelli, S.; Campagnolo, D.; Del Buono, L.; Cattaneo, A.; Cavallo, D.M. Miniaturized Monitors for Assessment of Exposure to Air Pollutants: A Review. Int. J. Environ. Res. Public Health 2017, 14, 909. [Google Scholar] [CrossRef] [PubMed]
- Spinelle, L.; Gerboles, M.; Villani, M.G.; Aleixandre, M.; Bonavitacola, F. Field calibration of a cluster of low-cost commercially available sensors for air quality monitoring. Part B: NO, CO and CO2. Sens. Actuators B Chem. 2017, 238, 706–715. [Google Scholar] [CrossRef]
- Castell, N.; Kobernus, M.; Liu, H.Y.; Schneider, P.; Lahoz, W.; Berre, A.J.; Noll, J. Mobile technologies and services for environmental monitoring: The citi-sense-mob approach. Urban Clim. 2015, 14, 370–382. [Google Scholar] [CrossRef]
- Mukherjee, A.; Stanton, L.G.; Graham, A.R.; Roberts, P.T. Assessing the Utility of Low-Cost Particulate Matter Sensors over a 12-Week Period in the Cuyama Valley of California. Sensors 2017, 17, 1805. [Google Scholar] [CrossRef] [PubMed]
- Sousan, S.; Koehler, K.; Hallett, L.; Peters, T.M. Evaluation of consumer monitors to measure particulate matter. J. Aerosol Sci. 2017, 107, 123–133. [Google Scholar] [CrossRef] [PubMed]
- Jiao, W.; Hagler, G.; Williams, R.; Sharpe, R.; Brown, R.; Garver, D.; Judge, R.; Caudill, M.; Rickard, J.; Caudill, M.; et al. Community Air Sensor Network (CAIRSENSE) project: Evaluation of low-cost sensor performance in a suburban environment in the southeastern United States. Atmos. Meas. Tech. 2016, 9, 5281–5292. [Google Scholar] [CrossRef]
- Johnson, K.K.; Bergin, M.H.; Russell, A.G.; Hagler, G.S.W. Field Test of Several Low-Cost Particulate Matter Sensors in High and Low Concentration Urban Environments. Aerosol Air Qual. Res. 2018, 18, 565–578. [Google Scholar] [CrossRef]
- Johnson, K.K.; Bergin, M.H.; Russell, A.G.; Hagler, G.S.W. Using Low Cost Sensors to Measure Ambient Particulate Matter Concentrations and On-Road Emissions Factors. Atmos. Meas. Tech. 2016. [Google Scholar] [CrossRef]
- Rovelli, S.; Cattaneo, A.; Borghi, F.; Spinazzè, A.; Campagnolo, D.; Limbeck, A.; Cavallo, D.M. Mass Concentration and Size-Distribution of Atmospheric Particulate Matter in an Urban Environment. Aerosol Air Qual. Res. 2017, 17, 1142–1155. [Google Scholar] [CrossRef]
- Agenzia per la Protezione dell’Ambiente e per i Servizi Tecnici (APAT). Available online: http://www.isprambiente.gov.it/files/aria/lineeguidaretimonitoraggio.pdf (accessed on 26 May 2018).
- Ambient Air—Standard Gravimetric Measurement Method for the Determination of the PM10 or PM2.5 Mass Concentration of Suspended Particulate Matter. Available online: http://store.uni.com/catalogo/index.php/en-12341-2014.html (accessed on 12 September 2018).
- Ambient Air Quality. Standard Gravimetric Measurement Method for the Determination of the PM2.5 Mass Fraction of Suspended Particulate Matter. Available online: https://shop.bsigroup.com/ProductDetail/?pid=000000000030111962 (accessed on 12 September 2018).
- Joshi, M.; Sharma, P.B.; Devara, P.C.S.; Jaina, S.; Bali, P.; Alam, M.P. Air Quality over Delhi NCR during Road Space Rationing Scheme Phase 2: An Observational Study. Int. J. Environ. Sci. 2016, 7, 125–130. [Google Scholar]
- Thompson, E. Crowd-sourced air quality studies: A review of the literature & portable sensors. Trends Environ. Anal. Chem. 2016, 11, 23–34. [Google Scholar]
- Watson, J.C.; Chow, J.C.; Moosmuller, H. Guidance for Using Continuous Monitoring in PM2.5 Monitoring Networks; EPA-454/R-98-012; U.S. Environmental Protection Agency: Washington, DC, USA, 1998.
- Guide to the Demonstration of Equivalence of Ambient air Monitoring Methods. Available online: http://ec.europa.eu/environment/air/quality/legislation/pdf/equivalence.pdf (accessed on 12 September 2018).
- Watson, J.G.; Cooper, J.A.; Huntzicker, J.J. The effective variance weighting for least squares calculations applied to the mass balance receptor model. Atmos. Environ. 1984, 18, 1347–1355. [Google Scholar] [CrossRef]
- Bland, J.M.; Altman, D.G. Statistical methods for assessing agreement between two methods of clinical measurement. Lancet 1986, 327, 307–310. [Google Scholar] [CrossRef]
- Altman, D.G.; Bland, J.M. Measurement in medicine: The analysis of method comparison studies. Statistician 1983, 32, 307–317. [Google Scholar] [CrossRef]
- Chung, A.; Chang, D.P.Y.; Kleeman, M.J.; Perry, K.D.; Cahill, T.A.; Dutcher, D.; McDougall, E.M.; Stroud, K. Comparison of Real-Time Instruments Used To Monitor Airborne Particulate Matter. Air Waste Manag. Assoc. 2001, 51, 109–120. [Google Scholar] [CrossRef]
- Spinazzè, A.; Cattaneo, A.; Garramone, G.; Cavallo, D.M. Temporal variation of size-fractionated particulate matter and carbon monoxide in selected microenvironments of the Milan urban area. J. Occup. Environ. Hyg. 2013, 10, 652. [Google Scholar] [CrossRef] [PubMed]
- AirBeam, AirCasting Online Manual. Available online: http://www.takingspace.org/aircasting/airbeam/ (accessed on 12 September 2018).
- Eeftens, M.; Tsai, M.-Y.; Ampe, C.; Anwander, B.; Beelen, R.; Bellander, T.; Cesaroni, G.; Cirach, M.; Cyrys, J.; de Hoogh, K.; et al. Spatial variation of PM2.5, PM10, PM2.5 absorbance and PM coarse concentrations between and within 20 European study areas and the relationship with NO2—Results of the ESCAPE project. Atmos. Environ. 2012, 62, 303–317. [Google Scholar]
- McGrath, J.A.; Sheahan, J.N.; Dimitroulopoulou, C.; Ashmore, M.R.; Terry, A.C.; Byrne, M.A. PM exposure variations due to different time activity profile simulations within a single dwelling. Build. Environ. 2017, 116, 55–63. [Google Scholar] [CrossRef]
- Ozgen, S.; Ripamonti, G.; Malandrini, A.; Ragettli, M.S.; Lonati, G. Particle number and mass exposure concentrations by commuter transport modes in Milan, Italy. AIMS Environ. Sci. 2016, 3, 168–184. [Google Scholar] [CrossRef]
- Cartenì, A.; Cascetta, F.; Campana, S. Underground and ground-level particulate matter concentrations in an Italian metro system. Atmos. Environ. 2015, 101, 328–337. [Google Scholar] [CrossRef]
- Liu, L.J.; Slaughter, J.C.; Larson, T.V. Comparison of light scattering devices and impactors for particulate measurements in indoor, outdoor, and personal environments. Environ. Sci. Technol. 2002, 36, 2977–2986. [Google Scholar] [CrossRef] [PubMed]
- Schumann, T. On the use of a modified clean-room optical particle counter for atmospheric aerosols at high relative humidity. Atmos. Res. 1990, 25, 499–520. [Google Scholar] [CrossRef]
- Jayaratne, R.; Liu, X.; Thai, P.; Dunbabin, M.; Morawska, L. The Influence of Humidity on the Performance of Low-Cost Air Particle Mass Sensors and the Effect of Atmospheric Fog. Atmos. Meas. Tech. 2018, 11, 4883–4890. [Google Scholar] [CrossRef]
- Costa, S.C.; Ribeiro, M.; Moreira, C.A.B.; Squizzato, R.; Rudke, A.P.; Rafee, S.A.A.; Martins, J.A.; Palioto, G.F.; Kumar, P.; Martins, L.D. Genotoxic effects of daily personal exposure to particle mass and number concentrations on buccal cells. Atsmos. Environ. 2018, 176, 148–157. [Google Scholar]
- Patel, M.; Koshta, M. Assessment of total suspended particles and particulate matter in different sites of Jabalpur City. IRJET 2018, 5, 2696–2701. [Google Scholar]
- Marchetti, A.; Pilehvar, S.; Hart, L.; Pernia, D.L.; Voet, O.; Anaf, W.; Nuyts, G.; Otten, E.; Demeyer, S.; Schalm, O.; et al. Indoor environmental quality index for conservation environments: The importance of including particulate matter. Build. Environ. 2017, 123, 132–146. [Google Scholar] [CrossRef]
- Vilčeková, S.; Kapalo, P.; Mečiarová, L.; Burdová, E.K.; Imreczeová, V. Investigation of Indoor Environment Quality in Classroom—Case Study. Procedia Eng. 2017, 190, 496–503. [Google Scholar] [CrossRef]
- Jurelionis, A.; Gagytė, L.; Prasauskas, T.; Čiužas, D.; Krugly, E.; Šeduikytė, L.; Martuzevičius, D. The impact of the air distribution method in ventilated rooms on the aerosol particle dispersion and removal: The experimental approach. Energy Build. 2015, 86, 305–313. [Google Scholar] [CrossRef]
- Nyhan, M.; McNabola, A.; Misstear, B. Comparison of particulate matter dose and acute heart rate variability response in cyclists, pedestrians, bus and train passengers. Sci. Total Environ. 2014, 468–469, 821–831. [Google Scholar] [CrossRef] [PubMed]
- Nyhan, M.; McNabola, A.; Misstear, B. Evaluating artificial neural networks for predicting minute ventilation and lung deposited dose in commuting cyclists. J. Transp. Health. 2014, 1, 305–315. [Google Scholar] [CrossRef]
- Feinberg, S.; Williams, R.; Hagler, G.S.W.; Rickard, J.; Brown, R.; Garver, D.; Harshfield, G.; Stauffer, P.; Mattson, E.; Judge, R.; et al. Long-term evaluation of air sensor technology under ambient conditions in Denver, Colorado. Atmos. Meas. Tech. 2018, 11, 4605–4615. [Google Scholar] [CrossRef]
- Papapostolou, V.; Zhang, H.; Feenstra, B.J.; Polidori, A. Development of an environmental chamber for evaluating the performance of low-cost air quality sensors under controlled conditions. Atmos. Environ. 2017, 171, 82–90. [Google Scholar] [CrossRef]
- Fonseca, A.S.; Talbot, N.; Schwarz, J.; Ondráček, J.; Ždímal, V.; Kozáková, J.; Viana, M.; Karanasiou, A.; Querol, X.; Alastuey, A.; et al. Intercomparison of four different cascade impactors for fine and ultrafine particle sampling in two European locations. Atmos. Chem. Phys. 2016. [Google Scholar] [CrossRef]


| Reference | MonitoRing Period | Sampling Point | Compared Instruments | Performed Analysis | Notes |
|---|---|---|---|---|---|
| [31] | 12 weeks | Cuyama Valley (California, USA). Field test | GRIMM 11-R Met One (BAM) | Precision Accuracy Evaluation of sampling orientation Size distribution Meteorology and size distribution influence | High precision between couple of ABs: R2 > 0.95 Low R2 for comparison between AB and BAM (<0.33) Instruments were evaluated over different meteorological conditions and aerosol properties Authors used the default conversion algorithm that was used to convert counts to PM concentrations (PM2.5: 0.518 + 0.00274 × particle count − hppcf) |
| [32] | n.a | Laboratory test | Personal DataRAM 1500, Thermo Scientific, Waltham, MA, USA | Tests performed across different occupational settings Regression analysis Bias analysis Precision analysis | R2 from comparison with comparison instrument: 0.7–0.96 High precision: 2–9% Precision < 10% for all types of aerosol used (salt, welding fume, ARD) AB is not able to detect mass concentrations > 200 µg/m3 |
| [33] | 2013–2014 | USA. Field test | Met One (BAM) FEM | Regression analysis OLS regression | R2 ranges from 0.65 and 0.66 |
| Data averaged for 1-min | PM2.5—Total Summer Dataset (µg/m3) | ||||||
| N | Mean | Median | Min. | Max. | S.D. | ||
| AB 1 | 3816 | 7.1 | 7.2 | 0.7 | 17.8 | 4.7 | |
| AB 2 | 3862 | 6.5 | 6.1 | 0.7 | 15.6 | 4.2 | |
| AB 3 | 3259 | 6.8 | 6.4 | 0.6 | 18.0 | 4.8 | |
| Aerocet | 4544 | 12.3 | 11.5 | 0.3 | 33.9 | 8.9 | |
| OPC | 4530 | 6.6 | 6.2 | 0.2 | 17.3 | 4.7 | |
| PM2.5—Total Winter Dataset (µg/m3) | |||||||
| N | Mean | Median | Min. | Max. | S.D. | ||
| AB 1 | 3782 | 34.9 | 33.3 | 0.8 | 104.1 | 29.5 | |
| AB 2 | 3574 | 40.8 | 38.7 | 0.9 | 108.9 | 32.3 | |
| AB 3 | 3833 | 37.9 | 42.5 | 0.7 | 95.0 | 28.5 | |
| Aerocet | 4645 | 50.8 | 43.7 | 0.8 | 202.6 | 46.5 | |
| OPC | 4097 | 52 | 40.9 | 0.8 | 313.2 | 50.1 | |
| 8-h data | PM2.5—Total Summer Dataset (µg/m3) | ||||||
| N | Mean | Median | Min. | Max. | S.D. | ||
| AB 1 | 9 | 7.0 | 8.0 | 1.3 | 13.2 | 4.7 | |
| AB 2 | 9 | 7.2 | 8.0 | 1.3 | 13.0 | 4.6 | |
| AB 3 | 9 | 7.0 | 8.0 | 1.2 | 13.3 | 4.7 | |
| Aerocet | 9 | 12.7 | 14.1 | 1.4 | 28.5 | 9.4 | |
| OPC | 9 | 6.8 | 7.6 | 0.8 | 13.8 | 4.9 | |
| EPA WINS | 9 | 12.5 | 14.8 | 2.3 | 21.7 | 7.2 | |
| PM2.5—Total Winter Dataset (µg/m3) | |||||||
| N | Mean | Median | Min. | Max. | S.D. | ||
| AB 1 | 10 | 38.1 | 39.8 | 5.3 | 98.1 | 31.0 | |
| AB 2 | 10 | 41.4 | 40.3 | 4.7 | 102.7 | 33.2 | |
| AB 3 | 10 | 36.1 | 36.1 | 5.0 | 88.0 | 27.1 | |
| Aerocet | 10 | 50.3 | 47.9 | 7.0 | 147.8 | 41.9 | |
| OPC | 10 | 47.8 | 47.1 | 0.0 | 133.9 | 41.7 | |
| EPA WINS | 10 | 22.8 | 20.5 | 5.3 | 48.3 | 15.8 | |
| Meteorological Data—Total Summer Dataset | |||||
|---|---|---|---|---|---|
| Mean | Median | Min. | Max. | S.D. | |
| ARPA cumulative rainfall (mm) | 0.0 | 0.0 | 0.0 | 0.2 | 0.0 |
| Temperature (°C) | 29.2 | 29.8 | 17.1 | 38.7 | 5.1 |
| RH (%) | 40.7 | 34.9 | 16.1 | 82.6 | 17.1 |
| Atmospheric pressure (hPa) | 1002.6 | 1002.5 | 993.9 | 1009.0 | 5.0 |
| Wind intensity (m/s) | 0.9 | 0.9 | 0.1 | 1.7 | 0.3 |
| Wind direction (°) | 186.4 | 198.0 | 2.0 | 267.0 | 64.3 |
| Meteorological Data—Total Winter Dataset | |||||
| Mean | Median | Min. | Max. | S.D. | |
| ARPA cumulative rainfall (mm) | 0.0 | 0.0 | 0.0 | 0.0 | 0.0 |
| Temperature (°C) | 8.0 | 8.8 | −0.9 | 14.0 | 3.2 |
| RH (%) | 67.8 | 72.4 | 23.9 | 99.9 | 21.1 |
| Atmospheric pressure (hPa) | 1005.4 | 1003.4 | 992.6 | 1022.3 | 8.6 |
| Wind intensity (m/s) | 39.5 | 0.5 | 0.0 | 229.0 | 75.4 |
| Wind direction (°) | 145.1 | 173.0 | 0.0 | 249.0 | 88.5 |
| Instrument Compared | Regression Model | Slope | Intercept | |||||||
|---|---|---|---|---|---|---|---|---|---|---|
| N | R | R2 | P | m | SE | p | q | SE | p | |
| AB1 vs. AB2 | 6188 | 0.995 | 0.990 | <0.001 | 0.978 | 0.001 | <0.001 | 0.018 | 0.001 | <0.001 |
| AB1 vs. AB3 | 5862 | 0.994 | 0.988 | <0.001 | 1.004 | 0.001 | <0.001 | 0.004 | 0.002 | 0.037 |
| AB2 vs. AB3 | 5761 | 0.995 | 0.990 | <0.001 | 1.027 | 0.001 | <0.001 | −0.011 | 0.002 | <0.001 |
| AB1 vs. AB2 | Comparable and mutually predictable: NO Comparable but not mutually predictable: YES | |||||||||
| AB1 vs. AB3 | ||||||||||
| AB2 vs. AB3 | ||||||||||
| AB1-AB2 (µg/m3) | AB1-AB3 (µg/m3) | AB2-AB3 (µg/m3) | |
|---|---|---|---|
| Total database (N: 20) | 2.58 | 2.80 | 4.25 |
| High concentration (>18 µg/m3) (N: 6) | 4.02 | 4.39 | 7.71 |
| Low concentration (<18 µg/m3) (N: 14) | 1.60 | 1.72 | 0.60 |
| Summer (N: 10) | 0.32 | 0.27 | 0.29 |
| Winter (N: 10) | 3.63 | 3.95 | 6.01 |
| ABx | Aerocet | OPC | EPA WINS | |
|---|---|---|---|---|
| ABx | --- | 0.991 | 0.932 | 0.916 |
| Aerocet | --- | --- | 0.940 | 0.932 |
| OPC | --- | --- | --- | 0.821 |
| EPA WINS | --- | --- | --- | --- |
| ABx | Aerocet | OPC | |
|---|---|---|---|
| ABx | --- | 0.982 (N = 9009) | 0.987 (N = 8467) |
| Aerocet | --- | --- | 0.989 (N = 8429) |
| OPC | --- | --- | --- |
| Instrument Compared | Regression Model | Slope | Intercept | |||||||
|---|---|---|---|---|---|---|---|---|---|---|
| N | R | R2 | p | m | SE | p | q | SE | p | |
| ABx vs. EPA WINS | 9 | 0.909 | 0.826 | <0.001 | 1.849 | 0.206 | <0.001 | −9.522 | 4.543 | 0.051 |
| Aerocet vs. EPA WINS | 9 | 0.899 | 0.808 | <0.001 | 2.428 | 0.287 | <0.001 | −11.042 | 6.336 | 0.099 |
| OPC vs. EPA WINS | 9 | 0.877 | 0.769 | <0.001 | 2.397 | 0.319 | <0.001 | −14.593 | 7.059 | 0.054 |
| Comparable and Mutually Predictable | Comparable But Not Mutually Predictable | |||||||||
| ABx vs. EPA WINS | NO | YES | ||||||||
| Aerocet vs. EPA WINS | NO | NO | ||||||||
| OPC vs. EPA WINS | NO | NO | ||||||||
| Instrument Compared | Regression Model | Slope | Intercept | ||||||
|---|---|---|---|---|---|---|---|---|---|
| R | R2 | p | m | SE | p | q | SE | p | |
| Abx vs. Aerocet | 0.928 | 0.861 | <0.001 | 0.644 | 0.003 | <0.001 | 2.167 | 0.134 | <0.001 |
| Abx vs. OPC | 0.876 | 0.767 | <0.001 | 0.575 | 0.003 | <0.001 | 6.632 | 0.170 | <0.001 |
| Comparable and Mutually Predictable | Comparable But Not Mutually Predictable | ||||||||
| ABx vs. Aerocet | NO | YES | |||||||
| ABx vs. OPC | NO | NO | |||||||
| Summer Database | ||||||||||
|---|---|---|---|---|---|---|---|---|---|---|
| Instrument Compared | Regression Model | Slope | Intercept | |||||||
| N | R | R2 | p | m | SE | p | q | SE | p | |
| ABx vs. EPA WINS | 9 | 0.984 | 0.968 | <0.001 | 0.629 | 0.043 | <0.001 | −0.801 | 0.619 | 0.237 |
| Aerocet vs. EPA WINS | 9 | 0.940 | 0.884 | <0.001 | 1.222 | 0.168 | <0.001 | −2.582 | 2.395 | 0.317 |
| OPC vs. EPA WINS | 9 | 0.969 | 0.939 | <0.001 | 0.660 | 0.063 | <0.001 | −1.429 | 0.905 | 0.159 |
| Winter Database | ||||||||||
| Instrument Compared | Regression Model | Slope | Intercept | |||||||
| N | R | R2 | p | m | SE | p | q | SE | p | |
| Abx vs. EPA WINS | 10 | 0.943 | 0.889 | <0.001 | 1.808 | 0.225 | <0.001 | −2.670 | 6.129 | 0.675 |
| Aerocet vs. EPA WINS | 10 | 0.901 | 0.812 | <0.001 | 2.380 | 0.406 | <0.001 | −3.975 | 11.094 | 0.729 |
| OPC vs. EPA WINS | 10 | 0.900 | 0.810 | <0.001 | 2.369 | 0.405 | <0.001 | −6.212 | 11.059 | 0.590 |
| ABx | Aerocet | OPC | |||||
|---|---|---|---|---|---|---|---|
| Mean (±S.D.) | Median (Min.; Max.) | Mean (±S.D.) | Median (Min.; Max.) | Mean (±S.D.) | Median (Min.; Max.) | ||
| Relative Error (%) | Total database | 9 | −27 | 55 | 38 | 23 | −27 |
| (±64) | (−70; 122) | (±82) | (−67; 245) | (±98) | (−100; 204) | ||
| Summer database | −46 | −45 | −10 | −6 | −51 | −49 | |
| (±10) | (−70; −32) | (±29) | (−67; 50) | (±14) | (−81; −27) | ||
| Winter database | 58 | 86 | 113 | 121 | 90 | 122 | |
| (±51) | (−21; 122) | (±69) | (32; 245) | (±93) | (−100; 204) | ||
| Absolute error (µg/m3) | Total database | 5.7 | −0.8 | 14.6 | 4.0 | 10.5 | −1.3 |
| (±15.5) | (−8.8; 47.9) | (±24.0) | (−2.9; 99.4) | (±24.8) | (−10.5; 85.6) | ||
| Summer database | −5.5 | −6.1 | 0.2 | −0.6 | −5.7 | −5.2 | |
| (±2.7) | (−8.8; −0.8) | (±3.4) | (−2.8; 9.5) | (±2.6) | (−9.3; −1.3) | ||
| Winter database | 15.7 | 12.1 | 27.5 | 24.7 | 25.0 | 20.5 | |
| (±15.4) | (−2.2; 47.9) | (±27.0) | (1.7; 99.4) | (±26.8) | (−10.5; 85.6) | ||
| Temperature (°C) | RH (%) | Atm.Pressure (hPa) | Wind Int. (m/s) | Wind Dir. (°) | ||
|---|---|---|---|---|---|---|
| Absolute error | ||||||
| ABx | Pearson correlation | −0.495 * | 0.690 ** | 0.317 | 0.749 ** | −0.788 ** |
| Aerocet | Pearson correlation | −0.584 * | 0.685 ** | 0.314 | 0.726 ** | −0.778 ** |
| OPC | Pearson correlation | −0.568 * | 0.734 ** | 0.353 | 0.775 ** | −0.807 ** |
| Relative error | ||||||
| ABx | Pearson correlation | −0.400 | 0.339 | -0.231 | 0.431 | −0.453 |
| Aerocet | Pearson correlation | −0.710 ** | 0.488 * | -0.113 | 0.436 | −0.492 * |
| OPC | Pearson correlation | −0.639 ** | 0.541 * | -0.115 | 0.477 * | −0.471 * |
| ABx (µg/m3) | ||||||
|---|---|---|---|---|---|---|
| Independent Variable (Predictors) | Unstandardized Coefficient | Standardized Coefficient | Sig. | 95% C.I. | ||
| B | SE | Beta | Lower | Upper | ||
| (Constant) | 4.406 | 19.285 | 0.823 | −37.256 | 46.069 | |
| Temperature (°C) | 0.052 | 0.225 | 0.046 | 0.820 | −0.433 | 0.538 |
| RH (%) | 0.312 | 0.136 | 0.469 * | 0.039 | 0.018 | 0.607 |
| Wind intensity (m/s) | 0.056 | 0.075 | 0.255 | 0.466 | −0.105 | 0.217 |
| Wind direction (°) | −0.070 | 0.067 | −0.365 | 0.311 | −0.215 | 0.074 |
| Regression Model Statistics | ||||||
| R | R2 | Adj. R2 | Std. Error | p | ||
| 0.883 | 0.780 | 0.712 | 6.77141 | <0.001 | ||
© 2018 by the authors. Licensee MDPI, Basel, Switzerland. This article is an open access article distributed under the terms and conditions of the Creative Commons Attribution (CC BY) license (http://creativecommons.org/licenses/by/4.0/).
Share and Cite
Borghi, F.; Spinazzè, A.; Campagnolo, D.; Rovelli, S.; Cattaneo, A.; Cavallo, D.M. Precision and Accuracy of a Direct-Reading Miniaturized Monitor in PM2.5 Exposure Assessment. Sensors 2018, 18, 3089. https://doi.org/10.3390/s18093089
Borghi F, Spinazzè A, Campagnolo D, Rovelli S, Cattaneo A, Cavallo DM. Precision and Accuracy of a Direct-Reading Miniaturized Monitor in PM2.5 Exposure Assessment. Sensors. 2018; 18(9):3089. https://doi.org/10.3390/s18093089
Chicago/Turabian StyleBorghi, Francesca, Andrea Spinazzè, Davide Campagnolo, Sabrina Rovelli, Andrea Cattaneo, and Domenico M. Cavallo. 2018. "Precision and Accuracy of a Direct-Reading Miniaturized Monitor in PM2.5 Exposure Assessment" Sensors 18, no. 9: 3089. https://doi.org/10.3390/s18093089
APA StyleBorghi, F., Spinazzè, A., Campagnolo, D., Rovelli, S., Cattaneo, A., & Cavallo, D. M. (2018). Precision and Accuracy of a Direct-Reading Miniaturized Monitor in PM2.5 Exposure Assessment. Sensors, 18(9), 3089. https://doi.org/10.3390/s18093089

