Outage Performance Analysis of Relay Selection Schemes in Wireless Energy Harvesting Cooperative Networks over Non-Identical Rayleigh Fading Channels †
Abstract
:1. Introduction
- We are concerned with the application of wireless energy harvesting to cooperative networks. We analyze the performance two popular relay selection schemes, namely, partial relay selection (PRS) and optimal relay selection (ORS) schemes in wireless energy harvesting cooperative networks under independent and non-identical Rayleigh fading channels. To the best of authors’ knowledge, the study that takes into account both these two schemes together in such fading environment has not been carried out in the literature.
- We evaluate the performance of those schemes in terms of outage probability (OP) over the independent and non-identical Rayleigh fading channels. Moreover, we provide the new closed-form approximation for the outage probabilities achieved by PRS and ORS schemes, respectively, which have not been appeared in the literature. To the best of our knowledge, the integrals in the final outage probabilities, i.e., Equations (20) and (28), respectively, do not have the closed-form expressions for the case of the limits of the integral that we face against in the paper. In order to solve this issue, we used the Maclaurin series to derive the approximation and then examined the convergence of the approximation.
- We then provide numerical results in order to show the impacts of system parameters, such as power splitting ratio, relays’ position, target data rate on the outage performance of the system. In addition, in our simulation the relays are randomly distributed between the source and the destination which makes the simulation is more realistic compared to the previous works, e.g., [17,18]. On the other hand, the performance comparisons between PRS and ORS schemes are discussed to point out the advantages as well as the drawbacks of each schemes. Additionally, we compare the diversity gains of cooperative networks with and without using wireless energy harvesting technology.
2. System Model and Relay Selection Schemes
2.1. System Description
2.2. Signal Modeling
2.3. Relay Selection Schemes
2.3.1. Partial Relay Selection (PRS) Scheme
2.3.2. Optimal Relay Selection (ORS) Scheme
3. Performance Analysis
3.1. Outage Performance of the PRS Scheme
3.2. Outage Performance of the ORS Scheme
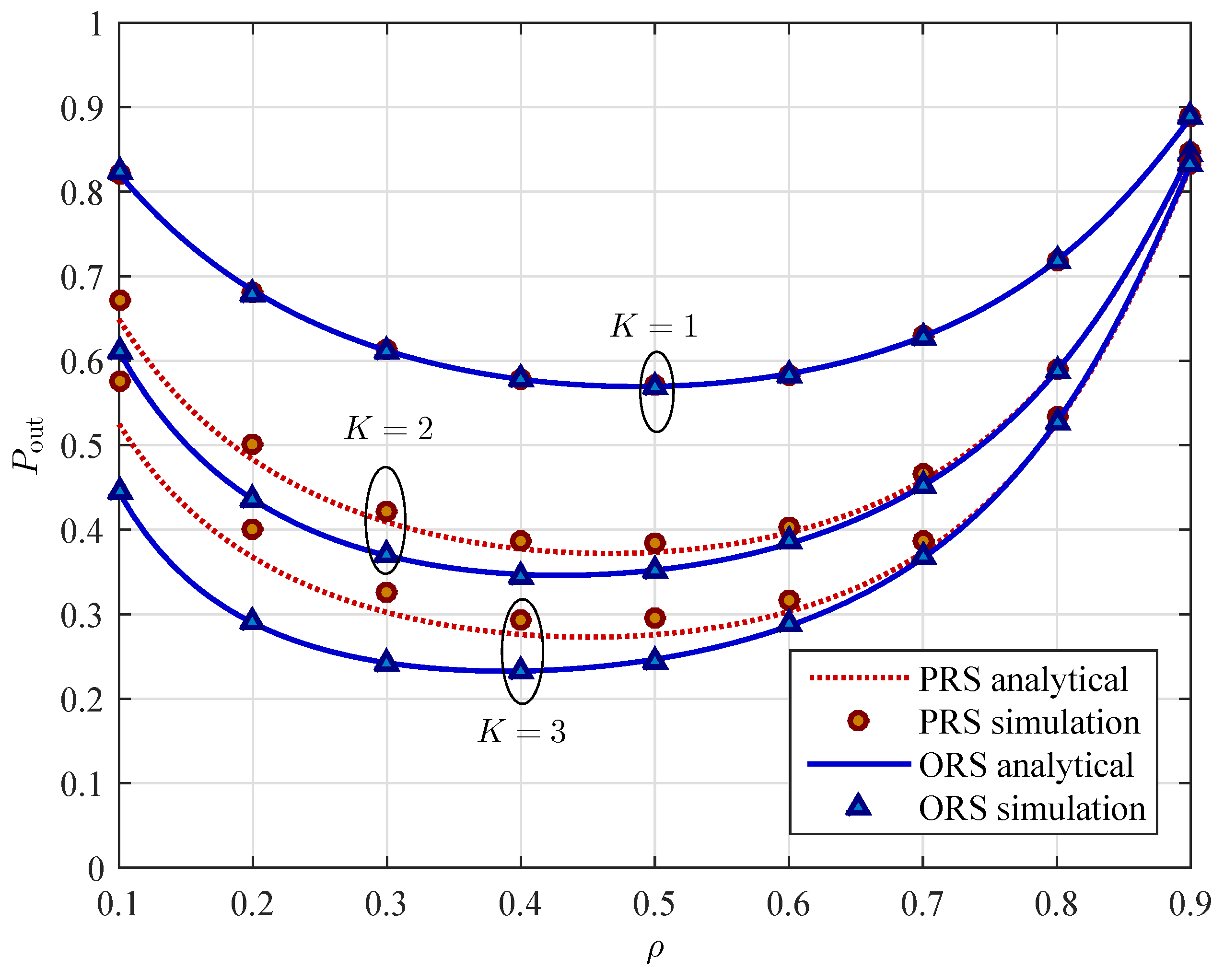
4. Numerical Results
5. Conclusions
Acknowledgments
Author Contributions
Conflicts of Interest
Appendix A. Proof of Lemma 1
Appdix B. Proof of Corollary 1
Appdix C. Proof of Lemma 2
References
- Varshney, L. Transporting Information and Energy Simultaneously. In Proceedings of the IEEE International Symposium on Information Theory (ISIT), Toronto, ON, Canada, 6–11 July 2008; pp. 1612–1616.
- Krikidis, I.; Timotheou, S.; Nikolaou, S.; Zheng, G.; Wing, D.; Ng, K.; Wing, D.; Ng, K. Simultaneous Wireless Information and Power Transfer in Modern Communication Systems. IEEE Commun. Mag. 2014, 52, 104–110. [Google Scholar] [CrossRef]
- Zhou, X.; Zhang, R.; Ho, C.K. Wireless Information and Power Transfer: Architecture Design and Rate-Energy Tradeoff. IEEE Trans. Commun. 2013, 61, 4754–4767. [Google Scholar] [CrossRef]
- Liu, P.; Gazor, S.; Kim, I.; Kim, D. Noncoherent Relaying in Energy Harvesting Communication Systems. IEEE Trans. Wirel. Commun. 2015, 14, 6940–6954. [Google Scholar] [CrossRef]
- Laneman, J.; Tse, D.; Wornell, G.W. Cooperative diversity in wireless networks: Efficient protocols and outage behavior. IEEE Trans. Inf. Theory 2004, 50, 3062–3080. [Google Scholar] [CrossRef]
- Chen, H.; Liu, J.; Dong, Z.; Zhou, Y.; Guo, W. Exact Capacity Analysis of Partial Relay Selection Under Outdated CSI Over Rayleigh Fading Channels. IEEE Trans. Veh. Technol. 2011, 60, 4014–4018. [Google Scholar] [CrossRef]
- Etezadi, F.; Zarifi, K.; Ghrayeb, A.; Affes, S. Decentralized Relay Selection Schemes in Uniformly Distributed Wireless Sensor Networks. IEEE Trans. Wirel. Commun. 2012, 11, 938–951. [Google Scholar] [CrossRef]
- Ulukus, S.; Yener, A.; Erkip, E.; Simeone, O.; Zorzi, M.; Grover, P.; Huang, K. Energy Harvesting Wireless Communications: A Review of Recent Advances. IEEE J. Sel. Areas Commun. 2015, 33, 360–381. [Google Scholar] [CrossRef]
- Chen, H.; Li, Y.; Luiz Rebelatto, J.; Uchoa-Filho, B.; Vucetic, B. Harvest-Then-Cooperate: Wireless-Powered Cooperative Communications. IEEE Trans. Signal Process. 2015, 63, 1700–1711. [Google Scholar] [CrossRef]
- Krikidis, I.; Timotheou, S.; Sasaki, S. RF Energy Transfer for Cooperative Networks: Data Relaying or Energy Harvesting? IEEE Commun. Lett. 2012, 16, 1772–1775. [Google Scholar] [CrossRef]
- Nasir, A.; Zhou, X.; Durrani, S.; Kennedy, R. Relaying Protocols for Wireless Energy Harvesting and Information Processing. IEEE Trans. Wirel. Commun. 2013, 12, 3622–3636. [Google Scholar] [CrossRef]
- Nasir, A.; Zhou, X.; Durrani, S.; Kennedy, R. Throughput and ergodic capacity of wireless energy harvesting based DF relaying network. In Proceedings of the 2014 IEEE International Conference on Communications (ICC), Sydney, NSW, Canada, 10–14 June 2014; pp. 4066–4071.
- Zhong, C.; Suraweera, H.; Zheng, G.; Krikidis, I.; Zhang, Z. Wireless Information and Power Transfer With Full Duplex Relaying. IEEE Trans. Commun. 2014, 62, 3447–3461. [Google Scholar] [CrossRef]
- Do, N.T.; Bao, V.N.Q.; An, B. A Relay Selection Protocol for Wireless Energy Harvesting Relay Networks. In Proceedings of the 2015 IEEE International Conference on Advanced Technologies for Communications (ATC), Ho Chi Minh City, Vietnam, 20–22 October 2015; pp. 243–247.
- Tang, L.; Zhang, X.; Wang, X. Joint Data and Energy Transmission in a Two-Hop Network with Multiple Relays. IEEE Commun. Lett. 2014, 18, 2015–2018. [Google Scholar] [CrossRef]
- Ding, Z.; Krikidis, I.; Sharif, B.; Poor, H. Wireless Information and Power Transfer in Cooperative Networks With Spatially Random Relays. IEEE Trans. Wirel. Commun. 2014, 13, 4440–4453. [Google Scholar] [CrossRef]
- Son, P.N.; Kong, H.Y. Exact Outage Analysis of Energy Harvesting Underlay Cooperative Cognitive Networks. IEICE Trans. Commun. 2015, E98.B, 661–672. [Google Scholar] [CrossRef]
- Van-Dinh, N.; Son, D.-V.; Oh-Soon, S. Opportunistic relaying with wireless energy harvesting in a cognitive radio system. In Proceedings of the 2015 IEEE Wireless Communications and Networking Conference (WCNC), New Orleans, LA, USA, 9–12 March 2015; pp. 87–92.
- Krikidis, I. Relay Selection in Wireless Powered Cooperative Networks With Energy Storage. IEEE J. Sel. Areas Commun. 2015, 33, 2596–2610. [Google Scholar] [CrossRef]
- Michalopoulos, D.S.; Suraweera, H.A.; Karagiannidis, G.K.; Schober, R. Amplify-and-Forward Relay Selection with Outdated Channel State Information. In Proeedings of the 2010 IEEE Global Telecommunications Conference (GLOBECOM 2010), Miami, FL, USA, 6–10 December 2010; pp. 1–6.
- Quek, T.Q.S.; Shin, H.; Win, M.Z. Robust Wireless Relay Networks: Slow Power Allocation with Guaranteed QoS. IEEE J. Sel. Top. Signal Process. 2007, 1, 700–713. [Google Scholar] [CrossRef]
- Zhang, R.; Ho, C.K. MIMO Broadcasting for Simultaneous Wireless Information and Power Transfer. IEEE Trans. Wirel. Commun. 2013, 12, 1989–2001. [Google Scholar] [CrossRef]
- Bao, V.N.Q.; Duong, T.; Benevides da Costa, D.; Alexandropoulos, G.; Nallanathan, A. Cognitive Amplify-and-Forward Relaying with Best Relay Selection in Non-Identical Rayleigh Fading. IEEE Commun. Lett. 2013, 17, 475–478. [Google Scholar] [CrossRef]
- Gradshteyn, I.S.; Ryzhik, I.M. Tables of Integrals, Series, and Products, 7th ed.; Academic Press: New York, NY, USA, 2007. [Google Scholar]
- Duong, T.; Bao, V.N.Q.; Zepernick, H. On the performance of selection decode-and-forward relay networks over Nakagami-m fading channels. IEEE Commun. Lett. 2009, 13, 172–174. [Google Scholar] [CrossRef]











© 2016 by the authors; licensee MDPI, Basel, Switzerland. This article is an open access article distributed under the terms and conditions of the Creative Commons by Attribution (CC-BY) license (http://creativecommons.org/licenses/by/4.0/).
Share and Cite
Do, N.T.; Bao, V.N.Q.; An, B. Outage Performance Analysis of Relay Selection Schemes in Wireless Energy Harvesting Cooperative Networks over Non-Identical Rayleigh Fading Channels. Sensors 2016, 16, 295. https://doi.org/10.3390/s16030295
Do NT, Bao VNQ, An B. Outage Performance Analysis of Relay Selection Schemes in Wireless Energy Harvesting Cooperative Networks over Non-Identical Rayleigh Fading Channels. Sensors. 2016; 16(3):295. https://doi.org/10.3390/s16030295
Chicago/Turabian StyleDo, Nhu Tri, Vo Nguyen Quoc Bao, and Beongku An. 2016. "Outage Performance Analysis of Relay Selection Schemes in Wireless Energy Harvesting Cooperative Networks over Non-Identical Rayleigh Fading Channels" Sensors 16, no. 3: 295. https://doi.org/10.3390/s16030295
APA StyleDo, N. T., Bao, V. N. Q., & An, B. (2016). Outage Performance Analysis of Relay Selection Schemes in Wireless Energy Harvesting Cooperative Networks over Non-Identical Rayleigh Fading Channels. Sensors, 16(3), 295. https://doi.org/10.3390/s16030295

