Resonance-Based Time-Frequency Manifold for Feature Extraction of Ship-Radiated Noise
Abstract
1. Introduction
2. Methodology
2.1. Resonance-Based Sparse Signal Decomposition
2.1.1. Q-factor and Signal Oscillatory Behavior
2.1.2. Tunable Q-Factor Wavelet Transform
2.1.3. Morphological Component Analysis
| Algorithm 1. Resonance-based sparse signal decomposition (RSSD). |
| Input: The raw signal of ship radiated noise . Output: The high-oscillatory signal and the low-oscillatory signal . |
|
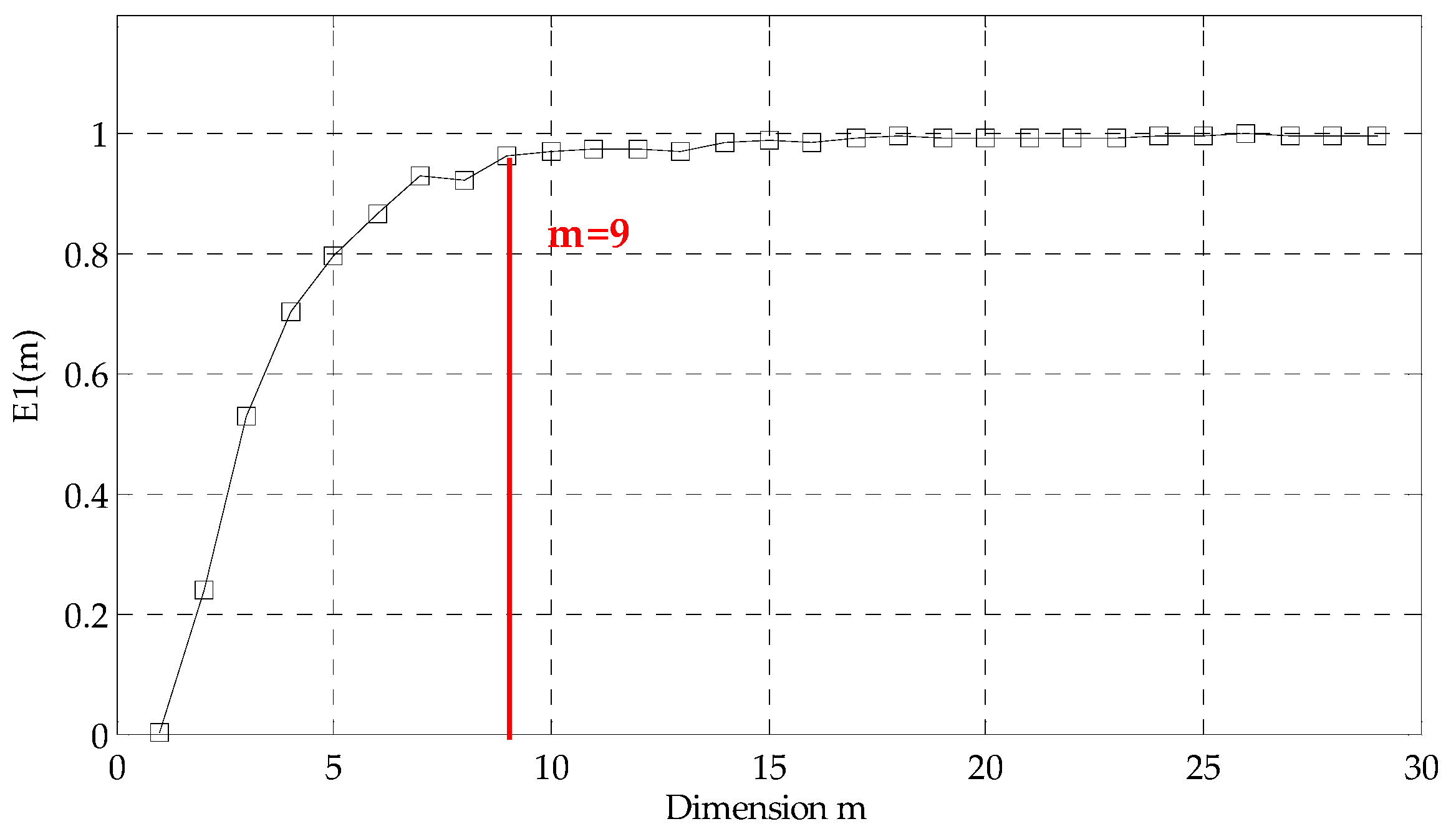
2.2. Phase Space Reconstruction
2.3. Time-Frequency Distribution
2.4. Manifold Learning
3. Results and Discussion
3.1. Results and Analysis of Resonance-Based Time-Frequency Manifold (RTFM)
3.2. Results and Analysis of Synthetic RTFM Signatures
3.2.1. Case Study for the Availability of the Proposed RTFM Method
3.2.2. Case Study for the Robustness of the Proposed RTFM Method
4. Conclusions
Acknowledgments
Author Contributions
Conflicts of Interest
References
- Ross, D. Mechanics of Underwater Noise; Pergamon Press Inc.: New York, NY, USA, 1976; pp. 272–287. [Google Scholar]
- Yang, L.; Chen, K. A perceptual space for underwater man-made sounds towards target classification. Appl. Acoust. 2016, 110, 119–127. [Google Scholar] [CrossRef]
- Kellett, P.; Turan, O.; Incecik, A. A study of numerical ship underwater noise prediction. Ocean Eng. 2013, 6, 113–120. [Google Scholar] [CrossRef]
- Malinowski, S.J.; Gloza, I. Underwater noise characteristics of small ships. Acta Acust. United Acust. 2002, 88, 718–721. [Google Scholar]
- De Seixas, J.M.; De Moura, N.N. Preprocessing passive sonar signals for neural classification. IET Radar Sonar Navig. 2011, 5, 605–612. [Google Scholar]
- Harris, P.; Philip, R.; Robinson, S.; Wang, L. Monitoring anthropogenic ocean sound from shipping using an acoustic sensor network and a compressive sensing approach. Sensors 2016, 16, 415. [Google Scholar] [CrossRef] [PubMed]
- Averbuch, A.; Zheludev, V.; Neittaanmaki, P.; Wartiainen, P.; Huoman, K.; Janson, K. Acoustic detection and classification of river boats. Appl. Acoust. 2011, 72, 22–34. [Google Scholar] [CrossRef]
- Wang, S.; Zeng, X. Robust underwater noise targets classification using auditory inspired time–frequency analysis. Appl. Acoust. 2014, 78, 68–76. [Google Scholar] [CrossRef]
- Ma, Y.; Chin, C.S.; Woo, W.L.; Gao, B. An Acoustic Annoyance Study of Hard Disk Drive for Laptop. IEEE Trans. Mag. 2016, 52, 1–9. [Google Scholar] [CrossRef]
- Zheng, S.; Guo, H.; Li, Y.; Wang, B.; Zhang, P. A new method for detecting line spectrum of ship-radiated noise using Duffing oscillator. Chin. Sci. Bull. 2007, 52, 1906–1912. [Google Scholar] [CrossRef]
- Fu, Z.; Xing, J.; Zhu, R.; Wang, S.; Yang, Q.; Fu, D. A new method of detecting line-spectrum based on auto-correlation with stochastic resonance theory. In Proceedings of the 25th Chinese IEEE Control and Decision Conference, Guiyang, China, 25–27 May 2013. [Google Scholar]
- Cohen, L. Time-Frequency Analysis, 1st ed.; Prentice Hall: Upper Saddle River, NJ, USA, 1995; pp. 93–112. [Google Scholar]
- Wang, Q. Underwater bottom still mine classification using robust time-frequency feature and relevance vector machine. Int. J. Comput. Math. 2009, 86, 794–806. [Google Scholar] [CrossRef]
- Debnath, L. Wavelets and Signal Processing; Birkhauser: Boston, MA, USA, 2003; pp. 1–21. [Google Scholar]
- Huang, N.E. Hilbert-Huang Transform and Its Applications, 2nd ed.; World Scientific: Singapore, 2014; pp. 1–24. [Google Scholar]
- Lin, L.; Chu, F. Feature extraction of AE characteristics in offshore structure model using Hilbert–Huang transform. Measurement 2011, 44, 46–54. [Google Scholar] [CrossRef]
- Kennel, M.B.; Brown, R.; Abarbanel, H.D.I. Determining embedding dimension for phase-space reconstruction using a geometrical construction. Phys. Rev. A 1992, 45, 3403–3411. [Google Scholar] [CrossRef] [PubMed]
- Meng, Q.; Yang, S.; Piao, S.; Zhang, H. Research on chaotic character of ship-radiated noise based on phase space reconstruction. In Proceedings of the IEEE International Conference on Image Analysis and Signal Processing, Hangzhou, China, 9–11 November 2012. [Google Scholar]
- Pan, J.; Han, J.; Yang, S. A neural network based method for detection of weak underwater signals. J. Mar. Sci. Appl. 2010, 9, 256–261. [Google Scholar] [CrossRef]
- Yang, S.; Li, Z.; Wang, X. Ship recognition via its radiated sound: The fractal based approaches. J. Acoust. Soc. Am. 2002, 112, 172–177. [Google Scholar] [CrossRef] [PubMed]
- Wang, Y.; Liu, Q. Multi-scale permutation entropy as a tool for complexity analysis of ship-radiated noise. In Proceedings of the 2016 IEEE/OES China Ocean Acoustics, Harbin, China, 9–11 January 2016. [Google Scholar]
- Bao, F.; Li, C.; Wang, X.; Wang, Q.; Du, S. Ship classification using nonlinear features of radiated sound: An approach based on empirical mode decomposition. J. Acoust. Soc. Am. 2014, 128, 206–214. [Google Scholar] [CrossRef] [PubMed]
- Huang, N.E.; Shen, Z.; Long, S.R.; Wu, M.C.; Shih, H.H.; Zheng, Q.; Yen, N.-C.; Tung, C.C.; Liu, H.H. The empirical mode decomposition and the Hilbert spectrum for nonlinear and non-stationary time series analysis. In Proceedings of the Royal Society of London A: Mathematical, Physical and Engineering Sciences, London, UK, 8 March 1998; pp. 903–995. [Google Scholar]
- Xu, X.; Luo, X.; Wu, C.; Zhao, L. Ship-radiated noise feature extraction using multiple kernel graph embedding and auditory model. Turkish J. Electr. Eng. Comput. Sci. 2016, 24, 2374–2386. [Google Scholar] [CrossRef]
- Chin, C.S.; Ji, X.; Woo, W.L.; Kwee, T.J.; Yang, W. Modified multiple generalized regression neural network models using fuzzy C-means with principal component analysis for noise prediction of offshore platform. Neural Comput. Appl. 2017, 1–16. [Google Scholar] [CrossRef]
- Tenenbaum, J.B.; De Silva, V.; Langford, J.C. A global geometric framework for nonlinear dimensionality reduction. Science 2000, 290, 2319–2323. [Google Scholar] [CrossRef] [PubMed]
- Roweis, S.T.; Saul, L.K. Nonlinear dimensionality reduction by locally linear embedding. Science 2000, 290, 2323–2326. [Google Scholar] [CrossRef] [PubMed]
- Zhang, Z.; Zha, H. Principal manifolds and nonlinear dimensionality reduction via tangent space alignment. SIAM J. Sci. Comput. 2004, 26, 313–338. [Google Scholar] [CrossRef]
- He, Q.; Liu, Y.; Long, Q. Time-frequency manifold as a signature for machine health diagnosis. IEEE Trans. Instrum. Meas. 2012, 61, 1218–1230. [Google Scholar] [CrossRef]
- Shi, J.; Liang, M. Intelligent bearing fault signature extraction via iterative oscillatory behavior based signal decomposition (IOBSD). Expert Syst. Appl. 2016, 45, 40–45. [Google Scholar] [CrossRef]
- Selesnick, I.W. Resonance-based signal decomposition: A new sparsity-enabled signal analysis method. Signal Process. 2011, 91, 2793–2809. [Google Scholar] [CrossRef]
- Selesnick, I.W. Wavelet Transform with Tunable Q-Factor. IEEE Trans. Signal Process. 2011, 59, 3560–3575. [Google Scholar] [CrossRef]
- Elad, M.; Starck, J.; Querre, P.; Donoho, D. Simultaneous cartoon and texture image inpainting using morphological component analysis MCA. Appl. Comput. Harmon. Anal. 2005, 19, 340–358. [Google Scholar] [CrossRef]
- Starck, J.L.; Moudden, Y.; Bobina, J.; Elad, M.; Donoho, D.L. Morphological component analysis. Proc. SPIE 2005, 5914, 1–15. [Google Scholar]
- Zhang, D.; Yu, D. Multi-fault diagnosis of gearbox based on resonance-based signal sparse decomposition and comb filter. Measurement 2017, 103, 361–369. [Google Scholar] [CrossRef]
- Wang, H.; Chen, J.; Dong, G. Feature extraction of rolling bearing’s early weak fault based on EEMD and tunable Q-factor wavelet transform. Mech. Syst. Signal Process. 2014, 48, 103–119. [Google Scholar] [CrossRef]
- Shensa, M.J. The discrete wavelet transform: Wedding the a trous and Mallat algorithms. IEEE Trans. Signal Process. 1992, 40, 2464–2482. [Google Scholar] [CrossRef]
- Huang, H.; Baddour, N.; Liang, M. Auto-OBSD: Automatic parameter selection for reliable Oscillatory Behavior-based Signal Decomposition with an application to bearing fault signature extraction. Mech. Syst. Signal Process. 2017, 86, 237–259. [Google Scholar] [CrossRef]
- Huang, W.; Sun, H.; Liu, Y.; Wang, W.A. Feature extraction for rolling element bearing faults using resonance sparse signal decomposition. Exp. Tech. 2017, 41, 251–265. [Google Scholar] [CrossRef]
- Afonso, M.V.; Bioucas-Dias, J.M.; Figueiredo, M.A. Fast image recovery using variable splitting and constrained optimization. IEEE Trans. Image Process. 2010, 19, 2345–2356. [Google Scholar] [CrossRef] [PubMed]
- Wang, G.F.; Li, Y.B.; Luo, Z.G. Fault classification of rolling bearing based on reconstructed phase space and Gaussian mixture model. J. Sound Vib. 2009, 323, 1077–1089. [Google Scholar] [CrossRef]
- Chen, M.; Fang, Y.; Zheng, X. Phase space reconstruction for improving the classification of single trial EEG. Biomed. Signal Process. Control 2014, 11, 10–16. [Google Scholar] [CrossRef]
- Lee, S.H.; Lim, J.S.; Kim, J.K.; Yang, J.; Lee, Y. Classification of normal and epileptic seizure EEG signals using wavelet transform, phase-space reconstruction, and Euclidean distance. Comput. Methods Prog. Biomed. 2014, 116, 10–25. [Google Scholar] [CrossRef] [PubMed]
- Wernitz, B.A.; Hoffmann, N.P. Recurrence analysis and phase space reconstruction of irregular vibration in friction brakes: Signatures of chaos in steady sliding. J. Sound Vib. 2012, 331, 3887–3896. [Google Scholar] [CrossRef]
- Cao, L. Practical method for determining the minimum embedding dimension of a scalar time series. J. Phys. D 1997, 110, 43–50. [Google Scholar] [CrossRef]
- Takens, F. Detecting strange attractors in turbulence. Lect. Notes Math. 1981, 898, 366–381. [Google Scholar]
- Cohen, L. Time-frequency distributions—A review. Proc. IEEE 1989, 77, 941–981. [Google Scholar] [CrossRef]
- Auger, F.; Flandrin, P.; Lin, Y.; McLaughlin, S.; Meignen, S.; Oberlin, T.; Wu, H. Time-frequency reassignment and synchrosqueezing: An overview. IEEE Signal Process. Mag. 2013, 30, 32–41. [Google Scholar] [CrossRef]
- He, Q. Time–frequency manifold for nonlinear feature extraction in machinery fault diagnosis. Mech. Syst. Signal Process. 2013, 35, 200–218. [Google Scholar] [CrossRef]
- Tian, Y.; Du, W.; Qian, F. High dimension feature extraction based visualized SOM fault diagnosis method and its application in p-xylene oxidation process. Chin. J. Chem. Eng. 2015, 23, 1509–1517. [Google Scholar] [CrossRef]
- Wang, Q.; Wang, W.; Nian, R.; He, B.; Shen, Y.; Bjork, K.M. Manifold learning in local tangent space via extreme learning machine. Neurocomputing 2016, 174, 18–30. [Google Scholar] [CrossRef]
- He, Q.; Wang, X. Time–frequency manifold correlation matching for periodic fault identification in rotating machines. J. Sound Vib. 2013, 332, 2611–2626. [Google Scholar] [CrossRef]
- Golub, G.H.; Reinsch, C. Singular value decomposition and least squares solutions. Numer. Math. 1970, 14, 403–420. [Google Scholar] [CrossRef]












| Parameters | The Overlap of Frequency Response | Computational Cost | Selection Guide |
|---|---|---|---|
| No direct effect | ↓ if ↑, when | oscillatory level of the signal | |
| No direct effect | ↑ if ↑, when | trade-off between overlapping intensity of frequency responses and computational cost | |
| ↑ if ↑ | ↑ if ↑ |
© 2018 by the authors. Licensee MDPI, Basel, Switzerland. This article is an open access article distributed under the terms and conditions of the Creative Commons Attribution (CC BY) license (http://creativecommons.org/licenses/by/4.0/).
Share and Cite
Yan, J.; Sun, H.; Chen, H.; Junejo, N.U.R.; Cheng, E. Resonance-Based Time-Frequency Manifold for Feature Extraction of Ship-Radiated Noise. Sensors 2018, 18, 936. https://doi.org/10.3390/s18040936
Yan J, Sun H, Chen H, Junejo NUR, Cheng E. Resonance-Based Time-Frequency Manifold for Feature Extraction of Ship-Radiated Noise. Sensors. 2018; 18(4):936. https://doi.org/10.3390/s18040936
Chicago/Turabian StyleYan, Jiaquan, Haixin Sun, Hailan Chen, Naveed Ur Rehman Junejo, and En Cheng. 2018. "Resonance-Based Time-Frequency Manifold for Feature Extraction of Ship-Radiated Noise" Sensors 18, no. 4: 936. https://doi.org/10.3390/s18040936
APA StyleYan, J., Sun, H., Chen, H., Junejo, N. U. R., & Cheng, E. (2018). Resonance-Based Time-Frequency Manifold for Feature Extraction of Ship-Radiated Noise. Sensors, 18(4), 936. https://doi.org/10.3390/s18040936

