Abstract
The Cyber Physical Systems (CPS) paradigm is based on the deployment of interconnected heterogeneous devices and systems, so interoperability is at the heart of any CPS architecture design. In this sense, the adoption of standard and generic data formats for data representation and communication, e.g., XML or JSON, effectively addresses the interoperability problem among heterogeneous systems. Nevertheless, the verbosity of those standard data formats usually demands system resources that might suppose an overload for the resource-constrained devices that are typically deployed in CPS. In this work we present Context- and Template-based Compression (CTC), a data compression approach targeted to resource-constrained devices, which allows reducing the resources needed to transmit, store and process data models. Additionally, we provide a benchmark evaluation and comparison with current implementations of the Efficient XML Interchange (EXI) processor, which is promoted by the World Wide Web Consortium (W3C), and it is the most prominent XML compression mechanism nowadays. Interestingly, the results from the evaluation show that CTC outperforms EXI implementations in terms of memory usage and speed, keeping similar compression rates. As a conclusion, CTC is shown to be a good candidate for managing standard data model representation formats in CPS composed of resource-constrained devices.
1. Introduction
The trend to integrate heterogeneous systems and devices into Cyber Physical Systems (CPS) demands interoperable communications and data models. Nevertheless, since many systems are composed of resource-constrained devices, a big effort is being made to provide those systems with protocols and tools adapted to their limitations. A general approach is to tackle the challenge at different layers. For example, we can find IEEE 802.15.4 [1] for the media access control layer, IPv6 over Low power Wireless Personal Area Networks (6LoWPAN) [2] in the case of the network layer and the Constrained Application Protocol (CoAP) [3] at the application layer.
A more current trend is the Web of Things (WoT) [4,5], which takes the Internet of Things (IoT) paradigm one step forward. WoT consists of supporting web standards directly on embedded devices by reusing and adapting standard web protocols to the constrains of such systems. WoT is totally based on application layer protocols, effectively abstracting lower layers, e.g., physical or transport layers, which are the ones showing the highest degree of heterogeneity and the main source of clashes in traditional IoT networks. In short, WoT promotes generic/standard interfaces in order to enhance overall interoperability and build loosely coupled services by providing mechanisms for highly configurable services/interactions. Apart from enhancing overall interoperability, web services enable the application of high level services, such as the “self-*” services family (where “self-*” stands for self-discovery, self-configuring, etc.), directly on top of the devices. In general, the benefits of WoT for all CPS domains are clear, but they are specially important for consumer electronics-targeted domains (domotics, entertainment, etc.), where improved interoperability across services/vendors and increasing richness of interactions with the “smart” environment would enhance user experience.
The efficient management of standard data model representation formats would ease the native use of high level data models and protocols (such as web services) in resource-constrained devices. In the context of this paper, we consider “resource-constrained” as low memory (<256 KB Flash/ROM and ∼10 KB RAM), limited processing capability (<48 MHz, typically 8–16 MHz) and an average consumption of a few A due to energy source limitations and autonomy requirements.
Thus, this work considers the representation of data, which can be done using many different formats. We will focus on standard data model representation formats and, more precisely, W3C’s XML (Extensible Markup Language) as a main reference, even though other options such as JSON (JavaScript Object Notation) could also be considered. XML is widely extended as a data structuring format and is the basis for many application layer protocols, web services and related protocols, e.g., Simple Object Access Protocol (SOAP) [6] or Extensible Messaging and Presence Protocol (XMPP) [7].
XML has been designed to be human readable, with tokens codified as strings. This makes XML documents too large and too CPU demanding to be efficiently managed by resource-constrained devices. XML parsers need to deal with large amounts of string data and verbose documents, involving too much processing for energy- and processor-constrained devices. The size of XML documents puts some constrains on the required storing memory and transmission bandwidth. Resource-constrained devices usually have small memories of tens of KBytes, which should be able to store the XML document(s), as well as the application, operating system, communication libraries, etc. Additionally, the size of the XML documents has a direct impact on the number of message packets needed to transmit the whole document, which, as a consequence, affects the energy consumed by the device that communicates and, in the case of multi-hop networks, also by routing devices. For a survey on protocols targeted to resource-constrained devices, their characterization and limitations, readers are encouraged to consult [8].
In this work, we propose an approach based on templates, namely Context- and Template-based Compression (CTC). Roughly speaking, templates are extracted from the managed data model schema documents so that their representation can be replaced in the data model instance documents with a minimum number of references. Documents are then compressed (by using lossless-compression) following an algorithm that takes into account the context(s) of the data model’s schema.
The purpose of CTC is to reduce the resources needed to transmit, store and process data models compared to using the standard data representation formats (such as XML or JSON). First, by compressing the data model document instance, the quantity of messages needed to transmit the whole document is effectively reduced. Second, the use of templates minimizes the memory needed to store the data models’ schemas and the structures of the instances. Finally, the data model is codified in a more efficient format, resulting in a reduction of the required processing time. Tests have been performed in real hardware in order to evaluate our proposal. Results show that CTC outperforms other solutions and is a valid candidate for data model management in resource-constrained devices and networks.
In this paper, we also outline the communication model followed by CTC. Basically, templates are registered at execution time and are made available to the rest of the system. In order to manage data model schemas, nodes go through a preliminary discovery phase, where required templates and identifiers are downloaded from their storing location.
The paper is structured as follows: Section 2 presents the related work for this paper. Section 3 sets the concepts of CTC. Then, Section 4 introduces the compression and codification algorithm used in CTC. Section 5 describes the management and communication model used together with CTC. A performance study compared to Efficient XML Interchange (EXI) processor implementations is presented in Section 6. Finally, Section 7 summarizes and concludes the paper pointing out future steps.
2. Related Work
Although there are several XML compression algorithms, currently the most promising one seems to be EXI [9], adopted as a recommendation by W3C. For a comprehensible comparison of XML compression algorithms, readers are encouraged to consult [10]. EXI relies on a binary representation of XML, and it is designed to provide a considerable reduction on the size of the information in XML format (70–80%, as shown in [11]) and a high performance when encoding/decoding (6.7-times faster decoding and 2.4-times faster encoding according to [12]). In EXI, an XML document is represented by an EXI stream, which is composed of a header (containing encoding information) and a body (representing the data). Data are represented based on formal grammars to model redundancy. EXI uses a string table to assign “compact identifiers” to string tokens (such as qualified names and literals). Occurrences of string tokens found in the string table are represented using their associated compact identifier. The string table is dynamically expanded to include additional string values encountered in the document. When XML Schema information is available, the string table is initially pre-populated, allowing a much more efficient coding and compression.
However, EXI may be too complex to be efficiently implemented in resource-constrained devices. On the one hand, the implementation may require too much code memory or processing time. On the other hand, EXI requires the use of runtime memory allocation in order to accommodate schema deviations and grammar learning. The EXI Profile [13] recommendation proposes a series of configuration parameters and practices in order to reduce the memory needs of EXI implementations. EXI Profile is targeted to devices that are not allowed (either by design or convenience) to use arbitrary memory growth at runtime. The use of runtime memory is bounded by restricting the growth of string tables and the evolution of grammar(s), sacrificing some of the compression efficiency. However, these recommendations may not cover the resource limitations of the most resource-constrained devices. In contrast, CTC is specifically targeted to resource-constrained devices and makes use of templates and schema context information for energy-efficient management of standard data model representation formats.
The exploitation of XML templates is not a new concept. Extensible Style sheet Language Transformation (XSLT) [14] is the W3C standard for transforming XML documents into a different format, and its core is also based on template matching. An XSLT document is used to specify templates that match different portions of the original document. The XSLT document is in XML format, and templates are matched using XPath queries. When the XSLT processor finds a match, the code assigned to the template is executed, and the result is added to the output document. This turns XSLT into a very versatile and powerful tool. However, XSLT provides the template matching mechanisms, but does not specify any coding or compression algorithm, leaving this task to the user. XSLT also requires the parsing of two XML documents each time a transformation is performed: the XSLT document and the document/stream to be transformed. Thus, if XSLT were natively used in the device, it would have all of the drawbacks of natively parsing XML (the XSLT document) plus the overhead of parsing a second document/stream. In its last specifications, XSLT has been extended and also supports the transformation of non-XML documents through ad hoc parsing filters. In contrast, CTC defines templates as raw character strings, and it is not tied to any specific format.
Hoeller et al. [15,16,17] identified the inefficient management of XML formatted data in resource-constrained devices as a barrier to overcome in order to achieve full interoperability. They defined a series of mechanisms to efficiently manage XML in terms of processing, storing and transmission. They also provide a pre-compiler tool called [17]. This tool allows an easy integration of XML structures in C programs that are later translated into plain C, compilable with standard compilers. Additionally, it makes use of reused structures to efficiently store and process XML documents. The client/server communication model is based on XPath queries and optimized for this purpose. The use of pseudo XML structures in the code makes the solution proposed by Hoeller et al. heavily tied to XML. CTC uses a more natural data binding technique by using native C structures, giving a convenient abstraction of the underlying original data representation format. The work presented by Hoeller et al. does not provide a formal encoding or compression format for data transmission. The use of templates is suggested for the transmission of data, but few details are given.
3. Context- and Template-Based Compression Components
The main philosophy behind CTC is to use a data model representation encoding that is more efficient than standard formats, but that allows seamless transformation between the CTC format and the original format. CTC is conceived of as a part of a more complex distributed system. Figure 1 shows the simplified architecture of such a system, which is similar to communication architectures found in traditional Low Power Wireless Personal Area Networks (LPWPAN) and CPS in general: resource-constrained devices are deployed in a dedicated network, and an edge-router or gateway is used to access external networks (such as the Internet) and clients.
Figure 1.
Basic architecture.
Devices interchange data with clients that either reside in the same local network or in external networks. Devices with constrained resources will be able to take advantage of CTC, while more powerful devices use the original format at the same time. On the one hand, when both the resource-constrained device and the client implement CTC, the communication will be end-to-end, with the gateway acting as a mere router. On the other hand, if the client does not implement CTC and makes use of the data models in their original format, the gateway will act as an application level gateway and translate the original format to CTC and vice versa. CTC allows for the transformation between the two formats to be done in a transparent way so as not to break interoperability.
Thus, CTC defines a data model structure representation that is able to describe the links between the items and templates that compose a data model. The proposed approach is intended to be generic and not tied to a specific data description format (such as XML or JSON). The data model’s specific schema is used to extract a generic graph that is independent of the schema’s original representation format, as well as the templates used to build the schema instances. We denote this graph a Schema Context.
A Schema Context contains all of the relevant schema information including individual nodes and links. This approach is similar to the W3C Document Object Model (DOM [18]), which is one of the most popular data models for representing, storing, accessing and processing XML documents. DOM represents XML documents as a tree-structure where everything is a node: the document itself, elements, attributes, etc. DOM also specifies a low-level Application Programming Interface (API) for accessing, processing and modifying XML documents. In a Schema Context, the data model schemas are also represented as graphs, and the same terminology is used to refer to the relationships between nodes (parent, child, sibling, etc.).
However, unlike DOM, a Schema Context only considers two types of nodes: Elements and eContexts (short form of “Element Context”). An Element node encapsulates the properties of an item of the original schema and its associated template. For instance, an Element contains the cardinality and whether it is a basic type (“string”, “integer”, etc.). An eContext node basically groups child Element nodes. Depending on its type, an Element node may have an eContext, which contains the list of child Element nodes. An Element with no eContext is a leaf of the Schema Context graph.
A simple Schema Context graph example is shown in Figure 2. The figure depicts the eContext and Element nodes, the links between them and associated templates. For instance, Element “e1” has an eContext “C1”, which in turn is the parent of child Elements “e3”, “e4” and “e5” with cardinalities “1”, “0..1” and “1..*”, respectively. Additionally, “e3”, “e4” and “e5” Elements are linked to templates “t3”, “t4” and “t5”, respectively. Note that Element “e4” shares its template (“t4”) with Element “e6”.
Figure 2.
Schema Context graph example. Rounded nodes denote Elements, square nodes eContexts (short form of “Element Context”) and trapezium nodes templates. The numbers in the arrows indicate the cardinality: “1” one child, “1..*” one to many children, “0..1” none or one child (optional).
There are some other fundamental differences between DOM and Schema Context. DOM nodes only accept one parent (tree graph), while in the Schema Context, a node may have multiple parents. Although DOM is conceived of as a generic data model representation, it is especially targeted to XML and HTML formats, while the Schema Context does not make any specific assumption regarding the original format. Finally, DOM is used to represent any type of XML document, while Schema Context is only used to represent the data model schemas themselves, i.e., not the instances. Additionally, DOM representation of XML documents consumes much memory because the in-memory copy of a node keeps much information, and APIs tend to be heavy, producing verbose code. In contrast, the Schema Context is targeted to a minimum memory fingerprint, and the in-memory representation of a Schema Context only keeps the minimum information necessary to perform the codification.
CTC itself has two main components. Context Table, which contains the Schema Contexts, and Template Table, composed by the templates extracted from the schemas. Figure 3 shows a simplified representation of these two components. They are described with more detail in Section 3.1 and Section 3.2.
Figure 3.
Example of the representation of Context- and Template-based Compression (CTC) components.
The encoding and decoding processes are executed following a specific algorithm, denoted CTC Codification Algorithm. In turn, the CTC Codification Algorithm uses the Context Table (or more specifically, the Schema Contexts contained in the Context Table) as a reference in order to perform the encoding and decoding processes. The CTC Codification Algorithm is described in detail in Section 4.
3.1. Context Table
The Context Table contains all of the information of the data model schemas used by the device. Each entry of the Context Table is a Schema Context that contains the information related to the nodes in the schema, links between nodes, cardinality, links to templates and, in summary, all of the information needed to process a data model instance described by the schema.
A Schema Context is identified by the URI (Uniform Resource Identifier) and SchemaId attributes. The URI attribute must be unique, and it is used to globally identify the Schema Context. The SchemaId attribute is assigned at the device’s bootstrapping phase (as described later) and must be unique within the (sub-)network the Schema Context is used (for instance, within a wireless sensor local network).
A Schema Context is formally structured as a table where each entry is an eContexts node. In turn, each eContext entry contains a list with the child Element nodes. The first eContext of a Schema Context always belongs to the root Element node and indicates the entry point for the CTC Codification Algorithm.
Figure 3 shows a simplified representation of a Context Table, with the Template Table on the right side. The figure depicts the detail of a Schema Context with a SchemaId value of ‘2’ and eContexts “ROOT”, “C1” and “C2”. The figure also shows that eContext “C1” contains the child Elements “e3”, “e4” and “e5” and that Element “e3” is linked to template “t3”.
An eContext has the following attributes:
- Id: the unique identifier of the node, which is denoted by the eContext’s entry index within the Schema Context.
- MultipleParents: True if the eContext node is referenced by more than one Element nodes. False otherwise.
- Order: the value of this attribute depends on the order the child nodes may appear in a data model instance document. If the order of the children is fixed and coincides with the order in which they are defined in the schema, the value is fixed. If the order is random, the value is dynamic. Finally, if only one single children can appear (among all of the ones defined in the schema for that particular node), the value is choice.
- Children: it contains the list of child Element nodes.
The MultipleParents attribute allows the reuse of the same eContext node by more than one Element node. The result is a better leverage of the memory as it avoids unnecessary duplicities. On the other hand, the Order attribute is used to perform the most efficient encoding of the children, tailored to the schema’s restrictions. This also avoids the parsing of irrelevant coded items, improving the overall processing speed. The most efficient encoding is provided by fixed children, followed by choice and, finally, dynamic as the worst case. The choice order value is a special case of dynamic order, where the order is also unspecified, but only one children can appear.
An Element node is composed of the following attributes:
- Template: a reference to the entry in the Template Table that contains the template for this Element node.
- Type: data type of the Element node. The data type can be either a basic type, a constant, a complex or a schema. For the basic data type case, the following types (inherited from the EXI [9] specification) are supported: binary, boolean, decimal, float, integer, date-time and string.
- IsOptional: True in case the cardinality of the child Element is , where , and False otherwise.
- IsArray: True in case the child Element can appear consecutively more than once, i.e., those children that have cardinality , where and .
- Context: if the Type attribute is complex, Context attribute contains this child‘s eContext. In the case in which the Type attribute is schema, Context is equal to the Schema Context that describes the schema. A special value is used to represent a “<any>” schema, i.e., an unspecified schema. Basic types and constant type do not make use of the Context attribute.
The Type attribute is key in order to use the most efficient compression encoding for each data type. This also translates to average better processing performance as parsing/compressing with dedicated encoding is usually more efficient than processing plain string texts.
The IsOptional and IsArray attributes are used to codify the cardinality of the Element node. On the one hand, the IsOptional attribute identifies items that may not appear, removing the need to codify and process missing items. On the other hand, the IsArray attribute allows the codification of items’ repetitions by reusing the same Element (and its template) without the need for in-memory duplications. Additionally, a template can be referenced by more than one Element. In this way, Template Table entries are reused when possible, reducing memory requirements.
Table 1 shows the Schema Context table associated with the example data model Schema Context in Figure 2. For instance, as can be seen in Table 1, Element “e1” is linked to template “t1”, is of the complex type (thus, it has an eContext, “C1”) and is a non-optional array (cardinality “1..*”) with IsOptional to False and IsArray to True. As another example, Element “e4” is a leaf node (no eContext) of string basic type, and it is optional (cardinality 0..1) with IsOptional to True and IsArray to False. Additionally, Element “e4” is linked to template “t4” together with Element “e6”. Finally, note how eContext “C2” has MultipleParents attribute set to True and its linked by Elements “e2” and “e5”.
Table 1.
Schema Context table example. Each column represents an eContext. The content of the Children row represents the tuple (Template, Type, IsOptional, IsArray, Context). x denotes complex, s string, f False and t True.
3.2. Template Table
The Template Table stores the list of templates of the schemas used by the device. Basically, templates are represented by using a character string format. The Template Table also contains the position of the place-holders that represent the extension/nesting points for each template, i.e., where the templates of the child nodes or nested data models are inserted. Figure 4 shows the simplified Template Table structure with example content. In the figure, the place-holders of the example templates are represented with the character ‘@’.
Figure 4.
Template Table structure detail.
The Template Table is structured and designed to provide efficient template searching and matching. As can be seen in Figure 4, the Template Table is divided in two sub-tables: Primary Table and Secondary Table. The Primary Table only contains the templates of the valid starting items of a data model, according to the structure described in the data model’s schema. That is, the schema defines which items must appear first in a valid instance document and only the templates of these items are included in the Primary Table. For instance, in the XML case, the Primary Table will include the templates of the XML global elements. The Secondary Table contains the templates of all of the remaining items.
In addition to the information related to the template representation, each table entry also contains information about the Element nodes that reference the template. This simplifies the matching between the original format, the templates, the Elements and their eContexts, thus improving and optimizing the searching, matching and codification processes.
However, templates are only needed when the data model has to be transformed from/to the original format. As will be explained later in Section 5.2, resource-constrained devices do not need to include the Template Table, reducing the memory needs. If the Template Table is needed in order to transform from/to the original format, two distinct cases are considered: decoding and encoding.
When a coded stream is decoded to retrieve the data model in the original format, the coded stream is parsed using the information in the Context Table, and templates are merged together as the items are processed. In this case, the Template Table acts as a mere container of templates.
In the other case, when a data model in the original format has to be codified to CTC, the Template Table assumes a more active role. First, the Primary Table is used as the entry point for the encoding process, and it is searched for a valid match. Once a match is found, the associated Elements and eContexts are recursively navigated until the full document is parsed. This searching strategy improves the search speed by reducing the searching range.
In summary, the Template Table has two main purposes. On the one hand, the Template Table is used during the decoding phase to rebuild the codified data model to its original format. On the other hand, it servers as a pattern matching reference during the codification process in order to search data model instances in their original format, match the template patterns and, finally, extract the associated Element and eContext nodes.
3.3. Schema Context and Template Table Creation
As explained in Section 3.1, the Context Table contains the list of all of the Schema Contexts used by the device. Each Schema Context is created by processing the individual data model schemas. As the schema is processed, each eContext and Element is created strictly following the order in which the items are defined.
Basically, there are five pieces of information per item that need to be extracted from the data model schema in order to build the Schema Context and Template Table: the links between the items, the cardinality of those links, the order in which the children items can appear, the type of the item and, finally, the template that represents the structure of the item in the original format. How this information is gathered from the schema and processed is described in detail in the following paragraphs together with Algorithm 1. In order to avoid confusion, we will use the more generic term node to refer to a node of the original schema format (such as an “element” or “attribute” in XML or “property” in JSON) and the specific terms Element and eContext to refer to the respective nodes of the Schema Context.
| Algorithm 1: Schema Context creation |
![]() |
If the cardinality related to the node is 1, the IsOptional and IsArray attributes are set to False. If the node has cardinality , where , IsOptional is set to True. If , then IsArray is also set to True. Then, the template is added to the Template Table, and the Template attribute is set to the assigned index within the Template Table.
Once cardinality attributes and templates have been processed, the node’s type is added to the Type attribute. In case the node’s type is complex, the algorithm checks whether its context already exists in the Schema Context. In case the context already exists, the MultipleParents attribute is set to True. On the contrary, if it does not exist, a new eContext is created, and the MultipleParents attribute is set to False.
In Case (a), the order of appearance of children is fixed, and in (b) the appearance matches the order defined in the schema; the Order attribute is set to fixed. If the appearance order of the children can vary dynamically, the Order attribute is set to dynamic. In case only one of the children can appear, the Order attribute is set to choice.
Finally, the eContext is added to the Schema Context.
If the node’s type is schema, the Context attribute is set to the associated Schema Context. For those cases where the nested schema is unknown a priori, the Context attribute is set to the special value “<any>”.
Finally, the new child Element is added to the eContext of the parent Element.
Once the schema has been processed and the Schema Context has been created, a process called Context Collapsing is performed. This process reduces the number of eContexts, Elements and templates without any loss of information. If (1) the Order attribute of an Element’s and a child’s eContexts are both fixed, (2) the child is neither optional nor array (i.e., False and False) and (3) the child’s eContext only has one parent (i.e., False), then the eContext and template of the child Element are merged together with the eContext and template of the parent Element.
Context Collapsing is executed starting from the root node in a recursive way, for each eContext and its child Elements. In practice, this process merges together nested fixed contexts, reducing the effective processing time, as fewer iterations and accesses to the Context Table and Template Table will be necessary.
3.4. From XML Schema to Schema Context
The previous section described the general algorithm and approach to create a Schema Context from a generic data model schema. Although the algorithm is generic, it has to be specifically implemented for each data format type, as the mapping of the schema to a Schema Context is data format specific. This section describes the specific case of the algorithm application to an XML Schema. Although a full detailed explication of the mapping of every single node type described in the XML Infoset is out of the scope of this paper, we give here an overview of the most relevant and representative use cases.
XML complex and simple elements are transformed into CTC eContexts. The value of Order attribute will vary depending on whether the containers XML order indicator is “all” (dynamic), “choice” (choice) or “sequence” (fixed).
XML element particles are mapped as Elements. The cardinality of the Element will depend on the XML occurrence indicators “maxOccurs” and “minOccurs”. XML attributes are mapped in a similar way as XML elements, but they are grouped into a single child Element with a dynamically ordered eContext.
An optional child Element containing the XML prolog is always added to the root eContext, followed by any relevant global definition (such as namespaces and prefixes). Global XML elements and attributes are also added as Elements to the root eContext.
Each XML namespace is transformed into a different Schema Context. If the XML type of an XML element or attribute belongs to a namespace other than the current one, the Element Type will be of schema type, and the Context will be assigned to the Schema Context of the relevant namespace. If the XML element or attribute is of “<any>” type, the Element Type will also be of the schema type, but the Context is specially marked to represent the special value “<any>”.
Context Table and Template Table Example
We present an example of an Schema Context and Template Table generated from an XML Schema. To this end, we use the Notebook XML document example proposed by Peintner et al. [19]. Figure 5 shows the original Notebook XML Schema example. Figure 6 shows the Template Table generated before performing Context Collapsing (see Figure 6a) as described in Section 3.3 and after Context Collapsing (see Figure 6b).
Figure 5.
Notebook XML Schema document.
Figure 6.
Template Table Notebook example. Symbol ‘@’ is used to represent the place-holders’ positions.
As can be appreciated in Figure 6, templates are merged together after Context Collapsing is performed, eliminating in the process the unneeded eContext and Element nodes. The result is a more compact Schema Context and Template Table. Finally, Table 2 shows the Schema Context generated after Context Collapsing. This table is related to the Template Table shown in Figure 6b and contains the eContexts and Elements after pruning the unneeded items.
Table 2.
Schema Context Notebook example, after Context Collapsing. The content of the Children row represents the tuple (Template, Type, IsOptional, IsArray, Context). Cn represents the eContext Id and tn the template identifier; x denotes the complex value, s string, c the constant, d the date-time, t True and f False.
3.5. Other Data Model Representation Formats
In this paper, XML has been used as the primary example to show the capabilities and mechanisms that form CTC. However, CTC can be used with any other data model representation format as long as the information regarding the structure of the data model can be extracted from a schema or by any other means. In a similar way as with the XML case, this information is used by CTC to build the Context Table and Template Table that will be used for the CTC compression and management processes.
As a simple additional example, we can consider another popular format such as JSON. In this case, the data model structure information needed by CTC can be extracted from a JSON Schema and mapped to a Context Table and Template Table. For instance, cardinality information can be inferred from the “required” and “array” JSON properties. The Order attribute of all of the eContexts would be “dynamic” because JSON does not enforce any order for the properties of a JSON object.
As the complexity of the format and related schema grows, so does the CTC schema mapping and encoding process. However, this complexity is mostly concentrated in the mapping of the schema to the Context Table and Template Table. Additionally, different techniques can be applied (such as the Context Collapsing method) to the table building in order to relieve the resource-constrained devices from the runtime overhead.
4. CTC Codification Algorithm
In this section, we describe the generic rules that, applied together, form the CTC Codification Algorithm, used to perform the encoding and decoding processes. The rules define the actions to perform for each node, based on the information available in the Context Table. The rules are grouped and formalized using a set of equations that represent the different steps involved in the encoding/decoding process of each node.
We define the following terms:
- We denote … as the ordered list of child Elements of the eContext C where n is the total number of C’s children.
- We denote … as the unordered list of child Elements of the eContext C, where m, , is the number of C’s children actually appearing in the data model instance document.
- The function trims the representation of x to bits. Optionally, the form is also used to represent x with y bits. Thus, .
- The symbol ⊕ represents the concatenation of two bit arrays.
- The function returns the position index of the child Element e within eContext C. Note that, for an ordered child e, where . However, for an unordered child , may not be True.
Four set of rules are defined together with the corresponding equations: for Schema Contexts, for eContexts, for child Elements and for data types. is always applied first.
Rule1: If the SchemaId of a (nested) schema is not known a priori (i.e., any>), the SchemaId must be codified before the root eContext of the schema is processed. Otherwise, the codification of the root eContext of the (nested) schema is processed directly.
At the beginning of a coding/decoding process, Equation (1) is always used first. Thus, all CTC streams start with the SchemaId of the data model’s schema, followed by the root eContext.
Rule2.a: If the order of the child Elements is fixed, the codification of the eContext is equal to the concatenation of the children’s codification, following the same order the children are defined in the Children list attribute.
Rule2.b: If the order of the child Elements is independent of the order defined in the schema, a prefix equal to the child Element’s index plus one is added to the codification of each of the children. If not all of the children are present, a prefix of is used to indicate the end of the children list.
Rule2.c: If only one of the children can appear, a prefix equal to the child Element’s index is added to the codification of the children.
The following equation groups Rules 2.a, 2.b and 2.c.
is used to codify eContexts. As can be seen in Equation (2), the codification of an eContext depends mainly on the Order attribute. CTC defines a strict mode where the items of a schema are always codified strictly following the order defined in the schema. In this mode, all of the eContext nodes where condition applies are considered to be fixed. The strict mode provides a more compact compression at the cost of some of the flexibility of CTC. However, this mode is ideal for resource-constrained devices, as it is straightforward for the device to codify the data models respecting the items’ definition order.
Rule3.a: If an Element is not an array, nor optional, the codification is equal to the codification of the Element’s type.
Rule3.b: if an Element is optional, but not an array, a prefix is added to the codification, followed by the Element’s type codification. In case the Order of the parent eContext is not fixed, the prefix is omitted. If the optional Element does not appear, a will be added to the codification.
Rule3.c: if an Element is an array, a prefix is added to each of the Element occurrences, and a is added when no more occurrences remain.
Equation (3) groups Rules 3.a, 3.b and 3.c.
Finally, the following rules are used to process Element’s types:
Rule4.a: If the Element is a basic type, the built-in EXI data type representation is used to codify the Element’s value.
Rule4.b: When the Element is of complex type, the equation is used to codify the Element’s context.
Rule4.c: If the Element is of schema type, the equation is used to codify the Element’s context.
Codification Example
In order to clarify the application of the rules and equations explained in the previous section, the step by step codification of the XML instance shown in Figure 7 (which follows the Notebook schema of Figure 5) is described here. For simplicity, the example below only expands the first occurrence of the XML element “note”.
Figure 7.
Schema example instance.
First, the SchemaId of the schema is codified, followed by the root eContext:
Next, the prolog Element of the root eContext is processed, followed by the content of the data model instance:
The notebook XML element is codified into the stream taking into account that the eContext Order is choice:
notebook eContext contains two Elements, one for the XML attributes and another for the note XML element:
note Element is an array with length two:
note eContext contains three Elements, one for the XML attributes and another two for the subject and body XML elements:
The note_att eContext contains the attributes of the note XML element. It is a dynamic eContext with two child Elements:
Finally, basic type Elements are directly encoded using the EXI codification standard for built-in EXI data type representations. For instance, for the subject Element of type string, the value is codified as:
5. Context Table Management and Communication Model
The functionalities provided by CTC are encapsulated in a library. These functionalities include the management of the Context Table and Template Table, as well as the execution of the CTC Codification Algorithm. This library is embedded and used by the resource-constrained devices in order to access the functionalities offered by CTC and to encode/decode data streams.
However, CTC alone does not provide all of the functionalities needed to be directly used in a CPS. CTC is conceived of as a component within a distributed system, such as the one shown in Figure 8: resource-constrained devices are deployed in a local network, and an edge-router or gateway is used to access external networks, such as the Internet.
Figure 8.
Template location. (a) at the node, (b) at an external server.
In CTC, devices need to know the Context Tables and Template Tables (and their identifiers) associated with the data models they are using. This information is made available by the Schema Repository. Devices use the Schema Repository in an initial dissemination phase, in which Template Tables and Context Tables are distributed and registered in order to manage the schemas of the used data models. Although it is not required in all cases, for convenience, the Schema Repository is depicted at the gateway itself in Figure 8.
Depending on the application domain, resource-constrained devices interchange data with clients that may reside in the same local network or in external networks. If both the resource-constrained device and the client implement CTC, the communication will be end-to-end, with the gateway acting as a mere router. Note that the Schema Repository must be accessible from both the device and client, in order to satisfy the Schema Context dependencies during the bootstrapping phase.
In case the external clients do not implement CTC (i.e., they make use of the data models in their original format), the gateway will act as an application level gateway and translate the original format to CTC and vice versa. In this case, the gateway must contain a CTC Library in order to have access to CTC functionalities. However, the use of CTC is effectively hidden to the clients, and thus, the Schema Repository does not need to be externally accessible.
The following sections explain in more detail the schema registration process, as well as the use and implementation of the CTC Library in the resource-constrained devices and gateway.
5.1. Schema Registration
When a device joins the network for the first time, it can start a schema registration process. Schemas are registered in a centralized Schema Repository, usually located at the gateway. Devices use the URI of the data model schema to register. When the Schema Repository receives a registration request, it first checks whether that schema is already registered. In that case, the associated SchemaId is returned to the device. If the URI is not registered yet, the Schema Repository generates a new schemaId.
When registering a schema, an associated URL is provided so that its data model schema can be accessed and downloaded. Schemas can be stored in the device itself (see Figure 8a) or at an external server (Figure 8b). Once the Schema Repository has downloaded a schema, it generates the Context Table and Template Table. As an efficiency improvement, the Schema Repository could also pre-load a set of standard schemas or download already pre-compiled Context Tables.
Note that resource-constrained devices only need to store the schemas of the data models they actually use. Moreover, if the schemas are stored in an external server and are accessible by the clients, they can be totally stripped from the device.
Once the registration process is finished, the schemaId, Context Table and Template Table are available in the Schema Repository and will be accessible from local and remote clients during the bootstrapping phase.
The registration process does not assume any underlying protocol. For instance, a straightforward approach could be implemented by using CoAP [3] and GET/POST actions to gather/register the schemas together with CoRE Link Format [20] for discovery purposes.
5.2. CTC Library
As can be seen in Figure 9, the CTC Library follows a modular approach in order to tailor the capabilities to the needs and resources of the device. A support tool for the CTC Library, called CTC Compiler, is used to process the original schemas and automatically create the Context Table and Template Table, as well as the necessary native code for the data model bindings (depicted as Binding Stubs in Figure 9). This code is embedded in the devices’s application code at programming time and is referenced by the CTC Library.
Figure 9.
Architecture of the CTC Library. Dotted components are generated by the CTC Compiler.
The Manager component is responsible for the management of the external accesses (either write or read) to the Context Table and Template Table including the schema register process.
As explained before, the Context Table component holds all of the Schema Contexts, whereas the Template Table component contains the templates of all of the registered schemas.
The Codifier component is in charge of decoding/codifying the input data streams based on the CTC Compression Algorithm and Schema Contexts stored in the Context Table.
The Binding Stubs component groups all of the data model binding code automatically generated by the CTC compiler. These code stubs are used to directly map the data stream decoded by the Codifier component into native structures and to transform native structures into coded streams through the Codifier component. This results in a much more efficient processing of the data models as the parsing of the data model’s original format is completely avoided. On the other hand, the Generic Serializer component is used to rebuild the coded data stream to its original format (by processing the data stream and merging the templates) and vice versa.
A resource-constrained device will use the Binding Stubs component, that produces native and efficient structures, whereas devices that need access to the original format (such as gateways) will use the Generic Serializer. Note that a device that uses the Binding Stubs component does not need to include the Template Table and Generic Serializer components.
6. Performance Evaluation
In this section, two performance tests are presented in order to compare CTC and EXI implementations. In the first test, a set of XML instances are compressed by using (a) EXIficient [21], an EXI implementation, and (b) a prototype implementation of the CTC approach. In the second test, the performance of the decoding process and memory usage is analyzed, using as input the compressed streams obtained from the previous test. In order to decode the EXI streams, another EXI implementation more suited to resource-constrained systems is used, Embeddable EXI Processor (EXIP) [22]. EXIP is considered here because, to the authors’ knowledge, it is the best suited to resource-constrained systems. Other implementations targeted to resource-constrained systems, such as the solution WS4D-uEXI [23] promoted by the Web Services for Devices (WS4D) initiative, only implement a subset of the EXI specification and/or are somewhat outdated.
The tests were performed in a CC2650 MCU [24] running at 48 MHz. The test applications, as well as the code under test were compiled with the optimizations turned on.
The set of XML documents used in the tests is composed of the XML Schema instances for the Network Configuration Protocol (netconf) [25], Media Types for Sensor Markup Language (SenML) [26], Data Types definitions for OPC Unified Architecture of the OPC Foundation (OPC-UA Types) [27] and ZigBee Smart Energy Profile 2.0 (SEP2) [28], presented in the EXIP evaluation paper [22]. As in [22], three different documents per XML Schema are considered. Additionally, the Notebook XML instance used as an example in the EXI Primer web page [19] is also included.
6.1. First Comparison: Compression Size
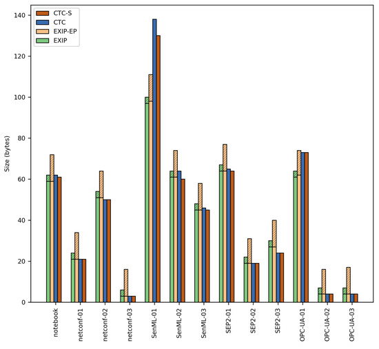
For this comparison, the XML documents were compressed using the EXIficient [21] EXI processor implementation. In order to ensure fairness, the EXI compression options were carefully configured. First, the EXI “schema strict” compression mode was selected. This mode takes into account the XML Schema(s) that describe a XML document in order to achieve the most compact compression. Additionally, all of the EXI preserve options were set to False, reducing the overhead that may be produced by compressing meta-data (such as comments). Finally, the EXI schemaId option was set to the constant string “1”. This assures that the schemaId option is included in the EXI header, but removes the arbitrary overhead of long identifiers. For each XML document, four cases are considered: with/without EXI Profile parameters and with/without including the EXI options in the EXI header. For the CTC case, the Context Tables and Template Tables were created from the XML Schemas, and the compression was performed using the CTC approach. Results in terms of size are shown in Table 3 and Figure 10.
Table 3.
XML document compression comparative in bytes. EXIP: schema strict mode, all preserve options to False and schemaId to constant string “1”. EXIP-EP: same options as EXIP column plus EXI Profile. CTC: CTC normal compression mode. CTC-S: CTC strict mode. Numbers inside brackets indicate the extra overhead due to EXI options embedded in the EXI header. The list of XML documents stand for: Notebook, EXI Notebook example; netconf, Network Configuration Protocol; SenML, Sensor Markup Language; SEP2, ZigBee Smart Energy Profile 2.0; OPC-UA, OPC Unified Architecture.
Figure 10.
XML document compression comparative in bytes. EXIP: schema strict mode, all preserve options to False and schemaId to constant string “1”. EXIP-EP: same options as EXIP case plus EXI Profile. CTC: CTC normal compression mode. CTC-S: CTC strict mode. Stacked columns indicate the extra overhead due to EXI options embedded in the EXI header.
Results show that CTC has a very similar compression size performance compared to EXI and an average better performance if we take into account the EXI header. The overhead produced by the EXI header can be overcome by providing the EXI options out of band, although this would imply a loss of flexibility. However, it may be necessary in order to reduce communication bandwidth, especially for the EXI Profile case. On the other hand, it is interesting to note that in the case of the SenML-01 document, EXI shows better compression results. The reason lies in the fact that our proposal is not able to compress the occurrences of strings outside the schema, while EXI does not differentiate between strings belonging to data and schema space.
6.2. Second Comparison: Decoding Speed
For the second test, EXI streams produced in the previous compression test were decoded using the EXIP v5.4 [29] EXI implementation. The EXI grammars were statically created from the set of test XML Schemas (using the tools provided by EXIP) and included in the EXIP test code. These EXI grammars were then used at runtime by EXIP to perform the decoding of the EXI streams. In the case of the CTC approach, the Context Tables and Template Tables were created using the CTC Compiler and added to the CTC test code as described in Section 5.2. A prototype implementation of CTC was used to decode the CTC streams produced in the previous test.
We performed 100 runs for each EXI and CTC compressed stream with no additional system load. As in the previous test, we considered four EXI cases for each XML instance document decoding: with/without EXI Profile parameters and with/without including the EXI options in the EXI header. For the EXI Profile cases, EXI Profile options had to be stripped from the EXI header of the EXI compressed streams because they are not supported by EXIP.
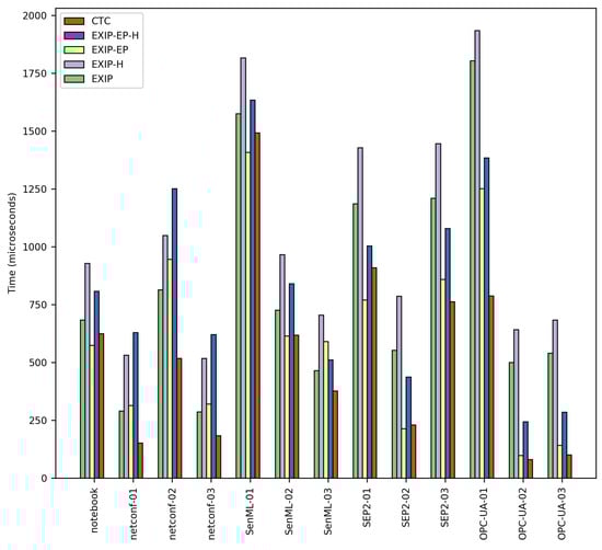
Table 4 and Figure 11 show the test results. For the CTC test, only one result column is presented because there is no notable difference between the results yielded by CTC in normal and strict modes.
Table 4.
XML document decoding time comparative. Numbers are in microseconds. EXIP: schema strict mode, all preserve options to False and schemaId to constant string “1”. EXIP-H: same options as EXIP column and EXI options embedded in the EXI header. EXIP-EP: same options as EXIP column plus EXI Profile. EXIP-EP-H: same options as EXIP-EP column and EXI options embedded in the EXI header, but no EXI Profile parameters. CTC: CTC normal and strict modes. The list of XML documents stand for: Notebook, EXI Notebook example; netconf, Network Configuration Protocol; SenML, Sensor Markup Language; SEP2, ZigBee Smart Energy Profile 2.0; OPC-UA, OPC Unified Architecture.
Figure 11.
XML document decoding time comparative. EXIP: schema strict mode, all preserve options to False and schemaId to constant string “1”. EXIP-H: same options as EXIP case and EXI options embedded in the EXI header. EXIP-EP: same options as EXIP case plus EXI Profile. EXIP-EP-H: same options as EXIP-EP column and EXI options embedded in the EXI header, but no EXI Profile parameters. CTC: CTC normal and strict modes.
Results from the tests show that CTC performed generally better in terms of processing time (an average of 36.6% time reduction and up to 87.4% time reduction) compared to any EXIP case. This is a direct result from using the simpler CTC approach and structure of the Context Tables and Template Tables compared to the EXI specification and EXIP implementation. This difference in decoding speed will be more pronounced in devices with slower CPUs, such as the popular TelosB [30], which runs at 8 MHz. For those cases, times shown in Table 4 will be incremented by a factor of 2–8. Reducing processing time is key in resource-constrained devices in order to reduce the energy consumption as much as possible and to make the most of the available energy.
6.3. Third Comparison: Memory Usage
In the last comparison, memory usage of the EXIP library and CTC prototype implementations were compared in terms of required Flash and runtime memories (i.e., code size, data, heap and stack consumption).
The EXIP library supports a dedicated compilation configuration for EXI Profile. In this configuration, the EXIP library code and EXI grammars are more compact, and the RAM usage is notably reduced. Both compilation configurations, normal and EXI Profile, were taken into account in the comparison. For CTC, the memory consumption for the Context Tables and Template Tables are separately considered. Measures were taken from the test applications used in the second test (described in Section 6.2), and the results are listed in Table 5. Memory usage is separately listed for the EXI and CTC core libraries (labelled as “library”) and for each XML schema (labeled as “*.xsd”). Code memory (Flash) and data memory are depicted in different columns. Figure 12 shows the Flash memory usage listed in Table 5.
Table 5.
Memory consumption comparative in bytes. The table shows the use of code memory (Flash) and data memory (RAM). Additionally, the maximum heap and stack used for the EXIP case is 1734 and 904 bytes respectively. For the EXIP-EP case, maximum heap and stack usage amounts to 1294 and 792 bytes respectively. Finally, CTC uses no Heap and the maximum stack size used for the tests is 692 bytes.
Figure 12.
Flash memory consumption comparative in bytes.
Results show that CTC requires significantly less Flash and runtime memory than EXIP. In the case of the base library, CTC is 7.9% the size of the EXIP EXI Profile implementation. For the test XML Schemas, the comparative size ranges from 7.7%–55.8%. As has been explained in Section 5.2, the Template Table can be stripped from devices that do not make use of it, thus reducing even further CTC memory requirements for the test XML Schemas. In this case, the comparative memory usage will be reduced to 3.9%–29.0%.
Additionally, CTC uses nearly no data RAM, while EXIP uses 252 bytes in its best case and up to 13,765 bytes in the worst one. Finally, the maximum heap and stack used for the EXIP case is 1734 and 904 bytes, respectively, and for the EXIP-EP case, heap and stack usage amounts to 1294 and 792 bytes, respectively. In contrast, CTC uses no heap, and the maximum stack size consumed is 692 bytes.
Devices need to share the memory between multiple functionalities (application, sensor drivers, communication stacks, etc.) and will likely need to accommodate more than one schema. Results show that CTC memory requirements are much more suited to resource-constrained devices than EXI implementations due to the significantly smaller memory footprint.
7. Conclusions
In this paper we have presented Context and Template based Compression, a compression approach for standard data model representation formats. CTC provides a data model representation encoding targeted to resource-constrained devices that is more efficient than standard formats but that allows seamless transformation between the CTC format and the original format. Additionally, CTC supports the WoT paradigm which consists on supporting web standards directly on embedded devices. CTC makes possible the native use of Web Services by enabling the native use of standard data model representation formats Web Services are based on.
Cyber Physical Systems rely on the deployment of interconnected heterogeneous devices and systems. This demands interoperable communications and data models which are typically addressed through the adoption of generic data formats such as XML or JSON. However, the verbosity of these standard data formats requires system resources that might be beyond the capabilities of the resource-constrained devices typically used into CPS. CTC addresses this problem by easing the interoperable integration of heterogeneous devices at the data representation level while requiring very low resource needs (in terms of communication bandwidth, memory size and processing power).
We have shown that CTC provides good performance results compared to EXI implementations. CTC achieves better performance than EXI implementations in terms of speed and memory usage, while keeping a similar efficiency in terms of compression for EXI’s better case (Schema Strict). These results show that CTC is a good candidate for resource-constrained devices as it produces very efficient implementations in terms of memory usage and energy consumption.
Additionally, the CTC communication model provides a flexible and interoperable communication architecture. Devices can communicate using standard data model representation formats with devices residing in the same local network or in external networks. The communication can be end-to-end if both devices implement CTC or the gateway can act as an application level gateway otherwise. The schema registration mechanism allows to assign and distribute schema information dynamically at running time. The flexibility in the location of the schema information storing place reduces the message transmission overhead and removes the need to store Template Tables on the devices themselves, saving memory resources.
The CTC Library provides a modular approach that allows to tailor the capabilities to the needs and resources of the devices. The library is complemented by the CTC Compiler tool, easing and automating the implementation of the Context Table, Template Table and data model bindings to native code.
As a future work, we are considering to extend CTC in order to take into account constraints described in the schema. This would improve the compression and the addition of partial validations to the coded streams. We are also planning on extending the CTC Compiler to add support for automatic generation of Web Service bindings.
Another line of research is to apply the concepts used in CTC to EXI grammars representation. By improving the implementation efficiency of EXI processors (from in-memory representation to grammar processing), the use of EXI will open to a wider range of resource-constrained devices.
Acknowledgments
Research partially supported by the European Union Horizon 2020 Programme under Grant Agreement Number H2020-EeB-2015/680708 - HIT2GAP, Highly Innovative building control Tools Tackling the energy performance GAP. Also partially supported by the Department of Education, Universities and Research of the Basque Government under Grant IT980-16 and the Spanish Research Council, under grant TIN2016-79897-P.
Author Contributions
The authors have contributed equally to the work reported.
Conflicts of Interest
The authors declare no conflict of interest. The founding sponsors had no role in the design of the study; in the collection, analyses, or interpretation of data; in the writing of the manuscript, and in the decision to publish the results.
References
- Gutierrez, J.A.; Callaway, E.H.; Barrett, R. IEEE 802.15.4 Low-Rate Wireless Personal Area Networks: Enabling Wireless Sensor Networks; IEEE Standards Office: New York, NY, USA, 2003. [Google Scholar]
- Shelby, Z.; Bormann, C. 6LoWPAN: The Wireless Embedded Internet; Wiley Publishing: Chichester, West Sussex, UK, 2009; ISBN 9780470747995 (H/B). [Google Scholar]
- Shelby, Z.; Hartke, K.; Bormann, C. The Constrained Application Protocol (CoAP); Technical Report 7252; RFC Editor: Fremont, CA, USA, 2014. [Google Scholar]
- Guinard, D.; Trifa, V.; Mattern, F.; Wilde, E. From the Internet of Things to the Web of Things: Resource-Oriented Architecture and Best Practices. In Architecting the Internet of Things; Uckelmann, D., Harrison, M., Michahelles, F., Eds.; Springer: Berlin/Heidelberg, Germany, 2011; pp. 97–129. [Google Scholar]
- Kajimoto, K.; Matsukura, R.; Hund, J.; Kovatsch, M.; Nimura, K. Web of Things (WoT) Architecture (Unofficial Draft); Technical Report; W3C: Cambridge, MA, USA, 2017. [Google Scholar]
- Gudgin, M.; Hadley, M.; Mendelsohn, N.; Moreau, J.J.; Frystyk Nielsen, H. SOAP Version 1.2 Part 1: Messaging Framework. Recommendation, W3C. 2003. Available online: http://www.w3.org/TR/2003/REC-soap12-part1-20030624 (accessed on 29 July 2017).
- Saint-Andre, P. Extensible Messaging and Presence Protocol (XMPP): Core; RFC 6120; RFC Editor: Fremont, CA, USA, 2011. [Google Scholar]
- Ogundile, O.O.; Alfa, A.S. A Survey on an Energy-Efficient and Energy-Balanced Routing Protocol for Wireless Sensor Networks. Sensors 2017, 17, 1084. [Google Scholar] [CrossRef] [PubMed]
- Schneider, J.; Kamiya, T.; Peintner, D.; Kyusakov, R. Efficient XML Interchange (EXI) Format 1.0, 2nd ed.; Recommendation; W3C: Cambridge, MA, USA, 2014. [Google Scholar]
- Moritz, G.; Timmermann, D.; Stoll, R.; Golatowski, F. Encoding and Compression for the Devices Profile for Web Services. In Proceedings of the 2010 IEEE 24th International Conference on Advanced Information Networking and Applications Workshops (WAINA), Perth, Australia, 20–23 April 2010; IEEE Computer Society: Washington, DC, USA, 2010; pp. 514–519. [Google Scholar]
- White, G.; Kangasharju, J.; Brutzman, D.; Williams, S. Efficient XML Interchange Measurements Note; Technical Report; W3C: Cambridge, MA, USA, 2007. [Google Scholar]
- Bournez, C. Efficient XML Interchange Evaluation; Technical Report; W3C: Cambridge, MA, USA, 2009. [Google Scholar]
- Fablet, Y.; Peintner, D. Efficient XML Interchange (EXI) Profile for Limiting Usage of Dynamic Memory; Technical Report; W3C: Cambridge, MA, USA, 2014. [Google Scholar]
- XSL Transformations (XSLT). 1999. Available online: https://www.w3.org/TR/xslt (accessed on 15 March 2017).
- Hoeller, N.; Reinke, C.; Neumann, J.; Groppe, S.; Boeckmann, D.; Linnemann, V. Efficient XML Usage Within Wireless Sensor Networks. In Proceedings of the 4th Annual International Conference on Wireless Internet, Maui, HI, USA, 17–19 November 2008; Wang, X., Shroff, N.B., Eds.; ICST: Brussels, Belgium, 2008. [Google Scholar]
- Hoeller, N.; Reinke, C.; Neumann, J.; Groppe, S.; Lipphardt, M.; Schuett, B.; Linnemann, V. Stream-Based XML Template Compression for Wireless Sensor Network Data Management. In Proceedings of the 2010 4th International Conference on Multimedia and Ubiquitous Engineering (MUE), Cebu, Philippines, 11–13 August 2010; IEEE: Washington, DC, USA, 2010; pp. 1–9. [Google Scholar]
- Hoeller, N.; Reinke, C.; Neumann, J.; Groppe, S.; Werner, C.; Linnemann, V. Efficient XML data and query integration in the wireless sensor network engineering process. Int. J. Web Inf. Syst. 2010, 6, 319–358. [Google Scholar] [CrossRef]
- Document Object Model (DOM). Available online: https://www.w3.org/DOM/ (accessed on 15 March 2017).
- Peintner, D.; Pericas-Geertsen, S. Efficient XML Interchange (EXI) Primer. 2014. Available online: https://www.w3.org/TR/exi-primer/ (accessed on 20 May 2017).
- Shelby, Z. Constrained RESTful Environments (CoRE) Link Format; RFC 6690 (Proposed Standard); RFC Editor: Fremont, CA, USA, 2012. [Google Scholar]
- EXIficient (EXI Procesor). Available online: http://exificient.github.io/ (accessed on 20 May 2017).
- Kyusakov, R.; Punal Pereira, P.; Eliasson, J.; Delsing, J. EXIP: A Framework for Embedded Web Development. TWEB 2014, 8, 23. [Google Scholar] [CrossRef]
- WS4D-uEXI. Available online: http://ws4d.org/2012/ws4d-uexi-available-as-open-source/ (accessed on 20 May 2017).
- CC2650, SimpleLink Multi-Standard 2.4 GHz Ultra-Low Power Wireless MCU. Available online: http://www.ti.com/product/CC2650 (accessed on 20 May 2017).
- Network Configuration Protocol (NETCONF) Schema. Available online: https://www.iana.org/assignments/xml-registry/schema/netconf.xsd (accessed on 29 July 2017).
- Jennings, C.; Shelby, Z.; Arkko, J.; Keränen, A.; Bormann, C. Media Types for Sensor Measurement Lists (SenML). Internet-Draft draft-ietf-core-senml-10, Internet Engineering Task Force. 2017. Available online: https://datatracker.ietf.org/doc/html/draft-ietf-core-senml-10 (accessed on 29 July 2017).
- OPC-UA Types Schema. Available online: https://opcfoundation.org/UA/2008/02/Types.xsd (accessed on 29 July 2017).
- Zigbee Smart Energy Profile 2.0. Available online: http://www.zigbee.org/zigbee-for-developers/applicationstandards/zigbeesmartenergy/ (accessed on 29 July 2017).
- Embeddable EXI Processor in C. Available online: http://exip.sourceforge.net/ (accessed on 20 May 2017).
- CM5000 TelosB. Available online: https://www.advanticsys.com/shop/mtmcm5000msp-p-14.html (accessed on 20 May 2017).
© 2017 by the authors. Licensee MDPI, Basel, Switzerland. This article is an open access article distributed under the terms and conditions of the Creative Commons Attribution (CC BY) license (http://creativecommons.org/licenses/by/4.0/).
