In-Situ Cure Monitoring of Wind Turbine Blades by Using Fiber Bragg Grating Sensors and Fresnel Reflection Measurement
Abstract
:1. Introduction
2. Principles

2.1. Fiber Bragg Gratings
2.2. Demodulation of Distorted FBG
3. Optical Layout

4. Experiments and Results
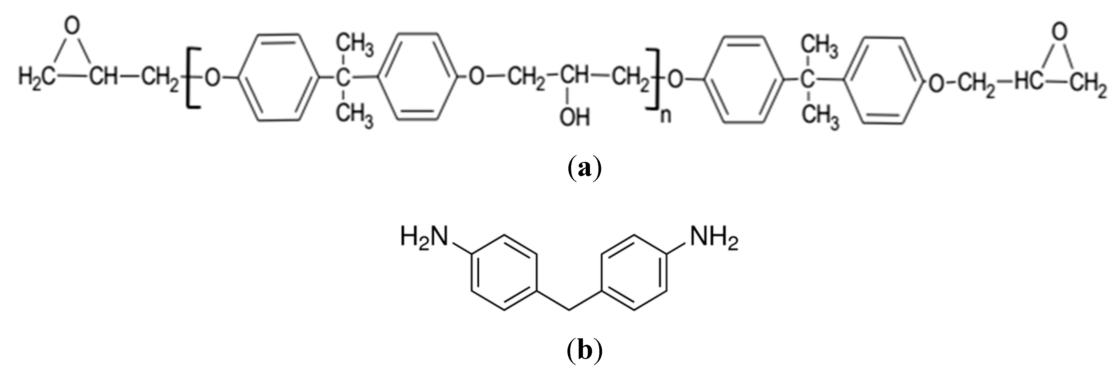
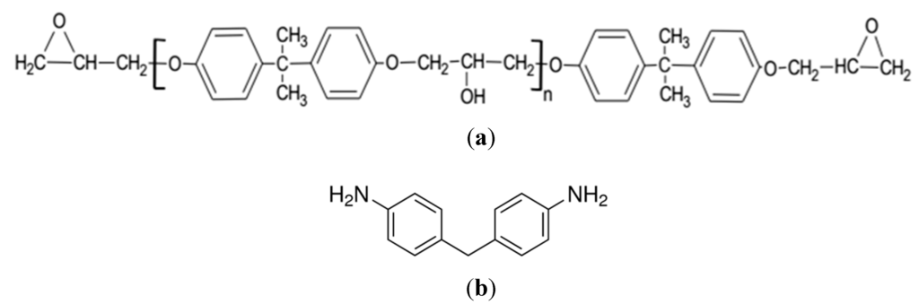
4.1. Sample Preparation

| Curing Agent | DDM |
|---|---|
| Weight of active hydrogen (g.mol−1) | 49.5 |
| Peak Melting point ( °C) | 94 |
| Molecular weight (g.mol−1) | 226 |
4.2. Curing at Room Temperature and Isothermal Test




4.3. Gaussian Curve Fitting


5. Conclusions
Acknowledgments
Author Contributions
Conflicts of Interest
References
- Kenny, J.M.; Apicella, A.; Nicolais, L. A model for the thermal and chemoreological behavior of thermosets: 1. Processing of epoxy based composites. Polym. Eng. Sci. 1989, 29, 973–983. [Google Scholar]
- Mijovic, J.; Kenny, J.; Maffezzoli, A.; Trivisano, A.; Bellucci, F.; Nicolais, L. The principles of dielectric measurements for in situ monitoring of composite processing. Compos. Sci. Technol. 1993, 49, 277–290. [Google Scholar]
- Lyon, R.E.; Chike, K.E.; Angel, S.M. In situ cure monitoring of epoxy resins using fiber-optic Raman spectroscopy. J. Appl. Polym. Sci. 1994, 53, 1805–1812. [Google Scholar] [CrossRef]
- Afromowitz, M.A. Fiber optic polymer cure sensor. Lightwave Technol. J. 1988, 6, 1591–1594. [Google Scholar] [CrossRef]
- Lam, K.Y.; Afromowitz, M.A. Fiber-optic epoxy composite cure sensor. I. Dependence of refractive index of an autocatalytic reaction epoxy system at 850 nm on temperature and extent of cure. Appl. Opt. 1995, 34, 5635–5638. [Google Scholar] [CrossRef] [PubMed]
- Cusano, A.; Breglio, G.; Giordano, M.; Calabro, A.; Cutolo, A.; Nicolais, L. An optoelectronic sensor for cure monitoring in thermoset-based composites. Sens. Actuators. A: Phys. 2000, 84, 270–275. [Google Scholar] [CrossRef]
- Cusano, A.; Cutolo, A.; Giordano, M.; Nicolais, L. Optoelectronic refractive index measurements: Application to smart processing. IEEE Sens. J. 2003, 3, 781–787. [Google Scholar] [CrossRef]
- Leng, J.S.; Asundi, A. Real-time cure monitoring of smart composite materials using extrinsic Fabry-Perot interferometer and fiber Bragg grating sensors. Smart Mater. Struct. 2002, 11, 249–255. [Google Scholar] [CrossRef]
- Murukeshan, V.M.; Chan, P.Y.; Ong, L.S.; Seah, L.K. Cure monitoring of smart composites using Fiber Bragg Grating based embedded sensors. Sens. Actutors A: Phys. 2000, 79, 153–161. [Google Scholar] [CrossRef]
- Lee, H.W.; Park, H.J.; Lee, J.H.; Song, M. Accuracy improvement in peak positioning of spectrally distorted fiber Bragg grating sensors by Gaussian curve fitting. Appl. Opt. 2007, 46, 2205–2208. [Google Scholar] [CrossRef] [PubMed]
- Antonucci, V.; Giordano, M.; Cusano, A.; Nasser, J.; Nicolais, L. Real time monitoring of cure and gelification of a thermoset matrix. Compos. Sci. Technol. 2006, 66, 3273–3280. [Google Scholar] [CrossRef]
- Othonos, A.; Kalli, K. Properties of Fiber Bragg Gratings. In Fiber Bragg Gratings: Fundamentals and Applications in Telecommunications and Sensing; Artech house: Boston, MA, USA, 1999; pp. 98–99. [Google Scholar]
- Park, H.J.; Song, M. Linear FBG temperature sensor interrogation with Fabry-perot ITU multi-wavelength reference. Sensors 2008, 8, 6769–6776. [Google Scholar] [CrossRef]
- Jiang, B.; Zhao, J.; Qin, C.; Huang, Z.; Fan, F. An optimized strain demodulation method based on dynamic double matched fiber Bragg grating filtering. Opt. Lasers Eng. 2011, 49, 415–418. [Google Scholar] [CrossRef]
- Kim, H.; Song, M. A fiber laser spectrometer demodulation of fiber Bragg grating sensors for measurement linearity enhancement. J. Opt. Soc. Korea 2013, 17, 312–316. [Google Scholar] [CrossRef]
- Costa, M.L.; Pardini, L.C.; Rezende, M.C. Influence of aromatic amine hardeners in the cure kinetics of an epoxy resin used in advanced composites. Mater. Res. 2005, 8, 65–70. [Google Scholar] [CrossRef]
- Kim, H.; Char, K. Dielectric changes during the curing of epoxy resin based on the Diglycidyl Ether of Bisphenol A (DGEBA) with diamine. Bull. Korean Chem. Soc. 1999, 20, 1329–1334. [Google Scholar]
© 2015 by the authors; licensee MDPI, Basel, Switzerland. This article is an open access article distributed under the terms and conditions of the Creative Commons Attribution license (http://creativecommons.org/licenses/by/4.0/).
Share and Cite
Sampath, U.; Kim, H.; Kim, D.-g.; Kim, Y.-C.; Song, M. In-Situ Cure Monitoring of Wind Turbine Blades by Using Fiber Bragg Grating Sensors and Fresnel Reflection Measurement. Sensors 2015, 15, 18229-18238. https://doi.org/10.3390/s150818229
Sampath U, Kim H, Kim D-g, Kim Y-C, Song M. In-Situ Cure Monitoring of Wind Turbine Blades by Using Fiber Bragg Grating Sensors and Fresnel Reflection Measurement. Sensors. 2015; 15(8):18229-18238. https://doi.org/10.3390/s150818229
Chicago/Turabian StyleSampath, Umesh, Hyunjin Kim, Dae-gil Kim, Young-Chon Kim, and Minho Song. 2015. "In-Situ Cure Monitoring of Wind Turbine Blades by Using Fiber Bragg Grating Sensors and Fresnel Reflection Measurement" Sensors 15, no. 8: 18229-18238. https://doi.org/10.3390/s150818229
APA StyleSampath, U., Kim, H., Kim, D.-g., Kim, Y.-C., & Song, M. (2015). In-Situ Cure Monitoring of Wind Turbine Blades by Using Fiber Bragg Grating Sensors and Fresnel Reflection Measurement. Sensors, 15(8), 18229-18238. https://doi.org/10.3390/s150818229

