You are currently viewing a new version of our website. To view the old version click .
Diversity
  • Editor’s Choice
  • Article
  • Open Access

26 September 2024

An Ecomorphological Description of Amblyraja radiata (Rajiformes: Rajidae) in Waters of Eastern Canada

,
,
and
1
Department of Fisheries and Oceans Canada, P.O. Box 5667, St. John’s, NL A1C 5X1, Canada
2
Department of Fisheries and Oceans Canada, Northwest Atlantic Fisheries Centre, P.O. Box 5667, St. John’s, NL A1C 5X1, Canada
3
Department of Fisheries and Oceans Canada, 501 University Crescent, Winnipeg, MB R3T 2N6, Canada
*
Author to whom correspondence should be addressed.
This article belongs to the Special Issue Recent Advances in Ecology, Evolution and Biodiversity of the Chondrichthyan Fauna

Abstract

We examine the distribution, habitat association, morphometrics, meristics, and reproductive attributes of Amblyraja radiata over much of its Canadian range, Grand Banks to Arctic waters. It is distributed widely on the shelf and upper slope between 30 and 1288 m, reaching highest density in 100–400 m and occupying most available temperatures, between −1.0 and 8.8 °C, but concentrating in 1.6–3.5 °C. The maximum (and average) size decreases with increasing latitude in a continuum from 102 cm (55 cm) in the south, to 45 cm (20 cm) in the north. The proportion of mature fish increases with depth (40% at 0–50 m to 80% at 1150–1200 m) and temperature (35% at <0 °C to 55% at 5+ °C). The size at maturity decreases south to north; size at onset of maturity in males—43 (south) to 19 (north) cm, in females—49 to 23 cm; length at 50% maturity in males—74 to 44 cm, in females—66 to 40 cm. A. radiata maturity is also reflected in the rapid increase in the size of secondary sexual characteristics. Some meristics were consistent over the entire study area (spines near the spiracles and shoulders) while others varied with latitude (teeth rows, midline spines, spines near the eyes, % dorsal fins joined, spines between dorsal fins) or by fish length/maturity; the tail length/total length as a proportion of total length decreased during Stage 1 then increased at onset of maturity.

1. Introduction

There are 10 currently recognized species of skate within the genus Amblyraja (Rajiformes: Rajidae), three that occur in the North Atlantic: thorny skate A. radiata (Donovan, 1808) [1]; Jensen’s or shorttail skate A. jenseni (Bigelow and Schroeder, 1950) [2] and Arctic or boreal skate A. hyperborea (Collett, 1879) [3], the first two being endemic. Amblyraja radiata, the subject of this study occupying most shelf and upper slope waters from the mid-Atlantic Bight off the USA to the Davis Strait in the Canadian Arctic [4,5,6] whereas its congeners A. jenseni and A. hyperborea are exclusively slope dwelling, the former distributed in the Atlantic Basin, the latter in Arctic waters and parts of the southern hemisphere. [7].
Within our study area, on the Grand Banks, the Northeast Newfoundland and Labrador Shelf, A. radiata comprises about 90% of all skates caught in survey trawls off Newfoundland and Labrador [8,9]. To the north, in the Davis Strait, it is the most abundant skate [6] but is uncommon in Baffin Bay.
Despite its prominence in Canadian waters, knowledge of A. radiata biology is limited. Distribution on parts of the Grand Banks was described by [4,10] and general information on distribution over a wider area off Canada can be found in [9]. Habitat associations, namely with respect to temperature and depth, were previously examined outside of our study area in the Gulf of St. Lawrence and the Gulf of Maine [11,12].
As well, spatial differences in sexual maturity, meristics, and morphometrics were examined over parts of its Canadian range but data for those studies date back 60–80 years [13,14,15,16,17]. More recently, reproductive attributes were examined over a limited portion of the Grand Bank and outside our study area on the Scotian Shelf and in the Gulf of Maine [18,19,20].
The Committee on the Status of Endangered Wildlife in Canada (COSEWIC) evaluated the risk of extinction of A. radiata as “Special Concern” [9] and globally, IUCN listed it as “Vulnerable” [21]. Given these cautionary designations of risk for this prominent species and the spatially limited, mostly historic information available, we undertook to update and extend those earlier studies by examining distribution, spatial patterns in habitat associations, size and maturity, as well as morphometrics and meristics for a significant part of the Northwest Atlantic and Canadian Arctic. Given the variations in some characteristics among areas noted by [15,16,17], we undertook a spatial analysis to elucidate latitudinal variation.
Together, this paper and [7] expand and update the knowledge of the genus Amblyraja from waters off Canada with a comparison to other parts of their global range.

2. Materials and Methods

Bounded by Latitude (Lat) 42°–75.5° and Longitude (Lon) −45°–−80°, an extent of 3700 km south to north, our study area encompasses the Grand Banks, Northeast Newfoundland Shelf, Labrador Shelf, portions of Davis and Hudson Straits, Ungava Bay, and the western side of Baffin Basin (Figure 1).
Figure 1. (A) Study area showing bathymetry plus shelves, banks (Bk), and bays noted in the text. (B) Locations where specimens were collected for analyses in the lab. Color of the points delineate four areas that are used in the spatial analyses: Area A—red, Area B—green, Area C—blue, and Area D—purple. These colors are used in all subsequent graphics to delineate Areas. See description of Areas below.
Given the substantial differences in maximum size of A. radiata by latitude [17], data were grouped into four physically/ecologically different regions in the study area (Figure 1, panel B) to examine spatial differences in habitat associations, meristics, morphometrics, and maturity:
Area A—Southern Grand Banks. The Grand Banks, the largest bank group on the North American continental shelf comprises a relatively flat sandy/muddy plateau with an offshore summit near 60 m on the Southeast Shoal. Proximity to the Gulf Stream causes the southern Grand Banks to be the warmest location within our study area [22].
Area B—Northern Grand Banks. The northern Grand Bank transitions to more complex topography. It is influenced by the cold Labrador current flowing from the north and pooling on the inner shelf such that year-round sub-zero bottom temperatures are found on the inner bank [22]. Although the large plateau constituting the Grand Bank encompasses A and B, the northern part of the bank (B) is deeper with harder and rougher surficial features. A description of the Labrador current can be found in [23].
Area C—Southern NE Newfoundland and Labrador Shelf. This area has a far more complex with deeper topography, a series of smaller banks surrounded by troughs as deep as 450 m. The three largest banks are Funk Island, Belle Isle and Hamilton Banks. The Labrador current flowing from the north influences the shallowest parts of the banks and marginal trough shoreward while the deeper troughs are relatively warmer, influenced by incursion of slope waters.
Area D—Northern NE Newfoundland and Labrador Shelf and Arctic. This northern most location in the study area comprises two components separated by the Davis Strait, the shelf within the northern extent of the Atlantic Basin to the south (Nain and Saglek Banks) and Baffin Bay to the north.Thes two areas are separated by Davis Strait.
A description of the thermal and bathymetric characteristics in the study area can be found in [7] and is examined in this paper in terms of the above-described areas.

2.1. Specimens Collected

A total of 1653 females and 1573 males of A. radiata were collected during 2002–2012 by Fisheries and Oceans Canada (DFO) staff during surveys and by Fishery Observers on commercial fishing vessels from depths between 8 and 1288 m and temperatures of −1.1 to 8.8 °C, covering much of the known depth and temperature range [5] of the species (Figure 1).
In the lab, specimens were defrosted and speciated, as per [24], then examined/dissected using the methods described below:
  • Morphometrics (lengths in cm, weights in kg)
  • Total length (TL): from tip of the snout (rostrum) to tip of the tail.
  • Round weight: total weight of whole, undissected skate.
  • Disc length: from tip of the snout to beginning of tail (axils of pelvic fins).
  • Disc width: from tip of the left pectoral fin to tip of right pectoral fin.
  • Tail length: Disc length subtracted from total length.
 
Note—Generally measured from the center of the cloaca, our measurement of tail length was from the end of the disc (axils of pelvic fins) to tip of the tail.
  • Dorsal fins joined: whether two dorsal fins are joined or separate at their base.
  • Meristics (counts)
  • Spines between dorsal fins: spines located between the first and second dorsal fin.
  • Midline spines on body: median row of spines/thorns from nuchal region to the leading edge of the first dorsal fin base.
  • Midline spines on tail: median row of spines/thorns on tail from axils of pelvic fins to leading edge of the 1st dorsal fin base contiguous with the midline row of disc spines.
  • Spines, eyes: spines located on orbital ring of each eye, averaged.
  • Spines, spiracles: spines near inner edge of each spiracle, averaged.
  • Spines, shoulders: spines on each shoulder behind the spiracles, averaged.
  • Teeth rows: rows of teeth on the upper jaw.
Reproductive attributes were also examined. Maturity was classified into 4 stages for males, 6 for females according to [25], a modification of [26]. We further modified/clarified the maturity classification (clarifications bolded) as follows:
  • Reproductive Stages
  • Stage 1 and 2—See [25] for a full description.
  • Stage 3 (mature male)—Sperm ducts covering 50% to 74% of kidneys.
  • Stage 4 (mature/running male)—Sperm ducts covering ≥ 75% of kidneys.
  • Stage 4 (mature female)—If present, egg cases partially-extruded (i.e., cases 10% to 90% formed) from shell glands.
  • Stage 5 (mature/laying female)—Oviducts developed; walls thick and venous, or stretched by egg cases that have been fully extruded from the shell glands.
  • Stage 6 (mature/resting female)—No eggs in Fallopian tubes, shell glands or oviducts. Oviducts developed; walls thick, venous, and stretched after a period of laying egg cases.
  • Sexual characteristics (lengths are linear in mm, weight in g):
  • Gonad weight: weight of both testes or ovaries.
  • Clasper length: from innermost axil of the right clasper to its tip.
  • Alar spine rows: spines that form rows on the upper surface of each pectoral fin near its tip (maturing and mature males), averaged. Count is number of half rows plus complete rows, not number of spines.
  • Testis weight: average weight of left and right testis.
  • Vas deferens weight: average weight of left and right vas deferens.
  • Ovary weight: average weight of left and right ovary.
  • Shell gland width: average maximum width of the left and right shell (oviducal) gland.
  • Shell gland weight: average weight of left and right shell gland.
  • Uterus weight: average weight of left and right uterus.
  • Number of purses in utero: number of egg cases/purses inside each female.
  • Percent purses formed: percent development of two egg cases/purses extruding/extruded separately from shell glands.
  • Purse width: maximum width of the purse.
  • Purse length without horns: total length of the purse, excluding the horns.
  • Purse length including horns: linear total length of the purse, including horns.
  • Specimen counts for each attribute counted or measured are listed in Table 1.
    Table 1. Specimen counts: morphometric measurements, meristics, and reproductive attributes by female, male, and total by area.
Statistical analyses were used to differentiate counts and relative measures (α = 0.05) between areas and sex. To examine changes in morphometrics and meristics as a function of TL between areas and sexes (i.e., four groups), analysis of covariance (ANCOVA) was employed on the following parameters:
  • Disc length by disc width
  • Disc width/Disc length by TL
  • Tail length/TL by TL
  • Round weight by TL (ln-transformation of raw data)
  • Midline spines (body plus tail)
  • Proportion of total midline spines located on the tail
  • Rows of teeth in the upper jaw

2.2. Surveys and Mapping

DFO, Newfoundland and Labrador Region, conducts annual multispecies demersal surveys on the Grand Banks north to the Labrador Shelf (see Figure 2, south of the red line). A Campelen 1800 shrimp trawl with a 40 mm sized mesh was employed, a gear that effectively captures a wide range of sizes of fish. The random stratified survey method assigns a consistent number of sets within depth/area strata annually and covers a depth range from 32 to 1504 m. This facilitates the use of the count of sets by depth interval to represent the bathymetric environment, likewise for temperature for the thermal environment. An average of 1175 sets were carried out per year, 26,634 sets in total, survey years spanning 1995 to 2017.
Figure 2. Distribution of A. radiata in Canadian Atlantic shelf waters from the Grand Banks to the Arctic based on survey records from 1995 to 2017 south of Lat 61° and 1999–2021 north of Lat 61°. Red denotes areas of highest skate density grading to blue, low density. Black dots depict survey sets where no A. radiata were captured. Red line at Lat 61° shows the division between the DFO NL and Arctic Region surveys.
In addition, DFO (Arctic Region) undertakes two annual stratified random surveys in Baffin Bay, Davis Strait, and Ungava Bay including a single survey in Hudson Strait (Figure 2). One survey uses an Alfredo III trawl with mesh size of 140 mm and a 30-mm mesh-liner in the codend and covers a depth range from 400 m to 1500 m [27]. The other survey employs both a standard and a modified Campelen 1800 shrimp trawl with 12.7 mm codend mesh [28,29]. From 1999 to 2021, an average of 339 sets were conducted per year, 7109 sets in total. Spatial coverage fully overlaps the known distribution of A. radiata.
The basemap used to map distribution and examine spatial relationships for other data incorporated GEBCO layers of bathymetry (https://www.gebco.net/about_us/faq/) accessed on 12 June 2020 and spatial analyses were conducted in QGIS v3.16 (http://qgis.osgeo.org, accessed on 1 January 2024). Survey set locations and numbers of fish captured per standard tow were used to examine the distribution of A. radiata.
The Heatmap function in QGIS 3.16 was used to transform point data, standardized number per tow for each survey set to classified density surfaces, to derive areas of similar density, by placing a circle around each point and averaging the values of all points that fall within the circle, then overlaying the circles. A scanning radius of 0.15 degrees of latitude (about 16 km) was used to ensure that the surface of the resulting heat map was continuous (i.e., no gaps over the surface of the surveyed area) but that the interpolation did not extend too far beyond the survey footprint and thus was able to distinguish areas of different levels of density of fish while maximizing the spatial detail. Bottom depth and temperature recorded with each set were used to examine habitat association.

3. Results

3.1. Distribution and Habitat

Amblyraja radiata occurring in 53% of survey sets in the study area, 73% in 300–500 m, was distributed continuously on the shelf and upper slope from Lat 42.6° on the southern Grand Bank to Lat 75.5° in Baffin Bay. However, individuals were rarely encountered north of Lat 69°; number of skates per set south of Lat 69°, in Davis Strait was 6.9 compared to 0.03 north of that latitude in Baffin Bay. Sub-zero Arctic waters likely acted as a barrier to habitation to the north (refer to Section 4.2 on Habitat).
Areas of highest density of A. radiata were primarily restricted to the outer shelf, the largest concentration found on the southern Grand Bank and St. Pierre Bank, also smaller but equally dense concentrations in the troughs surrounding Nain and Saglek Bank on the Labrador Shelf (Figure 2). The inner (coastal) part of the Grand Bank, inner Labrador Shelf, inner Saglek Bank, Ungava Bay and upper Hudson Strait, the deep Atlantic slope in Davis Strait and north of Lat 68° in Baffin Bay were unoccupied by A. radiata (black dots, Figure 2).
Degree of occurrence (proportion of sets containing skates) and density (mean number/tow) of A. radiata, together reflecting local abundance, differed by area (Figure 3). High density was widespread in A and in D there was a much smaller area of high density in the trough adjoining Nain Bank (Figure 2 and Figure 3). In B and C on the Northeast Newfoundland and Labrador Shelf, A. radiata was widespread but density was low.
Figure 3. Average density (number/tow, black line) and degree of occurrence, (percent of total survey sets containing A. radiata, columns) by area. See definition of areas A, B, C, D in Figure 1.
Bathymetric attributes of the study area were substantially different among areas (Figure 4). Areas A and B were similar, comprising a greater proportion of shallower depths than in C and D; 75% of survey sets in A/B occurred in <300 m, 45% in C/D.
Figure 4. Available environment, cumulative counts of survey sets by depth, and temperature used to describe available bathymetric and thermal environments in Areas A–D. The lines illustrating available environment in this figure are also shown in Figure 5 as dashed lines.
In terms of thermal environment, A was evenly distributed, a 45° line with little curvature (Figure 4) where 37% of survey sets occurred in <1.5 °C, an equal proportion in >3.6 °C. B had a greater proportion of colder temperatures than other areas; 63% of sets were located in <1.5 °C, mainly in the central inner shelf where A. radiata were scarce. In C and D, areas with intermediate temperatures, 2.5–4.5 °C were predominant.
Average temperature and depth occupied by A. radiata in each of A through D were 3.2, 1.7, 2.9, and 2.6 °C and 205, 240, 345, and 330 m, respectively, warmest in A and C, deepest in C and D reflecting the available environment. Depth range occupied by A. radiata was 34 to 1466 m, but encounters were rare at deeper than 1000 m where only 3.4% of survey sets contained skate compared to 61% in <1000 m. A. radiata also occupy a wide spectrum of temperatures from −1.5 to 10 °C, mainly in 0.5 to 4 °C.
In A, the sets with skate closely tracked all the sets at depth, indicating that A. radiata are not selective of depth (Figure 5a). In the other three areas, to varying degrees, A. radiata are more often encountered in shallower available depths, although still occurring over the entire bathymetric spectrum, indicating a limited selection for shallower depths in those areas.
Figure 5. (a) Available bathymetric habitat, cumulative count of survey sets by depth (dashed line), cumulative count of survey sets with A. radiata (solid line) and density defined by survey mean number per tow (histograms), by depth intervals. (b) Available thermal habitat, cumulative count of survey sets by temperature intervals (dashed line), cumulative count of survey sets with A. radiata (solid line) and density (histograms) by temperature intervals. Vertical red lines depict temperatures where density of A. radiata peaked. A, B, C and D refer to the areas defined in Figure 1.
The lines depicting thermal environment and sets containing A. radiata closely matched in all areas indicating that the species generally does not select for colder or warmer conditions (Figure 5b). The greatest difference was found in B and C where A. radiata were less often encountered at <3 °C, although still commonly occupying the entire available thermal spectrum there.
However, high density (survey mean number per tow), reflecting where A. radiata concentrate, varied among areas by depth and temperature (Figure 5, histograms). Highest density in A was located in the shallowest depths decreasing to zero at >900 m. In B and C, density peaked at 300 m and 400 m, respectively, declining to zero at >1100 m. In D, density peaked at 200 m, declining to zero at >850 m.
In terms of thermal association, the highest density of A. radiata peaked at 1.6–3.5 °C, similar in all areas. In A, there was a second peak, at 6.1–7 °C corresponding to the warm southern Grand Bank and in D at −0.4–1.0 °C, the coldest location where it was distributed.

3.2. Size and Maturity

The maximum size of A. radiata decreased with increasing latitude along a continuum, from 102 cm in the south to 45 cm in the north while the average size declined from 55 cm to 20 cm (Figure 6). As well, the average size at first maturity, (onset of Stage 2) decreased from 69 to 40 cm and mature fish, Stage 3–5, from 81 cm to 38 cm, also along a continuum. The remaining analyses of size and maturity are partitioned into areas A–D.
Figure 6. Upper—Maximum and average size of A. radiata by latitude. Lower—Maturity by latitude. Grey Bar—Sampling was not done between Lat. 58 and Lat. 66. See Figure 1 for spatial definition of Areas A–D.
Size composition of A. radiata varies among areas. The maximum size and average size of the largest mode decreased from south, A to north, D (Figure 7, Table 2). Fish in A comprised the widest range of sizes, from 10 cm to 102 cm. The 10 cm fish are neonates [30] and the 10–20 cm fish make up a smaller proportion in A compared to other areas, suggesting lower recruitment in that area. There was little difference in size between males and females in all but the largest mode. Average TL of males was 6 cm smaller than females for the largest mode in A and B, 2 and 3 cm in C and D (Table 2).
Figure 7. Length frequencies of A. radiata by area. Left column is by sex and right column by maturity; Stage 1—juveniles, Stage 2–6—adolescent and mature fish. Red line traces the decreasing size of the largest mode of fish. The dotted black lines (males dotted, females solid) delineate mean size of the largest mode. A, B, C and D refer to the areas defined in Figure 1.
Table 2. Maximum TL, mean of the largest mode, and proportion of A. radiata less than 20 cm.
Average skate size (TL) for each stage of maturity differed significantly among areas except Stage 1 (Figure 8). Stage 1 fish, males and females significantly overlapped in A and B (the Grand Banks) and likewise in C and D (Newfoundland and Labrador Shelf). The greatest increase in size occurred between Stage 1 (immature) and 2 (adolescent) then slowing over adult stages followed by a decline in stage 6 (resting) females. The largest increases occurred further south where fish reach larger sizes.
Figure 8. Average TL of A. radiata for each maturity stage by sex and area. Error bars are 95% confidence intervals. Line labels are average length (cm). A, B, C and D refer to the areas defined in Figure 1.
Length at first maturity, transitioning from Stage 1 to Stage 2, is illustrated by red lines on Figure 9; A in the south (F:49, M:43 cm) to D in the north (F:23, M:19 cm). These differences were greater spatially, south to north than between sexes. The transition to maturity is marked by a rapid increase in gonad weight as a proportion of round weight (RW) in both males and females (Figure 9). During Stage 1, as the fish increased in size, gonad weight as a proportion of RW increased slowly, from 0.1% to 1.5% then accelerated upon reaching Stage 2+, to a maximum of 8% of RW in females and 3.5% in males.
Figure 9. Gonad weight as a percentage of round weight in relation to total length (cm), by area. Size of the expanding circle depicts maturity stage. Smallest circles indicate Stage 1 immature gonads, the largest circles, fully-mature fish (stages 4–6). Each circle may represent more than one fish and a mix of maturity stages. Vertical labeled red lines show onset of Stage 2. A, B, C and D refer to the areas defined in Figure 1.
Similarly, differences in length at 50% maturity were greater among areas than between sexes. Female L50s decreased from 66 to 40 cm south (A) to north (D), males L50s from 75 to 44 cm (Figure 10).
Figure 10. Length at 50% maturity, by sex and area. Red lines in upper two graphs demarcate L50s. for each ogive. Thin lines on each side of each ogive are 95% fiducial limits. A, B, C and D refer to the areas defined in Figure 1.
Maturity Stage 1 skates tended to distribute at slightly shallower (average 219 m) and cooler (average 2.3 °C) waters compared to Stage 2+ fish (267 m and 2.8 °C) although there is substantial overlap in these two groups. Approximately 40% of fish were mature at the shallowest depths, increasing to about 80% at the greatest depths. Furthermore, about 35% of fish were mature at temperatures near zero and 55% in the warmest conditions. This pattern was consistent across all areas. However, fish < 20 cm, approximating young-of-the-year (YOY), were largely intermixed with all other sizes, indicating that there is no separate nursery grounds (Figure 11).
Figure 11. Length frequency of A. radiata ≤ 20 cm and >20 cm by Areas A–D (refer to the areas defined in Figure 1).
Maturity is also reflected in secondary sexual characteristics (Figure 12, Table 3). In males, alar row(s) were absent until gonads transitioned from Stage 1 to Stage 2, closely matching the length at onset of maturity (Figure 8 and Figure 9). They first appeared as a partial row, increasing up to four rows in fully mature fish. Clasper length started to increase soon after hatching, from 3 to 7% of TL during Stage 1, then their growth accelerated with transition to Stage 2, reaching ~25% of TL at full maturity. However, the weight of vas deferens as a proportion of RW decreased from 0.1% in 10 cm fish to 0.001% just before the fish transitioned to Stage 2. The vas deferens relative weight then increases from Stage 2 forward reaching a maximum 0.4% in adult fish. These patterns were consistent across areas and the accelerated growth of the attributes corresponded to size at first maturity.
Figure 12. Male secondary sexual characteristics, count of alar rows on the wings, clasper length in relation to TL, and weight of vas deferens in relation to round weight, by area. Maturity stage is depicted by the size of the bubble and was averaged by cm length grouping. A, B, C and D refer to the areas defined in Figure 1.
Table 3. Summary of secondary sexual characteristic statistics (red lines in Figure 13 and Figure 14). Values to the left of the slash represent reproductive attribute at start of maturity. Values to the right are length of fish at the start of transition from Stage 1 to Stage 2. RW is round weight.
In females, accelerated growth of secondary sexual characteristics commenced with onset of maturity, transition to Stage 2 (Figure 13, Table 3). In some areas, data were limited for smaller sizes of fish but generally, the initial increase in growth for each attribute coincided with the transition from Stage 1 to Stage 2 maturity. The oviducal gland was 1.2% of RW during Stage 1 increasing to as high as 5% in mature individuals. The uterus, much like the vas deferens, initially decreased in relative weight before increasing to 0.5–0.7%. Shell gland width increased to 5–6% of TL as the fish started to mature. Maximum relative width was 10%.
Figure 13. Female secondary sexual characteristics, oviducal gland, and uterus weight as a percent of round weight and shell gland width in relation to TL. Maturity stage is depicted by bubble size. A, B, C and D refer to the areas defined in Figure 1.
Of 37 specimens containing whole or partial egg cases (purses) within the oviducts, 87% had fully formed purses ready for extrusion. Sixteen percent contained one purse indicating that the second purse had recently been released.
Purse dimensions varied linearly with TL (Figure 14). Purse length without horns ranged from a predicted value of 66 mm in 44 cm skates to 86 mm in 95 cm fish. With horns, average purse lengths were 140 mm for 50 cm fish and 200 mm for 77 cm fish. Width ranged from 53 mm in 52 cm fish to 78 mm in 95 cm fish. For the smallest purse pair recorded, 57 and 54 mm length without horns, in a 43 cm fish, the oviducts below the purses were not stretched indicating that this was the first time that this skate produced a purse.
Figure 14. Top three Panels—A. radiata purse dimensions with respect to fish total length. Bottom Panel—Purse length versus purse width, without horns. Two purses, identified as purse 1 and purse 2, were usually contained in the oviducts of each specimen.

3.3. Meristics

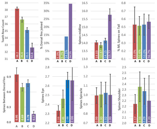
Significant differences in some body part counts were observed among areas; teeth row counts—averaging 38.7 rows in A versus 32.6 in D, % dorsal fins joined—5.1% in A and B versus 34.5% in D, average number of spines between dorsal fins—0.95 in A versus 0.17 in D, midline spines—14.2 in A–C versus 15.8 in D, and eye spines—2.33 in A versus 1.66 in C and D (Figure 15 and Table 4). There was, however, a high degree of overlap in ranges of these counts among areas and the differences formed a latitudinal continuum. The proportion of midline spines on the tail, spines near the spiracles and shoulders, were not significantly different among areas.
Figure 15. Averages of A. radiata meristics by area. Error bars are 95% CIs. A, B, C and D refer to the areas defined in Figure 1.
Table 4. Spine counts, teeth row counts, and other measures in relation to A. radiata total length. p-value in red indicates a significant relationship, increasing or decreasing with TL.
Teeth rows increased from an average count of 35.1 in 10 cm skates to 39.5 at 102 cm, while spines between dorsal fins increased from an average count of 0.64 in 10 cm fish to 1.13 at 102 cm (Table 4). In contrast, eye and shoulder spines decreased with fish size, from 2.65 in 10 cm fish to 2.15 at 102 cm and 2.36 at 10 cm to 2.2 at 102 cm, respectively. All other meristic counts remained stable relative to fish size (slope not significantly different from zero) over all areas. The relationships with TL varied among areas but such small differences while significant were trivial.
As well, larger fish have fewer joined dorsal fins, i.e., 13% joined in fish < 20 cm, 5% for fish > 70 cm. For all specimens > 82 cm, the two fins were not joined (Figure 16).
Figure 16. Percent of dorsal fins that are joined with respect to TL. This attribute was calculated as percent joined by 1 cm grouping.
There was no significant difference in the relationship between TL and round weight among areas and sexes: ANCOVA (F3, 3168) = 0.617, p = 0.604. The log transformed length/weight relationship is as follows: y = 3.1679x − 5.3186, R2 = 0.9892.
The disc length/disc width as a function of total length is significantly different between sexes (F2, 1114) = 17.110, p = 4.80 × 10−8. However, the difference between males and females was trivial (Figure 17). For both males and females, the slope is not significantly different from zero thus the shape of disk (disc with/disc length) did not change with the size of fish, constantly averaging 1.3 (1.082–1.554).
Figure 17. Disc length/disc width with respect to TL.
However, tail length changed relative to TL decreasing during Stage 1 maturity from 48% to 39% as the juvenile fish increased in size (Figure 18). For neonates (<15 cm), the tail was as long as 56% (40–56%) of TL. In Stage 2 fish, relative tail length then started to increase, from 38% to 45%. This pattern of a decrease then increase was observed in all areas and the point of inflection corresponded to the onset of maturity.
Figure 18. Tail length as a proportion of total length. Blue points indicate A. radiata in Stage 1 (immature), red points are Stage 2+ (maturing and mature).

4. Discussion

4.1. Distribution

A. radiata is the most widely distributed species of skate in the North Atlantic Basin occurring nearly continuously from the southern Barents Sea to the British Isles, as far south as Portugal, west to Iceland, Greenland, and includes all waters of eastern Canada and the USA as far south as the mid-Atlantic Bight [9,21,31].
Within our study area, A. radiata is the dominant skate species [4] forming a continuous distribution on the shelf and upper slope as far north of Lat 69°, rarely to Lat 75.5 °C, and dense concentrations occur on the southern Grand Bank and Nain/Saglek Banks off northern Labrador. Thus, it constitutes a key component of the demersal fish ecosystem in Canadian waters of this study, [32,33,34]. South of our study area, it comprises an increasingly less common component, declining in abundance to <10% of skate species off the USA [9,31] but still, a significant part of the complex of species in those areas [12].
It widely overlaps the Canadian fishery footprint [35,36,37] and is the most common elasmobranch bycatch in a wide range of fisheries [21]. On the southern Grand Banks, it is sufficiently abundant and of sufficient size to support a directed commercial fishery [38]. However, its spatial distribution there shifted from the cold inner northern Grand Bank, becoming increasingly hyper-aggregated on the warmer outer Banks in the 1990s [39] (see discussion on Habitat below) or to over-exploitation [9] and has remained static since. A contraction of A. radiata distribution to warmer waters also occurred in the adjacent Gulf of St Lawrence during a similar time frame [11]. Conversely, in USA waters where in some areas water temperatures exceed the upper thermal limit of A. radiata [12], it has undergone a large decline and may have been impacted by warming associated with climate change [40]. In our study area, where thermal conditions are cooler, it is unclear whether temperature is a limiting factor given the species broad thermal profile, although a cooling period in the 1990s appears to have affected their distribution and their abundance [11,39].

4.2. Habitat

A. radiata inhabit a wide range of depths and temperatures hence their widespread occupation of temperate to subarctic waters in the North Atlantic. The 18–1200 m depth range reported for A. radiata [41] corresponds to the 8–1442 m that we observed off Canada. Their shallowest distribution occurs in the North Sea where the mean depth is 90 m [21]. The deepest record, 1504 m, constituted a single specimen off Norway [42].
Within our study area, A. radiata are slightly under-represented in shallower depths north of the Grand Banks while on the Grand Banks, their depth distribution closely matches the available environment, indicating that A. radiata are not depth seekers. They were most densely concentrated in 50–250 m on the southern Grand Bank and this corresponded to depth ranges reported for the southernmost extent of their distribution; 37–108 m on the Scotian Shelf [43] and 18–366 m [3,41] off the USA.
A. radiata are found in all available temperatures in our study area, −1.1–8.8 °C, but with preferences, seeking optimal conditions. South of Lat 55.5°, A. radiata are slightly over-represented in <3.5 °C suggesting possible selection for cooler conditions there while in cooler areas north of Lat 55.5 °C, there is some selection for warmer conditions. In all areas, the density of skates peaked at 1.5–3.5 °C with a second peak at 6–7 °C on the southern Grand Bank and −0.4–1.0 °C off northern Labrador, very different thermal conditions and preferences in those two areas corresponding with significantly different rates of growth and maturity.
At the southern extent of their range, south of our study area, A. radiata occur in a wider range of temperatures, 1.3–14 °C [41] with a preferred temperature range of 4–9 °C for the Gulf of Maine to Cape Hatteras [12]. There, the fish are of similar size to those on the southern Grand Bank. The colder preferred temperature range that we observed in the northern extent of our study area is similar to that reported in the southwestern Barents Sea where A. radiata were found mainly in 0–4.5 °C [44].

4.3. Physical Characteristics

A. radiata exhibits significant spatial variation in physical characteristics, spatial differences that have led to confusion in its taxonomy. Based largely on variation in size, A. radiata was once regarded as two species, one in the Northwest Atlantic, the other in the Northeast Atlantic [45] until they were merged in 1953 [46].
Such diverse structure, maximum size and size at maturity in particular, was first observed 45 years ago within our study area [16,17]. Our results reflect those early findings although we observed a somewhat smaller size at maturity (Table 5). Expanding on that early work, we described a continuum south to north of decreasing maximum size (growth) and size at maturity.
A maximum size of 102 cm on the southern Grand Bank was similar to sizes further south in the Gulf of Maine but larger than that reported for the adjacent Scotian Shelf (Table 5) [16,19,31]. The size on the Newfoundland Shelf, just north of the Grand Bank was similar to that reported in the Barents Sea [44]. The smallest A. radiata in our study area occurred at the northern extent of their distribution on the northern Labrador Shelf and in Arctic waters, with sizes similar to that observed in the much warmer, shallower North Sea (Table 5). Differences in temperature and depth appear not to be the drivers of these large spatial differences in growth and maturity among areas. In the warmest and shallowest parts of its range, the Gulf of Maine [5] compared to the North Sea [47,48], there is a 44 cm difference in maximum size of A. radiata and correspondingly different size at maturity between those two warmest of locations within their global range. Diet may play a role in these size differences. A study on the southern Grand Bank determined that aspect, slope, and rugosity were not relevant to the occurrence of A. radiata; however, snow crab biomass showed a linear relationship with their occurrence, presumably as a key prey item [10]. Their temperature associations were similar to our findings for the Grand Bank.
Table 5. A. radiata maximum total lengths (cm) and size-at-maturity for males (M) and females (F) from our study and from other areas. Size-at-maturity without denotation refers to the smallest maturing specimens (Stage 1 transition to Stage 2), while lengths at 50% maturity are denoted by L50. Note that maturity status may be defined slightly differently among authors.
Table 5. A. radiata maximum total lengths (cm) and size-at-maturity for males (M) and females (F) from our study and from other areas. Size-at-maturity without denotation refers to the smallest maturing specimens (Stage 1 transition to Stage 2), while lengths at 50% maturity are denoted by L50. Note that maturity status may be defined slightly differently among authors.
RegionSize at MaturityMax. Size (cm)Reference
NW Atlantic
Gulf of Maine F:82, M:80 (1st Mat)F:105, M:104[49]
Gulf of MaineF:88, M:88 (L50)F:100, M:100[20]
Gulf of MaineF:98, M:50 (hivar)M:102[50]
E. Scotian ShelfF:53, M:63 (L50)F:85, M:92[19]
Grand BanksF:65–74 (L50), M:68–83F:94, M:104[17]
N. Lab Shelf, Davis Str.F:44–47, M:44–50F:61–63, M:70–72[17]
Current Study
A (S. Grand Banks)F:54, M:60 (L50)F:102, M:102
B (N. Grand Banks)F:57, M:50 (L50)F:85, M:85
C (NE Newfoundland Shelf)F:57, M:43 (L50)F:82, M:82
D (Labrador Shelf Davis Str.)F:39, M:33 (L50)F:42, M:49
NE Atlantic
N IcelandF:44–47, M:44–50F:61–63, M:70–72[17]
North Sea, Skagerrak F:44, M:44 (L50)F:72, M:72[51]
North SeaF:40, M:40 (L50)F:67, M:67[52]
North Sea F:61, M:61[47]
North SeaF:38, M:36 (L50)
F:32, M:30 (1st Mat)
F:49, M:49[53]
Barents Sea F:75, M:75[44]
Note: Grey lines delineate locations of studies.
Although A. radiata are largely indistinguishable in appearance across their range [5], within our study area, we observed small but significant variations in a number of physical attributes in addition to size and size at maturity. The following meristics varied significantly with latitude and also correlated with size of fish; teeth row counts, count of spines between dorsal fins, and spines near the eyes decreased with increasing latitude, while midline spines and percent of dorsal fins joined increased. The two fins were not joined in fish > 82 cm. Although previously reported that A. radiata dorsal fins are separated by a distinct gap but with no intervening thorn [54], we found both joined and separated dorsal fins with 0–5 spines, commonly one spine between them. Meristics that did not vary are the spines on the shoulders, those near the spiracles, and the percent of midline spines on the tail.
In terms of morphometrics, disc shape as reflected by disc length/disc width did not vary with growth or among areas, maintaining a constant ratio of 1.3. However, tail length growth relative to total length was correlated with maturity: tail length as a percent of TL initially decreased in Stage 1 fish, then increased as the fish matured, after transitioning to Stage 2+. A constant ratio of 1–1.1 tail length to TL reported by [24] did not account for these changes with size and maturity.
The spatially progressive morphological diversification in A. radiata is related to their relative spatial stability, limited distance mixing consistent with a largely sessile state, and this results in progressive reproductive isolation within their range. Although some studies report limited seasonal movements [12,55,56,57,58], those movements are short, seasonal shallow/deep, the fish generally returning to similar locations. The maximum travelling distance of individuals rarely exceeded 100 km [14] and our study area extends over 3700 km. Thus, movement of individuals is much smaller than the overall distribution, and this has resulted in progressive phylogenetic differentiation. Also while largely overlapping, we also observed a partial separation of immature and mature fish by depth and temperature suggesting limited inshore/offshore movement in our study area. This pattern is very different from what we observed for its sibling, A. hyperborea where fish < 20 cm, YOY, in depths < 900 m are largely spatially separate from older fish that inhabit deeper waters [7].

5. Conclusions

Inhabiting a wide range of bathymetric and thermal conditions, A. radiata form a continuous distribution on the shelf and upper slope of the temperate to boreal regions of the North Atlantic. However, contrasting thermal conditions within its global distribution do not correlate with fish size or size at maturity as the smallest size distribution of A. radiata occurs in both the warmest, shallowest locations in the North Sea and in the coldest and much deeper Canadian Arctic. It is a plastic species exhibiting remarkable morphometric variation in a continuum along its distribution: the maximum size of fish decreases linearly from Davis Strait/northern Labrador Sea where they are about half the size of the fish on the Grand Bank to the south. Correspondingly, size at maturity decreases northward, and as well, although the differences are small, there are clines in counts of some spines and in upper jaw teeth rows. In addition, the species exhibits morphometric change in relation to fish size. In Stage I of maturity, tail length in relation to TL decreases as the fish grow then reverses, increasing during Stage 2+. However, the shape of the disc (length vs. width) remains constant.
Despite this spatial morphological variation, population genetic structure based on mtDNA samples from Newfoundland (our study area) and northeast Atlantic locations (Iceland, Norway, and the North Sea) indicated no significant genetic differentiation at the species level [59]. However, microsatellite analyses suggested some population structuring, the Northwest Atlantic (samples taken from our areas A, B, and C) being significantly differentiated from the Northeast Atlantic but with a close relationship to western Greenland [60]. However, the mtDNA study indicated no genetic differentiation within our study area, despite the substantial morphological variation that we observed. Given the ability of A. radiata to travel short distances, this likely results in limited distance gene flow leading to the progressive phenotypic divergence within a continuum in our study area. Based on the various studies, A. radiata is a morphologically diverse but genetically similar species and may be in initial stages of adaptive radiation. Furthermore, for many marine species, including A. radiata, it has been difficult to detect geographic structure in the distribution of genetic markers [61]. Genetic analyses with rapidly evolving markers might provide a better phylogenetic picture of diversification in A. radiata.

Author Contributions

Conceptualization, D.W.K. and C.M.M.; methodology, D.W.K., C.M.M. and S.A.; validation, D.W.K., C.M.M. and S.A.; formal analysis, D.W.K. and S.A.; investigation, C.M.M. and D.W.K.; resources, Fisheries and Oceans Canada; data curation, C.M.M. and D.W.K.; writing—original draft preparation, D.W.K.; writing—review and editing, D.W.K., C.M.M., M.R.S. and S.A.; visualization, D.W.K.; supervision, D.W.K. and M.R.S.; project administration, D.W.K., C.M.M. and M.R.S.; funding acquisition, D.W.K. All authors have read and agreed to the published version of the manuscript.

Funding

This research received no external funding.

Institutional Review Board Statement

Ethical review and approval were waived for this study since it dealt only with frozen specimens.

Data Availability Statement

Annual Fisheries and Oceans Canada survey data were used for these analyses. Open Fisheries and Oceans data are available at https://open.canada.ca/data/organization/dfo-mpo?collection=fgp&topic_category=oceans&fgp_viewer=map_view&res_type=web_service&keywords=Fish&_keywords_limit=0&_res_type_limit=0&page=1 (accessed on 11 September 2024).

Acknowledgments

The authors wish to thank Fisheries and Oceans Canada staff who participated in Canadian research surveys and Canadian Fisheries Observers who collected specimens and data onboard commercial vessels over many years. We are also grateful to Trevor Maddigan, Chris Holloway, Frank Dawson Jr., Jennifer Mercer, Lindsay Simms, Dennis Rice, Barry MacDonald, and the late Dave Sears for conducting meticulous specimen dissections and data recordings in the lab.

Conflicts of Interest

The authors declare that they have no conflicts of interest.

References

  1. Donovan, E. The Natural History of British Fishes, Including Scientific and General Descriptions of the Most Interesting Species, and an Extensive Selection of Accurately Finished Coloured Plates. 1808. Available online: https://www.biodiversitylibrary.org/bibliography/124925 (accessed on 1 January 2024).
  2. Collett, R. Fiske fra Nordhavs-Expeditionens sidste Togt, Sommeren 1878. Forhandlinger i Videnskabs–selskabet i. Christiania 1878, 14, 1–106. [Google Scholar]
  3. Bigelow, H.B.; Schroeder, W.C. New and little known cartilaginous fishes from the Atlantic. Bull. Mus. Comp. Zool. 1950, 103, 385–408. [Google Scholar]
  4. Kulka, D.W.; Miri, C.M.; Simpson, M.R. An assessment of thorny skate (Amblyraja radiata Donovan 1808) on the Grand Banks of Newfoundland. NAFO Sci. Coun. Res. Doc. 2007, 33, 1–34. [Google Scholar]
  5. Last, P.R.; Séret, B.; Stehmann, M.F.W.; Weigmann, S. Skates, Family Rajidae. In Rays of the World; Last, P.R., White, W.T., de Carvalho, M.R., Séret, B., Stehmann, M.F.W., Naylor, G.J.P., Eds.; Foreword by J.D. McEachran; Cornell University Press: Ithaca, NY, USA, 2016; pp. 204–363. [Google Scholar]
  6. Alphonso, N.R.; Coad, B.W.; Sawatsky, C.D.; Reist, J.A. Distributional records of marine fishes of Arctic Canada. Can. Data Rpt. Fish. Aquat. Sci. 2018, 1287, 1–319. [Google Scholar]
  7. Kulka, D.W.; Miri, C.M.; Atchison, S.; Simpson, M.R. Sibling Species Amblyraja hyperborea and A. jenseni in Slope Waters of Eastern Canada: An Ecomorphological Description. Diversity 2024, 16, 479. [Google Scholar] [CrossRef]
  8. Kulka, D.W.; Mowbray, F.K. An overview of the Grand Banks skate fishery. In Case studies in the Management of Elasmobranch Fisheries; Shotton, R., Ed.; FAO Fisheries Technical Paper; FAO: Rome, Italy, 1999; Volume 378, pp. 47–73. [Google Scholar]
  9. COSEWIC. Assessment and Status Report on the Thorny Skate Amblyraja radiata in Canada; Committee on the Status of Endangered Wildlife in Canada: Ottawa, ON, Canada, 2012; pp. ix–75. [Google Scholar]
  10. Pennino, M.; Guijarro-García, E.; Vilela, R.R.; del Río, J.L.; Bellido, J.M. Modeling the distribution of thorny skate (Amblyraja radiata) in the Southern Grand Banks (Newfoundland, Canada). Can. J. Fish. Aquat. Sci. 2019, 76, 1–31. [Google Scholar] [CrossRef]
  11. Swain, D.P.; Benoît, H.P. Change in habitat associations and geographic distribution of thorny skate (Amblyraja radiata) in the southern Gulf of St Lawrence: Density-dependent habitat selection or response to environmental change? Fish. Oceanogr. 2006, 15, 166–182. [Google Scholar] [CrossRef]
  12. Packer, D.B.; Zetlin, C.A.; Vitaliano, J.J. Essential Fish Habitat Source Document: Thorny Skate, Amblyraja radiata, Life History and Habitat Characteristics. NOAA Technical Memorandum; 2003; NMFS-NE-178. Available online: https://repository.library.noaa.gov/view/noaa/3335/ (accessed on 1 January 2007).
  13. Templeman, W. Development, occurrence, and characteristics of egg capsules of thorny skate, Raja radiata, in the Northwest Atlantic. J. Northwest Atl. Fish. Sci. 1982, 3, 47–56. [Google Scholar] [CrossRef]
  14. Templeman, W. Migrations of thorny skate, Raja radiata, tagged in the Newfoundland area. J. Northwest Atl. Fish. Sci. 1984, 5, 55–64. [Google Scholar] [CrossRef]
  15. Templeman, W. Variations in numbers of median dorsal thorns and rows of teeth in thorny skate (Raja radiata) of the Northwest Atlantic. J. Northwest Atl. Fish. Sci. 1984, 5, 171–180. [Google Scholar] [CrossRef]
  16. Templeman, W. Length-weight relationships, morphometric characteristics and thorniness of thorny skate (Raja radiata) from the Northwest Atlantic. J. Northwest Atl. Fish. Sci. 1987, 7, 89–98. [Google Scholar] [CrossRef]
  17. Templeman, W. Differences in sexual maturity and related characteristics between populations of thorny skate (Raja radiata) in the Northwest Atlantic. J. Northwest Atl. Fish. Sci. 1987, 7, 155–168. [Google Scholar] [CrossRef]
  18. del Río, J.L. Some aspects of the thorny skate, Amblyraja radiata, reproductive biology in NAFO Division 3N. NAFO Sci. Coun. Res. Doc. 2002, 2, 1–14. [Google Scholar]
  19. McPhie, R.P.; Campana, S.E. Reproductive characteristics and population decline of four species of skate (Rajidae) off the eastern coast of Canada. J. Fish Biol. 2009, 75, 223–246. [Google Scholar] [CrossRef]
  20. Sulikowski, J.A.; Kneebone, J.S.; Elzey, S.; Jurek, J.; Howell, W.H.; Tsang, P.C.W. Using the composite variables of reproductive morphology, histology and steroid hormones to determine age and size at sexual maturity for the thorny skate Amblyraja radiata in the western Gulf of Maine. J. Fish Biol. 2006, 69, 1445–1469. [Google Scholar] [CrossRef]
  21. Kulka, D.W.; Ellis, J.; Anderson, B.; Cotton, C.F.; Derrick, D.; Pacoureau, N.; Dulvy, N.K. Amblyraja radiata. The IUCN Red List of Threatened Species 2020, e.T161542A124503504. Available online: https://www.iucnredlist.org/species/161542/124503504 (accessed on 1 January 2024). [CrossRef]
  22. Colbourne, E.B.; Kulka, D.W. A Preliminary Investigation of the Effects of Ocean Climate Variations on the Spring Distribution and Abundance of Thorny Skate (Amblyraja radiata) in NAFO Divisions 3LNO and Subdivision 3Ps. NAFO Sci. Coun. Res. Doc. 2004, 29, 1–21. [Google Scholar]
  23. Jutras, M.; Dufour, C.O.; Mucci, A.; Talbot, L.C. Large-scale control of the retroflection of the Labrador Current. Nat. Commun. 2023, 14, 7853. [Google Scholar] [CrossRef]
  24. Stehmann, M.; Bürkel, D.L. Rajidae. In Fishes of the North-Eastern Atlantic and Mediterranean; Whitehead, P.J.P., Bauchot, M.-L., Hureau, J.-C., Nielsen, J., Tortonese, E., Eds.; UNESCO: Paris, France, 1984; Volume 1, pp. 163–196. [Google Scholar]
  25. Gallagher, M.; Nolan, C.P.; Jeal, F. Age, Growth and Maturity of the Commercial Ray Species from the Irish Sea. J. Northwest Atl. Fish. Sci. 2005, 35, 47–66. [Google Scholar] [CrossRef]
  26. Stehmann, M. Quick and dirty tabulation of stomach contents and maturity stages for skates (Rajidae), squaloid and other ovoviviparous and viviparous species of shark. Amer. Elasmo. Soc. Newsl. 1987, 3, 5–9. [Google Scholar]
  27. Treble, M.A. Report on Greenland halibut caught during the 2019 trawl survey in Division 0A. NAFO Sci. Coun. Res. Doc. 2020, 7, 1–27. [Google Scholar]
  28. Siferd, T.D.; Legge, G. Modifications to the Campelen 1800 Shrimp Survey Trawl. DFO Can. Sci. Advis. Sec. Res. Doc. 2014, 24, 1–38. [Google Scholar]
  29. DFO. Assessment of Northern Shrimp, Pandalus borealis, and Striped Shrimp, Pandalus montagui, in the Eastern and Western Assessment Zones. DFO Can. Sci. Advis. Sec. Sci. Advis. Rep. 2019, 11, 1–24. [Google Scholar]
  30. Berestovskii, E.G. Reproductive biology of skates of the family Rajidae in the seas of the far north. J. Ichthyol. 1994, 34, 26–37. [Google Scholar]
  31. Anon. Status Review Report: Thorny Skate (Amblyraja radiata). National Oceanic and Atmospheric Administration (NOAA). Nat. Mar. Fish. Serv. Rep. 2017, 1–60. Available online: https://repository.library.noaa.gov/view/noaa/17708/noaa_17708_DS1.pdf (accessed on 1 January 2024).
  32. Gomes, M.C.; Haedrich, R.L.; Rice, J.C. Biogeography of Groundfish Assemblages on the Grand Bank. J. Northwest Atl. Fish. Sci. 1992, 14, 13–27. [Google Scholar] [CrossRef]
  33. Nogueira, A.; Paz, X.; Gonzalez-Troncoso, D. Changes in the exploited demersal fish assemblages in the Southern Grand Banks (NAFO Divisions 3NO): 2002–2013. ICES J. Mar. Sci. 2015, 72, 753–770. [Google Scholar] [CrossRef][Green Version]
  34. COSEWIC. Assessment and Status Report on the Winter Skate Leucoraja ocellata in Canada; Committee on the Status of Endangered Wildlife in Canada: Ottawa, ON, Canada, 2005; pp. vii + 41. [Google Scholar]
  35. Rozalska, K.; Coffen-Smout, S. Maritimes Region Fisheries Atlas: Catch Weight Landings Mapping (2014–2018)—Maritimes Region Fisheries Atlas: Catch Weight Landings Mapping (2014–2018) on a Hexagon Grid. Can. Tech. Rep. Fish. Aquat. Sci. 2020, 3373, 28. [Google Scholar]
  36. Kulka, D.W.; Pitcher, D.A. Spatial and Temporal Patterns in Trawling Activity in the Canadian Atlantic and Pacific; Fisheries and Oceans Canada: St. John’s, NL, USA, 2001; pp. 1–57. [Google Scholar]
  37. Simms, J.; Coates, C.; Coughlan, G.; Mercer, D. The Grand Banks of Newfoundland: Atlas of Human Activities. Oceans Division, Ecosystems Management Branch, Fisheries and Oceans Canada (Newfoundland and Labrador Region); 007-1238. ISBN 0-662-69160-1. Available online: https://www.dfo-mpo.gc.ca/oceans/publications/nfld-atlas-tnl/page01-eng.html (accessed on 1 January 2024).
  38. Sosebee, K.A.; Simpson, M.R.; Miri, C.M. Assessment of thorny skate (Amblyraja radiata Donovan, 1808) in NAFO Divisions 3LNO and Subdivision 3Ps. NAFO Sci. Coun. Res. Doc. 2022, 26, 1–32. [Google Scholar]
  39. Kulka, D.W.; Miri, C.M.; Simpson, M.R. Thorny skate (Amblyraja radiata Donovan, 1808) on the Grand Banks of Newfoundland. NAFO Sci. Coun. Res. Doc. 2004, 4, 35. [Google Scholar]
  40. Grieve, B.D.; Hare, J.A.; McElroy, W.D. Modeling the impacts of climate change on thorny skate (Amblyraja radiata) on the Northeast US shelf using trawl and longline surveys. Fish. Oceanogr. 2020, 30, 300–314. [Google Scholar] [CrossRef]
  41. McEachran, J.D.; Musick, J.A. Distribution and relative abundance of seven species of skates (Pisces: Rajidae) which occur between Nova Scotia and Cape Hatteras. Fish. Bull. 1975, 73, 110–136. [Google Scholar]
  42. Stehmann, M.; Parin, N.V. Deepest capture of a thorny skate. Raja radiata from the Northeastern region of the Norwegian Sea. J. Ichthyol. 1994, 34, 143–148. [Google Scholar]
  43. Scott, W.B.; Scott, M.G. Atlantic Fishes of Canada. Can. Bull. Fish. Aquat. Sci. 1988, 219, 1–731. [Google Scholar]
  44. Dolgov, A.V.; Drevetnyak, K.V.; Gusev, E.V. The status of skate stocks in the Barents Sea. J. Northwest Atl. Fish. Sci. 2005, 35, 249–260. [Google Scholar] [CrossRef]
  45. Garman, S. The Plagostomia (Sharks, Skates and Rays); Harvard University, Museum of Comparative Zoology: Cambridge, MA, USA, 1913. [Google Scholar]
  46. Bigelow, H.B.; Schroeder, W.C. Fishes of the Gulf of Maine. Fish. Bull. 1953, 53, 1–577. [Google Scholar]
  47. Ellis, J.R.; Dulvy, N.K.; Jennings, S.; Parker-Humphreys, M.; Rogers, S.I. Assessing the status of demersal elasmobranchs in UK waters: A review. J. Mar. Biol. Assoc. 2005, 85, 1025–1047. [Google Scholar] [CrossRef]
  48. Sulikowski, J.A.; Kneebone, J.S.; Elzey, S.; Jurek, J.; Danley, P.D.; Howell, W.H.; Tsang, P.C.W. The reproductive cycle of the thorny skate (Amblyraja radiata) in the western Gulf of Maine. Fish. Bull. 2005, 103, 536–543. [Google Scholar]
  49. González-Pola, C.; Larsen, K.M.H.; Fratantoni, P.; Beszczynska-Möller, A. (Eds.) International Council for the Exploration of the Sea Report on ocean climate 2020. ICES Coop. Res. Rep. 2022, 356, 1–121. [Google Scholar] [CrossRef]
  50. Sosebee, K.A. Maturity of Skates in Northeast United States Waters. J. Northwest Atl. Fish. Sci. 2005, 35, 141–153. [Google Scholar] [CrossRef]
  51. Skjæraasen, J.E.; Bergstad, O.A. Distribution and feeding ecology of Raja radiata in the northeastern North Sea and Skagerrak (Norwegian Deep). ICES J. Mar. Sci. 2000, 57, 1249–1260. [Google Scholar] [CrossRef]
  52. Walker, P.A. Fleeting images: Dynamics of North Sea Ray Populations. Ph.D. Thesis, University of Amsterdam, Amsterdam, The Netherlands, 1998; p. 145. [Google Scholar]
  53. McCully, S.R.; Scott, F.; Ellis, J.R. Lengths at maturity and conversion factors for skates (Rajidae) around the British Isles, with an analysis of data in the literature. ICES J. Mar. Sci. 2012, 69, 1812–1822. [Google Scholar] [CrossRef]
  54. Sulak, K.J.; MacWhirter, P.D.; Luke, K.E.; Norem, A.D.; Miller, J.M.; Cooper, J.A.; Harris, L.E. Identification guide to skates (Family Rajidae) of the Canadian Atlantic and adjacent regions. Can. Tech. Rep. Fish. Aquat. Sci. 2009, 2850, 34. [Google Scholar]
  55. Kneebone, J.; Sulikowski, J.; Knotek, R.; McElroy, W.D.; Gervelis, B.; Curtis, T.; Jurek, J.; Mandelman, J. Using conventional and pop up satellite transmitting tags to assess the horizontal movements and habitat use of thorny skate (Amblyraja radiata) in the Gulf of Maine. ICES J. Mar. Sci. 2020, 77, 2790–2803. [Google Scholar] [CrossRef]
  56. Walker, P.A.; Howlett, G.; Millner, R. Distribution, movement and stock structure of three ray species in the North Sea and Eastern English Channel. ICES J. Mar. Sci. 1997, 54, 797–808. [Google Scholar] [CrossRef]
  57. Dulvy, N.K.; Metcalfe, J.D.; Glanville, J.; Pawson, M.G.; Reynolds, J.D. Fishery stability, local extinctions, and shifts in community structure in skates. Conserv. Biol. 2000, 14, 283–293. [Google Scholar] [CrossRef]
  58. Heessen, H.J.L.E. Development of Elasmobranchs Assessment, DELASS; DG Fish Study Contract 99/055; Final Report; 2004; pp. 1–605. [Google Scholar]
  59. Chevolot, M.; Wolfs, P.H.J.; Pálsson, J.; Rijnsdorp, A.D.; Stam, W.T.; Olsen, J.L. Population structure and historical demography of the thorny skate (Amblyraja radiata, Rajidae) in the North Atlantic. Mar. Biol. 2007, 151, 1275–1286. [Google Scholar] [CrossRef]
  60. Lynghammer, A.; Præbel, K.; Bhat, A.; Fevolden, S.E.; Christiansen, J.S. Widespread physical mixing of starry ray differentiated populations and life histories in the North Atlantic. Mar. Ecol. Prog. Ser. 2016, 562, 123–134. [Google Scholar] [CrossRef]
  61. Neigel, J. Analysis of rapidly evolving molecules and DNA sequence variants: Alternative approaches for detecting genetic structure in marine populations. ColCOFI Rep. 1994, 35, 82–89. [Google Scholar]
Disclaimer/Publisher’s Note: The statements, opinions and data contained in all publications are solely those of the individual author(s) and contributor(s) and not of MDPI and/or the editor(s). MDPI and/or the editor(s) disclaim responsibility for any injury to people or property resulting from any ideas, methods, instructions or products referred to in the content.

Article Metrics

Citations

Article Access Statistics

Multiple requests from the same IP address are counted as one view.