Wearable Sensor Localization Considering Mixed Distributed Sources in Health Monitoring Systems
Abstract
:1. Introduction
- (1)
- Based on the spatiotemporal separation technique, including the second-order blind identification (SOBI) algorithm and the minimum description length (MDL) criterion, the mixed array manifold matrix, including ID and CD sources, is obtained. ID and CD sources can be separated from the amplitude information of the elements of the mixed array manifold matrix.
- (2)
- Based on first-order Taylor series expansion of the steering vector and signal subspace algorithm, we extend the ESPRIT to 2D DOA estimation. Three sub-arrays are constructed to form two rotational invariant relationships, and then, the ESPRIT algorithm is used for DOA estimation of ID sources.
- (3)
- Based on the application of generalized steering vectors (GSVs), two rotational invariant relationships are constructed, as well. We use ESPRIT to estimate eigenvalues of the two rotational invariant matrices. The DOAs of CD sources contained in the eigenvalues can be obtained finally.
- (4)
- Compared to the MUSIC-based method, the proposed algorithm bypasses the spectrum peak searching because of the closed expression of the proposed estimator. Thus, the proposed algorithm has much lower computational complexity, which is suitable for real-time application.
- (5)
- The Cramér-Rao bound (CRB) containing ID and CD sources is derived, whereas the known CRB is only valid for the estimation of CD or ID sources.
2. The Localization Scheme Based on VMIMO Systems
2.1. The Localization Framework
2.2. The Problem Formulation of DOA Estimation
- (1)
- ID sources are uncorrelated with CD sources, and they are uncorrelated with the noise.
- (2)
- The complex gains , , , , are independent and identically distributed (i.i.d.) complex-valued zero-mean random variables:where is the covariance.
- (3)
- The noise , is an i.i.d. random variable both in temporally- and spatially-complex-valued circularly symmetric zero-mean Gaussian variables, whose covariance matrix is given by:where is the covariance matrix.
- (4)
- The number of multipaths is sufficiently large, .
- (5)
- (6)
- The signal powers , of ID sources are known as a prior; the cellular area of the same resource block is not large; thus the power loss can be ignored.
3. The Distributed Source Classification Based on SOBI
| Algorithm 1 Implementation of the SOBI Algorithm. |
|
| Algorithm 2 The Separation Algorithm for ID and CD Sources. | |
| 1: | initialize , |
| 2: | ; |
| 3: | ; |
| 4: | while do |
| 5: | if then |
| 6: | ; |
| 7: | ; |
| 8: | ; |
| 9: | |
| 10: | Repeat: Algorithm 1; |
| 11: | end if |
| 12: | end while; |
| return RSN; | |
| return RSN. | |
4. The Proposed Algorithm
4.1. DOA Estimation for ID Source
| Algorithm 3 The DOA Estimation Algorithm for ID Sources. |
|
4.2. DOA Estimation for the CD Source
| Algorithm 4 The DOA Estimation Algorithm for CD Sources. |
|
| Algorithm 5 The DOA Estimation Algorithm for Mixed Sources. |
|
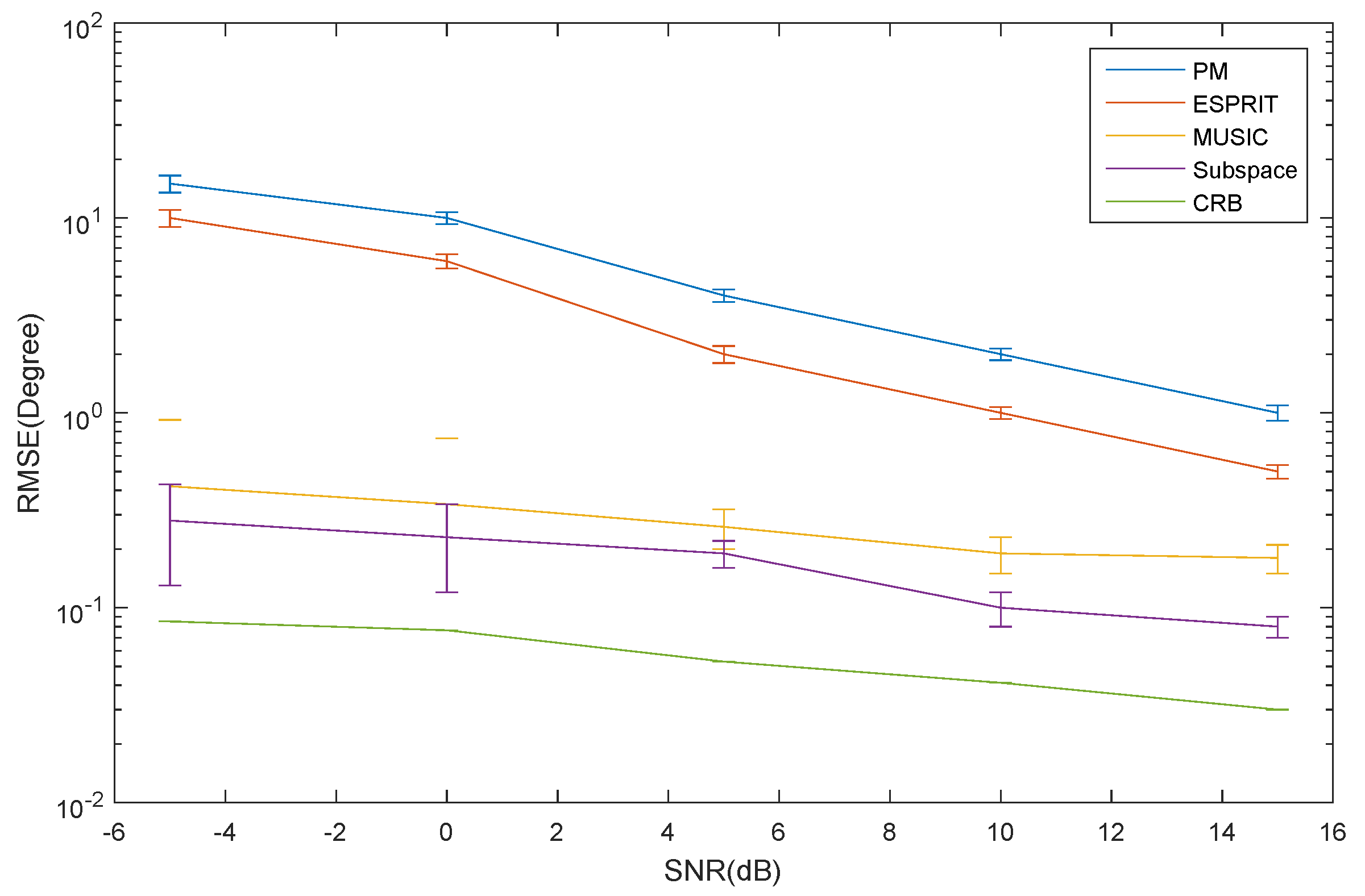
5. Simulation Results
6. Conclusions
Acknowledgments
Author Contributions
Conflicts of Interest
Appendix A
A1. The Localization Method Based on Multiple VMIMO

A2. The Derivation of Equation (9)
A3. The Proof of Proposition 1
A4. Cramér-Rao Bound
References
- Gatzoulis, L.; Iakovidis, I. Wearable and portable ehealth systems. IEEE Eng. Med. Biol. Mag. 2007, 26, 51–56. [Google Scholar] [CrossRef] [PubMed]
- Hao, Y.; Foster, R. Wireless body sensor networks for health-monitoring applications. Phys. Meas. 2008, 29, R27–R56. [Google Scholar] [CrossRef] [PubMed]
- Han, G.; Liu, L.; Jiang, J.; Shu, L.; Hancke, G. Analysis of energy-efficient connected target coverage algorithms for industrial wireless sensor networks. IEEE Trans. Ind. Inform. 2015. [Google Scholar] [CrossRef]
- Zhang, Y.; He, S.; Chen, J. Data gathering optimization by dynamic sensing and routing in rechargeable sensor networks. IEEE/ACM Trans. Netw. 2015. [Google Scholar] [CrossRef]
- Ullah, S.; Higgins, H.; Braem, B.; Latre, B.; Blondia, C.; Moerman, I.; Saleem, S.; Rahman, Z.; Kwak, K.S. A comprehensive survey of wireless body area networks. J. Med. Syst. 2012, 36, 1065–1094. [Google Scholar] [CrossRef] [PubMed]
- Andrews, J.G.; Buzzi, S.; Choi, W.; Hanly, S.; Lozano, A.; Soong, A.C.K.; Zhang, J.C. What will 5G be? IEEE J. Sel. Areas Commun. 2014, 32, 1065–1082. [Google Scholar] [CrossRef]
- Lehne, P.H.; Pettersen, M. An overview of smart antenna technology for mobile communications systems. IEEE Commun. Surv. 1999, 2, 2–13. [Google Scholar]
- Chen, H.; Pan, Z.; Tian, L.; Shi, J.; Yang, G.; Suzuki, M. A novel AWSF algorithm for DOA estimation in virtual MIMO systems. IEEE J. Sel. Areas Commun. 2013, 31, 1994–2003. [Google Scholar] [CrossRef]
- Wan, L.; Han, G.; Rodrigues, J.J.; Si, W.; Feng, N. An energy efficient DOA estimation algorithm for uncorrelated and coherent signals in virtual MIMO systems. Telecommun. Syst. 2015, 59, 93–110. [Google Scholar] [CrossRef]
- Han, G.; Wan, L.; Shu, L.; Feng, N. Two novel DoA estimation approaches for real time assistant calibration system in future vehicle industrial. IEEE Syst. J. 2015. [Google Scholar] [CrossRef]
- Wan, L.; Han, G.; Jiang, J.; Rodrigues, J.J.; Feng, N.; Zhu, T. DOA Estimation for coherently distributed sources considering circular and noncircular signals in massive MIMO systems. IEEE Syst. J. 2015. [Google Scholar] [CrossRef]
- Hu, A.; Lv, T.; Gao, H.; Zhang, Z.; Yang, S. An ESPRIT-based approach for 2D localization of incoherently distributed sources in massive MIMO systems. IEEE J. Sel. Top. Signal Process. 2014, 8, 996–1011. [Google Scholar] [CrossRef]
- Lv, T.; Tan, F.; Gao, H.; Yang, S. A beamspace approach for 2D localization of incoherently distributed sources in massive MIMO systems. Signal Process. 2016, 121, 30–45. [Google Scholar] [CrossRef]
- Raich, R.; Goldberg, J.; Messer, H. Bearing estimation for a distributed source: Modeling, inherent accuracy limitations and algorithms. IEEE Trans. Signal Process. 2000, 48, 429–441. [Google Scholar] [CrossRef]
- Hassanien, A.; Shahbazpanahi, S.; Gershman, A.B. A generalized Capon estimator for localization of multiple spread sources. IEEE Trans. Signal Process. 2004, 52, 280–283. [Google Scholar] [CrossRef]
- Zoubir, A.; Wang, Y.; Charg, P. Efficient subspace-based estimator for localization of multiple incoherently distributed sources. IEEE Trans. Signal Process. 2008, 56, 532–542. [Google Scholar] [CrossRef]
- Trump, T.; Ottersten, B. Estimation of nominal direction of arrival and angular spread using an array of sensors. Signal Process. 1996, 50, 57–69. [Google Scholar] [CrossRef]
- Besson, O.; Vincent, F.; Stoica, P. Approximate maximum likelihood estimators for array processing in multiplicative noise environments. IEEE Trans. Signal Process. 2000, 48, 2506–2518. [Google Scholar] [CrossRef]
- Lee, Y.U.; Choi, J.; Song, I.; Lee, S.R. Distributed sources modeling and direction-of-arrival estimation techniques. IEEE Trans. Signal Process. 1997, 45, 960–969. [Google Scholar]
- Besson, O.; Stoica, P. Decoupled estimation of DOA and angular spread for a spatially distributed source. IEEE Trans. Signal Process. 2000, 48, 872–882. [Google Scholar] [CrossRef]
- Lee, J.; Song, I.; Kwon, H.; Lee, S.R. Low-complexity estimation of 2D DOA for coherently distributed sources. Signal Process. 2003, 83, 1789–1802. [Google Scholar] [CrossRef]
- Marzetta, T.L. Noncooperative cellular wireless with unlimited numbers of base station antennas. IEEE Trans. Wireless Commun. 2010, 9, 3590–3600. [Google Scholar] [CrossRef]
- Belouchrani, A.; Abed-Meraim, K.; Cardoso, J.; Moulines, E. A blind source separation technique using second-order statistics. IEEE Trans. Signal Process. 1997, 45, 434–444. [Google Scholar] [CrossRef]
- Moulines, E. A generalization of joint-diagonalization criteria for source separation. IEEE Trans. Signal Process. 2001, 49, 530–541. [Google Scholar]
- Boujemaa, H. Extension of COMET algorithm to multiple diffuse source localization in azimuth and elevation. Eur. Trans. Telecommun. 2005, 16, 557–566. [Google Scholar] [CrossRef]
- Guo, X.S.; Wan, Q.; Wu, B.; Yang, W.L. Parameters localisation of coherently distributed sources based on sparse signal representation. IET Radar Sonar Navig. 2007, 1, 261–265. [Google Scholar] [CrossRef]
- Fishler, E.; Poor, H.V. Estimation of the number of sources in unbalanced arrays via information theoretic criteria. IEEE Trans. Signal Process. 2005, 53, 3543–3553. [Google Scholar] [CrossRef]
- Xu, X.; Ye, Z. Two-dimensional direction of arrival estimation by exploiting the symmetric configuration of uniform rectangular array. IET Radar Sonar Navig. 2012, 6, 307–313. [Google Scholar] [CrossRef]
- Zoubir, A.; Wang, Y.; Charg, P. A modified COMET-EXIP method for estimating a scattered source. Signal Process. 2006, 86, 733–743. [Google Scholar] [CrossRef]
- Zhi, Z.; Li, G.; Teng, Y. 2D DOA estimator for multiple coherently distributed sources using modified propagator. Circuits Syst. Signal Process. 2012, 31, 255–270. [Google Scholar]
- Guo, X.; Wan, Q.; Shen, X.; Dou, H. Low-complexity parameters estimator for multiple 2D domain incoherently distributed sources. Turk. J. Electr. Eng. Comput. Sci. 2011, 19, 445. [Google Scholar]
- Wan, L.; Han, G.; Shu, L.; Feng, N. The critical patients localization algorithm using sparse representation for mixed signals in emergency healthcare system. IEEE Syst. J. 2015. [Google Scholar] [CrossRef]
- Wan, L.; Han, G.; Shu, L.; Chan, S.; Feng, N. PD source diagnosis and localization in industrial high-voltage insulation system via multimodal joint sparse representation. IEEE Trans. Ind. Electron. 2015. [Google Scholar] [CrossRef]












| PM | ESPRIT | MUSIC | Subspace |
|---|---|---|---|
| 0.28 | 0.61 | 1.20 | 2.5 |
© 2016 by the authors; licensee MDPI, Basel, Switzerland. This article is an open access article distributed under the terms and conditions of the Creative Commons by Attribution (CC-BY) license (http://creativecommons.org/licenses/by/4.0/).
Share and Cite
Wan, L.; Han, G.; Wang, H.; Shu, L.; Feng, N.; Peng, B. Wearable Sensor Localization Considering Mixed Distributed Sources in Health Monitoring Systems. Sensors 2016, 16, 368. https://doi.org/10.3390/s16030368
Wan L, Han G, Wang H, Shu L, Feng N, Peng B. Wearable Sensor Localization Considering Mixed Distributed Sources in Health Monitoring Systems. Sensors. 2016; 16(3):368. https://doi.org/10.3390/s16030368
Chicago/Turabian StyleWan, Liangtian, Guangjie Han, Hao Wang, Lei Shu, Nanxing Feng, and Bao Peng. 2016. "Wearable Sensor Localization Considering Mixed Distributed Sources in Health Monitoring Systems" Sensors 16, no. 3: 368. https://doi.org/10.3390/s16030368
APA StyleWan, L., Han, G., Wang, H., Shu, L., Feng, N., & Peng, B. (2016). Wearable Sensor Localization Considering Mixed Distributed Sources in Health Monitoring Systems. Sensors, 16(3), 368. https://doi.org/10.3390/s16030368

