Opportunistic Sensor Data Collection with Bluetooth Low Energy
Abstract
:1. Introduction
2. Related Work
2.1. Opportunistic Sensor Data Collection Using Bluetooth Low Energy
2.2. Bluetooth Low Energy Performance
3. Using Bluetooth Low Energy for Opportunistic Sensor Data Collection
3.1. Bluetooth Low Energy Overview
3.1.1. Physical Layer
3.1.2. Link Layer
3.2. Approaches for Opportunistic Sensor Data Collection with Bluetooth Low Energy
4. Modeling the Performance of Bluetooth Low Energy for Opportunistic Sensor Data Collection
4.1. Advertisement-Based Approach
4.1.1. Sensor Node Current Consumption and Lifetime
4.1.2. Maximum Amount of Collected Data per Contact Interval
4.2. Connection-Based Approach
4.2.1. Sensor Node Current Consumption
4.2.2. Maximum Amount of Collected Data per Contact Interval
5. Evaluation
5.1. Sensor Node Current Consumption
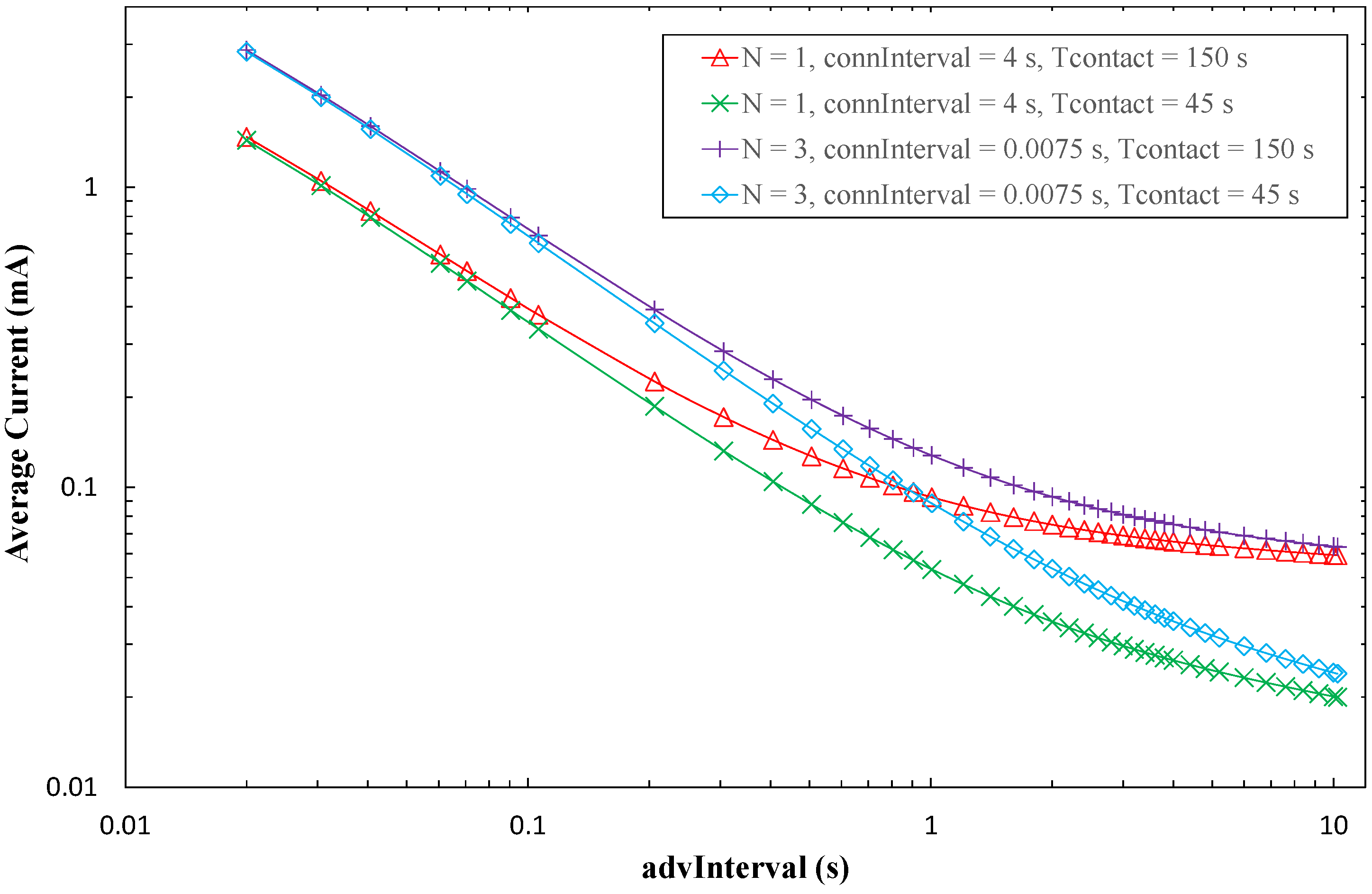
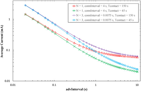
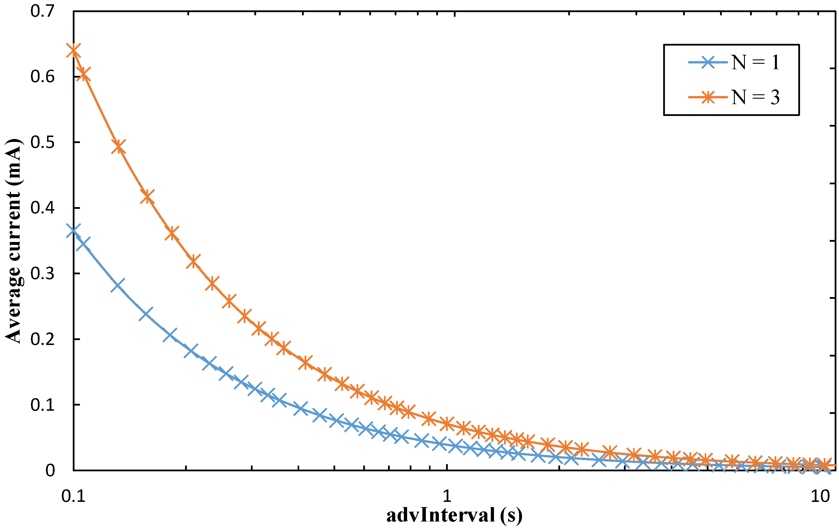
5.1.1. Advertisement-Based Approach
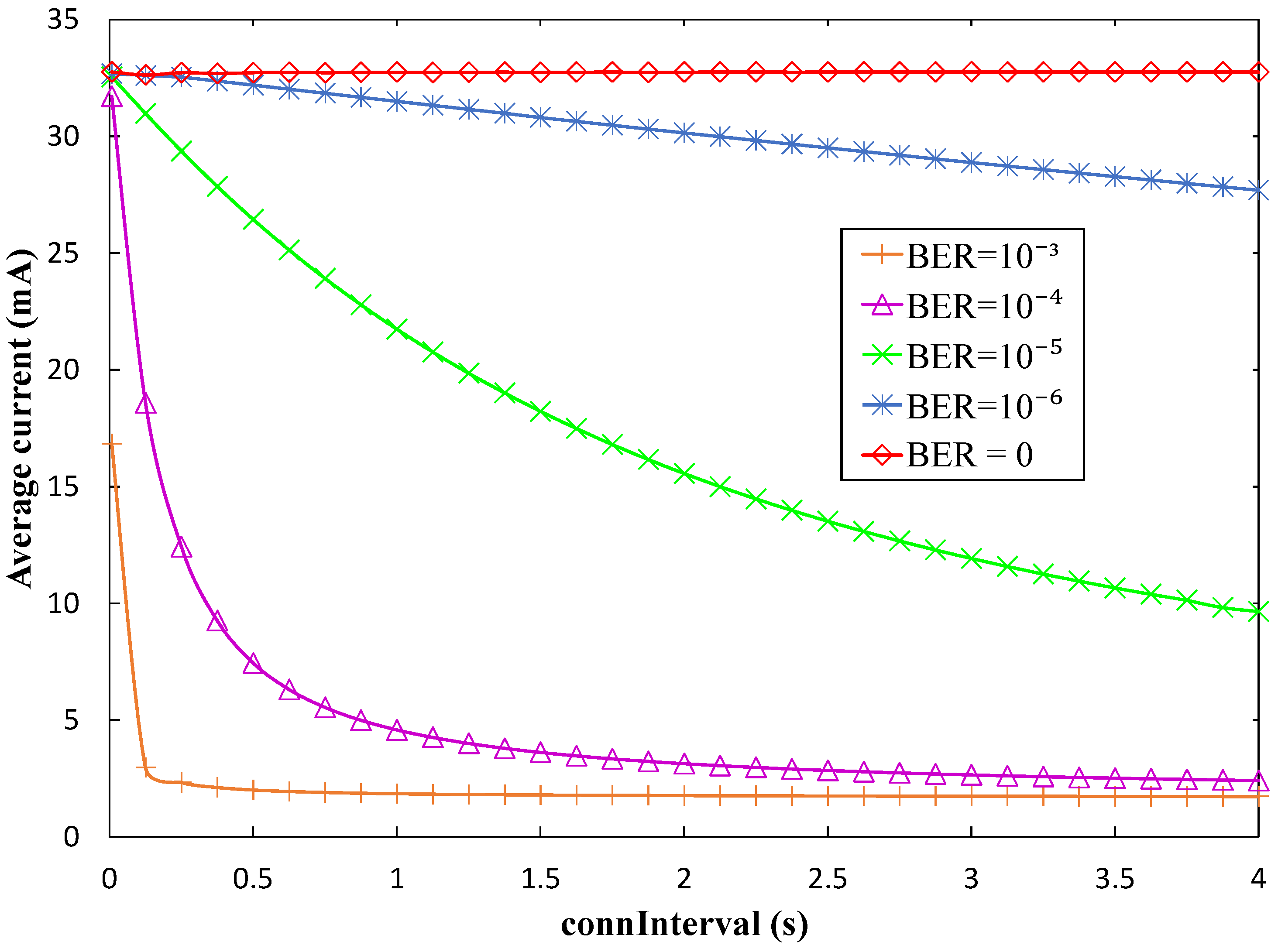
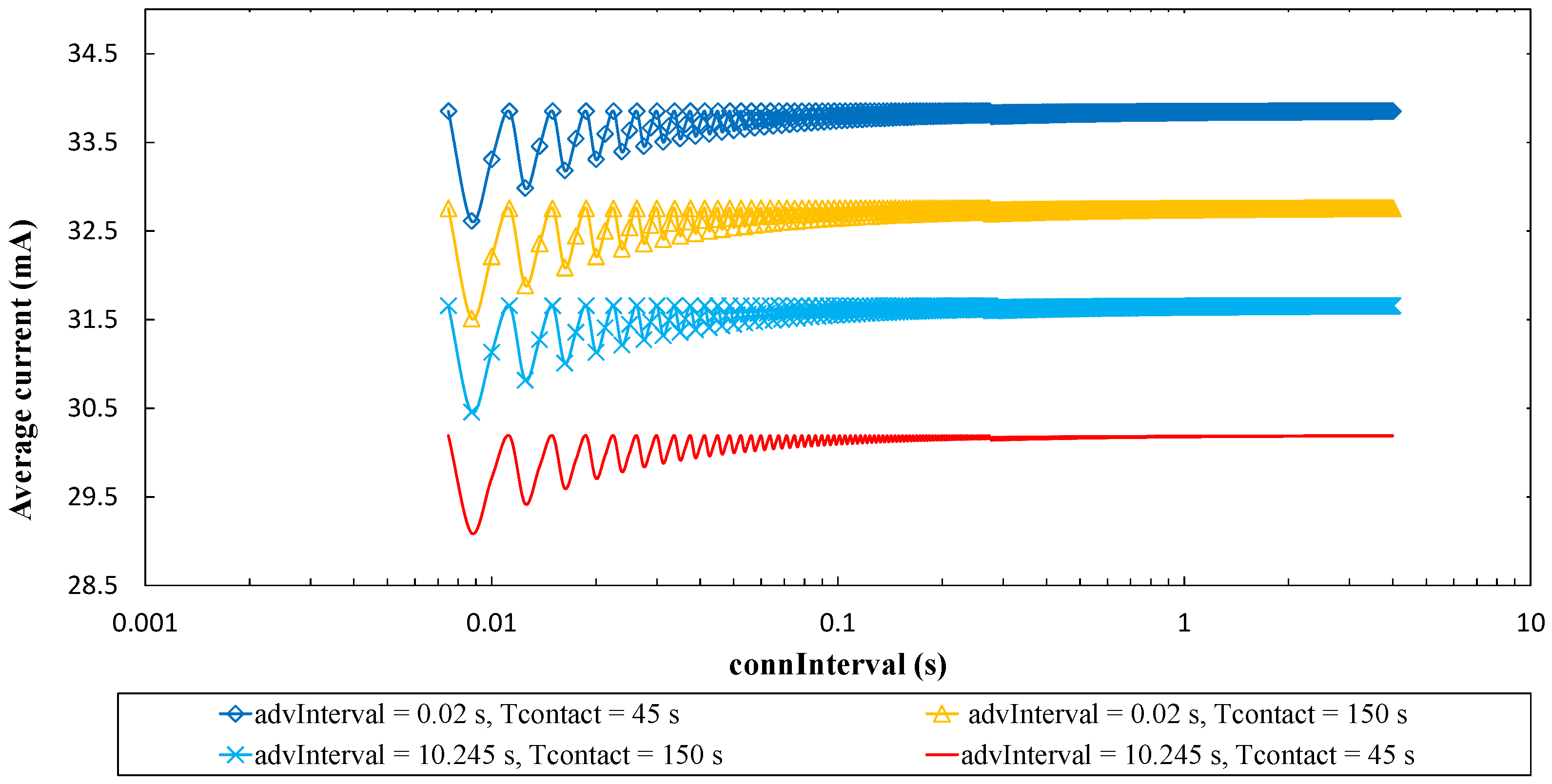
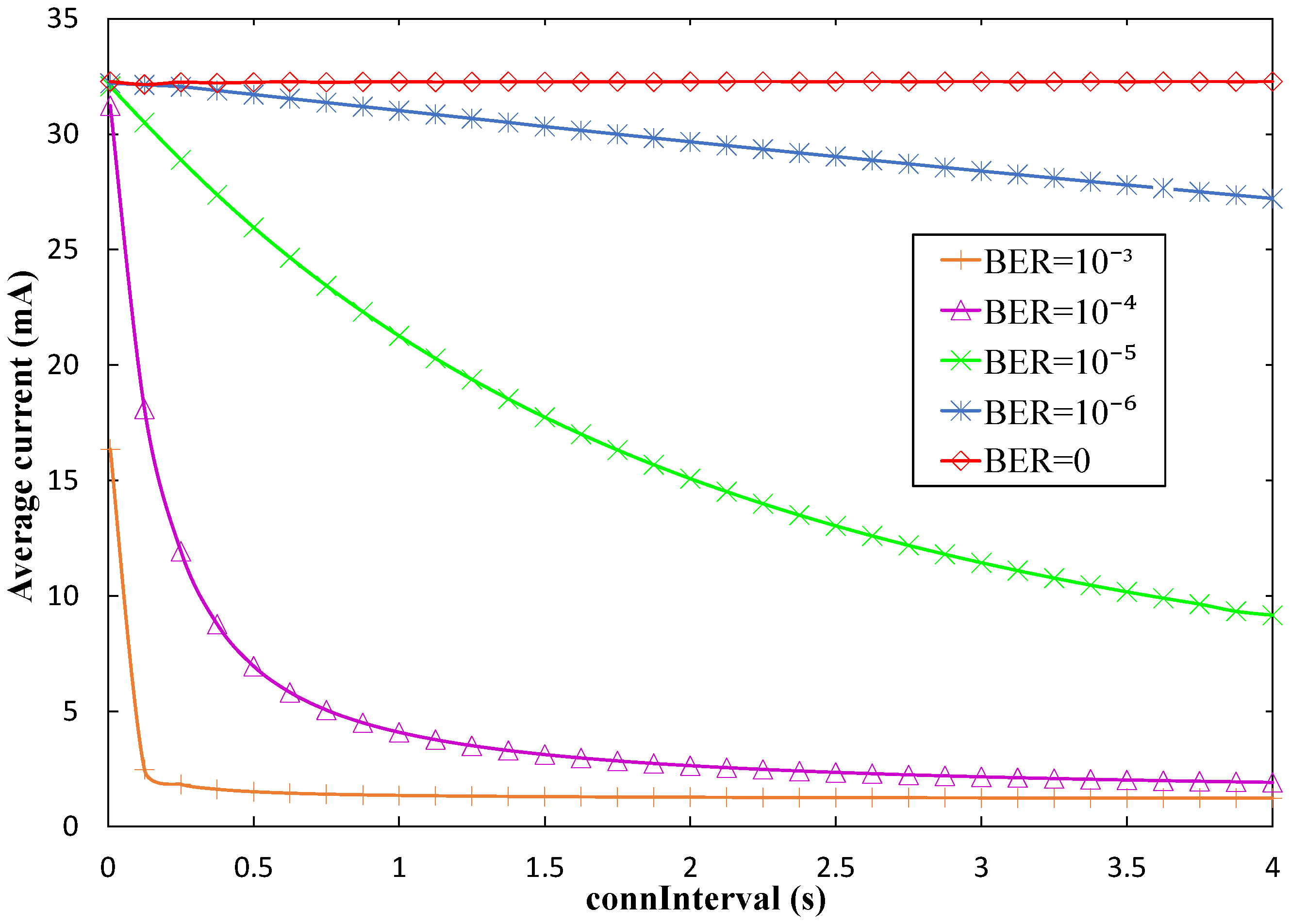
5.1.2. Connection-Based Approach
5.1.3. Current Consumption Comparison of the Advertisement-Based and the Connection-Based Approaches
5.2. Sensor Node Lifetime
5.3. Maximum Amount of Collected Data per Contact Interval
5.4. Energy Cost
5.5. Maximum Amount of Collected Data: Experimental Results
5.5.1. Influence of connInterval on Amount of Collected Data per Contact Interval
5.5.2. Influence of Distance between the two BLE Devices on the Amount of Collected Data
6. Conclusions
Acknowledgments
Author Contributions
Conflicts of Interest
References
- Gomez, C.; Paradells, J. Wireless home automation networks: A survey of architectures and technologies. IEEE Commun. Mag. 2010, 48, 92–101. [Google Scholar] [CrossRef]
- Dujovne, D.; Watteyne, T.; Vilajosana, X.; Thubert, P. 6TiSCH: Deterministic IP-enabled industrial internet (of things). IEEE Commun. Mag. 2014, 52, 36–41. [Google Scholar] [CrossRef]
- Pelusi, L.; Passarella, A.; Conti, M. Opportunistic networking: Data forwarding in disconnected mobile ad hoc networks. IEEE Commun. Mag. 2006, 44, 134–141. [Google Scholar] [CrossRef]
- Gomez, C.; Paradells, J. Urban Automation Networks: Current and Emerging Solutions for Sensed Data Collection and Actuation in Smart Cities. Sensors 2015, 15, 22874–22898. [Google Scholar] [CrossRef] [PubMed]
- Valente, J.; Sanz, D.; Barrientos, A.; del Cerro, J.; Ribeiro, A.; Rossi, C. An Air-Ground Wireless Sensor Network for Crop Monitoring. Sensors 2011, 11, 6088–6108. [Google Scholar] [CrossRef]
- Conti, M.; Kumar, M. Opportunities in opportunistic computing. Computer 2010, 43, 42–50. [Google Scholar] [CrossRef]
- The Bluetooth Special Interest Group. Specification of the Bluetooth System, Covered Core Package; Version 4.0; The Bluetooth Special Interest Group: Kirkland, WA, USA, 2010. [Google Scholar]
- Gomez, C.; Oller, J.; Paradells, J. Overview and evaluation of bluetooth low energy: An emerging low-power wireless technology. Sensors 2012, 12, 11734–11753. [Google Scholar] [CrossRef]
- Chant, I. Your phone will go to pieces. IEEE Spectr. 2015, 52, 44–47. [Google Scholar] [CrossRef]
- Wireless LAN Working Group. Draft for Information Technology-Telecommunications and Information Exchange between Systems-Local and Metropolitan Area Networks-Specific Requirements-Part 11: Wireless LAN Medium Access Control (MAC) and Physical Layer (PHY) Specifications-Amendment 6: Sub 1 GHz License Exempt Operation; IEEE Computer Society: New York, NY, USA, 2014. [Google Scholar]
- IEEE 802.11 Long Range Low Power (LRLP) Topic Interest Group. Available online: http://www.ieee802.org/11/Reports/lrlp_update.htm (accessed on 7 January 2017).
- IEEE 802.15 WPAN 15.7 Revision: Short-Range Optical Wireless Communications Task Group (TG 7r1). Available online: http://www.ieee802.org/15/pub/IEEE%20802_15%20WPAN%2015_7%20Revision1%20Task%20Group.htm (accessed on 7 January 2017).
- Nieminen, J.; Savolainen, T.; Isomaki, M.; Patil, B.; Shelby, Z.; Gomez, C. IPv6 over BLUETOOTH (R) Low Energy (RFC 7668). Available online: https://tools.ietf.org/html/rfc7668 (accessed on 7 January 2017).
- Nieminen, J.; Gomez, C.; Isomaki, M.; Savolainen, T.; Patil, B.; Shelby, Z.; Oller, J. Networking solutions for connecting bluetooth low energy enabled machines to the internet of things. IEEE Netw. 2014, 28, 83–90. [Google Scholar] [CrossRef]
- Gomez, C.; Darroudi, S.M.; Savolainen, T. IPv6 over BLUETOOTH (R) Low Energy Mesh Networks (IETF Internet Draft, Work in Progress). Available online: https://tools.ietf.org/html/draft-ietf-6lo-blemesh-00 (accessed on 7 January 2017).
- Bluetooth® Technology Adding Mesh Networking to Spur New Wave of Innovation. Available online: https://www.bluetooth.com/news/pressreleases/2015/02/24/bluetoothtechnology-adding-mesh-networking-to-spur-new-wave-of-innovation (accessed on 7 January 2017).
- Bluetooth Devices. Available online: https://www.bluetooth.com/what-is-bluetooth-technology/bluetooth-devices (accessed on 7 January 2017).
- Beacons|Google Developers. Available online: https://developers.google.com/beacons/ (accessed on 7 January 2017).
- O’Grady, M.J.; Muldoon, C.; Carr, D.; Wan, J.; Kroon, B.; O’Hare, G.M. Intelligent Sensing for Citizen Science. Mob. Netw. Appl. 2016, 21, 375–385. [Google Scholar] [CrossRef]
- Boualouache, A.E.; Nouali, O.; Moussaoui, S.; Derder, A. A BLE-based data collection system for IoT. In Proceedings of the First International Conference on New Technologies of Information and Communication (NTIC), Mila, Algeria, 8–9 November 2015; pp. 1–5.
- Nguyen, L.T. A New Approach for Collecting Data in Wireless Sensor Network. Master’s Thesis, Tampere University of Technology, Tampere, Finland, 3 June 2015. [Google Scholar]
- Liu, J.; Chen, C.; Ma, Y.; Xu, Y. Energy analysis of device discovery for Bluetooth Low Energy. In Proceedings of the 2013 IEEE 78th Vehicular Technology Conference (VTC Fall), Las Vegas, NV, USA, 2–5 September 2013; pp. 1–5.
- Kindt, P.; Yunge, D.; Diemer, R.; Chakraborty, S. Precise Energy Modeling for the Bluetooth Low Energy Protocol. arXiv Preprint. Available online: http://arxiv.org/pdf/1403.2919v1.pdf (accessed on 12 December 2016).
- Cho, K.; Park, W.; Hong, M.; Park, G.; Cho, W.; Seo, J.; Han, K. Analysis of latency performance of Bluetooth low energy (BLE) networks. Sensors 2015, 15, 59–78. [Google Scholar] [CrossRef] [PubMed]
- Cho, K.; Park, G.; Cho, W.; Seo, J.; Han, K. Performance analysis of device discovery of Bluetooth Low Energy (BLE) networks. Comput. Commun. 2015, 81, 72–85. [Google Scholar] [CrossRef]
- Giovanelli, D.; Milosevic, B.; Farella, E. Bluetooth Low Energy for data streaming: Application-level analysis and recommendation. In Proceedings of the 6th IEEE International Workshop on Advances in Sensors and Interfaces (IWASI), Gallipoli, Italy, 18–19 June 2015; pp. 216–221.
- Mikhaylov, K.; Plevritakis, N.; Tervonen, J. Performance analysis and comparison of Bluetooth Low Energy with IEEE 802.15.4 and SimpliciTI. J. Sens. Actuator Netw. 2013, 2, 589–613. [Google Scholar] [CrossRef]
- Bluegiga Technologies. BLE121LR_datasheet V1.2.pdf. Retrieved from BLE121LR Bluetooth Smart Long Range Module. Available online: https://www.bluegiga.com/en-US/products/ble121lr-bluetooth-smart-long/#login-modal (accessed on 12 December 2016).
- Bronzi, W.; Frank, R.; Castignani, G.; Engel, T. Bluetooth Low Energy performance and robustness analysis for Inter-Vehicular Communications. Ad Hoc Netw. 2016, 37, 76–86. [Google Scholar] [CrossRef]
- Gomez, C.; Demirkol, I.; Paradells, J. Modeling the maximum throughput of Bluetooth low energy in an error-prone link. IEEE Commun. Lett. 2011, 15, 1187–1189. [Google Scholar] [CrossRef]
- MKW40Z Power Consumption Analysis. An 5271 NXP Semiconductors. Available online: http://www.nxp.com/assets/documents/data/en/application-notes/AN5272.pdf (accessed on 7 January 2017).
- Kamath, S.; Lindh, J. Measuring Bluetooth Low Energy Power Consumption. Application Note 092. Texas Instruments. Available online: http://www.ti.com/lit/an/swra347a/swra347a.pdf (accessed on 7 January 2017).
- Precise Current Profile Measurements of Bluetooth Low Energy Devices. Keysight Technologies. Available online: http://literature.cdn.keysight.com/litweb/pdf/5992–1589EN.pdf?id=2753422 (accessed on 7 January 2017).
- Profile Power Consumption of a BLE Low Power Device. Available online: http://www.tek.com/how/profile-power-consumption-ble-low-power-device (accessed on 7 January 2017).
- Scripts for Bluetooth Low Energy Throughput Measurement with BLE121LR. Available online: https://github.com/saguilarDevel/BluetoothLowEnergy (accessed on 7 January 2017).

























| State Number | Description | Duration | Current Consumption | ||
|---|---|---|---|---|---|
| Variable | Value (ms) | Variable | Value (mA) | ||
| 1 | wake-up | Twu | 0.728 | Iwu | 9.595 |
| 2 | radio preparation | Tpre | 0.247 | Ipre | 17.506 |
| 3 | transmission | Ttx | 0.398 | Itx | 41.046 |
| 4 | channel change | Tch | 0.134 | Ich | 21.467 |
| 5 | radio off | Toff | 0.190 | Ioff | 10.543 |
| 6 | postprocessing | Tpost | 0.818 | Ipost | 10.523 |
| 7 | sleep | Tsleep | - | Isleep | 1.193 × 10−3 |
| State Number | Description | Duration | Current Consumption | ||
|---|---|---|---|---|---|
| Variable | Value (ms) | Variable | Value (mA) | ||
| 3 | transmission | Ttx | 0.229 | Itx | 41.046 |
| 8 | transmit to receive | Ttx_rx | 0.106 | Itx_rx | 24.952 |
| 9 | reception | Trx | 0.134 | Irx | 29.106 |
| Packet Type | Packet Size (Bytes) | Payload Size (Bytes) |
|---|---|---|
| Data channel PDU (minimum size) | 10 | 0 |
| Data channel PDU (maximum size) | 37 | 20 |
| Advertising channel PDU (non-connectable type, maximum size) | 47 | 31 |
| Advertising channel PDU (connectable type) | 23 | -- |
© 2017 by the authors; licensee MDPI, Basel, Switzerland. This article is an open access article distributed under the terms and conditions of the Creative Commons Attribution (CC BY) license (http://creativecommons.org/licenses/by/4.0/).
Share and Cite
Aguilar, S.; Vidal, R.; Gomez, C. Opportunistic Sensor Data Collection with Bluetooth Low Energy. Sensors 2017, 17, 159. https://doi.org/10.3390/s17010159
Aguilar S, Vidal R, Gomez C. Opportunistic Sensor Data Collection with Bluetooth Low Energy. Sensors. 2017; 17(1):159. https://doi.org/10.3390/s17010159
Chicago/Turabian StyleAguilar, Sergio, Rafael Vidal, and Carles Gomez. 2017. "Opportunistic Sensor Data Collection with Bluetooth Low Energy" Sensors 17, no. 1: 159. https://doi.org/10.3390/s17010159
APA StyleAguilar, S., Vidal, R., & Gomez, C. (2017). Opportunistic Sensor Data Collection with Bluetooth Low Energy. Sensors, 17(1), 159. https://doi.org/10.3390/s17010159

