Comparison of Benchtop Fourier-Transform (FT) and Portable Grating Scanning Spectrometers for Determination of Total Soluble Solid Contents in Single Grape Berry (Vitis vinifera L.) and Calibration Transfer
Abstract
:1. Introduction
2. Materials and Methods
2.1. Intact Berry Samples
2.2. Spectral Collection and Reference Methods of SSC
- (i)
- A benchtop Fourier transform (FT) spectrometer (VECTOR 22/N, Bruker Optics, Germany), equipped with a deuterated triglycine sulfate detector (DTGS) detector covering the spectral range from 12000 to 4000 cm−1 (833–2500 nm), and the spectral resolution of this spectrometer is 3.858 cm−1.
- (ii)
- A portable grating scanning spectrometer (SupNIR-1500, Focused Photonics Inc., Hangzhou, China) equipped with an InGaAs detector and a 3.4 cm diameter clear aperture, with the spectral range between 1000 to 1800 nm and 1 nm wavelength increments.
2.3. PLS, LS-SVM Regression
2.4. Passing-Bablok Regression
2.5. Mean Normalization and Standardization Samples Selection
2.6. Linear Interpolation-PDS for Model Transfer
2.7. The Model Evaluation
3. Results and Discussion
3.1. Statistics of SSC
3.2. Spectra Preprocessing
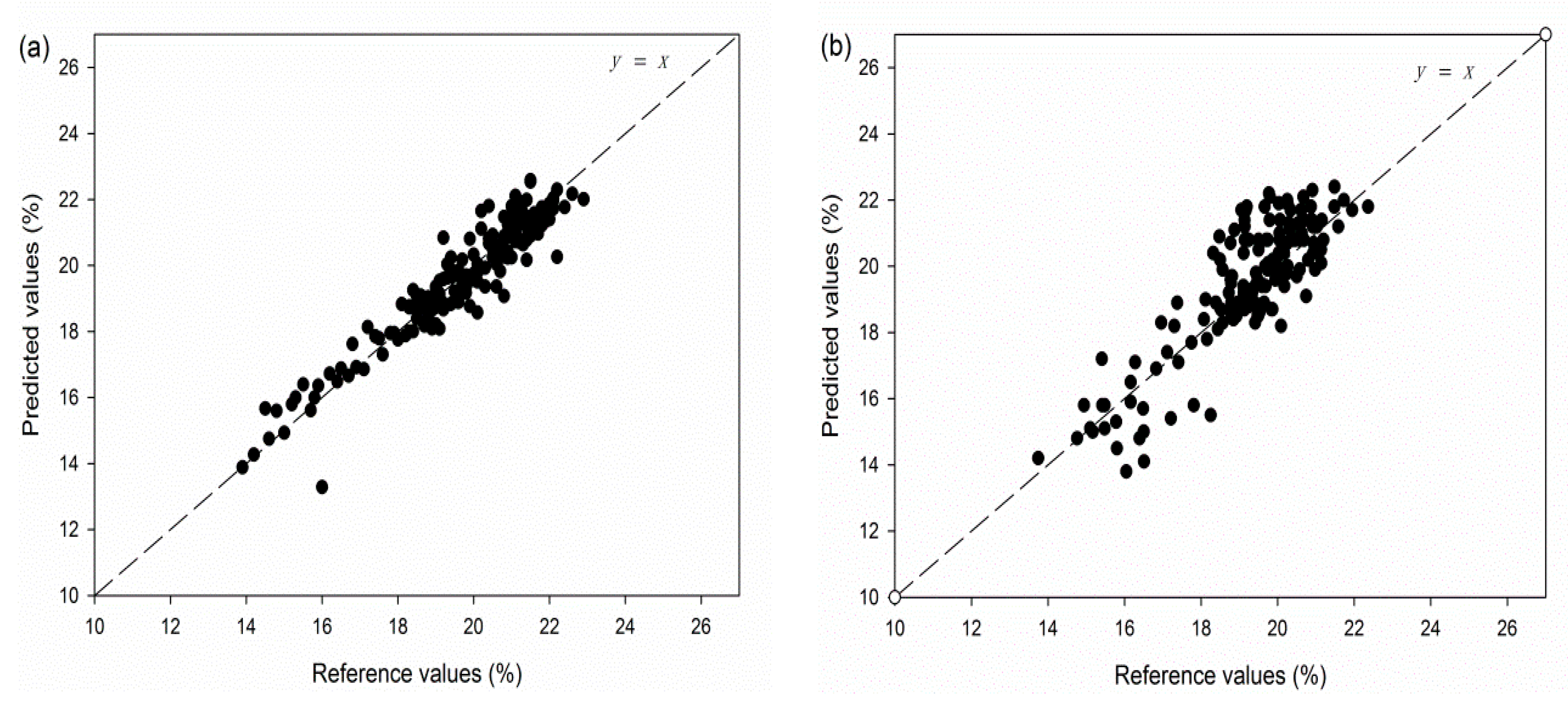
3.3. SSC Prediction of Grape Berries
3.4. Calibration Transfer
4. Conclusions
Acknowledgments
Author Contributions
Conflicts of Interest
References
- Wu, G.F.; Huang, L.X.; He, Y. Research on the sugar content measurement of grape and berries by using Vis/NIR spectroscopy technique. Spectrosc. Spectr. Anal. 2008, 28, 2090–2093. [Google Scholar]
- Qu, J.H.; Liu, D.; Cheng, J.H.; Sun, D.W.; Ma, J.; Pu, H.; Zeng, X.A. Applications of near-infrared spectroscopy in food safety evaluation and control: A review of recent research advances. Crit. Rev. Food Sci. Nutr. 2015, 55, 1939–1954. [Google Scholar] [CrossRef] [PubMed]
- Cirilli, M.; Bellincontro, A.; Urbani, S.; Servili, M.; Esposto, S.; Mencarelli, F.; Muleo, R. On-field monitoring of fruit ripening evolution and quality parameters in olive mutants using a portable NIR-AOTF device. Food Chem. 2016, 199, 96–104. [Google Scholar] [CrossRef] [PubMed]
- Nogales-Bueno, J.; Ayala, F.; Hernándezhierro, J.M.; Echávarri, J.F.; Heredia, F.J. Simplified method for the screening of technological maturity of red grape and total phenolic compounds of red grape skin: Application of the characteristic vector method to near-infrared spectra. J. Agric. Food Chem. 2015, 63, 4284–4290. [Google Scholar] [CrossRef] [PubMed]
- Paz, P.; Sánchez, M.T.; Pérez-Marín, D.; Guerrero, J.E.; Garrido-Varo, A. Nondestructive determination of total soluble solid content and firmness in plums using near-infrared reflectance spectroscopy. J. Agric. Food Chem. 2008, 56, 2565–2570. [Google Scholar] [CrossRef] [PubMed]
- Parpinello, G.P.; Nunziatini, G.; Rombolà, A.D.; Gottardi, F.; Versari, A. Relationship between sensory and NIR spectroscopy in consumer preference of table grape (cv Italia). Postharvest Biol. Technol. 2013, 83, 47–53. [Google Scholar] [CrossRef]
- Wu, D.; Chen, J.; Lu, B.; Xiong, L.; He, Y.; Zhang, Y. Application of near infrared spectroscopy for the rapid determination of antioxidant activity of bamboo leaf extract. Food Chem. 2012, 135, 2147–2156. [Google Scholar] [CrossRef] [PubMed]
- Dong, W.; Ni, Y.; Kokot, S. A near-infrared reflectance spectroscopy method for direct analysis of several chemical components and properties of fruit, for example, Chinese hawthorn. J. Agric. Food Chem. 2013, 61, 540–546. [Google Scholar] [CrossRef] [PubMed]
- Bagchi, T.B.; Sharma, S.; Chattopadhyay, K. Development of NIRS models to predict protein and amylose content of brown rice and proximate compositions of rice bran. Food Chem. 2016, 191, 21–27. [Google Scholar] [CrossRef] [PubMed]
- Núñez-Sánchez, N.; Martínez-Marín, A.L.; Polvillo, O.; Fernández-Cabanás, V.M.; Carrizosa, J.; Urrutia, B. Near infrared spectroscopy (NIRS) for the determination of the milk fat fatty acid profile of goats. Food Chem. 2016, 190, 244–252. [Google Scholar] [CrossRef] [PubMed]
- Rodríguez-Pulido, F.J.; Barbin, D.F.; Sun, D.W.; Gordillo, B.; González-Miret, M.L.; Heredia, F.J. Grape seed characterization by NIR hyperspectral imaging. Postharvest Biol. Technol. 2013, 76, 74–82. [Google Scholar] [CrossRef]
- Liang, C.; Yuan, H.F.; Zhao, Z.; Song, C.F.; Song, C.F.; Wang, J.J. A new multivariate calibration model transfer method of near-infrared spectral analysis. Chemom. Intell. Lab. Syst. 2016, 153, 51–57. [Google Scholar] [CrossRef]
- Osborne, B.G.; Fearn, T. Collaborative evaluation of universal calibrations for the measurement of protein and moisture in flour by near infrared reflectance. Int. J. Food Sci. Technol. 1983, 18, 453–460. [Google Scholar] [CrossRef]
- Shenk, J.S.; Westerhaus, M.O. Optical Instrument Calibration System. US Patent, US4,866,644, 12 September 1989. [Google Scholar]
- Wang, Y.; Kowalski, B.R. Calibration transfer and measurement stability of near-infrared spectrometers. Appl. Spectrosc. 1992, 46, 764–771. [Google Scholar] [CrossRef]
- Chu, X.L.; Yuan, H.F.; Lu, W.Z. Progress and application of spectral data pretreatment and wavelength selection methods in NIR analytical technique. Prog. Chem. 2014, 16, 528–542. [Google Scholar]
- Kennard, R.W.; Stone, L.A. Computer Aided Design of Experiments. Technometrics 1969, 11, 137–148. [Google Scholar] [CrossRef]
- Geladi, P.; Kowalski, B.R. Partial least-squares regression: A tutorial. Anal. Chim. Acta 1986, 185, 1–17. [Google Scholar] [CrossRef]
- Suykens, J.A.K.; Vandewalle, J. Least squares support vector machine classifiers. Neural Process. Lett. 1999, 9, 293–300. [Google Scholar] [CrossRef]
- Passing, H.; Bablok, W. A new biometrical procedure for testing the equality of measurements from two different analytical methods. Application of linear regression procedures for method comparison studies in clinical chemistry, part I. J. Clin. Chem. Clin. Biochem. Z. Klin. Chem. Klin. Biochem. 1983, 21, 709–720. [Google Scholar] [CrossRef]
- Feudale, R.N.; Woody, N.A.; Tan, H.; Myles, A.J.; Brown, S.D.; Ferre, J. Transfer of Multivariate Calibration Models: A review. Chemom. Intell. Lab. Syst. 2002, 64, 181–192. [Google Scholar] [CrossRef]
- Urraca, R.; Sanz-Garcia, A.; Tardaguila, J.; Diago, M.P. Estimation of total soluble solids in grape berries using a hand-held NIR spectrometer under field conditions. J. Sci. Food Agric. 2015, 96, 3007–3016. [Google Scholar] [CrossRef] [PubMed]
- Nicolaï, B.M.; Beullens, K.; Bobelyn, E.; Peirs, A.; Saeys, W.; Theron, K.I. Nondestructive measurement of fruit and vegetable quality by means of NIR spectroscopy: A review. Postharvest Biol. Technol. 2007, 46, 99–118. [Google Scholar] [CrossRef]
- Fontán, J.M.; Calvache, S.; Lópezbellido, R.J.; Lópezbellido, L. Soil carbon measurement in clods and sieved samples in a mediterranean vertisol by visible and near-infrared reflectance spectroscopy. Geoderma 2010, 156, 93–98. [Google Scholar] [CrossRef]
- Porep, J.U.; Erdmann, M.E.; Körzendörfer, A.; Kammerer, D.R.; Carle, R. Rapid determination of ergosterol in grape mashes for grape rot indication and further quality assessment by means of an industrial near infrared/visible (NIR/Vis) spectrometer—A feasibility study. Food Control 2014, 43, 142–149. [Google Scholar] [CrossRef]
- Nogales-Bueno, J.; Hernández-Hierro, J.M.; Rodríguez-Pulido, F.J.; Heredia, F.J. Determination of technological maturity of grapes and total phenolic compounds of grape skins in red and white cultivars during ripening by near infrared hyperspectral image: A preliminary approach. Food Chem. 2014, 152, 586–591. [Google Scholar] [CrossRef] [PubMed]
- Giovenzana, V.; Civelli, R.; Beghi, R.; Oberti, R.; Guidetti, R. Testing of a simplified led based Vis/NIR system for rapid ripeness evaluation of white grape (Vitis vinifera, L.) for franciacorta, wine. Talanta 2015, 144, 584–591. [Google Scholar] [CrossRef] [PubMed]
- Fernández-Novales, J.; López, M.I.; Sánchez, M.T.; Morales, J.; González-Caballero, V. Shortwave-near infrared spectroscopy for determination of reducing sugar content during grape ripening, winemaking, and aging of white and red wines. Food Res. Int. 2008, 42, 285–291. [Google Scholar] [CrossRef]
- Malegori, C.; Nascimento-Marques, E.J.; de Freitas, S.T.; Pimentel, M.F.; Pasquini, C.; Casiraghi, E. Comparing the analytical performances of micro-NIR and FT-NIR spectrometers in the evaluation of acerola fruit quality, using PLS and SVM regression algorithms. Talanta 2017, 165, 112–116. [Google Scholar] [CrossRef] [PubMed]
- Chauchard, F.; Roger, J.M.; Bellon-Maurel, V. Correction of the temperature effect on near infrared calibration-application to soluble solid content prediction. J. Near Infrared Spectrosc. 2004, 12, 199–205. [Google Scholar] [CrossRef]
- Fragoso, S.; Aceña, L.; Guasch, J.; Busto, O.; Mestres, M. Application of FT-MIR spectroscopy for fast control of red grape phenolic ripening. J. Agric. Food Chem. 2011, 59, 2175–2183. [Google Scholar] [CrossRef] [PubMed]
- Chen, B.; Ye, J.; Yan, H.; Hu, Y. Influence of calibration sets number on NIR model of tea. J. Jiangsu Univ. (Nat. Sci. Ed.) 2009, 30, 330–333. [Google Scholar]
- Bouveresse, E.C.; Hartmann, A.; Massart, D.L. Standardization of Near-Infrared Spectrometric Instruments. Anal. Chem. 1996, 68, 982–990. [Google Scholar] [CrossRef]
- Pérezmarín, D.; Garridovaro, A.; Guerreroginel, J. Remote near infrared instrument cloning and transfer of calibrations to predict ingredient percentages in intact compound feedstuffs. J. Near Infrared Spectrosc. 2006, 3, 81–91. [Google Scholar] [CrossRef]
- Sulub, Y.; Lobrutto, R.; Vivilecchia, R.; Wabuyele, B.W. Content uniformity determination of pharmaceutical tablets using five near-infrared reflectance spectrometers: A process analytical technology (pat) approach using robust multivariate calibration transfer algorithms. Anal. Chim. Acta 2008, 611, 143–150. [Google Scholar] [CrossRef] [PubMed]
- Peng, J.; Peng, S.; Jiang, A.; Tan, J. Near-infrared calibration transfer based on spectral regression. Spectrochim. Acta Part A Mol. Biomol. Spectrosc. 2011, 78, 1315–1320. [Google Scholar] [CrossRef] [PubMed]
- Pereira, C.F.; Pimentel, M.F.; Galvão, R.K.H.; Honorato, F.A.; Stragevitch, L.; Martins, M.N. A comparative study of calibration transfer methods for determination of gasoline quality parameters in three different near infrared spectrometers. Anal. Chim. Acta 2008, 611, 41–47. [Google Scholar] [CrossRef] [PubMed]







| Methods | Devices | Rc2 | RMSEC (%) | Rp2 | RMSEP (%) | RPD |
|---|---|---|---|---|---|---|
| PLS | VECTOR 22/N | 0.963 | 0.515 | 0.888 | 0.889 | 2.168 |
| VECTOR 22/N-P | 0.928 | 0.714 | 0.874 | 0.935 | 2.062 | |
| SupNIR-1500 | 0.941 | 0.645 | 0.907 | 0.811 | 2.396 | |
| LS-SVM | VECTOR 22/N | 0.985 | 0.340 | 0.918 | 0.758 | 2.536 |
| VECTOR 22/N-P | 0.959 | 0.557 | 0.889 | 0.878 | 2.191 | |
| SupNIR-1500 | 0.969 | 0.477 | 0.910 | 0.801 | 2.420 |
| Cultivar | Parameters | SupNIR-1500 vs. Reference | VECTOR 22/N vs. Reference |
|---|---|---|---|
| Ruby Seedless | Intercept | −1.7832 to 0.1420 | −5.5442 to −1.5561 |
| Slope | 0.99953 to 1.0915 | −1.0790 to 1.2781 | |
| H0 | Accepted | Rejected |
| Num | Rc2 | RMSEC (%) | Rp2 | RMSEP (%) | RPD |
|---|---|---|---|---|---|
| 10 | 0.952 | 0.546 | 0.716 | 1.478 | 1.408 |
| 15 | 0.959 | 0.502 | 0.745 | 1.514 | 1.375 |
| 20 | 0.955 | 0.525 | 0.791 | 1.390 | 1.497 |
| 25 | 0.964 | 0.472 | 0.773 | 1.421 | 1.465 |
| 30 | 0.954 | 0.525 | 0.802 | 1.339 | 1.554 |
| 35 | 0.957 | 0.508 | 0.765 | 1.446 | 1.439 |
| 40 | 0.951 | 0.538 | 0.841 | 1.231 | 1.691 |
| 42 | 0.954 | 0.517 | 0.841 | 1.231 | 1.690 |
| 43 | 0.963 | 0.467 | 0.841 | 1.217 | 1.710 |
| 44 | 0.956 | 0.510 | 0.835 | 1.259 | 1.654 |
| 45 | 0.957 | 0.506 | 0.856 | 1.210 | 1.714 |
| 46 | 0.956 | 0.508 | 0.849 | 1.242 | 1.676 |
| 47 | 0.955 | 0.514 | 0.849 | 1.254 | 1.660 |
| 50 | 0.963 | 0.471 | 0.836 | 1.241 | 1.677 |
| 55 | 0.954 | 0.521 | 0.830 | 1.258 | 1.655 |
| 60 | 0.961 | 0.484 | 0.828 | 1.300 | 1.601 |
| 65 | 0.961 | 0.480 | 0.797 | 1.387 | 1.501 |
| 70 | 0.954 | 0.521 | 0.815 | 1.290 | 1.614 |
| 75 | 0.956 | 0.511 | 0.806 | 1.300 | 1.603 |
| Methods | Rp2 | RMSEP (%) | RPD |
|---|---|---|---|
| Origial | 0.125 | 28.487 | 0.072 |
| Common-wavelengths-reserved-PDS | 0.471 | 3.489 | 0.676 |
| Linear interpolation-PDS | 0.857 | 1.099 | 1.895 |
© 2017 by the authors. Licensee MDPI, Basel, Switzerland. This article is an open access article distributed under the terms and conditions of the Creative Commons Attribution (CC BY) license (http://creativecommons.org/licenses/by/4.0/).
Share and Cite
Xiao, H.; Sun, K.; Sun, Y.; Wei, K.; Tu, K.; Pan, L. Comparison of Benchtop Fourier-Transform (FT) and Portable Grating Scanning Spectrometers for Determination of Total Soluble Solid Contents in Single Grape Berry (Vitis vinifera L.) and Calibration Transfer. Sensors 2017, 17, 2693. https://doi.org/10.3390/s17112693
Xiao H, Sun K, Sun Y, Wei K, Tu K, Pan L. Comparison of Benchtop Fourier-Transform (FT) and Portable Grating Scanning Spectrometers for Determination of Total Soluble Solid Contents in Single Grape Berry (Vitis vinifera L.) and Calibration Transfer. Sensors. 2017; 17(11):2693. https://doi.org/10.3390/s17112693
Chicago/Turabian StyleXiao, Hui, Ke Sun, Ye Sun, Kangli Wei, Kang Tu, and Leiqing Pan. 2017. "Comparison of Benchtop Fourier-Transform (FT) and Portable Grating Scanning Spectrometers for Determination of Total Soluble Solid Contents in Single Grape Berry (Vitis vinifera L.) and Calibration Transfer" Sensors 17, no. 11: 2693. https://doi.org/10.3390/s17112693
APA StyleXiao, H., Sun, K., Sun, Y., Wei, K., Tu, K., & Pan, L. (2017). Comparison of Benchtop Fourier-Transform (FT) and Portable Grating Scanning Spectrometers for Determination of Total Soluble Solid Contents in Single Grape Berry (Vitis vinifera L.) and Calibration Transfer. Sensors, 17(11), 2693. https://doi.org/10.3390/s17112693

