Metal Sulfides as Sensing Materials for Chemoresistive Gas Sensors
Abstract
:1. Introduction
2. Experimental Section
2.1. Chemical Synthesis and Thick-Films Deposition
2.1.1. Synthesis of Cadmium Sulfide
2.1.2. Synthesis of Tin (IV) Sulfide
2.2. Chemical, Morphological and Structural Characterizations
2.3. Gas Sensing Measurements
2.3.1. Gas Measurements in Thermo-Activation Mode
2.3.2. Arrhenius Plot and Intergrain Barrier Measurements
2.3.3. Gas Measurements in Photo-Activation Mode
3. Results and Discussion
3.1. Powders and Films Characterizations
3.1.1. Cadmium Sulfide Characterizations
3.1.2. Tin (IV) Sulfide Characterizations
3.2. Gas Sensing Characterizations
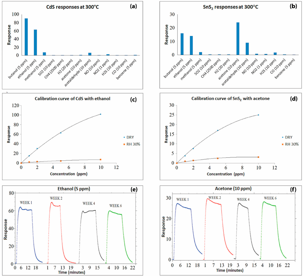
3.2.1. Gas Sensing in Thermo-Activation Mode
3.2.2. Gas Sensing in Photo-Activation Mode
4. Conclusions
Acknowledgments
Author Contributions
Conflicts of Interest
References
- Alivisatos, A.P. Semiconductor Clusters, Nanocrystals, and Quantum Dots. Science 1996, 271, 933–937. [Google Scholar] [CrossRef]
- Ma, D.D.D.; Lee, C.S.; Au, F.C.K.; Tong, S.Y.; Lee, S.T. Small-diameter silicon nanowire surfaces. Science 2003, 299, 1874–1877. [Google Scholar] [CrossRef] [PubMed]
- Wang, Z.L.; Song, J.H. Piezoelectric Nanogenerators Based on Zinc Oxide Nanowire Arrays. Science 2006, 312, 242–246. [Google Scholar] [CrossRef] [PubMed]
- Fang, X.S.; Bando, Y.; Gautam, U.K.; Zhai, T.; Gradecak, S.; Golberg, D. Heterostructures and superlattices in one-dimensional nanoscale semiconductors. J. Mater. Chem. 2009, 19, 5683–5689. [Google Scholar] [CrossRef]
- Chen, K.C.; Wu, W.W.; Liao, C.N.; Chen, L.J.; Tu, K.N. Observation of Atomic Diffusion at Twin-Modified Grain Boundaries in Copper. Science 2008, 321, 1066–1069. [Google Scholar] [CrossRef] [PubMed]
- Law, M.; Greene, L.E.; Johnson, J.C.; Saykally, R.; Yang, P.D. Nanowire dye-sensitized solar cells. Nat. Mater. 2005, 4, 455–459. [Google Scholar] [CrossRef] [PubMed]
- Yang, P.; Yan, H.; Mao, S.; Russo, R.; Johnson, J.; Saykally, R.; Morris, N.; Pham, J.; He, R.; Choi, H.-J. Controlled growth of ZnO nanowires and their optical properties. Adv. Funct. Mater. 2002, 12, 323–331. [Google Scholar] [CrossRef]
- Lai, C.H.; Huang, K.W.; Cheng, J.H.; Lee, C.Y.; Hwang, B.J.; Chen, L.J. Direct growth of high-rate capability and high capacity copper sulfide nanowire array cathodes for lithium-ion batteries. J. Mater. Chem. 2010, 20, 6638–6645. [Google Scholar] [CrossRef]
- Chen, L.J. Metal silicides: An integral part of microelectronics. JOM 2005, 57, 24–30. [Google Scholar] [CrossRef]
- Huang, K.W.; Wang, J.H.; Chen, H.C.; Hsu, H.C.; Chang, Y.C.; Lu, M.Y.; Lee, C.Y.; Chen, L.J. Supramolecular nanotubes with high thermal stability: A rigidity enhanced structure transformation induced by electron-beam irradiation and heat. J. Mater. Chem. 2007, 17, 2307–2312. [Google Scholar] [CrossRef]
- Wen, Z.H.; Li, J.H. Hierarchically structured carbon nanocomposites as electrode materials for electrochemical energy storage, conversion and biosensor systems. J. Mater. Chem. 2009, 19, 8707–8713. [Google Scholar] [CrossRef]
- Lu, M.Y.; Lu, M.P.; Chung, Y.A.; Chen, M.J.; Wang, Z.L.; Chen, L.J. Intercrossed sheet-like Ga-doped ZnS nanostructures with superb photocatalytic actvitiy and photoresponse. J. Phys. Chem. C 2009, 113, 12878–12882. [Google Scholar] [CrossRef]
- Rogach, A.L.; Talapin, D.V.; Shevchenko, E.V.; Kornowski, A.; Haase, M.; Weller, H. Organization of Matter on Different Size Scales: Monodisperse Nanocrystals and Their Superstructures. Adv. Funct. Mater. 2002, 12, 653–664. [Google Scholar] [CrossRef]
- Sun, S.; Murray, C.B.; Weller, D.; Folks, L.; Moser, A. Monodisperse FePt nanoparticles and ferromagnetic FePt nanocrystal superlattices. Science 2000, 287, 1989–1992. [Google Scholar] [CrossRef] [PubMed]
- Murray, C.B.; Kagan, C.R.; Bawendi, M.G. Synthesis and characterization of monodisperse nanocrystals and close-packed nanocrystal assemblies. Annu. Rev. Mater. Sci. 2000, 30, 545–610. [Google Scholar] [CrossRef]
- Sundar, V.C.; Eisler, H.-J.; Bawendi, M.G. Room-Temperature, Tunable Gain Media from Novel II–VI Nanocrystal–Titania Composite Matrices. Adv. Mater. 2002, 14, 739–743. [Google Scholar] [CrossRef]
- Rogers, B.; Pennathur, S.; Adam, J. Nanotechnology: Understanding Small System; CRC Press, Taylor & Francis Group: New York, NY, USA, 2011. [Google Scholar]
- Cássia-Santos, M.R.; Sousa, V.C.; Oliveira, M.M.; Sensato, F.R.; Bacelar, W.K.; Gomes, J.W.; Longo, E.; Leite, E.R.; Varela, J.A. Recent research developments in SnO2-based varistors. Mat. Chem. Phys. 2005, 90, 1–9. [Google Scholar] [CrossRef]
- Jin, C.; Kim, H.; Choi, S.-W.; Kim, S.S.; Lee, C. Synthesis, structure, and gas-sensing properties of Pt-functionalized TiO2 nanowire sensors. J. Nanosci. Nanotechnol. 2014, 14, 5833–5838. [Google Scholar] [CrossRef] [PubMed]
- Peeters, D.; Barreca, D.; Carraro, G.; Comini, E.; Gasparotto, A.; Maccato, C.; Sada, C.; Sberveglieri, G. Au/ε-Fe2O3 nanocomposites as selective NO2 gas sensors. J. Phys. Chem. C 2014, 118, 11813–11819. [Google Scholar] [CrossRef]
- Li, L.; Liu, M.; He, S.; Chen, W. Freestanding 3D mesoporous Co3O4@carbon foam nanostructures for ethanol gas sensing. Anal. Chem. 2014, 86, 7996–8002. [Google Scholar] [CrossRef] [PubMed]
- Chang, S.-P.; Wen, C.-H.; Chang, S.-J. Two-dimensional ZnO nanowalls for gas sensor and photoelectrochemical applications. Electron. Mater. Lett. 2014, 10, 693–697. [Google Scholar] [CrossRef]
- Wu, Y.; Wadia, C.; Ma, W.L.; Sadtler, B.; Alivisatos, A.P. Synthesis and Photovoltaic Application of Copper(I) Sulfide Nanocrystals. Nano Lett. 2008, 8, 2551–2555. [Google Scholar] [CrossRef] [PubMed]
- Li, T.L.; Lee, Y.L.; Teng, H. CuInS2 Quantum Dots Coated with CdS as High-Performance Sensitizers for TiO2 Electrodes in Photoelectrochemical Cells. J. Mater. Chem. 2011, 21, 5089–5098. [Google Scholar] [CrossRef]
- Bierman, M.J.; Jin, S. Potential applications of hierarchical branching nanowires in solar energy conversion. Energy Environ. Sci. 2009, 2, 1050–1059. [Google Scholar] [CrossRef]
- Zou, Z.; Qiu, Y.; Xie, C.; Xu, J.; Luo, Y.; Wang, C.; Yan, H. CdS/TiO2 nanocomposite film and its enhanced photoelectric responses to dry air and formaldehyde induced by visible light at room temperature. J. Alloys Compd. 2015, 645, 17–23. [Google Scholar] [CrossRef]
- Xu, K.; Li, N.; Zeng, D.; Tian, S.; Zhang, S.; Hu, D.; Xie, C. Interface bonds determined gas-sensing of SnO2-SnS2 hybrids to ammonia at room temperature. ACS Appl. Mater. Interfaces 2015, 7, 11359–11368. [Google Scholar] [CrossRef] [PubMed]
- Shi, W.; Huo, L.; Wang, H.; Zhang, H.; Yang, J.; Wei, P. Hydrothermal growth and gas sensing property of flower-shaped SnS2 nanostructures. Nanotechnology 2006, 17, 2918–2924. [Google Scholar] [CrossRef]
- Fu, X.; Liu, J.; Wan, Y.; Zhang, X.; Meng, F.; Liu, J. Preparation of a leaf-like CdS micro-/nanostructure and its enhanced gas-sensing properties for detecting volatile organic compounds. J. Mater. Chem. 2012, 22, 17782–17791. [Google Scholar] [CrossRef]
- Kim, H.R.; Haensch, A.H.; Kim, I.D.; Barsan, N.; Weimar, U.; Lee, J.H. The role of NiO doping in reducing the impact of humidity on the performance of SnO2-based gas sensors: Synthesis, strategies, and phenomenological and spectroscopy studies. Adv. Funct. Mater. 2011, 21, 4456–4463. [Google Scholar] [CrossRef]
- Yamazoe, N. Toward innovation of gas sensor technology. Sens. Actuators B 2005, 108, 2–14. [Google Scholar] [CrossRef]
- Barsan, N.; Koziej, D.; Weimar, U. Metal oxide-based gas sensor research: How to? Sens. Actuators B 2007, 121, 18–35. [Google Scholar] [CrossRef]
- Bochenkov, V.E.; Sergeev, G.B. Sensitivity, Selectivity, and Stability of Gas-Sensitive Metal-Oxide Nanostructures. In Metal Oxide Nanostructures and Their Applications; American Scientific Publishers: Valencia, CA, USA, 2010; pp. 31–52. [Google Scholar]
- Carotta, M.C.; Benetti, M.; Ferrari, E.; Giberti, A.; Malagù, C.; Nagliati, M.; Vendemiati, B.; Martinelli, G. Basic interpretation of thick film gas sensors for atmospheric application. Sens. Actuators B 2007, 126, 672–677. [Google Scholar] [CrossRef]
- Bruker-AXS. TOPAS V4: General Profile and Structure Analysis Software for Powder Diffraction Data—User's Manual; Bruker AXS GmbH: Karlsruhe, Germany, 2008. [Google Scholar]
- Balzar, D. Voigt-Function Model in Diffraction Line-Broadening Analysis—Microstructure Analysis from Diffraction; Snyder, R.L., Bunge, H.J., Fiala, J., Eds.; Oxford University Press: New York, NY, USA, 1999. [Google Scholar]
- Cheary, R.W.; Coelho, A.A. A fundamental parameters approach to X-ray line-profile fitting. J. Appl. Crystallogr. 1992, 25, 109–121. [Google Scholar] [CrossRef]
- Cheary, R.W.; Coelho, A.A.; Cline, J.P. Fundamental Parameters Line Profile Fitting in Laboratory Diffractometers. J. Res. Natl. Inst. Stand. Technol. 2004, 109, 1–25. [Google Scholar] [CrossRef]
- Kern, A.; Coelho, A.A.; Cheary, R.W. Convolution Based Profile Fitting—Diffraction Analysis of the Microstructure of Materials; Mittemeijer, E.J., Scardi, P., Eds.; Springer: Berlin, Germany, 2004. [Google Scholar]
- Gaiardo, A.; Bellutti, P.; Gherardi, S.; Zonta, G.; Fabbri, B.; Giberti, A.; Guidi, V.; Malagù, C. Tin (IV) Sulfide chemoresistivity: A possible new gas sensing material. In Proceeding of AISEM, Trento, Italy, 2–5 February 2015.
- Giberti, A.; Gaiardo, A.; Fabbri, B.; Gherardi, S.; Guidi, V.; Malagù, C.; Bellutti, P.; Zonta, G.; Casotti, D.; Cruciani, G. Tin(IV) sulfide nanorods as a new gas sensing material. Sens. Actuators, B: Chem. 2016, 223, 827–833. [Google Scholar] [CrossRef]
- Giberti, A.; Casotti, D.; Cruciani, G.; Fabbri, B.; Gaiardo, A.; Guidi, V.; Malagù, C.; Zonta, G.; Gherardi, S. Electrical conductivity of CdS films for gas sensing: Selectivity properties to alcoholic chains. Sens. Actuators B 2015, 207, 504–510. [Google Scholar] [CrossRef]
- ACGIH Site. Avaible online: http://www.acgih.org/ (accessed on 8 August 2014).
- Clifford, P.K.; Tuma, D.T. Characteristics of semiconductor gas sensors II. transient response to temperature change. Sens. Actuators 1982–1983, 3, 255–281. [Google Scholar] [CrossRef]
- Das, S.; Jayaraman, V. SnO2: A comprehensive review on structures and gas sensors. Prog. Mater Sci. 2014, 66, 112–255. [Google Scholar] [CrossRef]
- Winter, J.; Gomez, N.; Gatzert, S.; Schmidt, C.; Korgel, B. Variation of cadmium sulfide nanoparticle size and photoluminescence intensity with altered aqueous synthesis conditions. Colloids Surf. A 2005, 254, 147–157. [Google Scholar] [CrossRef]
- Kundu, M.; Khosravi, A.A.; Kulkarni, S.K. Synthesis and study of organically capped ultra-small clusters of cadmium sulphide. J. Mater. Sci. 1997, 32, 245–258. [Google Scholar] [CrossRef]
- Dumbrava, A.; Badea, C.; Prodan, G.; Ciupina, V. Synthesis and characterization of cadmium sulfide obtained at room temperature. Chalcogenide Lett. 2010, 7, 111–118. [Google Scholar]
- Nie, Q.; Yuan, Q.; Chen, W.; Xu, Z. Effects of coordination agents on the morphology of CdS nanocrystallites synthesized by the hydrothermal method. J. Cryst. Growth 2004, 265, 420–424. [Google Scholar] [CrossRef]
- Ekimov, A.I.; Efros, A.L.; Onushchenko, A.A. Quantum size effect in semiconductor microcrystals. Solid State Commun. 1985, 56, 921–924. [Google Scholar] [CrossRef]
- Wang, Y.; Herron, N. Nanometer-sized semiconductor clusters: materials syn-thesis, quantum size effects, and photophysical properties. J. Phys. Chem. 1991, 95, 525–532. [Google Scholar] [CrossRef]
- Dumbrava, A.; Badea, C.; Prodan, G.; Popovici, I.; Ciupina, V. Zinc sulfide fine particles obtained at low temperature. Chalcogenide Lett. 2009, 6, 437–443. [Google Scholar]
- Zhang, Y.C.; Du, Z.N.; Li, K.W.; Zhang, M. Size-controlled hydrothermal synthesis of SnS2 nanoparticles with high performance in visible light-driven photocatalytic degradation of aqueous methyl orange. Sep. Purif. Technol. 2011, 81, 101–107. [Google Scholar] [CrossRef]
- Tomchenko, A.A.; Harmer, G.P.; Marquis, B.T.; Allen, J.W. Semiconducting metal oxide sensor array for the selective detection of combustion gases. Sens. Actuators B 2003, 93, 126–134. [Google Scholar] [CrossRef]
- Kim, S.; Park, S.; Park, S.; Lee, C. Acetone sensing of Au and Pd-decorated WO3 nanorod sensors. Sens. Actuators B 2015, 209, 180–185. [Google Scholar] [CrossRef]
- Koziej, D.; Thomas, K.; Barsan, N.; Thibault-Starzyk, F.; Weimar, U. Influence of annealing temperature on the CO sensing mechanism for tin dioxide based sensors-Operando studies. Catal. Today 2007, 126, 211–218. [Google Scholar] [CrossRef]
- Malagù, C.; Fabbri, B.; Gherardi, S.; Giberti, A.; Guidi, V.; Landini, N.; Zonta, G. Chemoresistive gas sensors for detection of colorectal cancer biomarkers. Sensors 2014, 14, 18982–18992. [Google Scholar] [CrossRef] [PubMed]
- Gyger, F.; Hübner, M.; Feldmann, C.; Barsan, N.; Weimar, U. Nanoscale SnO2 hollow spheres and their application as a gas-sensing material. Chem. Mater. 2010, 22, 4821–4827. [Google Scholar] [CrossRef]
- Huang, J.; Matsunaga, N.; Shimanoe, K.; Yamazoe, N.; Kunitake, T. Nanotubular SnO2 templated by cellulose fibers: Synthesis and gas sensing. Chem. Mater 2005, 17, 3513–3518. [Google Scholar] [CrossRef]
- Madou, M.J.; Morrison, S.R. Chemical Sensing with Solid State Devices; Academic Press: London, UK, 1989. [Google Scholar]
- Cesare Malagù, C.; Giberti, A.; Morandi, S.; Aldao, C.M. Electrical and spectroscopic analysis in nanostructured SnO2: “Long-term” resistance drift is due to in-diffusion. J. Appl. Phys. 2011, 110. [Google Scholar] [CrossRef]
- Ou, J.Z.; Ge, W.; Carey, B.; Daeneke, T.; Rotbart, A.; Shan, W.; Wang, Y.; Fu, Z.; Chrimes, A.F.; Wlodarski, W.; et al. Physisorption-Based Charge Transfer in Two-Dimensional SnS2 for Selective and Reversible NO2 Gas Sensing. ACS Nano 2015, 9, 10313–10323. [Google Scholar] [CrossRef] [PubMed]
- Jiao, X.; Zhang, L.; Lv, Y.; Su, Y. A new alcohols sensor based on cataluminescence on nano-CdS. Sens. Actuators B: Chem. 2013, 186, 750–754. [Google Scholar] [CrossRef]
- Du, L.; Zhang, Y.; Lei, Y.; Zhao, H. Synthesis of high-quality CdS nanowires and their application as humidity sensors. Mater. Lett. 2014, 129, 46–49. [Google Scholar] [CrossRef]
- Wang, P.; Deng, P.; Nie, Y.; Zhao, Y.; Zhang, Y.; Xing, L.; Xue, X. Synthesis of CdS nanorod arrays and their applications in flexible piezo-driven active H2S sensors. Nanotechnology 2014, 25. [Google Scholar] [CrossRef] [PubMed]
- Giberti, A.; Fabbri, B.; Gaiardo, A.; Guidi, V.; Malagù, C. Resonant photoactivation of cadmium sulfide and its effect on the surface chemical activity. Appl. Phys. 2014, 104. [Google Scholar] [CrossRef]
- Fabbri, B.; Gaiardo, A.; Giberti, A.; Guidi, V.; Malagù, C.; Martucci, A.; Sturaro, M.; Zonta, G.; Gherardi, S.; Bernardoni, P. Chemoresistive properties of photo-activated thin and thick ZnO films. Sens. Actuators B 2016, 222, 1251–1256. [Google Scholar] [CrossRef]










© 2016 by the authors; licensee MDPI, Basel, Switzerland. This article is an open access article distributed under the terms and conditions of the Creative Commons by Attribution (CC-BY) license (http://creativecommons.org/licenses/by/4.0/).
Share and Cite
Gaiardo, A.; Fabbri, B.; Guidi, V.; Bellutti, P.; Giberti, A.; Gherardi, S.; Vanzetti, L.; Malagù, C.; Zonta, G. Metal Sulfides as Sensing Materials for Chemoresistive Gas Sensors. Sensors 2016, 16, 296. https://doi.org/10.3390/s16030296
Gaiardo A, Fabbri B, Guidi V, Bellutti P, Giberti A, Gherardi S, Vanzetti L, Malagù C, Zonta G. Metal Sulfides as Sensing Materials for Chemoresistive Gas Sensors. Sensors. 2016; 16(3):296. https://doi.org/10.3390/s16030296
Chicago/Turabian StyleGaiardo, Andrea, Barbara Fabbri, Vincenzo Guidi, Pierluigi Bellutti, Alessio Giberti, Sandro Gherardi, Lia Vanzetti, Cesare Malagù, and Giulia Zonta. 2016. "Metal Sulfides as Sensing Materials for Chemoresistive Gas Sensors" Sensors 16, no. 3: 296. https://doi.org/10.3390/s16030296
APA StyleGaiardo, A., Fabbri, B., Guidi, V., Bellutti, P., Giberti, A., Gherardi, S., Vanzetti, L., Malagù, C., & Zonta, G. (2016). Metal Sulfides as Sensing Materials for Chemoresistive Gas Sensors. Sensors, 16(3), 296. https://doi.org/10.3390/s16030296

