Effect of Electrode Shape and Flow Conditions on the Electrochemical Detection with Band Microelectrodes
Abstract
1. Introduction
2. Materials and Methods
2.1. Model Assumptions
2.2. Geometries and Discretization
3. Results
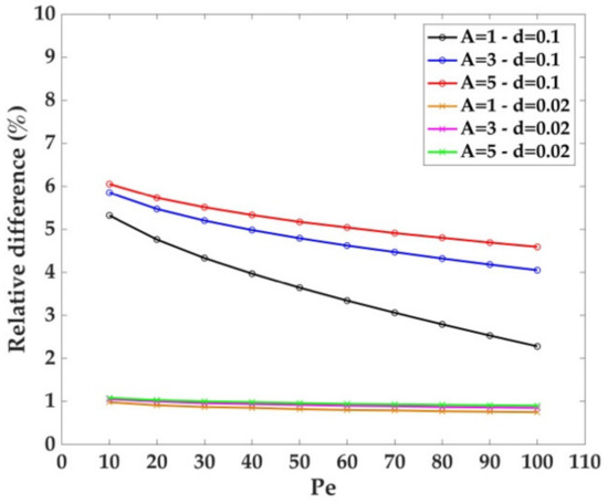
3.1. Validation of the Spatial Discretization
3.2. Single Electrode Case
3.3. Two Electrodes Case
4. Discussion
5. Conclusions
Author Contributions
Funding
Conflicts of Interest
References
- Suter, T.; Böhni, H. Microelectrodes for studies of localized corrosion processes. Electrochim. Acta 1998, 43, 2843–2849. [Google Scholar] [CrossRef]
- Böhni, H.; Suter, T.; Assi, F. Micro-electrochemical techniques for studies of localized processes on metal surfaces in the nanometer range. Surf. Coat. Technol. 2000, 130, 80–86. [Google Scholar] [CrossRef]
- Vosáhlová, J.; Koláčná, L.; Daňhel, A.; Fischer, J.; Balintová, J.; Hocek, M.; Schwarzová-Pecková, K.; Fojta, M. Voltammetric and adsorption study of 4-nitrophenyl-triazole-labeled 2’-deoxycytidine and 7-deazaadenosine nucleosides at boron-doped diamond electrode. J. Electroanal. Chem. 2018, 821, 111–120. [Google Scholar] [CrossRef]
- Salim, A.; Lim, S. Review of recent metamaterial microfluidic sensors. Sensors 2018, 18, 232. [Google Scholar] [CrossRef] [PubMed]
- Frank, R.; Klenner, M.; Azendorf, R.; Bartz, M.; Jahnke, H.G.; Robitzki, A.A. Novel 96-well quantitative bioelectrocatalytic analysis platform reveals highly efficient direct electrode regeneration of cytochrome P450 BM3 on indium tin oxide. Biosens. Bioelectron. 2017, 93, 322–329. [Google Scholar] [CrossRef] [PubMed]
- Catarino, S.; Lima, R.; Minas, G. 12—Smart devices: Lab-on-a-chip. In Bioinspired Materials for Medical Applications; Rodrigues, L., Mota, M., Eds.; Woodhead Publishing: Cambridge, UK, 2017; pp. 331–369. [Google Scholar]
- Kumar, G.D.V.S.; Singh, S.G.; Vanjari, S.R.K. Flexible, biocompatible, highly scalable, high charge density 3D Microelectrode arrays. In Proceedings of the 2016 3rd International Conference on Emerging Electronics, Mumbai, India, 27–30 December 2016. [Google Scholar] [CrossRef]
- Pancrazio, J.J.; Deku, F.; Ghazavi, A.; Stiller, A.M.; Rihani, R.; Frewin, C.L.; Varner, V.D.; Gardner, T.J.; Cogan, S.F. Thinking Small: Progress on Microscale Neurostimulation Technology. Neuromodulation 2017, 20, 745–752. [Google Scholar] [CrossRef] [PubMed]
- Zhang, S.; Zhao, H.; John, R. Development of a generic microelectrode array biosensing system. Anal. Chim. Acta 2000, 421, 175–187. [Google Scholar] [CrossRef]
- Zhang, B.; Adams, K.L.; Luber, S.J.; Eves, D.J.; Heien, M.L.; Ewing, A.G. Spatially and temporally resolved single-cell exocytosis utilizing individually addressable carbon microelectrode arrays. Anal. Chem. 2008, 80, 1394–1400. [Google Scholar] [CrossRef] [PubMed]
- Zhang, C.; Wang, X.; Hou, M.; Li, X.; Wu, X.; Ge, J. Immobilization on Metal-Organic Framework Engenders High Sensitivity for Enzymatic Electrochemical Detection. ACS Appl. Mater. Interfaces 2017, 9, 13831–13836. [Google Scholar] [CrossRef] [PubMed]
- Qin, X.; Xu, A.; Liu, L.; Sui, Y.; Li, Y.; Tan, Y.; Chen, C.; Xie, Q. Selective staining of CdS on ZnO biolabel for ultrasensitive sandwich-type amperometric immunoassay of human heart-type fatty-acid-binding protein and immunoglobulin G. Biosens. Bioelectron. 2017, 91, 321–327. [Google Scholar] [CrossRef] [PubMed]
- Doldán, X.; Fagúndez, P.; Cayota, A.; Laíz, J.; Tosar, J.P. Electrochemical Sandwich Immunosensor for Determination of Exosomes Based on Surface Marker-Mediated Signal Amplification. Anal. Chem. 2016, 88, 10466–10473. [Google Scholar] [CrossRef] [PubMed]
- Tang, C.K.; Vaze, A.; Shen, M.; Rusling, J.F. High-Throughput Electrochemical Microfluidic Immunoarray for Multiplexed Detection of Cancer Biomarker Proteins. ACS Sens. 2016, 1, 1036–1043. [Google Scholar] [CrossRef] [PubMed]
- Ben-Yoav, H.; HDykstra, P.; EBentley, W.; Ghodssi, R. Microfluidic Arrayed Lab-On-A-Chip for Electrochemical Capacitive Detection of DNA Hybridization Events. Methods Mol. Biol. 2017, 1572, 71–88. [Google Scholar] [PubMed]
- Sridharan, S.V.; Rivera, J.F.; Nolan, J.K.; Alam, M.A.; Rickus, J.L.; Janes, D.B. On-chip microelectrode array and in situ transient calibration for measurement of transient concentration gradients near surfaces of 2D cell cultures. Sens. Actuators B Chem. 2018, 260, 519–528. [Google Scholar] [CrossRef]
- Roberts, R.C.; Tien, N.C. 3D printed stainless steel microelectrode arrays. In Proceedings of the TRANSDUCERS 2017 19th International Conference on Solid-State Sensors, Actuators and Microsystems, Kaohsiung, Taiwan, 18–22 June 2017; pp. 1233–1236. [Google Scholar] [CrossRef]
- Guler, M.T.; Bilican, I. Capacitive detection of single bacterium from drinking water with a detailed investigation of electrical flow cytometry. Sens. Actuators A Phys. 2018, 269, 454–463. [Google Scholar] [CrossRef]
- Madison, A.C.; Royal, M.W.; Vigneault, F.; Chen, L.; Griffin, P.B.; Horowitz, M.; Church, G.M.; Fair, R.B. Scalable Device for Automated Microbial Electroporation in a Digital Microfluidic Platform. ACS Synth. Biol. 2017, 6, 1701–1709. [Google Scholar] [CrossRef] [PubMed]
- Weidlich, S.; Krause, K.J.; Schnitker, J.; Wolfrum, B.; Offenhäusser, A. MEAs and 3D nanoelectrodes: Electrodeposition as tool for a precisely controlled nanofabrication. Nanotechnology 2017, 28, 95302. [Google Scholar] [CrossRef] [PubMed]
- Berrettoni, M.; Tonelli, D.; Conti, P.; Marassi, R.; Trevisani, M. Electrochemical sensor for indirect detection of bacterial population. Sens. Actuators B Chem. 2004, 102, 331–335. [Google Scholar] [CrossRef]
- Ghazavi, A.; Westwick, D.; Xu, F.; Wijdenes, P.; Syed, N.; Dalton, C. Effect of planar microelectrode geometry on neuron stimulation: Finite element modeling and experimental validation of the efficient electrode shape. J. Neurosci. Methods 2015, 248, 51–58. [Google Scholar] [CrossRef] [PubMed]
- Zoski, C.G.; Rodgers, R.S. Current amplification with signal averaging at steady-state microelectrodes. Electroanalysis 2000, 12, 420–424. [Google Scholar] [CrossRef]
- Amatore, C.; Da Mota, N.; Sella, C.; Thouin, L. Theory and experiments of transport at channel microband electrodes under laminar flows. 1. Steady-state regimes at a single electrode. Anal. Chem. 2007, 79, 8502–8510. [Google Scholar] [CrossRef] [PubMed]
- Park, H.; Takmakov, P.; Lee, H. Electrochemical evaluations of fractal microelectrodes for energy efficient neurostimulation. Sci. Rep. 2018, 8, 1–11. [Google Scholar] [CrossRef] [PubMed]
- Sui, Y.; Xu, A.; Jin, X.; Zheng, J.; He, X.; Cheng, Y.; Xie, Q.; Liu, R. In situ enzymatic generation of gold for ultrasensitive amperometric sandwich immunoassay of procalcitonin. Biosens. Bioelectron. 2018, 117, 422–428. [Google Scholar] [CrossRef] [PubMed]
- Zhu, X.; Wu, G.; Wang, C.; Zhang, D.; Yuan, X. A miniature and low-cost electrochemical system for sensitive determination of rhodamine B. Meas. J. Int. Meas. Confed. 2018, 120, 206–212. [Google Scholar] [CrossRef]
- Qin, X.; Sui, Y.; Xu, A.; Liu, L.; Li, Y.; Tan, Y.; Chen, C.; Xie, Q. Ultrasensitive immunoassay of proteins based on in-situ enzymatic formation of quantum dots and microliter-droplet anodic stripping voltammetry. J. Electroanal. Chem. 2018, 811, 121–127. [Google Scholar] [CrossRef]
- Tran, V.T.; Wei, Y.; Liau, W.J.; Yang, H.; Du, H. Preparing of interdigitated microelectrode arrays for AC electrokinetic devices using inkjet printing of silver nanoparticles ink. Micromachines 2017, 8, 106. [Google Scholar] [CrossRef]
- Lesch, A.; Momotenko, D.; Cortés-Salazar, F.; Wirth, I.; Tefashe, U.M.; Meiners, F.; Vaske, B.; Girault, H.H.; Wittstock, G. Fabrication of soft gold microelectrode arrays as probes for scanning electrochemical microscopy. J. Electroanal. Chem. 2012, 666, 52–61. [Google Scholar] [CrossRef]
- Amatore, C.; Da Mota, N.; Lemmer, C.; Pebay, C.; Sella, C.; Thouin, L. Theory and experiments of transport at channel microband electrodes under laminar flows. 2. Electrochemical regimes at double microband assemblies under steady state. Anal. Chem. 2008, 80, 9483–9490. [Google Scholar] [CrossRef] [PubMed]
- Sliusarenko, O.Y.; Oleinick, A.I.; Svir, I.B.; Amatore, C.A. Importance of stochastic limitations in electrochemistry at arrays of nanoelectrodes functionalized by redox self-assembled monolayers. Russ. J. Electrochem. 2017, 53, 1019–1028. [Google Scholar] [CrossRef]
- Amatore, C.; Da Mota, N.; Sella, C.; Thouin, L. Theory and experiments of transport at channel microband electrodes under laminar flow. 3. Electrochemical detection at electrode arrays under steady state. Anal. Chem. 2010, 82, 2434–2440. [Google Scholar] [CrossRef] [PubMed]
- Menshykau, D.; Javier del Campo, F.; Muñoz, F.X.; Compton, R.G. Current collection efficiency of micro- and nano-ring-recessed disk electrodes and of arrays of these electrodes. Sens. Actuators B Chem. 2009, 138, 362–367. [Google Scholar] [CrossRef]
- Sandison, M.E.; Anicet, N.; Glidle, A.; Cooper, J.M. Optimization of the geometry and porosity of microelectrode arrays for sensor design. Anal. Chem. 2002, 74, 5717–5725. [Google Scholar] [CrossRef] [PubMed]
- Kostecki, R.; Song, X.Y.; Kinoshita, K. Influence of Geometry on the Electrochemical Response of Carbon Interdigitated Microelectrodes. J. Electrochem. Soc. 2000, 147, 1878–1881. [Google Scholar] [CrossRef]
- Ngamchuea, K.; Lin, C.; Batchelor-Mcauley, C.; Compton, R.G. Supported Microwires for Electroanalysis: Sensitive Amperometric Detection of Reduced Glutathione. Anal. Chem. 2017, 89, 3780–3786. [Google Scholar] [CrossRef] [PubMed]
- Leiro, V.; Moreno, P.M.; Sarmento, B.; Durao, J.; Gales, L.; Pego, A.P. 1—Design and preparation of biomimetic and bioinspired materials. In Bioinspired Materials for Medical Applications; Rodrigues, L., Mota, M., Eds.; Woodhead Publishing: Cambridge, UK, 2017; pp. 1–44. [Google Scholar]
- Kozlov, A.G.; Fadina, E.A. Influence of the Microchannel Height on the Impedance of a Flow Electrochemical Cell with Planar Interdigitated Electrodes. J. Phys. Conf. Ser. 2018, 944, 12065. [Google Scholar] [CrossRef]
- Holm, T.; Sunde, S.; Seland, F.; Harrington, D.A. A semianalytical method for simulating mass transport at channel electrodes. J. Electroanal. Chem. 2015, 745, 72–79. [Google Scholar] [CrossRef]
- Morf, W.E. Theoretical treatment of the amperometric current response of multiple microelectrode arrays. Anal. Chim. Acta 1996, 330, 139–149. [Google Scholar] [CrossRef]
- Morf, W.E. Theoretical treatment of the current vs. time response of microelectrode arrays to changes of potential, concentration, or flow. Anal. Chim. Acta 1997, 341, 121–127. [Google Scholar] [CrossRef]
- Amatore, C.; Belotti, M.; Chen, Y.; Roy, E.; Sella, C.; Thouin, L. Using electrochemical coupling between parallel microbands for in situ monitoring of flow rates in microfluidic channels. J. Electroanal. Chem. 2004, 573, 333–343. [Google Scholar] [CrossRef]
- Cutress, I.J.; Wang, Y.; Limon-Petersen, J.G.; Dale, S.E.C.; Rassaei, L.; Marken, F.; Compton, R.G. Dual-microdisk electrodes in transient generator-collector mode: Experiment and theory. J. Electroanal. Chem. 2011, 655, 147–153. [Google Scholar] [CrossRef]
- Klayprasert, P.; Jakmunee, J. Flow Injection Amperometric System Coupled with a Well-Plate for Fast Screening of Total Antioxidant Capacity. Anal. Lett. 2018, 51, 1854–1873. [Google Scholar] [CrossRef]
- Nadzirah, S.; Hashim, U. Interdigitated microelectrode geometry for simple electrical Escherichia coli O157:H7 DNA detection. Microelectron. Int. 2017, 34, 99–107. [Google Scholar] [CrossRef]
- Cutress, I.J.; Dickinson, E.J.F.; Compton, R.G. Analysis of commercial general engineering finite element software in electrochemical simulations. J. Electroanal. Chem. 2010, 638, 76–83. [Google Scholar] [CrossRef]
- Henstridge, M.C.; Compton, R.G. Mass Transport to micro- and nanoelectrodes and their arrays: A review. Chem. Rec. 2012, 12, 63–71. [Google Scholar] [CrossRef] [PubMed]
- Harrington, D.A. Rules to transform concentrations and currents for irreversible reactions to those of quasireversible reactions. Electrochim. Acta 2015, 152, 308–314. [Google Scholar] [CrossRef]
- Amatore, C.; Oleinick, A.; Svir, I. Simulation of diffusion at microring electrodes through conformal mapping. J. Electroanal. Chem. 2004, 564, 245–260. [Google Scholar] [CrossRef]
- Cutress, I.J.; Compton, R.G. Theory of square, rectangular, and microband electrodes through explicit GPU simulation. J. Electroanal. Chem. 2010, 645, 159–166. [Google Scholar] [CrossRef]
- Yoo, J.; Byun, S.; Lee, C.-W.; Yoo, C.-Y.; Yu, J. Precisely Geometry Controlled Micro-Supercapacitors for Ultrahigh Areal Capacitance, Volumetric Capacitance, and Energy Density. Chem. Mater. 2017. [Google Scholar] [CrossRef]
- Ferrigno, R.; Brevet, P.-F.; Girault, H.H. Finite element simulation of the amperometric response of recessed and protruding microband electrodes in flow channels. J. Electroanal. Chem. 1997, 430, 235–242. [Google Scholar] [CrossRef]
- Harvey, S.L.R.; Parker, K.H.; O’Hare, D. Theoretical evaluation of the collection efficiency at ring-disc microelectrodes. J. Electroanal. Chem. 2007, 610, 122–130. [Google Scholar] [CrossRef]










| (a) | (b) | ||||||||
|---|---|---|---|---|---|---|---|---|---|
| m | c | n | R | m | c | n | R | ||
| Convex | Convex | ||||||||
| A = 1 | 1.2416 | −0.0060 | −0.6310 | 1.0000 | A = 1 | 186.2379 | −0.8936 | −0.6310 | 1.0000 |
| A = 2 | 1.2310 | 0.0018 | −0.7019 | 1.0000 | A = 2 | 92.3260 | 0.1353 | −0.7019 | 1.0000 |
| A = 3 | 1.1625 | 0.0025 | −0.7201 | 1.0000 | A = 3 | 58.1252 | 0.1262 | −0.7201 | 1.0000 |
| A = 4 | 1.1124 | 0.0028 | −0.7313 | 1.0000 | A = 4 | 41.7144 | 0.1037 | −0.7313 | 1.0000 |
| A = 5 | 1.0745 | 0.0029 | −0.7395 | 1.0000 | A = 5 | 32.2325 | 0.0860 | −0.7395 | 1.0000 |
| Flat | Flat | ||||||||
| A = 1 | 1.1677 | −0.0042 | −0.6386 | 1.0000 | A = 1 | 175.1537 | −0.6334 | −0.6386 | 1.0000 |
| A = 2 | 1.1550 | 0.0020 | −0.7043 | 1.0000 | A = 2 | 86.6302 | 0.1516 | −0.7043 | 1.0000 |
| A = 3 | 1.0942 | 0.0027 | −0.7231 | 1.0000 | A = 3 | 54.7112 | 0.1327 | −0.7231 | 1.0000 |
| A = 4 | 1.0494 | 0.0029 | −0.7349 | 1.0000 | A = 4 | 39.3508 | 0.1072 | −0.7349 | 1.0000 |
| A = 5 | 1.0153 | 0.0029 | −0.7436 | 1.0000 | A = 5 | 30.4582 | 0.0881 | −0.7436 | 1.0000 |
| Concave | Concave | ||||||||
| A = 1 | 1.1349 | 0.0005 | −0.6666 | 1.0000 | A = 1 | 170.2478 | −0.0669 | −0.6666 | 1.0000 |
| A = 2 | 1.0792 | 0.0022 | −0.7123 | 1.0000 | A = 2 | 80.4925 | 0.1623 | −0.7123 | 1.0000 |
| A = 3 | 1.0259 | 0.0026 | −0.7317 | 1.0000 | A = 3 | 51.2951 | 0.1323 | −0.7317 | 1.0000 |
| A = 4 | 0.9864 | 0.0028 | −0.7439 | 1.0000 | A = 4 | 36.9915 | 0.1044 | −0.7439 | 1.0000 |
| A = 5 | 0.9649 | 0.0033 | −0.7576 | 1.0000 | A = 5 | 28.6915 | 0.0847 | −0.7576 | 1.0003 |
| (a) | (b) | ||||||||
|---|---|---|---|---|---|---|---|---|---|
| m | c | n | R | m | c | n | R | ||
| convex | 0.2564 | −0.0226 | −0.3734 | 0.9994 | convex | 155.0329 | −1.0664 | −0.6133 | 1.0000 |
| flat | 0.2334 | −0.0192 | −0.3800 | 0.9995 | flat | 145.6101 | −0.7958 | −0.6212 | 1.0000 |
| concave | 0.2313 | −0.0094 | −0.4518 | 1.0000 | concave | 142.1452 | −0.1940 | −0.6523 | 1.0000 |
| Pe | Interdistance (mm) | Collection (%) |
|---|---|---|
| 10 | 0.3 | 24 |
| 50 | 0.8 | 13 |
| 100 | 1.3 | 8 |
© 2018 by the authors. Licensee MDPI, Basel, Switzerland. This article is an open access article distributed under the terms and conditions of the Creative Commons Attribution (CC BY) license (http://creativecommons.org/licenses/by/4.0/).
Share and Cite
Al Khatib, M.; Bellini, M.; Pogni, R.; Giaccherini, A.; Innocenti, M.; Vizza, F.; Lavacchi, A. Effect of Electrode Shape and Flow Conditions on the Electrochemical Detection with Band Microelectrodes. Sensors 2018, 18, 3196. https://doi.org/10.3390/s18103196
Al Khatib M, Bellini M, Pogni R, Giaccherini A, Innocenti M, Vizza F, Lavacchi A. Effect of Electrode Shape and Flow Conditions on the Electrochemical Detection with Band Microelectrodes. Sensors. 2018; 18(10):3196. https://doi.org/10.3390/s18103196
Chicago/Turabian StyleAl Khatib, Maher, Marco Bellini, Rebecca Pogni, Andrea Giaccherini, Massimo Innocenti, Francesco Vizza, and Alessandro Lavacchi. 2018. "Effect of Electrode Shape and Flow Conditions on the Electrochemical Detection with Band Microelectrodes" Sensors 18, no. 10: 3196. https://doi.org/10.3390/s18103196
APA StyleAl Khatib, M., Bellini, M., Pogni, R., Giaccherini, A., Innocenti, M., Vizza, F., & Lavacchi, A. (2018). Effect of Electrode Shape and Flow Conditions on the Electrochemical Detection with Band Microelectrodes. Sensors, 18(10), 3196. https://doi.org/10.3390/s18103196

