Flexible Gas Sensors Employing Octahedral Indium Oxide Films
Abstract
1. Introduction
2. Materials and Methods
2.1. Material Preparation
2.2. Sensor Fabrication
3. Results
3.1. Material Characterization
3.2. Gas Sensing Results
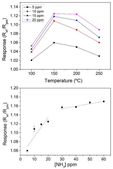
3.2.1. NH3 Results
3.2.2. H2 Results
3.2.3. NO2 Results
4. Discussion
5. Conclusions
Supplementary Materials
Acknowledgments
Author Contributions
Conflicts of Interest
References
- Zhang, D.; Li, C.; Liu, X.; Man, S.; Tang, T.; Zhou, C. Doping dependent NH3 sensing of indium oxide nanowires. Appl. Phys. Lett. 2003, 83, 1845–1847. [Google Scholar] [CrossRef]
- Domènech-Gil, G.; Barth, S.; Samà, J.; Pellegrino, P.; Gràcia, I.; Cané, C.; Romano-Rodriguez, A. Gas sensors based on individual indium oxide nanowire. Sens. Actuators B Chem. 2017, 238, 447–454. [Google Scholar] [CrossRef]
- Li, C.; Zhang, D.; Han, S.; Liu, X.; Tang, T.; Lei, B.; Liu, Z.; Zhou, C. Synthesis, Electronic Properties, and Applications of Indium Oxide Nanowires. Ann. N. Y. Acad. Sci. 2003, 1006, 104–121. [Google Scholar] [CrossRef] [PubMed]
- Elouali, S.; Bloor, L.G.; Binions, R.; Parkin, I.P.; Carmalt, C.J.; Darr, J.A. Gas sensing with nano-indium oxides (In2O3) prepared via continuous hydrothermal flow synthesis. Langmuir 2012, 28, 1879–1885. [Google Scholar] [CrossRef] [PubMed]
- Chen, L.; He, X.; Liang, Y.; Sun, Y.; Zhao, Z.; Hu, J. Synthesis and gas sensing properties of palladium-doped indium oxide microstructures for enhanced hydrogen detection. J. Mater. Sci. Mater. Electron. 2016, 27, 11331–11338. [Google Scholar] [CrossRef]
- Roso, S.; Bittencourt, C.; Umek, P.; González, O.; Güell, F.; Urakawa, A.; Llobet, E. Synthesis of single crystalline In2O3 octahedra for the selective detection of NO2 and H2 at trace levels. J. Mater. Chem. C 2016, 4, 9418–9427. [Google Scholar] [CrossRef]
- Ramírez, J.L.; Annanouch, F.E.; Llobet, E.; Briand, D. Architecture for the efficient manufacturing by printing of heated, planar, resistive transducers on polymeric foil for gas sensing. Sens. Actuators B Chem. 2018, 258, 952–960. [Google Scholar] [CrossRef]
- Briand, D.; Oprea, A.; Courbat, J.; Bârsan, N. Making environmental sensors on plastic foil. Mater. Today 2011, 14, 416–423. [Google Scholar] [CrossRef]
- Ramírez, J.L.; Annanouch, F.E.; Camara, M.; Llobet, E.; Briand, D. Single layer gold hotplate, printed on polyimide, with heater used as sensing current drain for metal-oxide gas sensor. Procedia Eng. 2015, 120, 707–710. [Google Scholar] [CrossRef][Green Version]
- Badradeen, E.; Brozak, M.; Keles, F.; Al-Mayalee, K.; Karabacak, T. High performance flexible copper indium gallium selenide core-shell nanorod array photodetectors. J. Vac. Sci. Technol. A Vac. Surf. Films 2017, 35. [Google Scholar] [CrossRef]
- Harris, K.D.; Elias, A.L.; Chung, H.J. Flexible electronics under strain: A review of mechanical characterization and durability enhancement strategies. J. Mater. Sci. 2016, 51, 2771–2805. [Google Scholar] [CrossRef]
- Khan, S.; Lorenzelli, L.; Dahiya, R.S. Technologies for printing sensors and electronics over large flexible substrates: A review. IEEE Sens. J. 2015, 15, 3164–3185. [Google Scholar] [CrossRef]
- Zardetto, V.; Brown, T.M.; Reale, A.; Di Carlo, A. Substrates for flexible electronics: A practical investigation on the electrical, film flexibility, optical, temperature, and solvent resistance properties. J. Polym. Sci. Part B Polym. Phys. 2011, 49, 638–648. [Google Scholar] [CrossRef]
- Han, S.-T.; Peng, H.; Sun, Q.; Venkatesh, S.; Chung, K.-S.; Lau, S.C.; Zhou, Y.; Roy, V.A.L. An Overview of the Development of Flexible Sensors. Adv. Mater. 2017, 29, 1700375. [Google Scholar] [CrossRef] [PubMed]
- Alvarado, M.; Navarrete, E.; Llobet, E.; Ramírez, J.L.; Romero, A. Comparing performance of flexible and rigid substrates for In2O3 based gas sensors. In 2017 IEEE SENSORS; IEEE: Glasgow, UK, 2017. [Google Scholar]
- Natishan, P.M.; O’Grady, W.E. Chloride Ion Interactions with Oxide-Covered Aluminum Leading to Pitting Corrosion: A Review. J. Electrochem. Soc. 2014, 161, C421–C432. [Google Scholar] [CrossRef]
- Bierwagen, O. Indium oxide—A transparent, wide-band gap semiconductor for (opto) electronic applications. Semicond. Sci. Technol. 2015, 30, 24001. [Google Scholar] [CrossRef]
- Roso, S.; Degler, D.; Llobet, E.; Barsan, N.; Urakawa, A. Temperature-Dependent NO2 Sensing Mechanisms over Indium Oxide. ACS Sens. 2017, 2, 1272–1277. [Google Scholar] [CrossRef] [PubMed]
- Yamazoe, N.; Sakai, G.; Shimanoe, K. Oxide semiconductor gas sensors. Catal. Surv. Asia 2003, 7, 63–75. [Google Scholar] [CrossRef]
- Makhija, K.K.; Ray, A.; Patel, R.M.; Trivedi, U.B.; Kapse, H.N. Indium oxide thin film based ammonia gas and ethanol vapour sensor. Bull. Mater. Sci. 2005, 28, 9–17. [Google Scholar] [CrossRef]
- Xiao, B.; Wang, D.; Song, S.; Zhai, C.; Wang, F.; Zhang, M. Fabrication of mesoporous In2O3 nanospheres and their ultrasensitive NO2 sensing properties. Sens. Actuators B Chem. 2017, 248, 519–526. [Google Scholar] [CrossRef]
- Annanouch, F.E.; Haddi, Z.; Ling, M.; Di Maggio, F.; Vallejos, S.; Vilic, T.; Zhu, Y.; Shujah, T.; Umek, P.; Bittencourt, C.; et al. Aerosol-Assisted CVD-Grown PdO Nanoparticle-Decorated Tungsten Oxide Nanoneedles Extremely Sensitive and Selective to Hydrogen. ACS Appl. Mater. Interfaces 2016, 8, 10413–10421. [Google Scholar] [CrossRef] [PubMed]
- Shankar, P.; Bosco, J.; Rayappan, B. Gas sensing mechanism of metal oxides: The role of ambient atmosphere, type of semiconductor and gases—A review. Sci. Lett. J. 2015, 4, 126. [Google Scholar]







© 2018 by the authors. Licensee MDPI, Basel, Switzerland. This article is an open access article distributed under the terms and conditions of the Creative Commons Attribution (CC BY) license (http://creativecommons.org/licenses/by/4.0/).
Share and Cite
Alvarado, M.; Navarrete, È.; Romero, A.; Ramírez, J.L.; Llobet, E. Flexible Gas Sensors Employing Octahedral Indium Oxide Films. Sensors 2018, 18, 999. https://doi.org/10.3390/s18040999
Alvarado M, Navarrete È, Romero A, Ramírez JL, Llobet E. Flexible Gas Sensors Employing Octahedral Indium Oxide Films. Sensors. 2018; 18(4):999. https://doi.org/10.3390/s18040999
Chicago/Turabian StyleAlvarado, Miriam, Èric Navarrete, Alfonso Romero, José Luis Ramírez, and Eduard Llobet. 2018. "Flexible Gas Sensors Employing Octahedral Indium Oxide Films" Sensors 18, no. 4: 999. https://doi.org/10.3390/s18040999
APA StyleAlvarado, M., Navarrete, È., Romero, A., Ramírez, J. L., & Llobet, E. (2018). Flexible Gas Sensors Employing Octahedral Indium Oxide Films. Sensors, 18(4), 999. https://doi.org/10.3390/s18040999

