Next Article in Journal
Colonization in Artificial Seaweed Substrates: Two Locations, One Year
Next Article in Special Issue
Community Richness and Diversity of Endophytic Fungi Associated with the Orchid Guarianthe skinneri Infested with “Black Blotch” in the Soconusco Region, Chiapas, Mexico
Previous Article in Journal
Spatial Ecology of Reddish-Brown Cuxiú Monkeys (Chiropotes sagulatus, Pitheciidae) in an Isolated Forest Remnant: Movement Patterns and Edge Effects
Previous Article in Special Issue
Vanilla planifolia Andrews (Orchidaceae): Labellum Variation and Potential Distribution in Hidalgo, Mexico
 
 
Font Type:
Arial Georgia Verdana
Font Size:
Aa Aa Aa
Line Spacing:
Column Width:
Background:
Article

In Vitro Seed Germination and Seedling Development of Dracula felix (Luer) Luer—An Orchid Native to Ecuador

by
Paulina H. Quijia-Lamiña
1,2,3,*,†,
Luis E. Baquero
3,4,
Michael E. Kane
1 and
Lawrence W. Zettler
5
1
Environmental Horticulture Department, University of Florida, 2550 Hull Road, Gainesville, FL 32611, USA
2
Instituto Nacional de Biodiversidad, 341 Rumipamba Passage, Quito 170506, Ecuador
3
Grupo Científico Calaway Dodson, Research and Conservation of Orchids from Ecuador, Quito 170503, Ecuador
4
Facultad de Ingeniería y Ciencias Agropecuarias, Carrera de Ingeniería Industrial y Alimentos, Universidad de las Américas, Via a Nayón, Quito 170124, Ecuador
5
Department of Biology, Illinois College, 1101 West College Avenue, Jacksonville, IL 62650, USA
*
Author to whom correspondence should be addressed.
Current address: Department of Microbiology and Plant Pathology, University of California, Riverside, 3401 Walkins Drive, Riverside, CA 92521, USA.
Diversity 2023, 15(6), 732; https://doi.org/10.3390/d15060732
Submission received: 18 April 2023 / Revised: 23 May 2023 / Accepted: 29 May 2023 / Published: 2 June 2023
(This article belongs to the Special Issue Orchid Conservation and Associated Fungal Diversity)

Abstract

Effects of daily temperature fluctuations that mimic on-site environmental conditions were tested on seed germination and development in Dracula felix, a native epiphytic orchid from the neotropics. Mature seeds collected from a native population lost their viability from 60% to 37.78% and 0% after 8 and 16 weeks., respectively, under 22 ± 2 °C. Seed viability was completely lost when seeds were maintained at −10 °C in the dark. Less than 50% germination was observed in D. felix seed across all treatments. Seed germinated regardless of the light or temperature treatment. However, significant improvement in germination was observed at 17/22 °C compared to constant temperature treatments. Early seedling development stages were observed only on 1/2XMS and VW media at 17 °C or 17 °C/22 °C under a 12 h light photoperiod. Neither germination nor seedling development were improved by any fungal strain tested using standard symbiotic germination protocols. Information obtained from this study is critical to ensure the ex-situ conservation of this and other rare Dracula species under current and future climate change scenarios.

1. Introduction

The tropical Andes is considered the largest plant biodiversity hotspot in the world [1,2]. The Orchidaceae significantly contributes to the diverse species comprising the Andean Flora [3], especially epiphytes [4]. In Ecuador, one of the smallest countries in South America, orchids represent the most diverse plant family with 228 genera and more than 4200 species from which 60% are epiphytic [5,6]. The species richness within this area has been attributed to environmental, climatological, and geographical factors [5,7,8].
The high diversity and distribution of orchids in Ecuador and worldwide can be also explained by complex relationships of orchids with their pollinators, mycorrhizal fungal associates, and host trees in the case of epiphytes [9,10,11,12,13]. Most orchids produce extremely small ‘dust-like’ seeds with undeveloped embryos containing limited nutrients and carbohydrate reserves [14]. Consequently, these embryos depend on the establishment of mycorrhizal associations for required nutrients during germination and early seedling developmental stages [15,16]. Adult plants may maintain their initial fungal associations, form new ones, or they may abandon their fungal associates altogether relying entirely on photosynthesis as a source of carbon [13,16].
The degree of specificity for their mycorrhizal associate(s) throughout their life varies depending on the orchid species. Common or generalist species usually associate with a great diversity of fungal species [12]. Other orchid species appear to be specialists relying on a specific fungus or a narrow fungal grouping [12]. Rare orchids often have a distribution restricted to unique habitats and rely on specific pollinators [12]. Orchid rarity has not been related to mycobiont specificity as they can associate with a narrow or wide group of mycobionts [17].
Until recently, little was known about the identity and diversity of mycorrhizal fungi in orchids native to Ecuador. Novotná et al. [18] documented high fungal diversity in roots of epiphytic species from southern Ecuador. Similarly, Herrera et al. [19] reported considerable diversity among mycorrhizal associates assignable to one family (Tulasnellaceae) among common and rare orchid species alike. While documenting these mycorrhizal fungi is of considerable interest and importance, safeguarding these fungal associates in cryopreservation should also be carried out to ensure that the fungi critical to seed germination processes are available for long-term conservation projects (e.g., symbiotic germination). Considering that orchid habitats are under siege in Ecuador and throughout the world, the distinct possibility exists that some mycorrhizal associates will no longer persist in situ unless appropriate steps are taken to conserve these important biotic agents. For rare orchids, in particular, the absence or elimination of the primary fungal associates needed to spawn spontaneous seedlings may make their long-term conservation more challenging [12,13]. This would place an additional burden on conservationists to seek other methods aimed at recovery through artificial propagation (e.g., asymbiotic germination)
Dracula is a genus found in the Cloud Forest region of the tropical Andes in Colombia, Ecuador, and Peru extending north into Mexico [20]. It belongs to the most diverse subtribe of orchids from the Neotropics, Pleurothallidinae, which contains 15–20% of the species in the Orchidaceae [20,21]. Dracula species are epiphytes with the greatest diversity found in the Andean wet forest of Colombia and Ecuador [20]. More than 45 Dracula species have been reported to occur in Ecuador alone [5]. The distribution of Dracula species has shown very high frequencies of endemism with some restricted to three or fewer locations [22]. Dracula felix (Luer) Luer, the subject of this study, is a native epiphytic herb occurring in the montane primary cloud forests of the tropical Andes from Southwest Colombia to Central Ecuador [23,24]. It produces massive numbers of small cup-shaped flowers that last up to 10 days (Figure 1) and require insect pollination for seed set [24,25]. The labellum, as in other Dracula species, is quite unique in that it has a distal, expanded concave segment that mimics the gills of an inverted mushroom [23]. Attracted by the labellum shape and some mushroom fragrance compounds, tiny flies (Family Drosophilidae) visit and likely pollinate the flowers [23,24,25].
To the best of our knowledge, there is no published information regarding fungal isolation from Dracula species growing in their native populations, and no information on this species’ propagation from seed. However, a fungus isolated from a mature D. felix plant growing ex situ was used to test its ability to improve germination of six orchid species from the subtribe Pleurothallidinae. The putative fungal symbiont, which was not identified, supported significantly higher germination percentages than asymbiotically geminated seed; however, seedling development was not observed [26].
Effects of light, temperature and nutrient availability on seed germination and seedling development have been reported for many orchid species [27]. Responses to these environmental factors vary between orchid species. Light has been reported to inhibit germination in terrestrial [15] and epiphytic orchids [28]. Constant temperatures usually have been selected for in vitro seed germination in epiphytes. However, this is not a condition typically encountered in nature. Therefore, alternating temperature regimes that simulate natural habitat condition should be tested to obtain a better understanding of the developmental responses to this factor [29].
Despite the large number of orchids species described for Ecuador, research on in vitro seed germination and subsequent protocorm and seedling development remains scanty [30]. An understanding of how environmental factors affect seed germination and seedling development, as well as the degree of specificity and dependency of the orchid for certain fungi species, need to be experimentally evaluated for orchids that are at a high risk of extinction. Such information will be critical to using asymbiotic and symbiotic seed culture as effective strategies for conservation of native orchid species from Ecuador [16,31]. Consequently, the main goal of this study was to develop effective protocols to produce orchid plants for their use in restoration and conservation projects. The objectives of the present study were to: (1) evaluate the effects of photoperiod, medium composition, and temperature regimes on asymbiotic seed germination and seedling development in D. felix; (2) document the morphological development from seed to the mature seedling stage; and (3) screen putative mycorrhizal fungi isolated from native Ecuadorean orchids roots for their ability to promote symbiotic seed germination and seedling development.

2. Materials and Methods

2.1. Sample Collection Permits

To comply with regulations to legally collect native orchid species in Ecuador, permits to collect and transport native flora for research purposes including DNA analysis were obtained from the Ministerio del Ambient del Ecuador (MAE) with the institutional support of the Insitituto Nacional de Biodiversidad (INABIO), through a contract (Contrato Marco MAE-DNB-CM-2016-0045) of this research institution with MAE. Orchid seeds were imported into the United States under USDA/APHIS permit number P37-16-0-5568. A permit to Move Live Plant Pest, Noxious Weeds, and Soil (P526P-19-02945) was also obtained from the US Department of Agriculture (USDA) to import fungal mycelia to the USA.

2.2. Seed Collection

Fieldwork in the Northern Tropical Andes of Ecuador was conducted in September 2018 to obtain mature seed capsules from a native population of Dracula felix (Luer) Luer. Two plants bearing closed and recently open mature capsules were located on the roadside from Quito to Nanegalito (0°01′22.79″ N 78°39′10.87″ W, 1809 m.a.s.l.), Pichincha Province, Ecuador. Capsules were placed in paper bags before being transported to the laboratory. Seeds were removed from the capsules and stored in loosely capped glass vials over CaSO4 contained in a Falcon 50 mL tube at 22 ± 2 °C in the dark until shipping to the in vitro culture laboratory located at the University of Florida, Gainesville, FL, USA. Seeds were cold stored at −10 °C in the dark until used for experimentation. Some vials were stored at 22 ± 2 °C in the dark.

2.3. Seed Size and Weight

Seed weight and size were estimated as follows: three samples of dry seed, taken from the cold storage, were weighted on an ultra-microbalance (Model No. XP2U Mettler-Toledo LLC, Columbus, OH, USA). Each dry seed sample was placed in a 1.5 mL microtube. Water was added to hydrate and suspend the seeds in the solution to facilitate counting over a black cloth using a stereomicroscope. Estimated dry seed weight was obtained by dividing the weight by the number of seeds in each sample. Seed size measurements were made using the microscope software, Q Capture Pro 6.0. The estimated number of seed per unit weight (mg) was used to calculate the solution volume required to deliver uniform 40 µL aliquots each containing ca. 60 sterile seeds to ensure similar numbers of seeds per sub replicate.

2.4. Seed Viability Testing

A seed viability test using triphenyl tetrazolium chloride (TTC) staining was performed immediately after removing seeds from capsules in Ecuador. Once seed vials arrived at the Laboratory in the University of Florida, and samples were taken to test for seed viability before and after 8 weeks under cold storage conditions. Seeds maintained at 22 ± 2 °C in the dark were also tested for viability using TTC. A 10% sucrose solution was used to precondition ca. 2 mg of dry seed contained in 1.5 mL micro-tubes. After 24 h at 22 ± 2 °C in the preconditioning treatment, the solution was removed, and seeds were rinsed twice with deionized distilled (dd) water. One ml of 1% (w/v) TTC solution was added and the microtubes were incubated in the dark at 36 °C for 24 h. The TTC solution was removed and replaced with deionized distilled (dd) water, then the vials were stored at 4 °C to avoid embryo discoloration, until conducting the visual evaluation of viability using a light microscope. Seeds with rose-red stained embryos were considered viable, while white embryos were recorded as non-viable [32,33].

2.5. Seed Sterilant Screening

Sodium hypochlorite (NaOCl) and calcium hypochlorite (Ca(OCl)2) solutions were tested to optimize the seed surface sterilization procedure used in the following experiments. Seeds were sterilized using either 0.3% (v/v), 0.5% (v/v) sodium hypochlorite/ethanol, or 2% Ca(OCl)2 solutions in a sterile 1.5 mL sterile microtube for either 1, 3, or 5 min. The solutions were prepared by combining 250 or 416 µL 6.0% sodium hypochlorite (Clorox® bleach, Oakland, CA, USA), 250 µL 100% ethanol, and 4500 or 4334 mL sterile dd water, respectively. The calcium hypochlorite solution was prepared by dissolving 307 mg Ca(OCl)2 (65% available chlorine) in 10 mL sterile dd water. The solution was filtered through a sterile Grade 1 Qualitative filter paper (Whatman® Qualitative 1, Cytiva, Bucks, UK, Cat# 1001-125) immediately before use. After sterilization, solutions were removed using a sterile pipette with the tip positioned into the bottom of the microtube. Seeds were then rinsed 3 times for 1 min each with sterile dd water. A treatment control consisted of no surface sterilization and three rinses for 1 min each with sterile dd water.
Effects of the seed sterilization on germination percentage were evaluated by sowing surface sterilized seeds on ½ X Strength Murashige & Skoog (PhytoTechnology Laboratories, Shawnee Mission, KS, USA, Cat# M524; [34]) supplemented with 2 g/L sucrose, 8 g/L TC agar (PhytoTechnology Laboratories, Cat# A175) and 1 g/L activated charcoal. Three 40 µL aliquots of the sterile seed solution were pipetted into 100mm × 15 mm Petri dishes containing 30 mL medium and distributed uniformly on 3 separate sections using a sterile inoculating loop. Four Petri dishes per treatment were sealed with one layer of sealing film (PhytoTechnology Laboratories, Cat# A003) and incubated at 23 °C under a 12 h Light/12 h Dark photoperiod in a Percival I-35LL incubator (Percival Scientific, Boone, IA, USA) for 4 weeks. Light was provided by cool-white florescent tubes (General Electric, Boston, MA, USA, F20T12/CW) at 35 µM m−2 s−1 (PAR).

2.6. Daily Fluctuating Temperature Experiment

Three temperature regimes, 22/17 °C Light/Dark, and two constant temperatures, 22 and 17 °C, were chosen based on the mean annual temperature at the altitude of the collection site [35] and on the day/night average temperature fluctuations present near the location where mature capsules of D. felix were collected [36]. Four asymbiotic orchid seed germination media—(1) Knudson-C (KND-C; PhytoTechnology Laboratories, Cat# K400 [37]); (2) Vacin and Went Modified Orchid Medium (VW; PhytoTechnology Laboratories, Cat# V895 [38]); (3) ½ X Strength Murashige & Skoog (½ MS; PhytoTechnology Laboratories, Cat# M524 [34]); and (4) PhytoTechnology Orchid Seed Sowing Medium (Cat# P723)—were also examined in each temperature treatment for their effectiveness in promoting seed germination and seedling development of D. felix. To standardize the concentrations of 2% sucrose, 0.8% agar, and 0.1% activated charcoal across media, all basal media were modified as follows: 20 g/L sucrose was added to 1/2 MS, 8 g/L TC agar (PhytoTechnology Laboratories, Cat# A175) to KND-C and ½ MS, 1 g/L TC agar to VW, and 1 g/L activated charcoal to KND-C, 1/2 MS, and VW. KND-C and ½ MS was adjusted to pH 5.8. All media were sterilized by autoclaving at 117.7 kPa and 121 °C for 40 min.
To evaluate the effect of light on germination, all temperature regimes and media treatments were tested under both 0/24 h Light/Dark and 12/12 h Light/Dark photoperiods. Three seed samples weighing ca. 2.1 mg each, contained in sterile 1.5 mL microtubes, were maintained at 22 ± 2 °C for at least 4 h after being removed from cold storage. Based on preliminary screening, seed surface sterilization was performed by adding 700 μL 0.3% sodium hypochlorite/ethanol solution to each microtube. After 1 min, the solution was removed by placing the sterile pipette tip into the bottom of the microtube. Seeds were rinsed three times for one minute each with sterile dd water. After sterilization, seeds were suspended in dd water to give a solution containing ca. 60 seeds per 40 μL solution. Within each 100mm × 15 mm Petri dish containing 30 mL of one of the four asymbiotic seed germination media, three 40 μL aliquots were pipetted and each was dispersed onto three different locations on the medium surface. The aliquots were distributed uniformly, using a sterile inoculating loop.
Petri dishes were sealed with one layer of sealing film and incubated under the different culture conditions previously described in Percival I-35LL incubators (Percival Scientific, Boone, IA, USA), and light was provided by cool-white florescent tubes (General Electric F20T12/CW) at 35 µM m−2 s−1 (PAR). A complete darkness treatment was provided by wrapping the Petri dishes in heavy aluminum foil. Petri plates were removed and first inspected for seed germination after 2 weeks culture. Seed germination and seedling developmental stages were assessed on a scale of 0–6 (Table 1). Germination and seedling growth and development were recorded every 2 weeks, using a stereomicroscope. After 6 weeks culture, Petri dishes in the complete darkness treatment were unwrapped from the aluminum foil and placed under 12 h photoperiod for the remainder of the experiment.

2.7. Seedling Development Media Screening

Two commercial orchid maintenance media were tested for their ability to support survival and further development of D. felix seedlings. The media used were PhytoTechnology Orchid Maintenance/Replate Medium (Cat# P748) and PhytoTechnology Orchid Multiplication Medium (Cat# P793). The asymbiotic seed germination medium VW, on which a significantly higher percentage of seedlings were observed compared with the other asymbiotic treatments, was also included in this experiment. Ten seventeen-week-old Stage 5 and 6 seedlings, germinated on either VW or ½ MS, were transferred to each Phytotray™ II (Sigma-Aldrich, Burlington, MA, USA, Cat# P-5929) culture vessels containing 125 mL of each medium. The possible carryover effect of the seed germination medium on seedling development was not evaluated due to the limited number of available seedlings. Five Phytotray™ vessels per treatment were each sealed with one layer of sealing film and incubated under 12 h Light/12 h Dark photoperiod at 22/17 °C L/D in a Percival I-35LL incubator (Percival Scientific, Boone, IA), and light was provided by cool-white florescent tubes (General Electric F20T12/CW) at 35 µM m−2 s−1 (PAR). Percent survival was recorded after 40 weeks.

2.8. Symbiotic Seed Culture

Fungal isolation and molecular identification. Active growing roots from juvenile and adult plants were collected from different orchid native populations in the northern tropical Andes in Ecuador covering four Provinces, Napo, Pichincha, Carchi, and Imbabura, during May 2016, July 2017, and August 2018. However, neither juvenile plants nor seedling stages of D. felix could be found at the primary collection (where seed was obtained); therefore, subsequent fungal isolation from D. felix roots was not possible. Isolation of root endophytes from root cortical tissue of different orchid species was performed at IDgen, a commercial molecular diagnostic laboratory located in Quito, Ecuador. Standard methods described by Zettler et al. [40] were applied. Briefly, at most, three roots per plant were collected in the field and transported to the laboratory in darkness within a cooler. Roots were rinsed with sterile distilled (d) water to remove surface debris (e.g., bark), then surface sterilized with a 0.4% sodium hypochlorite/ethanol solution, followed by three 1 min rinses with sterile d water. This solution was prepared by combining 8 mL 5% sodium hypochlorite (Clorox® bleach), 5 mL 98% ethanol, and 87.0 mL sterile d water.
Roots were cut into 1 cm long segments starting at the tip. Each segment was placed into a separate sterile Petri dish (100 × 15 mm). Root segments were macerated within 200 µL sterile distilled water using sterile scalpel and forceps to separate the cortical cells and release fungal pelotons into the water droplet. Warm Fungal Isolation Medium (FIM) [41] supplemented with 10 mg/L streptomycin sulfate antibiotic was added to the Petri dish and then gently swirled to uniformly distribute the macerated tissue before solidification of the medium. After incubation for 24–48 h at 22 ± 2 °C, plates were observed for active hyphal growth emerging from the pelotons using a stereo microscope. Individual pelotons with hyphal tips were subcultured using a sterile scalpel onto fresh ½X Potato Dextrose Agar (PDA, PhytoTechnology Laboratories, Cat# P772). After 24–72 h of incubation at 22 ± 2 °C, hyphal tips alone or pelotons with short hyphal tips were subcultured in glass culture tubes containing 10 mL ½ PDA solidified on a 45° angle. Glass tubes were sealed with a layer of sealing film and incubated at 22 ± 2 °C for at least 48 h and then stored at 4 °C until their transport to the in vitro culture laboratory located at the University of Florida, Gainesville, FL, USA.
Pure fungal cultures yielding morphological features typical of orchid mycorrhizal associates, i.e., Rhizoctonia-like fungi [42], were retained for further identification using molecular techniques. Subcultures for this purpose were grown on ½ strength PDA. Fungi were described to the genus level using Sanger sequencing of the ribosomal DNA internal transcribed spacer (ITS) sequences. Subcultures of putative mycorrhizal fungi were transferred to fresh ½ PDA plates every 4 months and maintained in the dark at 10 ºC. These isolates were subsequently deposited for safekeeping at the UAMH Centre for Global Microfungal Biodiversity (Toronto, ON, Canada) in cryopreservation and were each assigned a separate UAMH accession number (Table 2).
Symbiotic seed germination. Symbiotic seed germination treatments consisted of one Tulasnella calospora (Boudier) Juel, strain (University of Alberta Microfungus Herbarium UAMH 9824) isolated from a primary lateral root of Spiranthes brevilabris in Levy County, Florida, USA [43] and six fungal strains isolated from roots of juvenile plants collected from orchid species native to Ecuador (Table 2). Based on the seed germination responses on asymbiotic media, VW was included as the asymbiotic control treatment. A second control treatment consisted of Oatmeal Agar (OMA) prepared by adding 2.5 g/L oats flour and 7 g/L agar TC (PhytoTechnology Laboratories, Cat# A175) without fungal inoculation. The medium was sterilized by autoclaving at 117.7 kPa at 121 °C for 40 min. Approximately 30 mL cooled, but molten sterile OMA was dispensed into each plastic Petri dish (100 × 15 mm). To facilitate visualization of the hyphae growing on the media, a triangle-shaped cellophane membrane (BIO-RAD, Cat# 1650922) was placed in the center of the Petri dish once the medium was solidified. A 1 cm × 4 cm black filter paper strip (Thomas Scientific, Swedesboro, NJ, USA, Cat# 4740C10) was also placed parallel on each side of the triangle.
A seed sample weighting 7 mg was removed from cold storage, divided equally in three sterile microtubes and maintained at 22 ± 2 °C for at least 4 h before sterilization. Seed surface sterilization was performed using the same procedure as the daily temperature experiment. After sterilization, a 40 µL aliquot containing ca. 60 seeds each was placed onto the surface of each of the three black sterile filter paper strips. A 1 × 1 × 0.5 cm3 ½ PDA block containing actively growing fungal mycelia from each isolate was added to a Petri dish on the center of the membrane (one isolate per Petri dish). The PDA block was cut from the edges of each 10-day-old Tulasnella or 2-day-old Ceratobasidium culture. Petri dishes were sealed with one layer of sealing film and incubated under either a 0/24 h or 12/12 h Light/Dark photoperiod at 22/17 °C Light/Dark in a Percival I-35LL growth chamber (Percival Scientific, Boone, IA. Light was provided by cool white florescent tubes (General Electric F20T12/CW) at 35 µM m−2 s−1 (PAR). Half of the plates were wrapped in heavy aluminum foil to provide complete darkness. Germination and seedling development stages (Table 1) were recorded after 3- and 6-weeks culture.

2.9. Experimental Design and Statistical Analysis

Treatment effects were evaluated using a completely randomized experimental design. Each factor or combination of factors consisted of 7 replicates with 3 sub-replicates. The experimental unit consisted of a Petri dish containing 30 mL solidified culture medium with three areas or filter paper strips positioned on the surface of the medium and ca. the same number of seeds on the surface of each strip. Numbers of seeds in each developmental stage were recorded at each data collection time (every 2 weeks). Experiments were performed once due to rapid loss of seed viability and the limitation to conduct multiple collections on site.
Data were analyzed using a multifactor ANOVA. Percent data were arcsine transformed to normalized variance. Mean separation was assessed using Tukey’s Methods at α = 0.05 significant level. Statistical analysis was completed using JMP Pro15 software (SAS Institute Inc., Cary, NC, USA). The time-to-event data, in this case time from sowing to germination (Stage 2), were analyzed using the survival analysis package in R studio 3.2.5. A Kaplan–Meier estimator was used to estimate the survival functions. A Cox proportional hazards regression model was used to evaluate the effects of more than two different covariates that can be either categorical or continuous, through their impact on the hazard function that described the germination event.

3. Results

3.1. Seed Viability Testing

Dracula felix seed exhibited 66.10% viability (TTC staining of viable embryos) after being removed from mature dehisced capsules. The viability of seeds maintained dry over CaSO4 desiccant at 22 ± 2 °C in the dark displayed reduced viability to 37.78% and 0% after 8 and 16 weeks, respectively. Low temperature storage also negatively affected seed viability as nonviable seeds were observed after 8 weeks under these conditions.

3.2. Seed Sterilant Screening

Seed surface sterilization was achieved with all sterilization treatments; no visual bacterial or fungal contamination was observed in any treatment except in the control (no sterilization), where 25% of the plates were discarded due to visual contamination. The germination percentage was significantly increased compared to the control treatments after seeds were sterilized with 2% Ca(OCl)2 for 3 or 5 min. Seeds sterilized with either 0.3% or 0.5% NaOCl/ethanol solutions for 1 min also geminated at higher percentages than the control. However, sterilization times longer than 1 min in NaOCl/ethanol solutions significantly reduced germination percentage (Figure 2). Although no significant differences on germination percentages were observed between 2% Ca(OCl)2 for 5 min and 0.3% NaOCl for 1 min, more and larger protocorms were observed when seeds were sterilized with the NaOCl solution. Therefore, exposure of seed to 0.3% NaOCl for one minute was chosen as the standard protocol for surface sterilization of D. felix seeds.

3.3. Asymbiotic Seed Germination and Seedling Development

Stages of the morphological development from seed to the early seedling were documented for D. felix (Figure 3a–k). Small seeds with a length of 182.54 ± 5.42 µm and 65.51 ± 0.87 µm width, weighting from 0.13–0.19 µg, were observed. All seeds contained an embryo, which was easy to distinguish after the sterilization process (Figure 3a). As seeds imbibed embryos started to swell and slightly changed color. Under a 12 h Light/12 h Dark photoperiod, imbibed embryos developed a light green color (Figure 3b). Rupture of the seed coat was observed (germination, Figure 3c) by week 2.
Low germination percentages were observed in D. felix as less than 50% seed germination was recorded across all treatments. To evaluate main and interaction effects of the treatments (photoperiod, temperature, and media) on D. felix seed germination, a Cox proportional regression model that included all 2- and 3-way interactions was fitted. Significant main effects and two-way interactions were observed (medium–temperature, medium–photoperiod). The adjusted hazard ratio used to compare the two photoperiods was 1.02 (95% CI 0.88–1.18), indicating that there were no significant differences in germination percentages between them (Figure 4). The associated p-value = 0.027 of the hazard ratios (1.17, 95% CI 1.02–1.35) comparing germination percentages over time between 17 °C vs. 17/22 °C indicated a significant improvement in gemination for seeds incubated at 17/22 °C over 17 °C adjusting for all other covariates (Figure 4). The interaction effect of temperature and photoperiod was not significant. Regardless of photoperiod, no significant differences on germination were detected between seeds incubated at 22 °C and 17 °C in any medium (Figure 5).
The positive effect on germination of incubating seeds at alternating daily temperatures (17/22 °C) compared with a constant 17 °C was significant when seeds were sown on P723 or KND-C (Figure 5). Significant lower germination percentages were observed in seeds cultured in KND-C compared to the other media in both photoperiods and all temperatures across all times (Figure 5 and Figure 6). A significant improvement in germination was observed when seeds were sown on P723 compared with the other medium treatments, regardless of the photoperiod (Figure 6). No significant differences in germination rates between VW and ½ MS were detected in both photoperiods (Figure 6) or any of the temperature treatments, except at 17 °C, where higher germination rates were observed in seeds sown on ½ MS compared to VW (Figure 5).
There were no significant increases in germination percentages after 42 d of culture between any treatments. The highest germination (36.7%) of D. felix was observed when seeds were sown on P723 and incubated at 17/22 °C (Figure 5). Green globular protocorms, few with short rhizoids, were observed in all treatments by week 4 (Figure 3d and Figure 7), except in KND-C, where Stage 3 protocorms remained achlorophyllous during the whole experiment.
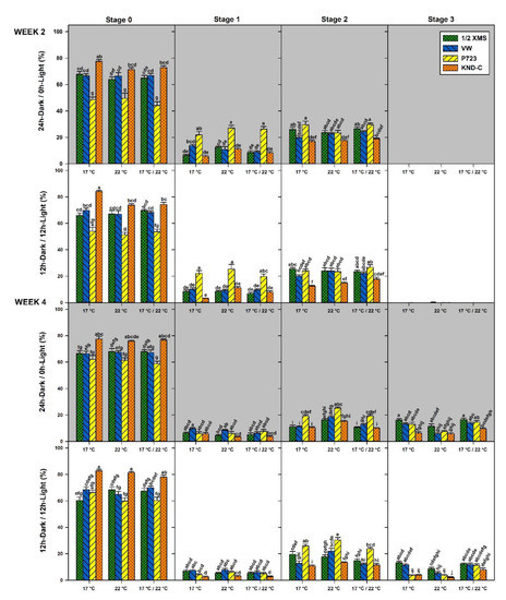
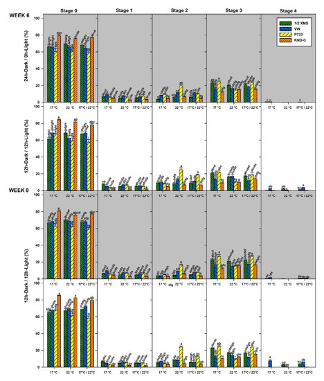
Protocorms with the beginning of leaf primordia (Stage 4, Figure 3e) were observed at week 6 and 8 only on ½ MS and VW with significantly higher percentages under 12 h Light compared with 24 h Dark photoperiod in all temperatures (Figure 8). By week 8, few Stage 4 protocorms developed on P723 at 17/22 °C in plates incubated under complete darkness for 6 weeks at the beginning of the experiment; however, no further developmental stage was supported on P723 under any of the experimental conditions (Figure 8 and Figure 9). Several Stage 4 and 5 protocorms became white and developed into irregular ovoid shapes in all treatments (Figure 3h). Protocorms like bodies were observed on VW plates (Figure 3i).
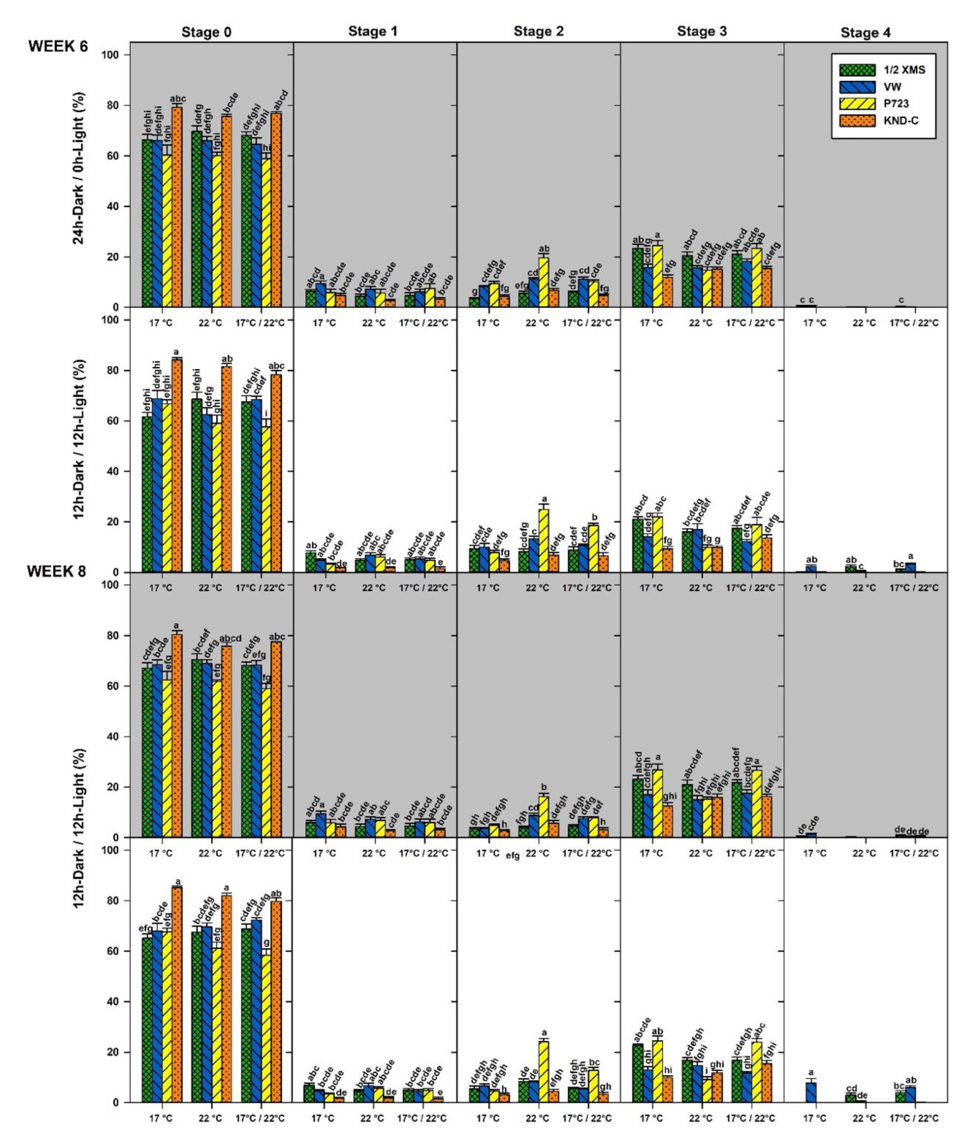
Although seed germination under a 24 h Dark photoperiod was not affected, seeds cultured under complete darkness for an initial 6-week period developed more slowly into seedlings compared with seeds incubated under a constant 12 h Dark/12 h Light photoperiod. Significantly lower percentages of Stage 5 and 6 seedlings were observed on plates incubated in the dark for 6 weeks in all treatments that support these stages across week 8 to 16 (Figure 8 and Figure 9). Less than 30% of germinated seeds developed into more advanced seedlings stages.
By week 10, seedlings with elongated leaf primordia (Stage 5, 3f) were observed only in plates incubated under a 12 h Light photoperiod, on VW at 17 °C and 17/22 °C. A significantly lower percentage of Stage 5 seedlings were produced also in ½ MS at 22 °C compared with VW at the other temperatures (Figure 9).
No Stage 5 seedlings were observed in plates that were incubated for 6 weeks under complete darkness at week 16 (Figure 9). Formation of the first leaf and further development (Stage 6, Figure 3g,j) was only observed when seeds were sown either on VW or 1/2MS at 17 °C or 17 °C/22 °C under a 12 h Light photoperiod. Stage 6 seedling development was not observed at 22 °C in any treatment (Figure 9). VW and P793 did not support advance seedling development as all seedlings died after 40 weeks culture. All (100%) seedlings survived on P748 (Figure 3k) with seedling slowly developing new leaves and roots.

3.4. Symbiotic Seed Germination

Germination percentages were not improved by co-culturing D. felix seed with any of the fungal strains screened in this study. Seeds germinated even in the control (OMA with no fungal inoculation) with no significant differences being observed among all treatments after 6 weeks (Figure 10). However, seeds germinated faster on the asymbiotic control medium (VW) as significant higher germination percentages were observed on VW compared with other treatments after 3 weeks culture. In addition, only green imbibed and germinated embryos (Figure 3c) were observed in all treatments, except on VW which supported further seedling development.

4. Discussion

The conservation of endangered and rare orchid species from the Neotropics requires determination of the critical environmental conditions affecting in vitro seed germination and seedling development as well as the understanding of the relationship with their fungal associates throughout their life cycle. Unfortunately, little or no information is available for rare epiphytic orchids from this region such as species within the genus Dracula. This study represents the first report of the successful in vitro seed germination and seedling development of D. felix collected from a native population in the northern Andes in Ecuador. Stages of morphological development from seed to seedling development were also documented for the first time for this orchid species.
Orchid seed is known to be the smallest of most plant species [44]. Reported range sizes varies from 100 to 6000 µm [14,45]. Our results show that D. felix seeds (length 182.5 ± 5.4 µm and width 65.5 ± 0.9) fall within the very small seed size category (100–200 in µm length) described by Barthlott et al. [45]. Some orchid seeds weigh as little as 0.0001 mg [44]. In our study, weight was estimated using dry seeds (0.13–0.19 µg), therefore it is not possible to compare with other reports, as water content could represent a significant part of the total weight [46].
TTC staining has been used as one of the most reliable techniques to estimate viability of orchid seeds that can be used for propagation or conservation [32,33]. TTC is especially useful when seeds lose their viability within short periods of time and exhibit reduced or delayed germination. In the case of D. felix seeds, maximum seed germination occurred at 6 weeks whereas viability was significantly reduced after only 8 weeks regardless of the temperature storage conditions. Thus, seeds appear to be sensitive to desiccation and cold temperatures which has implications for their long-term storage via seed banks [47]. Before conclusions can be drawn, however, it is critical to test more desiccants and storage temperature with a wider sample collection of seed capsules to standardize procedures for their preservation that will ensure the maintenance of their viability over time [46].
Sterilization procedures are used mainly to remove bacterial and/or fungal contaminants from orchid seed surfaces that may interfere or compete with seed on media containing high nutrient levels [15,27,48]. Sodium hypochlorite (NaClO) and calcium hypochlorite (Ca(OCl)2) solutions have been used as common sterilant solutions for orchid seeds [48]. The sensitivity of orchid embryos to damage in concentrated sterilant solutions and prolonged exposure varies with species [27]; therefore, different concentrations and exposure time were tested in this study to determine a protocol that allows effective seed sterilization of D. felix seeds without negatively affecting germination percentages.
Total elimination of visible contamination was achieved with all sterilization treatments tested. The sterilization procedure used for D. felix seeds may also function as a scarification method due to the significant increase in germination percentages when seeds were sterilized prior to being sown compared with no sterilization (control). It has been reported that sterilant solutions help to remove suberin from seed integuments, resulting in enhancement of water imbibition and subsequently, improved germination [15,27,48]. Exposure times longer than 1 min in NaClO/ethanol solutions resulted in a significant reduction in germination. This reduction was likely due to damage to the embryos, which was not observed in 2% Ca(OCl)2 in the exposure times screened. However, by 4 weeks post sterilization, more numerous and larger protocorms and faster seedling development were observed when NaClO-based sterilization solutions were used. Delayed germination could negatively affect further seedling development.
Temperature is an important environmental factor affecting orchid seed germination and seedling development in situ [16]. However, this factor has been poorly studied for most species, especially in the epiphytic orchid from the neotropics. Usually, constant temperatures are used in most in vitro studies. This is likely due to the notion that average temperatures are constant through the year in the neotropics [49]. Although temperature decreases as elevation increases in the Andes (decreased rate: 6.5 °C per 1000 m increase in altitude) [35,50], mean monthly temperatures do not drastically vary throughout the year; major differences are observed in daily temperature fluctuations [49] and likely affect orchid seed germination and seedling growth in situ. Therefore, it is critical to examine temperature effects on orchid seed germination in vitro [29] in tropical as well as temperate orchids. Results of this in vitro study, in which the temperature regimes occurring in the area where D. felix seed were simulated, showed that germination of seeds did not require a specific temperature regime. Basically, seeds germinated in all temperature regimes, however, with a significant increase under the daily fluctuating temperature regime compared to 17 °C.
Temperature had a major effect on the transition from the protocorm to the early seedling stages in D. felix. High constant temperatures, which are not frequently found in situ, completely inhibited D. felix seedlings development in vitro. Low temperature during early seedling development stages may be a critical factor for the survival of this orchid population in situ. This situation is becoming critical as climate change is likely to increase the average temperature in the Andes [35,50]. More studies, including those involving the collection of seed from different locations, need to be performed to evaluate the role of ecotypic differentiation on differences in germination and seedling development in response to local environmental conditions. Ecotypic differentiation has been screened using in vitro culture techniques to simulate common gardens studies. These studies have demonstrated the advantages of using this technique to explore growth responses to a wider range of environmental conditions that can be correlated with responses to in situ conditions [51,52].
Light also affects germination and seedling development in orchids with responses being species-dependent [15,27]. Inhibitory effects of light on seed germination have been reported for temperate terrestrial and some epiphytic orchids [28]. Our results demonstrated that seeds of D. felix were able to germinate in both light and dark conditions with similar percentages, as has been commonly discussed as being the case for epiphytic orchids [27,53]. Although light is not a requirement for the in vitro germination of the D. felix seed, the presence of light during gemination improved seedling development. The epiphytic microenvironment allows for greater opportunities for the orchid seed to be exposed to light conditions, thus allowing germination and faster transitions to the seedling stages.
Differences in nutrient composition of the asymbiotic culture media also affected germination and seedling development in D. felix. Although D. felix seeds germinated on all culture media screened with the highest germination rates observed on P723, early seedling development (Stage 5 and 6) were only supported on VW and ½ MS. In other orchid species (e.g., Cyrtopodium punctatum (L.) Lindl., Dendrophylax lindenii (Lindl.) Bentham ex Rolfe), the higher percentages of uniform seedlings observed following seed germination on P723 have been attributed to the organic components present in the medium [28,54]. Orchid protocorms are not able to use nitrates [55], but this does not seem the case for D. felix where protocorms developed into orchid seedlings in media containing high nitrate concentrations (VW and ½ MS).
Putative mycorrhizal fungi were not isolated from D. felix, as no seedlings, protocorms, juvenile plants, or active growing roots from adult individuals were found at the collection site. Dracula populations consisting of many individuals are not common in this rare species [20]. This made it even more difficult to find juvenile plants or seedlings. Rasmussen et al. [16] characterized orchid populations as ‘senile’ when conditions are unfavorable for seedling recruitment. Thus, it is plausible that the D. felix collection site fits this description perhaps because the site was devoid of mycorrhizal associates needed for seedling recruitment, or some other factor(s). Fungi, however, were isolated from a variety of other Ecuadorian species that were also screened for their ability to enhance germination and seedling development in D. felix. We observed that seeds germinated in the presence of the fungal isolates displayed germination percentages not being significantly different from the asymbiotic control treatment. This finding suggests that the fungal isolates tested in our study were not those that D. felix utilizes in situ. Interestingly, Tulasnella calospora US266 was also ineffective at facilitating seedling development of D. felix despite the fungus’ ability to promote gemination and seedling development in a wide range of orchid species [56].
Both specific environmental conditions and perhaps a narrow and specific group of fungal associates, required for early seedling development, may have contributed to the relative narrow distribution of Dracula species in situ [12]. However, more studies, involving more species, need to be completed to confirm this hypothesis. This information is critical to obtain for other even rarer Dracula species that may be at high risk of extinction. Specialized requirements can be challenging to meet to adapt to future changing environmental conditions. Lack of their understanding can negatively affect restoration and reintroduction programs [12,16]. Future studies should also include acclimatization of seedlings and young plants to ex situ environmental conditions that were not tested in this study due to restrictions of our import permit.

Author Contributions

All authors significantly contributed to various aspects of the study. Plant field locations and the identification of the plants from which seed capsules and root samples were collected were determined by L.E.B. and L.W.Z. provided training in the isolation, culture, and identification of mycorrhizal fungi and symbiotic seed culture techniques. Experimental designs, interpretation of results, and discussion were provided by P.H.Q.-L., M.E.K. and L.W.Z. The first draft of the manuscript was written by P.H.Q.-L. and all authors have commented on previous versions of the manuscript. All authors have read and agreed to the published version of the manuscript.

Funding

This research was partially funded by the Ecuadorian government through the SENESCYT Scholarship Program.

Institutional Review Board Statement

Not applicable.

Data Availability Statement

Data sharing is not applicable to this article.

Acknowledgments

This research would not have been possible without the financial support of the Scholarship Program SENESCYT from the Ecuadorian Government. We would like to acknowledge the institutional support provided by Universidad de las Americas (UDLA), Jardin Botanico de Quito (JBQ), Instituto Nacional de Biodiversidad (INABIO), and Ministerio del Ambiente de Ecuador (MAE). We would like to also acknowledge Francisco Flores and Patricia Garrido, owners of the Molecular Diagnostic Laboratory IDGen in Ecuador, for allowing us to use their facilities to isolate mycorrhizal fungi during field collections in Ecuador. Logistic and taxonomic support was provided by Universidad de las Americas (UDLA), Instituto Nacional de Biodiversidad (INA-BIO), and Ministerio del Ambiente de Ecuador (MAE).

Conflicts of Interest

The authors declare no conflict of interest.

References

  1. Mutke, J.; Barthlott, W. Patterns of vascular plant diversity at continental to global scales. Biol. Skr. 2005, 55, 521–531. [Google Scholar]
  2. Myers, N.; Mittermeier, R.A.; Mittermeier, C.G.; da Fonseca, G.A.B.; Kent, F. Biodiversity hotspots for conservation priorities. Nature 2000, 403, 853–858. [Google Scholar] [CrossRef]
  3. Richter, M.; Diertl, K.H.; Emck, P.; Peters, T.; Beck, E. Reasons for an outstanding plant diversity in the tropical Andes of Southern Ecuador. Landsc. Online 2009, 12, 1–35. [Google Scholar] [CrossRef]
  4. Gentry, A.H.; Dodson, C. Diversity and Biogeography of Neotropical vascular epiphytes. Ann. Missouri. Bot. Gard. 1987, 74, 205–233. [Google Scholar] [CrossRef]
  5. Dodson, C.H. Why are there so many orchid species? Lankesteriana 2003, 7, 99–103. [Google Scholar] [CrossRef]
  6. Endara, L. Orchidaceae. In Libro Rojo de las Plantas Endémicas del Ecuador, 2nd ed.; Leon-Yanez, S., Valencia, R., Pitman, N., Endara, L., Ulloa-Ulloa, C., Navarrete, H., Eds.; Publicaciones del Herbario QCA, Pontificia Universidad Católica del Ecuador: Quito, Ecuador, 2011; ISBN 978-9942-03-393-2. [Google Scholar]
  7. Antonelli, A.; Nylander, J.A.A.; Persson, C.; Sanmartín, I. Tracing the impact of the Andean uplift on Neotropical plant evolution. Proc. Natl. Acas. Sci. USA 2009, 106, 9749–9754. [Google Scholar] [CrossRef] [PubMed]
  8. Pérez-Escobar, O.A.; Chomicki, G.; Condamine, F.L.; Karremans, A.P.; Bogarín, D.; Matzke, N.J.; Silvestro, D.; Antonelli, A. Recent origin and rapid speciation of Neotropical orchids in the world’s richest plant biodiversity hotspot. New Phytol. 2017, 215, 891–905. [Google Scholar] [CrossRef]
  9. Davis, B.J.; Philips, R.D.; Wright, M.; Linde, C.C.; Dixon, K.W. Continent-wide distribution in mycorrhizal fungi: Implications for the biogeography of specialized orchids. Ann. Bot. 2015, 116, 413–421. [Google Scholar] [CrossRef] [PubMed]
  10. Fay, M.F.; Pailler, T.; Dixon, K.W. Orchid conservation: Making the links. Ann. Bot. 2015, 116, 377–379. [Google Scholar] [CrossRef]
  11. Rasmussen, H.N.; Rasmussen, F.N. Seedling mycorrhiza: A discussion of origin and evolution in Orchidaceae. Bot. J. Linn. Soc. 2014, 175, 313–327. [Google Scholar] [CrossRef]
  12. Swarts, N.D.; Dixon, K.W. Terrestrial orchid conservation in the age of extinction. Ann. Bot. 2009, 104, 543–556. [Google Scholar] [CrossRef]
  13. Waterman, R.J.; Bidartondo, M.I. Deception above, deception below: Linking pollination and mycorrhizal biology of orchid. J. Exp. Bot. 2008, 59, 1085–1096. [Google Scholar] [CrossRef] [PubMed]
  14. Arditti, J.; Ghani, A.K.A. Tansley Review No. 110 Numerical and physiological properties of orchid seeds and their biological implications. New Phytol. 2000, 145, 367–421. [Google Scholar] [CrossRef] [PubMed]
  15. Rasmussen, H.N. Terrestrial Orchids from Seed to Mycotrophic Plant; Cambridge University Press: Cambridge, UK, 1995; ISBN 978-0521048811. [Google Scholar]
  16. Rasmussen, H.N.; Dixon, K.W.; Jersáková, J.; Tesitelová, T. Germination and seedling establishment in orchids: A complex of requirements. Ann. Bot. 2015, 166, 391–402. [Google Scholar] [CrossRef] [PubMed]
  17. McCormick, M.K.; Jacquemyn, H. What constrains the distribution of orchid populations? New Phytol. 2014, 202, 392–400. [Google Scholar] [CrossRef]
  18. Novotná, A.; Benitez, A.; Herrera, P.; Cruz, C.; Filipczyková, E.; Suárez, J.P. High diversity of root-associated fungi isolated from three epiphytic orchids in southern Ecuador. Mycoscience 2018, 59, 24–32. [Google Scholar] [CrossRef]
  19. Herrera, P.; Kottke, I.; Molina, M.C.; Méndez, M.; Suárez, J.P. Generalism in the interaction of Tulasnellaceae mycobionts with orchids characterizes a biodiversity hotspot in the tropical Andes of Southern Ecuador. Mycoscience 2018, 59, 38–48. [Google Scholar] [CrossRef]
  20. Luer, C.A. Icones pleurothallidinarum X. Systematics of Dracula. Ilustraciones de los Pleurothallidinae X. Sistemática de Dracula. Monogr. Syst. Bot. Misoouri Bot. Gard. 1993, 46, 1–244. [Google Scholar]
  21. Pridgeon, A.M.; Solano, R.; Chase, M.W. Phylogenetic relationships in Pleurothallidinae (Orchidaceae): Combined evidence from nuclear and plastid DNA sequences. Am. J. Bot. 2001, 88, 2286–2308. [Google Scholar] [CrossRef]
  22. Koopowitz, H.; Thornhill, A.; Anderson, M. Species distribution profiles of the neotropical orchids Masdevallia and Dracula (Pleurothallidinae, Orchidaceae); implications for conservation. Biodivers. Conserv. 1993, 2, 681–690. [Google Scholar] [CrossRef]
  23. Endara, L.; Grimaldi, D.; Roy, B. Lord of the flies: Pollination of Dracula orchids. Lankesteriana 2010, 10, 1–11. [Google Scholar] [CrossRef]
  24. Policha, T.; Davis, A.; Barnadas, M.; Dentinger, B.T.M.; Raguso, R.A.; Roy, B.A. Disentangling visual and olfactory signals in mushroom mimicking Dracula orchids using realistic three-dimensional printed flowers. New. Phytol. 2016, 210, 1058–1071. [Google Scholar] [CrossRef] [PubMed]
  25. Policha, T.; Grimaldi, D.A.; Manobanda, R.; Troya, A.; Ludden, A.; Dentinger, B.T.M.; Roy, B.A. Dracula species exploit guilds of fungus visiting flies: New perspectives on a mushroom mimic. Ecol. Entomol. 2019, 44, 457–470. [Google Scholar] [CrossRef]
  26. Hughes, O.T.W. Orchid—Mycorrhiza Relationships, Propagation of Terrestrial and Epiphytic Orchids from Seed. Ph.D. Thesis, Manchester Metropolitan University, Manchester, UK, 2018. [Google Scholar]
  27. Kauth, P.J.; Dutra, D.; Johnson, T.R.; Stewart, S.L.; Kane, M.E.; Vendrame, W. Techniques and Applications of In Vitro Orchid Seed Germination. In Floriculture, Ornamental and Plant Biotechnology: Advances and Topical Issues; Teixeira da Silva, J.A., Ed.; Global Science Books: London, UK, 2008; Volume 5, pp. 375–391. ISBN 978-490-331-312-2. [Google Scholar]
  28. Dutra, D.; Kane, M.E.; Richardson, L. Asymbiotic seed germination and in vitro seedlings development of Cyrtopodium punctatum: A propagation protocol for and endangered Florida native orchid. Plant Cell Tiss. Organ. Cult. 2009, 96, 235–243. [Google Scholar] [CrossRef]
  29. Baskin, C.C.; Thompson, K.; Baskin, J.M. Mistakes in germination ecology and how to avoid them. Seed Sci. Res. 2006, 16, 165–168. [Google Scholar] [CrossRef]
  30. Durán-López, M.E.; Caroca-Cáceres, R.; Jahreis, K.; Narváez-Vera, M.; Ansaloni, R.; Cazar, M.E. The mycorrhizal fungi Ceratobasidium sp. and Sebacina vermifera promote seed germination and seedling development of the terrestrial orchid Epidendrum secundum Jacq. S. Afr. J. Bot. 2019, 125, 54–61. [Google Scholar] [CrossRef]
  31. Fay, M.F. Orchid conservation: How can we meet the challenges in the twenty-first century? Bot. Stud. 2018, 5, 1–6. [Google Scholar] [CrossRef]
  32. Hosomi, S.T.; Santos, R.; Custodio, C.; Seaton, P.; Marks, T.; Machado-Neto, N.B. Preconditioning Cattleya seeds to improve the efficacy of the tetrazolium test for viability. Seed Sci. Technol. 2011, 39, 178–189. [Google Scholar] [CrossRef]
  33. Hosomi, S.T.; Custódio, C.C.; Seaton, P.T.; Marks, T.R.; Machado-Neto, N.B. Improved assessment of viability and germination of Cattleya (Orchidaceae) seeds following storage. In Vitro Cell Dev. Biol. 2012, 48, 127–136. [Google Scholar] [CrossRef]
  34. Murashige, T.; Skoog, F. A revised medium for rapid growth and bioassays with tobacco tissue cultures. Physiol. Plant 1962, 15, 473–497. [Google Scholar] [CrossRef]
  35. Urrutia, R.; Vuille, M. Climate change projections for the tropical Andes using a regional climate model: Temperature and precipitation simulations for the end of the 21st century. J. Geophys. Res. 2009, 114, 1–15. [Google Scholar] [CrossRef]
  36. Meteorogisk Institutt Web. Available online: https://www.yr.no/en/forecast/graph/2-10793584/Ecuador/Napo/Cant%C3%B3n%20Quijos/Cuyuja (accessed on 13 July 2018).
  37. Knudson, L. A new nutrient solution for the germination of orchid seeds. Bot. Gaz. 1946, 73, 1–25. [Google Scholar] [CrossRef]
  38. Vacin, E.F.; Went, F.W. Some pH changes in nutrient solutions. Bot. Gaz. 1949, 110, 605–613. [Google Scholar] [CrossRef]
  39. Stewart, S.L.; Zettler, L.W. Symbiotic germination of three semi-aquatic rein orchids (Habenaria repens, H. quinquiseta, H. macroceratitis) from Florida. Aquat. Bot. 2002, 72, 25–35. [Google Scholar] [CrossRef]
  40. Zettler, L.W.; Sharma, J.; Rasmussen, F. Mycorrhizal diversity. In Orchid Conservation; Dixon, K.W., Kell, S.P., Barrett, R.L., Cribb, P.J., Eds.; Natural History Publications: Kota Kinabalu, Malaysia, 2003; pp. 205–226. ISBN 983-812-078-2. [Google Scholar]
  41. Clements, M.A.; Muir, H.; Cribb, P.J. A preliminary report on the symbiotic germination of European terrestrial orchids. Kew. Bull. 1986, 41, 437–445. [Google Scholar] [CrossRef]
  42. Currah, R.S.; Zelmer, C.D.; Hambleton, S.; Richardson, K.A. Fungi from orchid mycorrhizas. In Orchid Biology; Arditti, J., Pridgeon, A.M., Eds.; Springer: Dordrecht, The Netherlands, 1997; pp. 117–170. ISBN 978-94-017-2498-21997. [Google Scholar]
  43. Stewart, S.L.; Zettler, L.W.; Minso, J.; Brown, P.M. Symbiotic Germination and Reintroduction of Spiranthes brevilabris Lindley, an Endangered Orchid Native to Florida. Selbyana 2003, 24, 64–70. [Google Scholar]
  44. Moles, A.T.; Ackerly, D.D.; Webb, C.O.; Tweddle, J.C.; Dickie, J.B.; Westoby, M. A Brief History of Seed Size. Science 2005, 307, 576–580. [Google Scholar] [CrossRef] [PubMed]
  45. Barthlott, W.; Große-Veldmann, B.; Korotkova, N. Orchid Seed Diversity: A Scanning Electron Microscopy Survey; Turland, N.J., Ed.; Botanic Garden and Botanical Museum Berlin-Dahlem-Englera 32: Berlin, Germany, 2014; Volume 32, pp. 1–245. ISBN 978-392-180-092-8. [Google Scholar]
  46. Hughes, B.A.; Kane, M.E. Seed cryopreservation of selected Florida native orchid species. Seed Sci. Technol. 2018, 46, 431–446. [Google Scholar] [CrossRef]
  47. Seaton, P.T.; Hosomi, S.T.; Cusotido, C.C.; Marks, T.R.; Machado, N.B.; Pritchard, H.B. Orchid seed and pollen: A toolkit for long-term storage, viability assessment and conservation. In Orchid Propagation: From Laboratories to Greenhouses-Methods and Protocols; Lee, Y.I., Yeung, E.T., Eds.; Humana Press: New York, NY, USA, 2018; ISBN 978-1-4939-7771-0. [Google Scholar]
  48. Swarts, N.D.; Dixon, K.W. Conservation Methods for Terrestrial Orchids; J. Ross Publishing: Fort Lauderdale, FL, USA, 2017; ISBN 978-160-427-123-2. [Google Scholar]
  49. Córdova, M.; Célleri, R.; Shellito, C.J.; Orellana-Alvear, J.; Abril, A.; Carrillo-Rojas, G. Near-Surface Air Temperature Lapse Rate Over Complex Terrain in the Southern Ecuadorian Andes: Implications for Temperature Mapping. Arct. Antarct. Alp. Res. 2016, 48, 673–684. [Google Scholar] [CrossRef]
  50. Vuille, M.; Bradley, R.S. Mean annual temperature trends and their vertical structure in the tropical Andes. Geophys. Res. Lett. 2000, 27, 3885–3888. [Google Scholar] [CrossRef]
  51. Kauth, P.J.; Kane, M.E.; Vendrame, W.A. Comparative in vitro germination ecology of Calopogon tuberosus var. tuberosus (Orchidaceae) across its geographic range. In Vitro Cell Dev. Biol.-Plant 2011, 47, 148–156. [Google Scholar] [CrossRef]
  52. Kauth, P.J.; Kane, M.E. In vitro ecology of Calopogon tuberosus var. tuberosus (Orchidaceae) seedlings from distant populations: Implications for assessing ecotypic differentiation. J. Torrey. Bot. Soc. 2009, 136, 433–444. [Google Scholar] [CrossRef]
  53. Arditti, J. Factors affecting the germination of orchid seeds. Bot. Rev. 1967, 33, 1–97. [Google Scholar] [CrossRef]
  54. Hoang, N.H.; Kane, M.E.; Radcliffe, E.N.; Zettler, L.W.; Richardson, L.W. Comparative seed germination and seedling development of the ghost orchid, Dendrophylax lindenii (Orchidaceae), and molecular identification of its mycorrhizal fungus from South Florida. Ann. Bot. 2017, 119, 379–393. [Google Scholar] [CrossRef]
  55. Raghavan, V.; Torrey, J.G. Inorganic nitrogen nutrition of the seedlings of the orchid, Cattleya. Am. J. Bot. 1964, 51, 264–274. [Google Scholar] [CrossRef]
  56. Zettler, L.W.; Dvorak, C. Tulasnella calospora (UAMH 9824) retains its effectiveness at facilitating orchid seed germination after two decades of subculturing. Bot. Stud. 2021, 62, 14. [Google Scholar] [CrossRef]
Figure 1. Flower of Dracula felix (Luer) Luer. Photo by Luis Baquero. Scale bar = 1 cm.
Figure 1. Flower of Dracula felix (Luer) Luer. Photo by Luis Baquero. Scale bar = 1 cm.
Diversity 15 00732 g001
Figure 2. Effects of seed surface sterilization treatments (Control: no sterilization; 2% Ca(OCl)2: 2% calcium hypochlorite; 0.3% and 0.5% NaOCl: Sodium hypochlorite/Ethanol solution for 1, 3, and 5 min on germination of Dracula felix seeds incubated under 12 h Light/12 h Dark at 23 °C for 4 weeks. Histobars with the same letter are not significantly different (α = 0.05).
Figure 2. Effects of seed surface sterilization treatments (Control: no sterilization; 2% Ca(OCl)2: 2% calcium hypochlorite; 0.3% and 0.5% NaOCl: Sodium hypochlorite/Ethanol solution for 1, 3, and 5 min on germination of Dracula felix seeds incubated under 12 h Light/12 h Dark at 23 °C for 4 weeks. Histobars with the same letter are not significantly different (α = 0.05).
Diversity 15 00732 g002
Figure 3. Asymbiotic seed germination and early seedling development of Dracula felix. (a) Stage 0. (b) Stage 1: Imbibed seeds (arrows). (c) Stage 2: Germination. (d) Stage 3: Globular protocorms. (e) Stage 4: Protocorms with leaf primordia (lp). (f) Stage 5: Protocorms with elongated leaf primordia. (g) Stage 6: Seedlings with first leaf (fl). (h) White protocorms. (i) Protocorm-like body. (j) Stage 6: Seedlings with two leaves after 17 weeks culture. (k) Seedling development after 16 weeks. Scale bars = 500 μm (aj) and 5 mm (k).
Figure 3. Asymbiotic seed germination and early seedling development of Dracula felix. (a) Stage 0. (b) Stage 1: Imbibed seeds (arrows). (c) Stage 2: Germination. (d) Stage 3: Globular protocorms. (e) Stage 4: Protocorms with leaf primordia (lp). (f) Stage 5: Protocorms with elongated leaf primordia. (g) Stage 6: Seedlings with first leaf (fl). (h) White protocorms. (i) Protocorm-like body. (j) Stage 6: Seedlings with two leaves after 17 weeks culture. (k) Seedling development after 16 weeks. Scale bars = 500 μm (aj) and 5 mm (k).
Diversity 15 00732 g003
Figure 4. Hazard ratios of the adjusted main effects from a Cox proportional regression model that included two- and three-way interaction effect on seed germination of Dracula. felix.
Figure 4. Hazard ratios of the adjusted main effects from a Cox proportional regression model that included two- and three-way interaction effect on seed germination of Dracula. felix.
Diversity 15 00732 g004
Figure 5. Cumulative proportion of germinated seeds of Dracula felix sown on different asymbiotic medium types and incubated at different temperatures. Curves with the same letters are not significantly different according to a multiple pair wise comparison log-rank test with a Bonferroni correction to adjust p-values at α = 0.05 significance level.
Figure 5. Cumulative proportion of germinated seeds of Dracula felix sown on different asymbiotic medium types and incubated at different temperatures. Curves with the same letters are not significantly different according to a multiple pair wise comparison log-rank test with a Bonferroni correction to adjust p-values at α = 0.05 significance level.
Diversity 15 00732 g005
Figure 6. Cumulative proportion of germinated seeds of Dracula felix sown on different asymbiotic medium types and incubated at different photoperiods. Curves with same letters are not significantly different according to a multiple pair wise comparison log-rank test with a Bonferroni correction to adjust p-values at α = 0.05 significance level.
Figure 6. Cumulative proportion of germinated seeds of Dracula felix sown on different asymbiotic medium types and incubated at different photoperiods. Curves with same letters are not significantly different according to a multiple pair wise comparison log-rank test with a Bonferroni correction to adjust p-values at α = 0.05 significance level.
Diversity 15 00732 g006
Figure 7. Comparative effects of photoperiod, temperature, and asymbiotic medium type on seed germination and early seedling development of Dracula felix after 2 and 4 weeks. Shaded areas indicate 24 h Dark/0 h Light photoperiod. Histobars with the same letter are not significantly different (α = 0.05).
Figure 7. Comparative effects of photoperiod, temperature, and asymbiotic medium type on seed germination and early seedling development of Dracula felix after 2 and 4 weeks. Shaded areas indicate 24 h Dark/0 h Light photoperiod. Histobars with the same letter are not significantly different (α = 0.05).
Diversity 15 00732 g007
Figure 8. Comparative effects of photoperiod, temperature, and asymbiotic medium type on seed germination and early seedling development of Dracula felix after 6- and 8-weeks culture. Shaded areas indicate treatments that were maintained at 24 h Dark/0 h Light photoperiod for an initial 6-week period. Histobars with the same letter are not significantly different (α = 0.05).
Figure 8. Comparative effects of photoperiod, temperature, and asymbiotic medium type on seed germination and early seedling development of Dracula felix after 6- and 8-weeks culture. Shaded areas indicate treatments that were maintained at 24 h Dark/0 h Light photoperiod for an initial 6-week period. Histobars with the same letter are not significantly different (α = 0.05).
Diversity 15 00732 g008
Figure 9. Comparative effects of photoperiod, temperature, and asymbiotic medium type on seed germination and early seedling development of Dracula felix after 10-, 12-, and 16-weeks culture. Shaded areas indicate treatments that were maintained at 24 h Dark/0 h Light photoperiod for an initial 6-week period. Histobars with the same letter are not significantly different (α = 0.05).
Figure 9. Comparative effects of photoperiod, temperature, and asymbiotic medium type on seed germination and early seedling development of Dracula felix after 10-, 12-, and 16-weeks culture. Shaded areas indicate treatments that were maintained at 24 h Dark/0 h Light photoperiod for an initial 6-week period. Histobars with the same letter are not significantly different (α = 0.05).
Diversity 15 00732 g009
Figure 10. Effects of different putative mycorrhizal fungi on seed germination percentages of Dracula felix after 3- and 6-weeks culture. Histobars with the same letter are not significantly different (α = 0.05).
Figure 10. Effects of different putative mycorrhizal fungi on seed germination percentages of Dracula felix after 3- and 6-weeks culture. Histobars with the same letter are not significantly different (α = 0.05).
Diversity 15 00732 g010
Table 1. Seed germination and developmental stages of Dracula felix adapted from Stewart and Zettler [39].
Table 1. Seed germination and developmental stages of Dracula felix adapted from Stewart and Zettler [39].
StageDescription
0No germination, viable embryo, testa intact
1Swollen green embryo, filling the seed coat
2Continued embryo enlargement, rupture of test (GERMINATION)
3Embryo is released from the seed coat, Appearance of globular green protocorm.
4Emergence of leaf primordia, production of rhizoid(s)
5Elongation of leaf primordia (SEEDLING STAGE)
6Elongation of the first leaf and further development
Table 2. Putative orchid mycorrhizal fungi isolated from native orchids from Ecuador and from Florida, USA used to germinate sterile seeds of Dracula felix.
Table 2. Putative orchid mycorrhizal fungi isolated from native orchids from Ecuador and from Florida, USA used to germinate sterile seeds of Dracula felix.
Orchid Mycorrhizal Fungus IDOrchid SpeciesIdentificationUAMH Accession Number
LPA1TLepanthes acarina LuerTulasnellaUAMH 12449
LPA2TLepanthes acarina LuerTulasnellaUAMH 12450
LPA3TLepanthes acarina LuerTulasnellaUAMH 12448
CM4TCampylocentrum sp.TulasnellaceaeUAMH 12451
ER2CErycina pusilla (L.) N.H. Williams & M.W. ChaseCeratobasidiumNA
ER3CErycina pusilla (L.) N.H. Williams & M.W. ChaseCeratobasidiumUAMH 12452
MC1CMacroclinium sp.CeratobasidiumUAMH 12453
MC4CMacroclinium sp.CeratobasidiumUAMH 12454
US266Spiranthes brevilabris LyndleyTulasnella calosporaUAMH 9824
Disclaimer/Publisher’s Note: The statements, opinions and data contained in all publications are solely those of the individual author(s) and contributor(s) and not of MDPI and/or the editor(s). MDPI and/or the editor(s) disclaim responsibility for any injury to people or property resulting from any ideas, methods, instructions or products referred to in the content.

Share and Cite

MDPI and ACS Style

Quijia-Lamiña, P.H.; Baquero, L.E.; Kane, M.E.; Zettler, L.W. In Vitro Seed Germination and Seedling Development of Dracula felix (Luer) Luer—An Orchid Native to Ecuador. Diversity 2023, 15, 732. https://doi.org/10.3390/d15060732

AMA Style

Quijia-Lamiña PH, Baquero LE, Kane ME, Zettler LW. In Vitro Seed Germination and Seedling Development of Dracula felix (Luer) Luer—An Orchid Native to Ecuador. Diversity. 2023; 15(6):732. https://doi.org/10.3390/d15060732

Chicago/Turabian Style

Quijia-Lamiña, Paulina H., Luis E. Baquero, Michael E. Kane, and Lawrence W. Zettler. 2023. "In Vitro Seed Germination and Seedling Development of Dracula felix (Luer) Luer—An Orchid Native to Ecuador" Diversity 15, no. 6: 732. https://doi.org/10.3390/d15060732

APA Style

Quijia-Lamiña, P. H., Baquero, L. E., Kane, M. E., & Zettler, L. W. (2023). In Vitro Seed Germination and Seedling Development of Dracula felix (Luer) Luer—An Orchid Native to Ecuador. Diversity, 15(6), 732. https://doi.org/10.3390/d15060732

Note that from the first issue of 2016, this journal uses article numbers instead of page numbers. See further details here.

Article Metrics

Back to TopTop