A Stretchable Radio-Frequency Strain Sensor Using Screen Printing Technology
Abstract
:1. Introduction
2. Strain Sensor Design
3. Strain Sensor Fabrication
3.1. PDMS Fabrication
3.2. Screen Printing
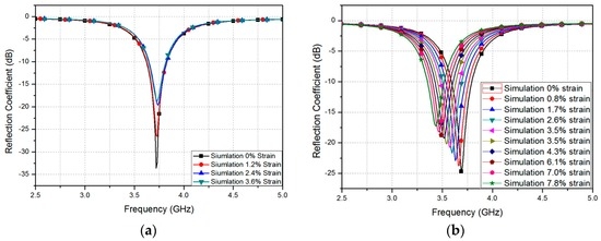
4. Measurement Results
5. Conclusions
Acknowledgments
Author Contributions
Conflicts of Interest
References
- Teoh, L.G.; Hung, I.M.; Shieh, J.; Lai, W.H.; Hon, M.H. High Sensitivity Semiconductor NO2 Gas Sensor Based on Mesoporous WO3 Thin Film. Electrochem. Solid State Lett. 2003, 6, 108–111. [Google Scholar] [CrossRef]
- Comini, E.; Faglia, G.; Sberveglieri, G. Stable and highly sensitive gas sensors based on semiconducting oxide nanobelts. Appl. Phys. Lett. 2002, 81, 2002–2004. [Google Scholar] [CrossRef]
- Ohtsuka, K.; Yoshida, Y. Metal oxide semiconductor NO2 sensor. Sens. Actuators B Chem. 1995, 25, 2–5. [Google Scholar]
- Kiss, G.; Pinter, Z. Study of oxide semiconductor sensor materials by selected methods. Thin Solid Films 2001, 391, 216–223. [Google Scholar] [CrossRef]
- Lee, C.; Jug, L.; Meng, E.; Lee, C.; Jug, L.; Meng, E. High strain biocompatible polydimethylsiloxane-based conductive graphene and multiwalled carbon nanotube nanocomposite strain sensors. Appl. Phys. Lett. 2016, 102, 183511. [Google Scholar] [CrossRef]
- Obitayo, W.; Liu, T. A review: Carbon nanotube-based piezoresistive strain sensors. J. Sens. 2012, 2012. [Google Scholar] [CrossRef]
- Slobodian, P.; Riha, P.; Olejnik, R.; Cvelbar, U.; Saha, P. Enhancing effect of KMnO4 oxidation of carbon nanotubes network embedded in elastic polyurethane on overall electro-mechanical properties of composite. Compos. Sci. Technol. 2013, 81, 54–60. [Google Scholar] [CrossRef]
- Slobodian, P. A highly-deformable composite composed of an entangled network of electrically-conductive carbon-nanotubes embedded in elastic polyurethane. Carbon N. Y. 2012, 50, 3446–3453. [Google Scholar] [CrossRef]
- Yao, S.; Zhu, Y. Wearable multifunctional sensors using printed stretchable conductors made of silver nanowires. Nanoscale 2014, 6, 2345. [Google Scholar] [CrossRef] [PubMed]
- Ciuculescu-Pradines, D.; Ressier, L. High-Sensitivity Strain Gauge Based on a Single Wire of Gold Nanoparticles Fabricated by Stop-and-Go Convective. ACS Nano 2011, 7137–7143. [Google Scholar]
- Surapaneni, R.; Xie, Y.; Park, K.; Mastrangelo, C. Microfabrication of flexible self-repairing ground reaction sensor with liquid metal electrodes. Procedia Eng. 2011, 25, 124–127. [Google Scholar] [CrossRef]
- Amjadi, M.; Park, I. Carbon nanotubes-ecoflex nanocomposite for strain sensing with ultra-high stretchability. IEEE Sens. J. 2015, 744–747. [Google Scholar]
- Sawa, H.; Korswagen, H.C. Wnt Signaling in C. elegans; WormBook: Mishima, Japan, 2013; pp. 1–30. [Google Scholar]
- Li, X.; Abe, T.; Esashi, M. Deep reactive ion etching of Pyrex glass using SF6 plasma. Sens. Actuators A Phys. 2001, 87, 139–145. [Google Scholar] [CrossRef]
- Li, C.-Y.; Liao, Y.-C. Adhesive Stretchable Printed Conductive Thin Film Patterns on PDMS Surface with an Atmospheric Plasma Treatment. ACS Appl. Mater. Interfaces 2016, 8, 11868–11874. [Google Scholar] [CrossRef] [PubMed]
- Chen, Y.; Geiler, A.L.; Sakai, T.; Yoon, S.D.; Vittoria, C.; Harris, V.G. Microwave and magnetic properties of self-biased barium hexaferrite screen printed thick films. J. Appl. Phys. 2006, 99, 2006–2008. [Google Scholar] [CrossRef]
- Lee, J.; Kim, S.; Lee, J.; Yang, D.; Park, B.C.; Ryu, S.; Park, I. A stretchable strain sensor based on a metal nanoparticle thin film for human motion detection. Nanoscale 2014, 6, 11932–11939. [Google Scholar] [CrossRef] [PubMed]
- Kubo, M.; Li, X.; Kim, C.; Hashimoto, M.; Wiley, B.J.; Ham, D.; Whitesides, G.M. Stretchable microfluidic radiofrequency antennas. Adv. Mater. 2010, 22, 2749–2752. [Google Scholar] [CrossRef] [PubMed]
- Peterson, R.L.; Drayton, R.F. A CPW T-resonator technique for electrical characterization of microwave substrates. IEEE Microw. Wirel. Components Lett. 2002, 12, 90–92. [Google Scholar] [CrossRef]
- Lätti, K.P.; Kettunen, M.; Strom, J.P.; Silventoinen, P. A review of microstrip T-resonator method in determining the dielectric properties of printed circuit board materials. IEEE Trans. Instrum. Meas. 2007, 56, 1845–1850. [Google Scholar] [CrossRef]
- Garg, B.; Verma, R.D.; Samadhiya, A. Design of Rectangular Microstrip Patch Antenna Incorporated with Innovative Metamaterial Structure for Dual band operation and Amelioration in Patch Antenna Parameters with Negative µ and ε. Int. J. Eng. Technol. 2012, 1, 205–216. [Google Scholar] [CrossRef]
- Woo, S.; Youngje, L. A Polarization Diversity Patch Antenna with a Reconfigurable Feeding Network. J. Electromagn. Eng. Sci. 2015, 15, 115–119. [Google Scholar]
- Stutzman, W.L.; Thiele, G.A. Microstrip Antenna Elements. In Antenna Theory and Design; John Wiley and Sons: New York, NY, USA, 1981. [Google Scholar]
- Chan, H.N.; Chen, Y.; Shu, Y.; Chen, Y.; Tian, Q.; Wu, H. Direct, one-step molding of 3D-printed structures for convenient fabrication of truly 3D PDMS microfluidic chips. Microfluid. Nanofluid. 2015, 19, 9–18. [Google Scholar] [CrossRef]
- Auyeung, R.C.Y.; Kim, H.; Mathews, S.A.; Piqué, A. Laser Direct-Write of Metallic Nanoparticle Inks. J. Laser Micro/Nanoeng. 2007, 2, 21–25. [Google Scholar] [CrossRef]
- Stokes, Y.M.; Pendleton, P. Drying and Curing of Stains and Lacquers Used in Furniture Finishing; Nexus Pty Ltd.: Victor Harbor, Australia, 2001. [Google Scholar]
- Melik, R.; Unal, E.; Perkgoz, N.K.; Puttlitz, C.; Demir, H.V.; Melik, R.; Unal, E.; Perkgoz, N.K.; Puttlitz, C. Flexible metamaterials for wireless strain sensing. Appl. Phys. Lett. 2016, 95, 181105. [Google Scholar] [CrossRef]
- Melik, R.; Member, S.; Unal, E.; Perkgoz, N.K.; Santoni, B.; Kamstock, D.; Puttlitz, C.; Demir, H.V. Nested Metamaterials for Wireless Strain Sensing. IEEE J. Sel. Top. Quantum Electron. 2010, 16, 450–458. [Google Scholar] [CrossRef]
- Li, J.; Shah, C.M.; Withayachumnankul, W.; Ung, B.S.; Mitchell, A.; Sriram, S.; Bhaskaran, M.; Chang, S.; Abbott, D. Flexible terahertz metamaterials for dual-axis strain sensing. Opt. Lett. 2013, 38, 2104–2106. [Google Scholar] [CrossRef] [PubMed]
- Qian, Z.; Tang, Q.; Li, J.; Zhao, H.; Zhang, W.; Principle, A. Analysis and Design of a Strain Sensor based on a Microstrip Patch Antenna. Microw. Milim. Wave 2012, 5, 3–5. [Google Scholar]








| This Work | [27] | [28] | [29] | [30] | |
|---|---|---|---|---|---|
| Substrate | PDMS | Kapton tape | Si | Duroid 5880 | Kapton |
| Conductive Material | Au | Au | Au | Cu | Cu/Al |
| Maximum Strain (%) | 7.8 | N/A | N/A | 0.2 | 1 |
| Strain Gauge 1 (%) | 7.3 | 5.69 | 0.21 | 0.14 | 2.35 |
| Resonant Frequency (GHz) | 3.7 | 12.3 | 0.4742 | 5 | 3.62 |
© 2016 by the authors; licensee MDPI, Basel, Switzerland. This article is an open access article distributed under the terms and conditions of the Creative Commons Attribution (CC-BY) license (http://creativecommons.org/licenses/by/4.0/).
Share and Cite
Jeong, H.; Lim, S. A Stretchable Radio-Frequency Strain Sensor Using Screen Printing Technology. Sensors 2016, 16, 1839. https://doi.org/10.3390/s16111839
Jeong H, Lim S. A Stretchable Radio-Frequency Strain Sensor Using Screen Printing Technology. Sensors. 2016; 16(11):1839. https://doi.org/10.3390/s16111839
Chicago/Turabian StyleJeong, Heijun, and Sungjoon Lim. 2016. "A Stretchable Radio-Frequency Strain Sensor Using Screen Printing Technology" Sensors 16, no. 11: 1839. https://doi.org/10.3390/s16111839
APA StyleJeong, H., & Lim, S. (2016). A Stretchable Radio-Frequency Strain Sensor Using Screen Printing Technology. Sensors, 16(11), 1839. https://doi.org/10.3390/s16111839

