Achievement of High-Response Organic Field-Effect Transistor NO2 Sensor by Using the Synergistic Effect of ZnO/PMMA Hybrid Dielectric and CuPc/Pentacene Heterojunction
Abstract
:1. Introduction
2. Materials and Methods
2.1. ZnO/PMMA Hybrid Preparation
2.2. Device Preparation
2.3. Device Test and Data Analyses
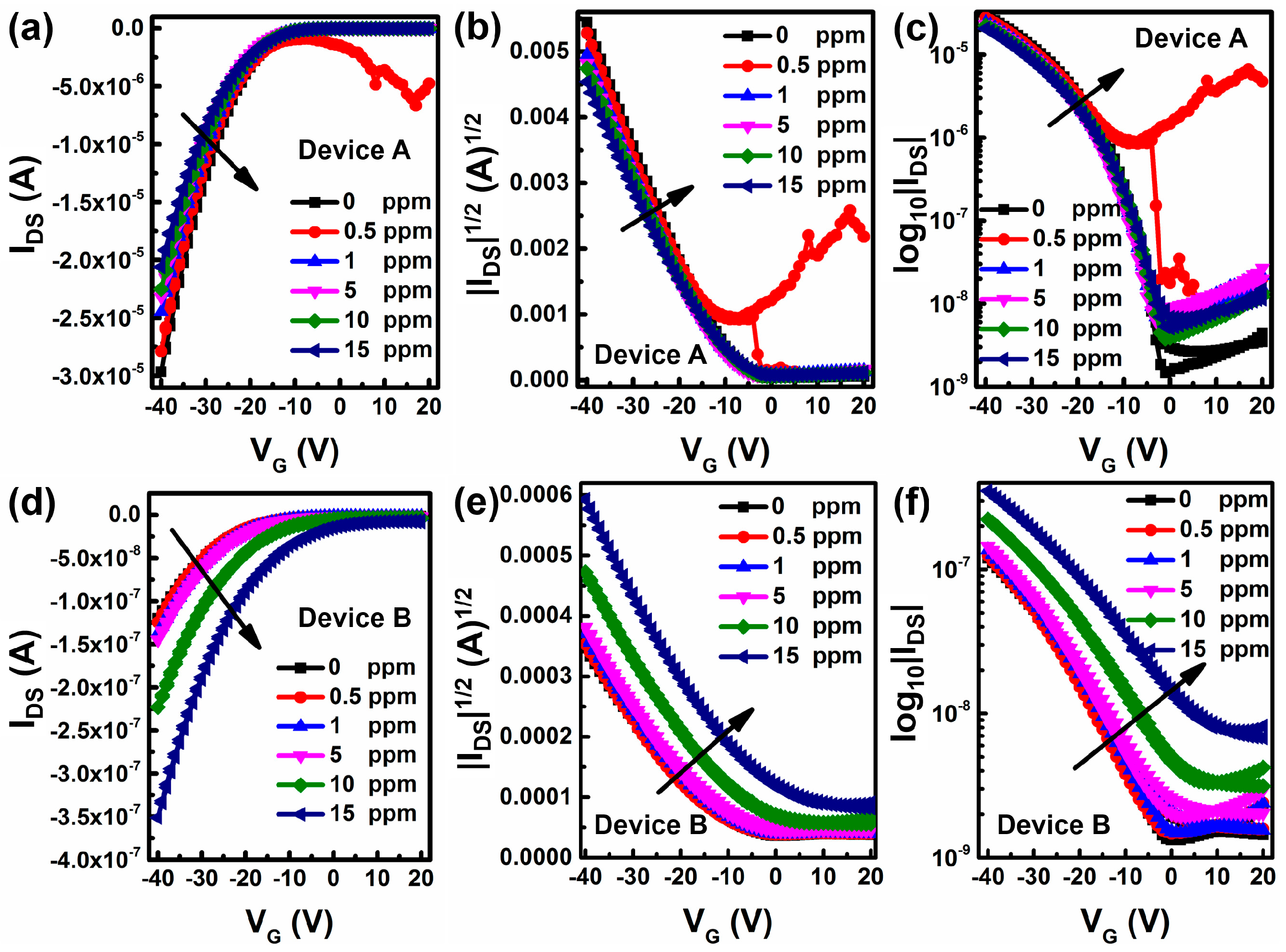
3. Results and Discussion
4. Conclusions
Supplementary Materials
Acknowledgments
Author Contributions
Conflicts of Interest
References
- Zhang, H.; Li, Q.; Huang, J.; Du, Y.; Ruan, S.C. Reduced graphene oxide/Au nanocomposite for NO2 sensing at low operating temperature. Sensors 2016, 16, 1152. [Google Scholar] [CrossRef] [PubMed]
- Long, H.; Harley-Trochimczyk, A.; Pham, T.; Tang, Z.; Shi, T.; Zettl, A.; Carraro, C.; Worsley, M.A.; Maboudian, R. High surface area MoS2/graphene hybrid aerogel for ultrasensitive NO2 detection. Adv. Funct. Mater. 2016, 26, 5158–5165. [Google Scholar] [CrossRef]
- Jalil, A.R.; Chang, H.; Bandari, V.K.; Robaschik, P.; Zhang, J.; Siles, P.F.; Li, G.; Bürger, D.; Grimm, D.; Liu, X.; et al. Fully integrated organic nanocrystal diode as high performance room temperature NO2 sensor. Adv. Mater. 2016, 28, 2971–2977. [Google Scholar] [CrossRef] [PubMed]
- Shi, W.; Yu, X.; Zhang, Y.; Yu, J. DNA based chemical sensor for the detection of nitrogen dioxide enabled by organic field-effect transistor. Sens. Actuators B Chem. 2016, 222, 1003–1011. [Google Scholar] [CrossRef]
- Wojtas, J.; Mikolajczyk, J.; Bielecki, Z. Aspects of the application of cavity enhanced spectroscopy to nitrogen oxides detection. Sensors 2013, 13, 7570–7598. [Google Scholar] [CrossRef] [PubMed]
- Kuberský, P.; Altšmíd, J.; Hamáček, A.; Nešpůrek, S.; Zmeškal, O. An electrochemical NO2 sensor based on ionic liquid: Influence of the morphology of the polymer electrolyte on sensor sensitivity. Sensors 2015, 15, 28421–28434. [Google Scholar] [CrossRef] [PubMed]
- Wang, X.D.; Wolfbeis, O.S. Fiber-optic chemical sensors and biosensors. Anal. Chem. 2013, 85, 487–508. [Google Scholar] [CrossRef] [PubMed]
- Shao, Y.; Wang, J.; Wu, H.; Jun Liu, J.; Aksay, I.A.; Lin, Y. Graphene Based electrochemical sensors and biosensors: A review. Electroanalysis 2010, 22, 1027–1036. [Google Scholar] [CrossRef]
- Miller, D.R.; Akbar, S.A.; Morris, P.A. Nanoscale metal oxide-based heterojunctions for gas sensing: A review. Sens. Actuators B Chem. 2014, 204, 250–272. [Google Scholar] [CrossRef]
- Ou, J.Z.; Ge, W.; Carey, B.; Daeneke, T.; Rotbart, A.; Shan, W.; Wang, Y.; Fu, Z.; Chrimes, A.F.; Wlodarski, W.; et al. Physisorption-based charge transfer in two-dimensional SnS2 for selective and reversible NO2 gas sensing. ACS Nano 2015, 9, 10313–10323. [Google Scholar] [CrossRef] [PubMed]
- Berean, K.J.; Ou, J.Z.; Daeneke, T.; Carey, B.J.; Nguyen, E.P.; Wang, Y.; Russo, S.P.; Kaner, R.B.; Kalantar-zadeh, K. 2D MoS2 PDMS Nanocomposites for NO2 Separation. Small 2015, 11, 5035–5040. [Google Scholar] [CrossRef] [PubMed]
- Yu, J.; Yu, X.; Zhang, L.; Zeng, H. Ammonia gas sensor based on pentacene organic field-effect transistor. Sens. Actuators B Chem. 2012, 173, 133–138. [Google Scholar] [CrossRef]
- Han, S.; Zhuang, X.; Shi, W.; Yang, X.; Li, L.; Yu, J. Poly (3-hexylthiophene)/polystyrene (P3HT/PS) blends based organic field-effect transistor ammonia gas sensor. Sens. Actuators B Chem. 2016, 225, 10–15. [Google Scholar] [CrossRef]
- Huang, W.; Yu, J.; Yu, X.; Shi, W. Polymer dielectric layer functionality in organic field-effect transistor based ammonia gas sensor. Org. Electron. 2013, 14, 3453–3459. [Google Scholar] [CrossRef]
- Zang, Y.; Huang, D.; Di, C.; Zhu, D. Device engineered organic transistors for flexible sensing applications. Adv. Mater. 2016, 28, 4549–4555. [Google Scholar] [CrossRef] [PubMed]
- Mirza, M.; Wang, J.; Wang, L.; He, J.; Jiang, C. Response enhancement mechanism of NO2 gas sensing in ultrathin pentacene field-effect transistors. Org. Electron. 2015, 24, 96–100. [Google Scholar] [CrossRef]
- Andringa, A.M.; Roelofs, W.S.C.; Sommer, M.; Thelakkat, M.; Kemerink, M.; Leeuw, D.M. Localizing trapped charge carriers in NO2 sensors based on organic field-effect transistors. Appl. Phys. Lett. 2012, 101, 153302. [Google Scholar] [CrossRef]
- Park, J.H.; Royer, J.E.; Chagarov, E.; Kaufman-Osborn, T.; Edmonds, M.; Kent, T.; Lee, S.; Trogler, W.C.; Kummel, A.C. Atomic imaging of the irreversible sensing mechanism of NO2 adsorption on copper phthalocyanine. J. Am. Chem. Soc. 2013, 135, 14600–14609. [Google Scholar] [CrossRef] [PubMed]
- Melville, O.A.; Lessard, B.H.; Bender, T.P. Phthalocyanine-based organic thin-film transistors: A review of recent advances. ACS Appl. Mater. Interfaces 2015, 7, 13105–13118. [Google Scholar] [CrossRef] [PubMed]
- Wang, X.; Ji, S.; Wang, H.; Yan, D. Highly sensitive gas sensor enhanced by tuning the surface potential. Org. Electron. 2011, 12, 2230–2235. [Google Scholar] [CrossRef]
- Ji, S.; Wang, H.; Wang, T.; Yan, D. A High-performance room-temperature NO2 sensor based on an ultrathin heterojunction film. Adv. Mater. 2013, 25, 1755–1760. [Google Scholar] [CrossRef] [PubMed]
- Han, S.; Huang, W.; Shi, W.; Yu, J. Performance improvement of organic field-effect transistor ammonia gas sensor using ZnO/PMMA hybrid as dielectric layer. Sens. Actuators B Chem. 2014, 203, 9–16. [Google Scholar] [CrossRef]
- Afzal, A.; Cioffi, N.; Sabbatini, L.; Torsi, L. NOx sensors based on semiconducting metal oxide nanostructures: Progress and perspectives. Sens. Actuators B Chem. 2012, 171–172, 25–42. [Google Scholar] [CrossRef]
- Fan, F.; Feng, Y.; Bai, S.; Feng, J.; Chen, A.; Li, D. Synthesis and gas sensing properties to NO2 of ZnO nanoparticles. Sens. Actuators B Chem. 2013, 185, 377–382. [Google Scholar] [CrossRef]
- Andringa, A.M.; Piliego, C.; Katsouras, I.; Blom, P.W.M.; Leeuw, D.M. NO2 detection and real-time sensing with field-effect transistors. Chem. Mater. 2014, 26, 773–785. [Google Scholar] [CrossRef]
- Yuan, Z.L.; Yu, J.S.; Wang, N.N.; Jiang, Y.D. A hybrid photodiode with planar heterojunction structure consisting of ZnO nanoparticles and CuPc thin film. Curr. Appl. Phys. 2012, 12, 1278–1282. [Google Scholar] [CrossRef]
- Sun, X.; Liu, Y.; Di, C.A.; Wen, Y.; Guo, Y.; Zhang, L.; Zhao, Y.; Yu, G. Interfacial heterogeneity of surface energy in organic field-effect transistors. Adv. Mater. 2011, 23, 1009–1014. [Google Scholar] [CrossRef] [PubMed]
- Hammock, M.L.; Appleton, A.L.; Schwartz, G.; Mei, J.; Lei, T.; Pei, J.; Bao, Z. Highly stable organic polymer field-effect transistor sensor for selective detection in the marine environment. Nat. Commun. 2014, 5, 2954. [Google Scholar]
- Chen, H.; Dong, S.; Bai, M.; Cheng, N.; Wang, H.; Li, M.; Du, H.; Hu, S.; Yang, Y.; Yang, T.; et al. Solution-processable, low-voltage, and high-performance monolayer field-effect transistors with aqueous stability and high sensitivity. Adv. Mater. 2015, 27, 2113–2120. [Google Scholar] [CrossRef] [PubMed]
- Ye, R.; Baba, M.; Suzuki, K.; Ohishi, Y.; Mori, K. Effects of O2 and H2O on electrical characteristics of pentacene thin film transistors. Thin Solid Films 2004, 464–465, 437–440. [Google Scholar] [CrossRef]
- Aguirre, C.M.; Levesque, P.L.; Paillet, M.; Lapointe, F.; St-Antoine, B.C.; Desjardins, P.; Martel, R. The role of the oxygen/water redox couple in suppressing electron conduction in field-effect transistors. Adv. Mater. 2009, 21, 3087–3091. [Google Scholar] [CrossRef]
- Qu, M.; Li, H.; Liu, R.; Zhang, S.L.; Qiu, Z.J. Interaction of bipolaron with the H2O/O2 redox couple causes current hysteresis in organic thin-film transistors. Nat. Commun. 2014, 5, 3185. [Google Scholar] [CrossRef] [PubMed]
- Bakera, C.; Laminacka, W.; Gole, J.L. Sensitive and selective detection of H2S and application in the presence of toluene, benzene, and xylene. Sens. Actuators B Chem. 2015, 212, 28–34. [Google Scholar] [CrossRef]
- Wang, B.; Huynh, T.; Wu, W.; Hayek, N.; Do, T.T.; Cancilla, J.C.; Torrecilla, J.S.; Nahid, M.M.; Colwell, J.M.; Gazit, O.M.; et al. A highly sensitive diketopyrrolopyrrole-based ambipolar transistor for selective detection and discrimination of xylene isomers. Adv. Mater. 2016, 28, 4012–4018. [Google Scholar] [CrossRef] [PubMed]
- Shaymurat, T.; Tang, Q.; Tong, Y.; Dong, L.; Liu, Y. Gas dielectric transistor of CuPc single crystalline nanowire for SO2 detection down to sub-ppm levels at room temperature. Adv. Mater. 2013, 25, 2269–2273. [Google Scholar] [CrossRef] [PubMed]
- Chaturvedi, S.; Rodriguez, J.A.; Jirsak, T.; Hrbek, J. Surface chemistry of SO2 on Zn and ZnO: Photoemission and molecular orbital studies. J. Phys. Chem. B 1998, 102, 7033–7043. [Google Scholar] [CrossRef]
- Wu, C.M.; Baltrusaitis, J.; Gillan, E.G.; Grassian, V.H. Sulfur dioxide adsorption on ZnO nanoparticles and nanorods. J. Phys. Chem. C 2011, 115, 10164–10172. [Google Scholar] [CrossRef]









© 2016 by the authors; licensee MDPI, Basel, Switzerland. This article is an open access article distributed under the terms and conditions of the Creative Commons Attribution (CC-BY) license (http://creativecommons.org/licenses/by/4.0/).
Share and Cite
Han, S.; Cheng, J.; Fan, H.; Yu, J.; Li, L. Achievement of High-Response Organic Field-Effect Transistor NO2 Sensor by Using the Synergistic Effect of ZnO/PMMA Hybrid Dielectric and CuPc/Pentacene Heterojunction. Sensors 2016, 16, 1763. https://doi.org/10.3390/s16101763
Han S, Cheng J, Fan H, Yu J, Li L. Achievement of High-Response Organic Field-Effect Transistor NO2 Sensor by Using the Synergistic Effect of ZnO/PMMA Hybrid Dielectric and CuPc/Pentacene Heterojunction. Sensors. 2016; 16(10):1763. https://doi.org/10.3390/s16101763
Chicago/Turabian StyleHan, Shijiao, Jiang Cheng, Huidong Fan, Junsheng Yu, and Lu Li. 2016. "Achievement of High-Response Organic Field-Effect Transistor NO2 Sensor by Using the Synergistic Effect of ZnO/PMMA Hybrid Dielectric and CuPc/Pentacene Heterojunction" Sensors 16, no. 10: 1763. https://doi.org/10.3390/s16101763
APA StyleHan, S., Cheng, J., Fan, H., Yu, J., & Li, L. (2016). Achievement of High-Response Organic Field-Effect Transistor NO2 Sensor by Using the Synergistic Effect of ZnO/PMMA Hybrid Dielectric and CuPc/Pentacene Heterojunction. Sensors, 16(10), 1763. https://doi.org/10.3390/s16101763

