An Intelligent Computing Method for Contact Plan Design in the Multi-Layer Spatial Node-Based Internet of Things
Abstract
1. Introduction
2. System Model and Problem Description
2.1. Network Topology
2.2. Time-Evolving Graph with Limited Capacity
2.3. Problem Description
3. MPSO for Inter-Layer Contact Plan
4. Intra-Layer Contact Plan Design
4.1. Intra-Layer Contact Plan for UAV Layer
4.2. Intra-Layer Contact Plan for HAP Layer
4.3. Intra-Layer Contact Plan for Satellite Layer
5. Simulation and Analysis
5.1. Simulation Settings
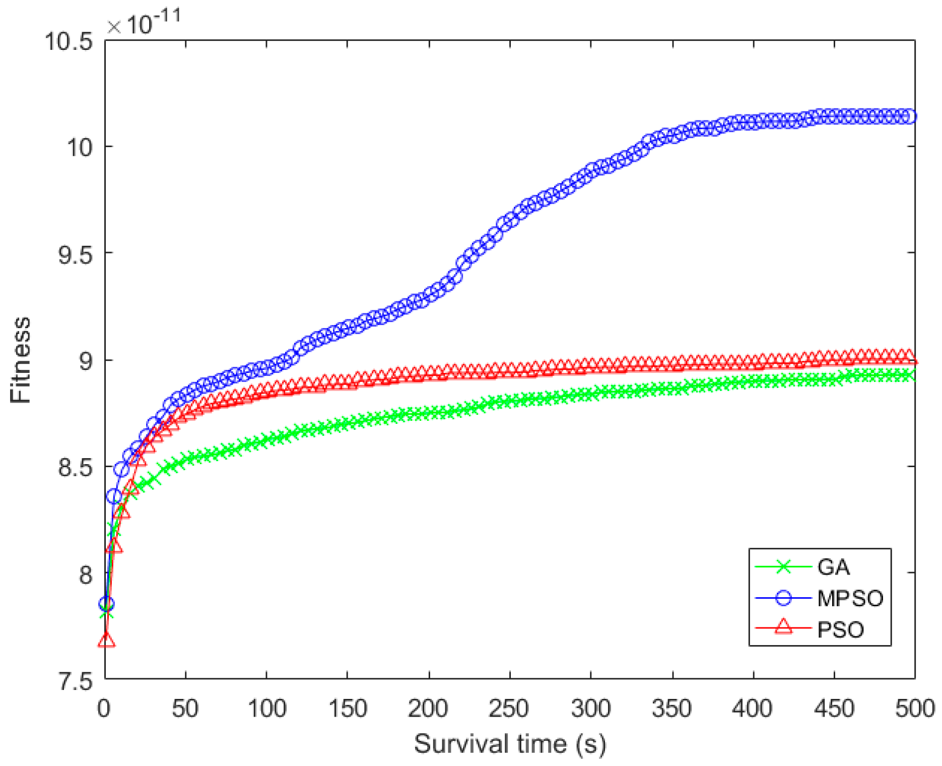
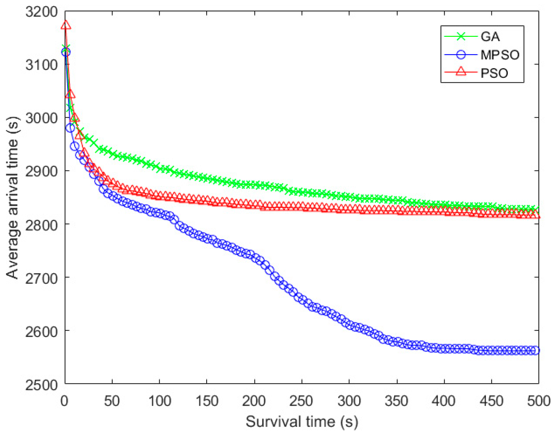
5.2. Performance Analysis
6. Conclusions
Author Contributions
Funding
Acknowledgments
Conflicts of Interest
References
- Akpakwu, G.A.; Silva, B.J.; Hancke, G.P.; Abu-Mahfouz, G.P. A Survey on 5G Networks for the Internet of Things: Communication Technologies and Challenges. IEEE Access 2018, 6, 3619–3647. [Google Scholar] [CrossRef]
- Guo, L.; Ning, Z.L.; Hou, W.G.; Hu, B.; Guo, P.X. Quick Answer for Big Data in Sharing Economy: Innovative Computer Architecture Design Facilitating Optimal Service-Demand Matching. IEEE Trans. Autom. Sci. Eng. 2018, 1–13. [Google Scholar] [CrossRef]
- Qiu, T.; Qiao, R.X.; Wu, D.O. EABS: An Event-aware Backpressure Scheduling Scheme for Emergency Internet of Things. IEEE Trans. Mob. Comput. 2018, 17, 72–84. [Google Scholar] [CrossRef]
- Udoh, I.S.; Kotonya, G. Developing IoT Applications: Challenges and Frameworks. IET Cyber Phys. Syst. Theory Appl. 2018, 3, 65–72. [Google Scholar] [CrossRef]
- Ning, Z.L.; Wang, X.J.; Kong, X.J.; Hou, W.G. A Social-aware Group Formation Framework for Information Diffusion in Narrowband Internet of Things. IEEE Internet Things J. 2018, 5, 1527–1538. [Google Scholar] [CrossRef]
- Hou, W.G.; Ning, Z.L.; Hu, X.P.; Guo, L.; Deng, X.L.; Yang, Y.; Kwok, R.Y.K. On-Chip Hardware Accelerator for Automated Diagnosis through Human-Machine Interactions in Healthcare Delivery. IEEE Trans. Autom. Sci. Eng. 2018, 1–12. [Google Scholar] [CrossRef]
- Anagnostopoulos, T.; Zaslavsky, A.; Kolomvatsos, K.; Medvedev, A.; Amirian, P.; Morley, J.; Hadjieftymiades, S. Challenges and Opportunities of Waste Management in IoT-Enabled Smart Cities: A Survey. IEEE Trans. Sustain. Comput. 2017, 2, 275–289. [Google Scholar] [CrossRef]
- Verma, S.; Kawamoto, Y.; Fadlullah, Z.M.; Nishiyama, H.; Kato, N. A Survey on Network Methodologies for Real-Time Analytics of Massive IoT Data and Open Research Issues. IEEE Commun. Surv. Tutor. 2017, 19, 1457–1477. [Google Scholar] [CrossRef]
- Ning, Z.L.; Hu, X.P.; Chen, Z.K.; Zhou, M.C.; Hu, B.; Cheng, J.; Obaidat, M. A Cooperative Quality Aware Service Access System for Social Internet of Vehicles. IEEE Internet Things J. 2018, 5, 2506–2517. [Google Scholar] [CrossRef]
- Lysogor, I.I.; Voskov, L.S.; Efremov, S.G. Survey of Data Exchange Formats for Heterogeneous LPWAN-Satellite IoT Networks. In Proceedings of the 2018 Moscow Workshop on Electronic and Networking Technologies, Moscow, Russia, 14–16 March 2018. [Google Scholar]
- Hu, D.; He, L.H.; Wu, J. A Novel Forward-Link Multiplexed Scheme in Satellite-Based Internet of Things. IEEE Internet Things J. 2018, 5, 1265–1274. [Google Scholar] [CrossRef]
- Gineste, M.; Deleu, T.; Cohen, M.; Chuberre, N.; Saravanan, V.; Frascolla, V.; Mueck, M.; Strinati, E.C.; Dutkiewicz, E. Narrowband IoT Service Provision to 5G User Equipment via a Satellite Component. In Proceedings of the 2017 IEEE Globecom Workshops, Singapore, 4–8 December 2017. [Google Scholar]
- Siris, V.A.; Thomas, Y.; Polyzos, G.C. Supporting the IoT over Integrated Satellite-Terrestrial Networks Using Information-Centric Networking. In Proceedings of the 2016 8th IFIP International Conference on New Technologies, Mobility and Security, Larnaca, Cyprus, 21–23 November 2016. [Google Scholar]
- Agarwal, A.; Gupta, S.; Kumar, S.; Singh, D. An Efficient Use of IoT for Satellite Data in Land Cover Monitoring to Estimate LST and ET. In Proceedings of the 2016 11th International Conference on Industrial and Information Systems, Roorkee, India, 3–4 December 2016. [Google Scholar]
- Primeau, N.; Falcon, R.; Abielmona, R.; Petriu, E. A Review of Computational Intelligence Techniques in Wireless Sensor and Actuator Networks. IEEE Commun. Surv. Tutor. 2018. [Google Scholar] [CrossRef]
- Qiu, T.; Zhao, A.Y.; Xia, F.; Si, W.S.; Wu, D.O. ROSE: Robustness Strategy for Scale-free Wireless Sensor Networks. IEEE/ACM Trans. Netw. 2017, 25, 2944–2959. [Google Scholar] [CrossRef]
- Kentzoglanakis, K.; Poole, M. A Swarm Intelligence Framework for Reconstructing Gene Networks: Searching for Biologically Plausible Architectures. IEEE/ACM Trans. Comput. Biol. Bioinform. 2012, 9, 358–371. [Google Scholar] [CrossRef] [PubMed]
- Qiu, T.; Zheng, K.Y.; Song, H.B.; Han, M.; Burak, K. A Local-Optimization Emergency Scheduling Scheme with Self-Recovery for a Smart Grid. IEEE Trans. Ind. Inform. 2017, 13, 3195–3205. [Google Scholar] [CrossRef]
- Wang, X.J.; Ning, Z.L.; Wang, L. Offloading in Internet of Vehicles: A Fog-enabled Real-time Traffic Management System. IEEE Trans. Ind. Inform. 2018. [Google Scholar] [CrossRef]
- Qiu, T.; Qiao, R.X.; Han, M.; Sangaiah, A.K.; Lee, I. A Lifetime-Enhanced Data Collecting Scheme for the Internet of Things. IEEE Commun. Mag. 2017, 55, 132–137. [Google Scholar] [CrossRef]
- Evans, B.; Werner, M.; Lutz, E.; Bousquet, M.; Corazza, G.E.; Maral, G.; Rumeau, R. Integration of Satellite and Terrestrial Systems in Future Multimedia Communications. IEEE Wirel. Commun. 2005, 12, 72–80. [Google Scholar] [CrossRef]
- Wang, Y.; Sheng, M.; Zhuang, W.H.; Zhang, S.; Zhang, N.; Liu, R.Z.; Li, J.D. Multi-Resource Coordinate Scheduling for Earth Observation in Space Information Networks. IEEE J. Sel. Areas Commun. 2018, 36, 268–279. [Google Scholar] [CrossRef]
- Jain, S.; Fall, K.; Patra, R. Routing in a Delay Tolerant Network. In Proceedings of the SIGCOM, Portland, OR, USA, 30 August–3 September 2004. [Google Scholar]
- Fraire, J.; Finochietto, J. Design Challenges in Contact Plans for Disruption-Tolerant Satellite Networks. IEEE Commun. Mag. 2015, 53, 163–169. [Google Scholar] [CrossRef]
- Zhou, D.; Sheng, M.; Wang, X.J.; Xu, C.; Liu, R.Z.; Li, J.D. Mission Aware Contact Plan Design in Resource-Limited Small Satellite Networks. IEEE Trans. Commun. 2017, 65, 2451–2466. [Google Scholar] [CrossRef]
- Noakes, M.D.; Cain, J.B.; Nieto, J.W.; Althouse, E.L. An Adaptive Link Assignment Algorithm for Dynamically Changing Topologies. IEEE Trans. Commun. 1993, 41, 694–706. [Google Scholar] [CrossRef]
- Chang, H.S.; Kim, B.W.; Lee, C.G.; Choi, Y.; Min, S.L.; Yang, H.S.; Kim, C.S. Topological Design and Routing for Low-Earth Orbit Satellite Networks. In Proceedings of the Global Telecommunications Conference, Singapore, 14–16 November 1995. [Google Scholar]
- Huang, M.S.; Chen, S.Y.; Li, F.; Wang, Y. Topology Design in Time-Evolving Delay-Tolerant Networks with Unreliable Links. In Proceedings of the 2012 IEEE Global Communications Conference, Anaheim, CA, USA, 3–7 December 2012. [Google Scholar]
- Huang, M.S.; Chen, S.Y.; Zhu, Y.; Wang, Y. Topology Control for Time-Evolving and Predictable Delay-Tolerant Networks. IEEE Trans. Comput. 2013, 62, 2308–2321. [Google Scholar] [CrossRef]
- Li, F.; Chen, S.Y.; Huang, M.S.; Yin, Z.Y.; Zhang, C.; Wang, Y. Reliable Topology Design in Time-Evolving Delay-Tolerant Networks with Unreliable Links. IEEE Trans. Mob. Comput. 2015, 14, 1301–1314. [Google Scholar] [CrossRef]
- Fraire, J.A.; Madoery, P.G.; Finochietto, J.M. On the Design and Analysis of Fair Contact Plans in Predictable Delay-Tolerant Networks. IEEE Sens. J. 2014, 14, 3874–3882. [Google Scholar] [CrossRef]
- Fraire, J.; Finochietto, J. Routing-Aware Fair Contact Plan Design for Predictable Delay Tolerant Networks. Ad-Hoc Netw. 2015, 25, 303–313. [Google Scholar] [CrossRef]
- Yan, H.C.; Zhang, Q.J.; Sun, Y.; Guo, J. Contact Plan Design for Navigation Satellite Network Based on Simulated Annealing. In Proceedings of the 2015 IEEE International Conference on Communication Software and Networks, Chengdu, China, 6–7 June 2015. [Google Scholar]
- Liu, R.Z.; Sheng, M.; Lui, K.S.; Wang, X.J.; Wang, Y.; Zhou, D. An Analytical Framework for Resource-Limited Small Satellite Networks. IEEE Commun. Lett. 2016, 20, 388–391. [Google Scholar] [CrossRef]
- Wang, Y.; Sheng, M.; Li, J.D.; Wang, X.J.; Liu, R.Z.; Zhou, D. Dynamic Contact Plan Design in Broadband Satellite Networks with Varying Contact Capacity. IEEE Commun. Lett. 2016, 20, 2410–2413. [Google Scholar] [CrossRef]
- Hua, M.; Wang, Y.; Zhang, Z.M.; Li, C.G.; Huang, Y.M.; Yang, L.X. Power-Efficient Communication in UAV-Aided Wireless Sensor Networks. IEEE Commun. Lett. 2018, 22, 1264–1267. [Google Scholar] [CrossRef]
- Grace, D.; Mohorcic, M. Broadband Communications via High Altitude Platforms, 1st ed.; Wiley: New York, NY, USA, 2010; pp. 3–10. ISBN 9780470971833. [Google Scholar]
- Kennedy, J.; Eberhart, R. Particle Swarm Optimization. In Proceedings of the IEEE International Conference on Neural Networks, Perth, Australia, 27 November–1 December 1995. [Google Scholar]
- Werner, M. A Dynamic Routing Concept for ATM-based Satellite Personal Communication Networks. IEEE J. Sel. Areas Commun. 1997, 15, 1636–1648. [Google Scholar] [CrossRef]
- The Iridium System. Available online: http://www.iridium.it/en/iridium.htm (accessed on 18 May 2018).
- Fraire, J.A.; Madoery, P.G.; Finochietto, J.M. Traffic-Aware Contact Plan Design for Disruption-Tolerant Space Sensor Networks. Ad Hoc Netw. 2016, 47, 41–52. [Google Scholar] [CrossRef]
- Talbi, E.G. Metaheuristics: From Design to Implementation, 1st ed.; Wiley: Hoboken, NJ, USA, 2009; pp. 221–222. ISBN 9780470278581. [Google Scholar]











| Traditional Way | Grid-Based Initialization | |
|---|---|---|
| Transfer amounts | 0.4004 | 0.0628 |
| Average building time | 0.9592 | 0.7521 |
| Start time | 4 January 2018 04:00 |
|---|---|
| Inclination (degree) | 86.4 |
| Height (Km) | 780 Km |
| Orbit Planes | 6 |
| Satellites | 66 |
| RAAN (degree) | 31.6 (Co-directional) 22 (Reverse) |
© 2018 by the authors. Licensee MDPI, Basel, Switzerland. This article is an open access article distributed under the terms and conditions of the Creative Commons Attribution (CC BY) license (http://creativecommons.org/licenses/by/4.0/).
Share and Cite
Dai, C.-Q.; Song, Q.; Guo, L. An Intelligent Computing Method for Contact Plan Design in the Multi-Layer Spatial Node-Based Internet of Things. Sensors 2018, 18, 2852. https://doi.org/10.3390/s18092852
Dai C-Q, Song Q, Guo L. An Intelligent Computing Method for Contact Plan Design in the Multi-Layer Spatial Node-Based Internet of Things. Sensors. 2018; 18(9):2852. https://doi.org/10.3390/s18092852
Chicago/Turabian StyleDai, Cui-Qin, Qingyang Song, and Lei Guo. 2018. "An Intelligent Computing Method for Contact Plan Design in the Multi-Layer Spatial Node-Based Internet of Things" Sensors 18, no. 9: 2852. https://doi.org/10.3390/s18092852
APA StyleDai, C.-Q., Song, Q., & Guo, L. (2018). An Intelligent Computing Method for Contact Plan Design in the Multi-Layer Spatial Node-Based Internet of Things. Sensors, 18(9), 2852. https://doi.org/10.3390/s18092852

