Zwitterionic Surfactant Modified Acetylene Black Paste Electrode for Highly Facile and Sensitive Determination of Tetrabromobisphenol A
Abstract
:1. Introduction
2. Experimental Section
2.1. Reagents
2.2. Apparatus
2.3. Preparation of the SB3-16/ABPE
2.4. Sample Preparation
3. Results and Discussions
3.1. Characterization of Electrodes
3.2. Cyclic Voltammetric Behaviors of TBBPA at the SB3-16/ABPE
3.3. The Possible Mechanism of Action of Surfactants
3.4. Electrochemical Process of TBBPA on SB3-16/ABPE
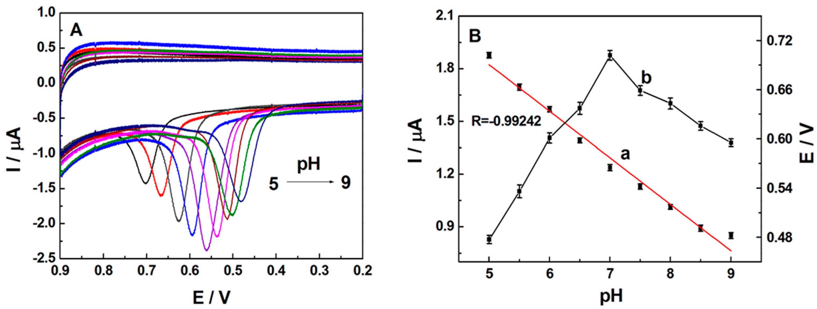
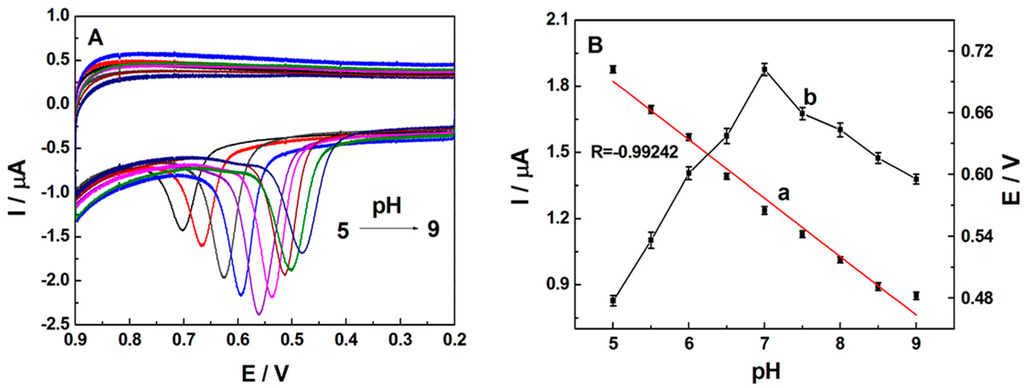
3.4.1. Effect of Solution pH
3.4.2. Influence of Scan Rate
3.5. Influence of Accumulation Time
3.6. Analytical Properties
3.6.1. Calibration and Limit of Detection
3.6.2. Amperometric Response of SB3-16/ABPE
3.6.3. Interferences
3.6.4. Reproducibility and Stability
3.6.5. Practical Application
4. Conclusions
Acknowledgments
Author Contributions
Conflicts of Interest
References
- Debenest, T.; Gagné, F.; Petit, A.-N.; André, C.; Kohli, M.; Blaise, C. Ecotoxicity of a brominated flame retardant (tetrabromobisphenol A) and its derivatives to aquatic organisms. Comp. Biochem. Physiol. C 2010, 152, 407–412. [Google Scholar] [CrossRef] [PubMed]
- Yang, Y.; Lu, L.; Zhang, J.; Yang, Y.; Wu, Y.; Shao, B. Simultaneous determination of seven bisphenols in environmental water and solid samples by liquid chromatography-electrospray tandem mass spectrometry. J. Chromatogr. 2014, 1328, 26–34. [Google Scholar] [CrossRef] [PubMed]
- Zhu, Z.-C.; Chen, S.-J.; Zheng, J.; Tian, M.; Feng, A.-H.; Luo, X.-J.; Mai, B.-X. Occurrence of brominated flame retardants (BFRs), organochlorine pesticides (OCPs), and polychlorinated biphenyls (PCBs) in agricultural soils in a BFR-manufacturing region of North China. Sci. Total Environ. 2014, 481, 47–54. [Google Scholar] [CrossRef] [PubMed]
- Ni, H.-G.; Zeng, H. HBCD and TBBPA in particulate phase of indoor air in Shenzhen, China. Sci. Total Environ. 2013, 458, 15–19. [Google Scholar] [CrossRef] [PubMed]
- Wu, Y.; Li, Y.; Kang, D.; Wang, J.; Zhang, Y.; Du, D.; Pan, B.; Lin, Z.; Huang, C.; Dong, Q. Tetrabromobisphenol A and heavy metal exposure via dust ingestion in an e-waste recycling region in Southeast China. Sci. Total Environ. 2016, 541, 356–364. [Google Scholar] [CrossRef] [PubMed]
- Gorga, M.; Martínez, E.; Ginebreda, A.; Eljarrat, E.; Barceló, D. Determination of PBDEs, HBB, PBEB, DBDPE, HBCD, TBBPA and related compounds in sewage sludge from Catalonia (Spain). Sci. Total Environ. 2013, 444, 51–59. [Google Scholar] [CrossRef] [PubMed]
- Fujii, Y.; Nishimura, E.; Kato, Y.; Harada, K.H.; Koizumi, A.; Haraguchi, K. Dietary exposure to phenolic and methoxylated organohalogen contaminants in relation to their concentrations in breast milk and serum in Japan. Environ. Int. 2014, 63, 19–25. [Google Scholar] [CrossRef] [PubMed]
- Sun, F.; Kolvenbach, B.A.; Nastold, P.; Jiang, B.; Ji, R.; Corvini, P.F.-X. Degradation and Metabolism of Tetrabromobisphenol A (TBBPA) in Submerged Soil and Soil-Plant Systems. Environ. Sci. Technol. 2014, 48, 14291–14299. [Google Scholar] [CrossRef] [PubMed]
- Van der Ven, L.T.; van de Kuil, T.; Verhoef, A.; Verwer, C.M.; Lilienthal, H.; Leonards, P.E.; Schauer, U.M.; Cantón, R.F.; Litens, S.; de Jong, F.H. Endocrine effects of tetrabromobisphenol-A (TBBPA) in Wistar rats as tested in a one-generation reproduction study and a subacute toxicity study. Toxicology 2008, 245, 76–89. [Google Scholar] [CrossRef] [PubMed]
- Hendriks, H.S.; van Kleef, R.G.; van den Berg, M.; Westerink, R.H. Multiple Novel Modes of Action Involved in the In Vitro Neurotoxic Effects of Tetrabromobisphenol-A. Toxicol. Sci. 2012, 128, 235–246. [Google Scholar] [CrossRef] [PubMed]
- Nakajima, A.; Saigusa, D.; Tetsu, N.; Yamakuni, T.; Tomioka, Y.; Hishinuma, T. Neurobehavioral effects of tetrabromobisphenol A, a brominated flame retardant, in mice. Toxicol. Lett. 2009, 189, 78–83. [Google Scholar] [CrossRef] [PubMed]
- Pullen, S.; Boecker, R.; Tiegs, G. The flame retardants tetrabromobisphenol A and tetrabromobisphenol A-bisallylether suppress the induction of interleukin-2 receptor α chain (CD25) in murine splenocytes. Toxicology 2003, 184, 11–22. [Google Scholar] [CrossRef]
- Watanabe, W.; Shimizu, T.; Sawamura, R.; Hino, A.; Konno, K.; Hirose, A.; Kurokawa, M. Effects of tetrabromobisphenol A, a brominated flame retardant, on the immune response to respiratory syncytial virus infection in mice. Int. Immunopharmacol. 2010, 10, 393–397. [Google Scholar] [CrossRef] [PubMed]
- Szymańska, J.A.; Piotrowski, J.K.; Frydrych, B. Hepatotoxicity of tetrabromobisphenol-A: Effects of repeated dosage in rats. Toxicology 1999, 142, 87–95. [Google Scholar] [CrossRef]
- Fukuda, N.; Ito, Y.; Yamaguchi, M.; Mitumori, K.; Koizumi, M.; Hasegawa, R.; Kamata, E.; Ema, M. Unexpected nephrotoxicity induced by tetrabromobisphenol A in newborn rats. Toxicol. Lett. 2004, 150, 145–155. [Google Scholar] [CrossRef] [PubMed]
- Tollbäck, J.; Crescenzi, C.; Dyremark, E. Determination of the flame retardant tetrabromobisphenol A in air samples by liquid chromatography-mass spectrometry. J. Chromatogr. A 2006, 1104, 106–112. [Google Scholar] [CrossRef] [PubMed]
- Sánchez-Brunete, C.; Miguel, E.; Tadeo, J.L. Determination of tetrabromobisphenol-A, tetrachlorobisphenol-A and bisphenol-A in soil by ultrasonic assisted extraction and gas chromatography-mass spectrometry. J. Chromatogr. A 2009, 1216, 5497–5503. [Google Scholar] [CrossRef] [PubMed]
- Zhao, R.-S.; Wang, S.-S.; Cheng, C.-G.; Zhang, L.-L.; Wang, X. Rapid Enrichment and Sensitive Determination of Tetrabromobisphenol A in Environmental Water Samples with Ionic Liquid Dispersive Liquid-Phase Microextraction Prior to HPLC-ESI-MS–MS. Chromatographia 2011, 73, 793–797. [Google Scholar] [CrossRef]
- Zhang, Z.; Cai, R.; Long, F.; Wang, J. Development and application of tetrabromobisphenol A imprinted electrochemical sensor based on graphene/carbon nanotubes three-dimensional nanocomposites modified carbon electrode. Talanta 2015, 134, 435–442. [Google Scholar] [CrossRef] [PubMed]
- Chen, H.; Zhang, Z.; Cai, R.; Rao, W.; Long, F. Molecularly imprinted electrochemical sensor based on nickel nanoparticles-graphene nanocomposites modified electrode for determination of tetrabromobisphenol A. Electrochim. Acta 2014, 117, 385–392. [Google Scholar] [CrossRef]
- Chen, X.; Ji, L.; Zhou, Y.; Xia, S.; Tong, J.; Wu, K. Electrochemical enhancement of long alkyl-chained surfactants for sensitive determination of tetrabromobisphenol A. Electrochim. Acta 2016, 190, 490–494. [Google Scholar] [CrossRef]
- Zhao, Q.; Zhang, K.; Yu, G.; Wu, W.; Wei, X.; Lu, Q. Facile electrochemical determination of tetrabromobisphenol A based on modified glassy carbon electrode. Talanta 2016, 151, 209–216. [Google Scholar] [CrossRef]
- Huang, Y.; Yan, H.; Tong, Y. Electrocatalytic determination of Reduced Glutathione using rutin as a mediator at acetylene black spiked carbon paste electrode. J. Electroanal. Chem. 2015, 743, 25–30. [Google Scholar] [CrossRef]
- Deng, P.; Xu, Z.; Kuang, Y. Electrochemically reduced graphene oxide modified acetylene black paste electrode for the sensitive determination of bisphenol A. J. Electroanal. Chem. 2013, 707, 7–14. [Google Scholar] [CrossRef]
- Deng, P.; Xu, Z.; Feng, Y.; Li, J. Electrocatalytic reduction and determination of p-nitrophenol on acetylene black paste electrode coated with salicylaldehyde-modified chitosan. Sens. Actuators B Chem. 2012, 168, 381–389. [Google Scholar] [CrossRef]
- Deng, P.; Xu, Z.; Zeng, R.; Ding, C. Electrochemical behavior and voltammetric determination of vanillin based on an acetylene black paste electrode modified with graphene-polyvinylpyrrolidone composite film. Food Chem. 2015, 180, 156–163. [Google Scholar] [CrossRef] [PubMed]
- Yi, H.; Li, C. Voltammetric determination of ciprofloxacin based on the enhancement effect of cetyltrimethylammonium bromide (CTAB) at carbon paste electrode. Russ. J. Electrochem. 2007, 43, 1377–1381. [Google Scholar] [CrossRef]
- Lu, Q.; Zhang, W.; Wang, Z.; Yu, G.; Yuan, Y.; Zhou, Y. A Facile Electrochemical Sensor for Nonylphenol Determination Based on the Enhancement Effect of Cetyltrimethylammonium Bromide. Sensors 2013, 13, 758–768. [Google Scholar] [CrossRef] [PubMed]
- Hernández, M.; Fernández, L.; Borrás, C.; Mostany, J.; Carrero, H. Characterization of surfactant/hydrotalcite-like clay/glassy carbon modified electrodes: Oxidation of phenol. Anal. Chim. Acta 2007, 597, 245–256. [Google Scholar] [CrossRef] [PubMed]
- Yin, H.; Zhou, Y.; Cui, L.; Liu, X.; Ai, S.; Zhu, L. Electrochemical oxidation behavior of bisphenol A at surfactant/layered double hydroxide modified glassy carbon electrode and its determination. J. Solid State Electrochem. 2011, 15, 167–173. [Google Scholar] [CrossRef]
- Bard, A.J.; Faulkner, L.R. Fundamentals and applications. In Electrochemical Methods, 2nd ed.; Wiley: New York, NY, USA, 2001. [Google Scholar]
- Dang, X.; Wei, Y.; Hu, S. Effects of surfactants on the electroreduction of dioxygen at an acetylene black electrode. Anal. Sci. 2004, 20, 307–310. [Google Scholar] [CrossRef] [PubMed]
- Okuzaki, H.; Osada, Y. Effects of hydrophobic interaction on the cooperative binding of a surfactant to a polymer network. Macromolecules 1994, 27, 502–506. [Google Scholar] [CrossRef]
- Martín-García, B.; Velázquez, M.M.; Rossella, F.; Bellani, V.; Diez, E.; García Fierro, J.L.; Pérez-Hernández, J.A.; Hernández-Toro, J.; Claramunt, S.; Cirera, A. Functionalization of reduced graphite oxide sheets with a zwitterionic surfactant. Chemphyschem 2012, 13, 3682–3690. [Google Scholar] [CrossRef] [PubMed]
- Hu, K.; Bard, A.J. Characterization of adsorption of sodium dodecyl sulfate on charge-regulated substrates by atomic force microscopy force measurements. Langmuir 1997, 13, 5418–5425. [Google Scholar] [CrossRef]
- Laviron, E. General expression of the linear potential sweep voltammogram in the case of diffusionless electrochemical systems. J. Electroanal. Chem. 1979, 101, 19–28. [Google Scholar] [CrossRef]
- Laviron, E. Adsorption autoinhibition and autocatalysis in polarography and linear potential sweep voltammetry. J. Electroanal. Chem. 1974, 52, 355–393. [Google Scholar] [CrossRef]
- Bard, A.J.; Faulkner, L.R.; Leddy, J.; Zoski, C.G. Electrochemical Methods: Fundamentals and Applications; Wiley: New York, NY, USA, 1980; Volume 2. [Google Scholar]
- Li, C.; Chen, X.; Wu, K.; Yu, S. Signal enhancement of cetyltrimethylammonium bromide as a highly-sensitive sensing strategy for tetrabromobisphenol A. J. Electroanal. Chem. 2016, 770, 39–43. [Google Scholar] [CrossRef]
- Zhou, T.; Feng, Y.; Zhou, L.; Tao, Y.; Luo, D.; Jing, T.; Shen, X.; Zhou, Y.; Mei, S. Selective and sensitive detection of tetrabromobisphenol-A in water samples by molecularly imprinted electrochemical sensor. Sens. Actuators B Chem. 2016, 236, 153–162. [Google Scholar] [CrossRef]






| Sensors | Linear Range (µM) | Detection Limit (nM) | Reference |
|---|---|---|---|
| DODMA/GCE a | 0.0018–0.92 | 1.05 | [21] |
| CTAB/NG-TPA b/GCE | 0.01–1 | 9 | [22] |
| CTAB/CPE | 0.0025–0.8 | 0.99 | [39] |
| MMIP c/CPE | 0.005–2 | 0.77 | [40] |
| SB3-16/ABPE | 0.001–1 | 0.4 | This work |
| Interferences | Concentrations (mM) | Signal Change (%) |
|---|---|---|
| SO42− | 0.25 | −2.2 |
| NO3− | 0.25 | +3.9 |
| CO32− | 0.25 | +4.7 |
| Cl− | 0.25 | −3.2 |
| K+ | 0.25 | −2.0 |
| Cu2+ | 0.25 | +3.3 |
| Zn2+ | 0.25 | +2.5 |
| Ca2+ | 0.25 | −4.2 |
| Mg2+ | 0.25 | −3.8 |
| Al3+ | 0.25 | +4.8 |
| Fe3+ | 0.1 | +3.6 |
| Resorcinol | 0.0025 | +4.5 |
| Hydroquinone | 0.0025 | −2.9 |
| BPAF | 0.0025 | −2.3 |
| Phenol | 0.001 | +2.2 |
| Nonyl phenol | 0.001 | +3.1 |
| Octyl phenol | 0.001 | +2.1 |
| 4-Nitrophenol | 0.001 | +2.4 |
| 3-Aminophenol | 0.001 | +1.2 |
| TBBPS | 0.001 | −1.5 |
| TBBPA-DAE | 0.001 | −2.1 |
| TBBPA-BHE | 0.001 | −4.2 |
| BPF | 0.001 | +1.1 |
| BPA | 0.0005 | +4.7 |
| Samples | Added (µM) | This Method | HPLC | ||||
|---|---|---|---|---|---|---|---|
| Found (µm) | Recovery (%) | Rsd a (%) | Found (µM) | Recovery (%) | RSD a (%) | ||
| 1 | 0.05 | 0.0503 | 100.6 | 4.3 | 0.0478 | 95.6 | 2.6 |
| 2 | 0.10 | 0.0947 | 94.7 | 2.8 | 0.1023 | 102.3 | 2.1 |
| 3 | 0.50 | 0.462 | 92.4 | 3.5 | 0.492 | 98.4 | 1.7 |
© 2016 by the authors; licensee MDPI, Basel, Switzerland. This article is an open access article distributed under the terms and conditions of the Creative Commons Attribution (CC-BY) license (http://creativecommons.org/licenses/by/4.0/).
Share and Cite
Wei, X.; Zhao, Q.; Wu, W.; Zhou, T.; Jiang, S.; Tong, Y.; Lu, Q. Zwitterionic Surfactant Modified Acetylene Black Paste Electrode for Highly Facile and Sensitive Determination of Tetrabromobisphenol A. Sensors 2016, 16, 1539. https://doi.org/10.3390/s16091539
Wei X, Zhao Q, Wu W, Zhou T, Jiang S, Tong Y, Lu Q. Zwitterionic Surfactant Modified Acetylene Black Paste Electrode for Highly Facile and Sensitive Determination of Tetrabromobisphenol A. Sensors. 2016; 16(9):1539. https://doi.org/10.3390/s16091539
Chicago/Turabian StyleWei, Xiaoyun, Qiang Zhao, Weixiang Wu, Tong Zhou, Shunli Jiang, Yeqing Tong, and Qing Lu. 2016. "Zwitterionic Surfactant Modified Acetylene Black Paste Electrode for Highly Facile and Sensitive Determination of Tetrabromobisphenol A" Sensors 16, no. 9: 1539. https://doi.org/10.3390/s16091539
APA StyleWei, X., Zhao, Q., Wu, W., Zhou, T., Jiang, S., Tong, Y., & Lu, Q. (2016). Zwitterionic Surfactant Modified Acetylene Black Paste Electrode for Highly Facile and Sensitive Determination of Tetrabromobisphenol A. Sensors, 16(9), 1539. https://doi.org/10.3390/s16091539
