Spatial-Temporal Change for Ecological Intactness of Giant Panda National Park and Its Adjacent Areas in Sichuan Province, China
Abstract
:1. Introduction
2. Materials and Methods
2.1. Study Area
2.2. Materials and Method
2.2.1. Data Preprocessing
2.2.2. Calculation of Ecological Intactness Scores
2.2.3. Analysis of the Spatiotemporal Change Trend and Driving Force of EIS
2.2.4. Analysis of the Relationship between Ecological Intactness and Giant Panda Habitat Suitability
3. Results
3.1. Spatial Characteristics of EIS
3.2. Fourty-Year Intactness Trends and Driving Force in GPNP
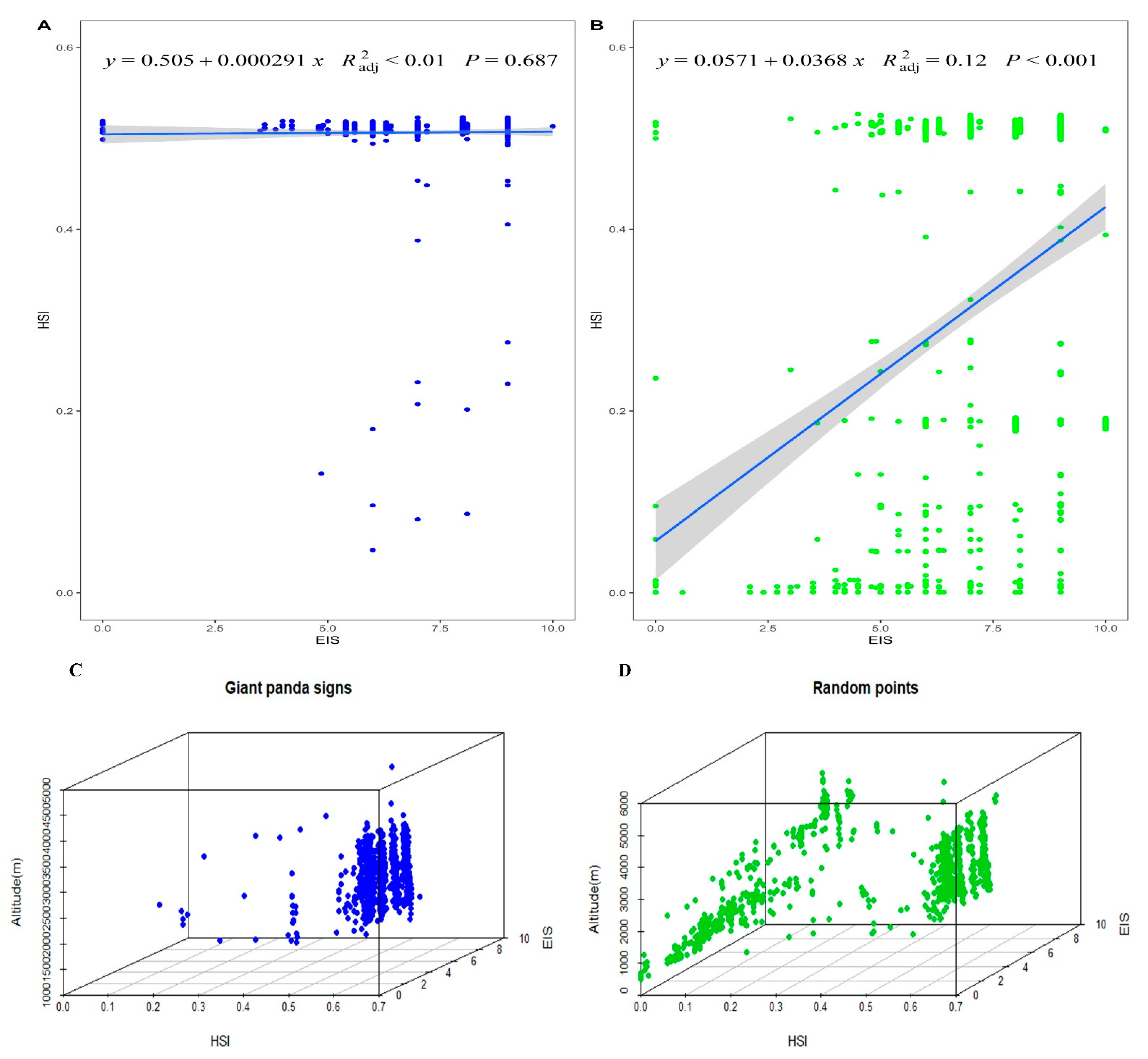
3.3. Relationship between Ecological Intactness and Giant Panda Habitat Suitability Index (HSI)
4. Discussion
4.1. Ecological Intactness in Giant Panda National Park
4.2. Ecological Intactness and Habitat Suitability for Giant Panda
4.3. Application of EIS in National Parks Management
5. Conclusions
Author Contributions
Funding
Institutional Review Board Statement
Informed Consent Statement
Data Availability Statement
Acknowledgments
Conflicts of Interest
References
- Mittermeier, R.A.; Myers, N.; Mittermeier, C.G.; Robles Gil, P. Hotspots: Earth’s Biologically Richest and Most Endangered Terrestrial Ecoregions; CEMEX: Mexico City; Graphic Arts Center Publishing Company: Portland, OR, USA, 2002; pp. 0022–2372. [Google Scholar]
- Zhang, J.; Xu, W.; Kong, L.; Hull, V.; Xiao, Y.; Xiao, Y.; Ouyang, Z. Strengthening protected areas for giant panda habitat and ecosystem services. Biol. Conserv. 2018, 227, 1–8. [Google Scholar] [CrossRef]
- Wei, F.; Swaisgood, R.; Hu, Y.; Nie, Y.; Yan, L.; Zhang, Z.; Qi, D.; Zhu, L. Progress in the ecology and conservation of giant pandas. Conserv. Biol. 2015, 29, 1497–1507. [Google Scholar] [CrossRef] [PubMed]
- Xu, W.; Viña, A.; Kong, L.; Pimm, S.L.; Zhang, J.; Yang, W.; Xiaodong, C.; Zhang, L.; Chen, X.; Liu, J.; et al. Reassessing the conservation status of the giant panda using remote sensing. Nat. Ecol. Evol. 2017, 1, 1635–1638. [Google Scholar] [CrossRef] [PubMed]
- Kang, D.W. A review of the impacts of four identified major human disturbances on the habitat and habitat use of wild giant pandas from 2015 to 2020. Sci. Total Environ. 2021, 763, 142975. [Google Scholar] [CrossRef]
- Tierney, G.L.; Faber-Langendoen, D.; Mitchell, B.R.; Shriver, W.G.; Gibbs, J.P. Monitoring and evaluating the ecological integrity of forest ecosystems. Front. Ecol. Environ. 2009, 7, 308–316. [Google Scholar] [CrossRef]
- Haurez, B.; Daïnou, K.; Vermeulen, C.; Kleinschroth, F.; Mortier, F.; Gourlet-Fleury, S.; Doucet, J.-L. A look at Intact Forest Landscapes (IFLs) and their relevance in Central African forest policy. For. Policy Econ. 2017, 80, 192–199. [Google Scholar] [CrossRef]
- Beyer, H.L.; Venter, O.; Grantham, H.S.; Watson, J.E. Substantial losses in ecoregion intactness highlight urgency of globally coordinated action. Conserv. Lett. 2019, 13. [Google Scholar] [CrossRef]
- Machado, A. An index of naturalness. J. Nat. Conserv. 2003, 12, 95–110. [Google Scholar] [CrossRef]
- Winter, S. Forest naturalness assessment as a component of biodiversity monitoring and conservation management. Forestry 2012, 85, 293–304. [Google Scholar] [CrossRef] [Green Version]
- Hansen, A.J.; Noble, B.P.; Veneros, J.; East, A.; Goetz, S.J.; Supples, C.; Watson, J.E.M.; Jantz, P.A.; Pillay, R.; Jetz, W.; et al. Toward monitoring forest ecosystem integrity within the post-2020 Global Biodiversity Framework. Conserv. Lett. 2021, 14, e12822. [Google Scholar] [CrossRef]
- Carter, S.K.; Fleishman, E.; Leinwand, I.I.F.; Flather, C.H.; Carr, N.B.; Fogarty, F.A.; Leu, M.; Noon, B.R.; Wohlfeil, M.E.; Wood, D.J.A. Quantifying Ecological Integrity of Terrestrial Systems to Inform Management of Multiple-Use Public Lands in the United States. Environ. Manag. 2019, 64, 1–19. [Google Scholar] [CrossRef] [PubMed] [Green Version]
- CBD. Ecosystem Integrity and International Policy; Wildlife Conservation Society (WCS): New York, NY, USA, 2021. [Google Scholar]
- Reza, M.I.H.; Abdullah, S.A. Regional Index of Ecological Integrity: A need for sustainable management of natural resources. Ecol. Indic. 2011, 11, 220–229. [Google Scholar] [CrossRef]
- Roche, P.K.; Campagne, C.S. From ecosystem integrity to ecosystem condition: A continuity of concepts supporting different aspects of ecosystem sustainability. Curr. Opin. Environ. Sustain. 2017, 29, 63–68. [Google Scholar] [CrossRef]
- Karr, J.R.; Larson, E.R.; Chu, E.W. Ecological integrity is both real and valuable. Conserv. Sci. Pr. 2021, 4, e583. [Google Scholar] [CrossRef]
- Chiarucci, A.; Piovesan, G. Need for a global map of forest naturalness for a sustainable future. Conserv. Biol. 2019, 34, 368–372. [Google Scholar] [CrossRef]
- The Forest Law of the People’s Republic of China Revised in 2019; Congress The National People’s: Beijing, China, 2019.
- Chazdon, R.L.; Brancalion, P.H.S.; Laestadius, L.; Bennett-Curry, A.; Buckingham, K.; Kumar, C.; Moll-Rocek, J.; Vieira, I.C.G.; Wilson, S.J. When is a forest a forest? Forest concepts and definitions in the era of forest and landscape restoration. Ambio 2016, 45, 538–550. [Google Scholar] [CrossRef]
- Jones, G.M.; Keane, J.J.; Gutiérrez, R.J.; Peery, M.Z. Declining old-forest species as a legacy of large trees lost. Divers. Distrib. 2017, 24, 341–351. [Google Scholar] [CrossRef] [Green Version]
- Morales-Hidalgo, D.; Oswalt, S.; Somanathan, E. Status and trends in global primary forest, protected areas, and areas designated for conservation of biodiversity from the Global Forest Resources Assessment 2015. For. Ecol. Manag. 2015, 352, 68–77. [Google Scholar] [CrossRef] [Green Version]
- Luyssaert, S.; Schulze, E.-D.; Börner, A.; Knohl, A.; Hessenmöller, D.; Law, B.; Ciais, P.; Grace, J. Old-growth forests as global carbon sinks. Nature 2008, 455, 213–215. [Google Scholar] [CrossRef]
- Vertessy, R.A.; Watson, F.G.; O′sullivan, S.K. Factors determining relations between stand age and catchment water balance in mountain ash forests. For. Ecol. Manag. 2001, 143, 13–26. [Google Scholar] [CrossRef]
- Brookhuis, B.; Hein, L. The value of the flood control service of tropical forests: A case study for Trinidad. For. Policy Econ. 2016, 62, 118–124. [Google Scholar] [CrossRef]
- Watson, J.E.M.; Evans, T.; Venter, O.; Williams, B.; Tulloch, A.; Stewart, C.; Thompson, I.; Ray, J.C.; Murray, K.; Salazar, A.; et al. The exceptional value of intact forest ecosystems. Nat. Ecol. Evol. 2018, 2, 599–610. [Google Scholar] [CrossRef] [PubMed]
- McGowan, P.J.K. Mapping the terrestrial human footprint. Nature 2016, 537, 172–173. [Google Scholar] [CrossRef] [PubMed]
- Venter, O.; Sanderson, E.W.; Magrach, A.; Allan, J.R.; Beher, J.; Jones, K.R.; Possingham, H.P.; Laurance, W.F.; Wood, P.; Fekete, B.M.; et al. Sixteen years of change in the global terrestrial human footprint and implications for biodiversity conservation. Nat. Commun. 2016, 7, 12558. [Google Scholar] [CrossRef] [PubMed] [Green Version]
- Theobald, D.M.; Kennedy, C.; Chen, B.; Oakleaf, J.; Baruch-Mordo, S.; Kiesecker, J. Earth transformed: Detailed mapping of global human modification from 1990 to 2017. Earth Syst. Sci. Data 2020, 12, 1953–1972. [Google Scholar] [CrossRef]
- Theobald, D.M. Estimating natural landscape changes from 1992 to 2030 in the conterminous US. Landsc. Ecol. 2010, 25, 999–1011. [Google Scholar] [CrossRef]
- Theobald, D.M. A general model to quantify ecological integrity for landscape assessments and US application. Landsc. Ecol. 2013, 28, 1859–1874. [Google Scholar] [CrossRef]
- Li, S.; Wu, J.; Gong, J.; Li, S. Human footprint in Tibet: Assessing the spatial layout and effectiveness of nature reserves. Sci. Total Environ. 2018, 621, 18–29. [Google Scholar] [CrossRef]
- Song, X.-P.; Hansen, M.C.; Stehman, S.V.; Potapov, P.V.; Tyukavina, A.; Vermote, E.F.; Townshend, J.R. Global land change from 1982 to 2016. Nature 2018, 560, 639–643. [Google Scholar] [CrossRef]
- Lovejoy, T.E. Eden no more. Sci. Adv. 2019, 5, eaax7492. [Google Scholar] [CrossRef] [Green Version]
- Potapov, P.; Hansen, M.C.; Laestadius, L.; Turubanova, S.; Yaroshenko, A.; Thies, C.; Smith, W.; Zhuravleva, I.; Komarova, A.; Minnemeyer, S.; et al. The last frontiers of wilderness: Tracking loss of intact forest landscapes from 2000 to 2013. Sci. Adv. 2017, 3, e1600821. [Google Scholar] [CrossRef] [PubMed] [Green Version]
- Liu, J.; Dietz, T.; Carpenter, S.R.; Alberti, M.; Folke, C.; Moran, E.; Pell, A.N.; Deadman, P.; Kratz, T.; Lubchenco, J.; et al. Complexity of Coupled Human and Natural Systems. Science 2007, 317, 1513–1516. [Google Scholar] [CrossRef] [PubMed] [Green Version]
- Lück-Vogel, M.; O’Farrell, P.J.; Roberts, W. Remote sensing based ecosystem state assessment in the Sandveld Region, South Africa. Ecol. Indic. 2013, 33, 60–70. [Google Scholar] [CrossRef]
- Wei, W.; Swaisgood, R.; Dai, Q.; Yang, Z.; Yuan, S.; Owen, M.A.; Pilfold, N.W.; Yang, X.; Gu, X.; Zhou, H.; et al. Giant panda distributional and habitat-use shifts in a changing landscape. Conserv. Lett. 2018, 11, e12575. [Google Scholar] [CrossRef]
- State Forestry Administration. The Giant Pandas of China: Status Quo, Major Findings of the Fourth National Survey on Giant Panda; Science Press: Beijing, China, 2015. [Google Scholar]
- State Forestry Administration. The 3th National Survey Report on Giant Panda in China; Science Press: Beijing, China, 2006. [Google Scholar]
- IUCN. Sichuan Giant Panda Sanctuaries—Wolong, Mount Siguniang & Jiajin Mountains—2020 Conservation Outlook Assessment; IUCN: Gland, Switzerland, 2020. [Google Scholar]
- Zhang, Y.; Mathewson, P.D.; Zhang, Q.; Porter, W.P.; Ran, J. An ecophysiological perspective on likely giant panda habitat responses to climate change. Glob. Chang. Biol. 2017, 24, 1804–1816. [Google Scholar] [CrossRef] [PubMed]
- Kong, L.; Xu, W.; Zhang, L.; Gong, M.; Xiao, Y.; Ouyang, Z. Habitat conservation redlines for the giant pandas in China. Biol. Conserv. 2016, 210, 83–88. [Google Scholar] [CrossRef]
- He, K.; Dai, Q.; Gu, X.; Zhang, Z.; Zhou, J.; Qi, D.; Gu, X.; Yang, X.; Zhang, W.; Yang, B.; et al. Effects of roads on giant panda distribution: A mountain range scale evaluation. Sci. Rep. 2019, 9, 1–8. [Google Scholar] [CrossRef] [Green Version]
- Xu, W.; Ouyang, Z.; Viña, A.; Zheng, H.; Liu, J.; Xiao, Y. Designing a conservation plan for protecting the habitat for giant pandas in the Qionglai mountain range, China. Divers. Distrib. 2006, 12, 610–619. [Google Scholar] [CrossRef]
- Kang, D.; Wang, X.; Yang, H.; Duan, L.; Li, J. Habitat use by giant pandas (Ailuropoda melanoleuca) in relation to roads in the Wanglang Nature Reserve, People’s Republic of China. Can. J. Zool. 2014, 92, 715–719. [Google Scholar] [CrossRef]
- Li, J.; Zhang, T.T.; Yang, W.; Zhang, Y. The Environmental Impact of Mining and Its Countermeasures 2016. MATEC Web Conf. 2016, 63, 7. [Google Scholar] [CrossRef] [Green Version]
- Liu, S.L.; Zhao, Q.H.; Wen, M.X.; Deng, L.; Dong, S.; Wang, C. Assessing the impact of hydroelectric project construction on the ecological integrity of the Nuozhadu Nature Reserve, southwest China. Stoch. Environ. Res. Risk Assess. 2013, 27, 1709–1718. [Google Scholar] [CrossRef]
- Chong, X.Y.; Vericat, D.; Batalla, R.J.; Teo, F.Y.; Lee, K.S.P.; Gibbins, C.N. A review of the impacts of dams on the hydromorphology of tropical rivers. Sci. Total Environ. 2021, 794, 148686. [Google Scholar] [CrossRef] [PubMed]
- Lu, W.W.; Lei, H.M.; Yang, D.W.; Tang, L.; Miao, Q. Quantifying the impacts of small dam construction on hydrological alterations in the Jiulong River basin of Southeast China. J. Hydrol. 2018, 567, 382–392. [Google Scholar] [CrossRef]
- Liu, J.; Liu, M.; Tian, H.; Zhuang, D.; Zhang, Z.; Zhang, W.; Tang, X.; Deng, X. Spatial and temporal patterns of China’s cropland during 1990–2000: An analysis based on Landsat TM data. Remote Sens. Environ. 2005, 98, 442–456. [Google Scholar] [CrossRef]
- Hu, J.C. Giant pandas at Qionglai Mountain(in Chinese). J. Nanchong Norm. Univ. Nat. Sci. Ed. 1986, 1, 21–28. [Google Scholar]
- Sichuan Vegetation Cooperative Group, Sichuan. Sichuan Vegetation; Sichuan People’s Publishing House: Chengdu, China, 1980. [Google Scholar]
- Venter, O.; Sanderson, E.W.; Magrach, A.; Allan, J.; Beher, J.; Jones, K.R.; Possingham, H.; Laurance, W.F.; Wood, P.; Fekete, B.M.; et al. Global terrestrial Human Footprint maps for 1993 and 2009. Sci. Data 2016, 3, 160067. [Google Scholar] [CrossRef] [Green Version]
- He, Y.; Fan, G.F.; Zhang, X.W.; Liu, M.; Gao, D. Variation of vegetation NDVI and its response to climate change in Zhejiang Province. Acta Ecol. Sin. 2012, 32, 4352–4362. [Google Scholar] [CrossRef]
- Wang, J.-F.; Li, X.-H.; Christakos, G.; Liao, Y.-L.; Zhang, T.; Gu, X.; Zheng, X.-Y. Geographical Detectors-Based Health Risk Assessment and its Application in the Neural Tube Defects Study of the Heshun Region, China. Int. J. Geogr. Inf. Sci. 2010, 24, 107–127. [Google Scholar] [CrossRef]
- Wang, J.-F.; Zhang, T.-L.; Fu, B.-J. A measure of spatial stratified heterogeneity. Ecol. Indic. 2016, 67, 250–256. [Google Scholar] [CrossRef]
- Dakhil, M.A.; Halmy, M.W.A.; Liao, Z.; Pandey, B.; Zhang, L.; Pan, K.; Sun, X.; Wu, X.; Eid, E.M.; El-Barougy, R.F. Potential risks to endemic conifer montane forests under climate change: Integrative approach for conservation prioritization in southwestern China. Landsc. Ecol. 2021, 36, 3137–3151. [Google Scholar] [CrossRef]
- Hirzel, A.H.; Lay, G.L. Habitat suitability modelling and niche theory. J. Appl. Ecol. 2008, 45, 1372–1381. [Google Scholar] [CrossRef]
- Li, C.; Connor, T.; Bai, W.; Yang, H.; Zhang, J.; Qi, D.; Zhou, C. Dynamics of the giant panda habitat suitability in response to changing anthropogenic disturbance in the Liangshan Mountains. Biol. Conserv. 2019, 237, 445–455. [Google Scholar] [CrossRef]
- Zhen, J.; Wang, X.; Meng, Q.; Song, J.; Liao, Y.; Xiang, B.; Guo, H.; Liu, C.; Yang, R.; Luo, L. Fine-Scale Evaluation of Giant Panda Habitats and Countermeasures against the Future Impacts of Climate Change and Human Disturbance (2015–2050): A Case Study in Ya’an, China. Sustainability 2018, 10, 1081. [Google Scholar] [CrossRef] [Green Version]
- Kong, L.Q.; Xu, W.H.; Xiao, Y.; Pimm, S.L.; Shi, H.; Ouyang, Z.Y. Spatial models of giant pandas under current and future conditions reveal extinction risks. Nat. Ecol. Evol. 2021, 5, 1309–1316. [Google Scholar] [CrossRef] [PubMed]
- Sichuan Forestry Department. The 4th Survey Report on Giant Panda in Sichuan Province; Sichuan Science and Technology Press: Chengdu, China, 2015. [Google Scholar]
- Li, C.; Yu, J.; Wu, W.; Hou, R.; Yang, Z.; Owens, J.R.; Gu, X.; Xiang, Z.; Qi, D. Evaluating the efficacy of zoning designations for national park management. Glob. Ecol. Conserv. 2021, 27, e01562. [Google Scholar] [CrossRef]
- Li, B.V.; Pimm, S.L.; Li, S.; Zhao, L.; Luo, C. Free-ranging livestock threaten the long-term survival of giant pandas. Biol. Conserv. 2017, 216, 18–25. [Google Scholar] [CrossRef]
- Liu, J.G.; Ouyang, Z.; Taylor, W.W.; Groop, R.; Tan, Y.; Zhang, H. A Framework for Evaluating the Effects of Human Factors on Wildlife Habitat: The Case of Giant Pandas. Conserv. Biol. 1999, 13, 1360–1370. [Google Scholar] [CrossRef]
- Liu, J.; Viña, A. Pandas, Plants, and People. Ann. Mo. Bot. Gard. 2014, 100, 108–125. [Google Scholar] [CrossRef]
- Xu, W.; Wang, X.; Ouyang, Z.; Zhang, J.; Li, Z.; Xiao, Y.; Zheng, H. Conservation of giant panda habitat in South Minshan, China, after the May 2008 earthquake. Front. Ecol. Environ. 2009, 7, 353–358. [Google Scholar] [CrossRef]
- Feng, C.; Cao, M.; Liu, F.; Zhou, Y.; Du, J.; Zhang, L.; Huang, W.; Luo, J.; Jun-Sheng, L.; Wang, W. Improving protected area effectiveness through consideration of different human pressure baselines. Conserv. Biol. 2022. [Google Scholar] [CrossRef]
- Huang, Q.; Fei, Y.; Yang, H.; Gu, X.; Songer, M. Giant Panda National Park, a step towards streamlining protected areas and cohesive conservation management in China. Glob. Ecol. Conserv. 2020, 22, e00947. [Google Scholar] [CrossRef]









| Human Activity | Year | Resolution | Data Source |
|---|---|---|---|
| Road interference | 1980, 1990, 2000, 2010, 2018, and 2020 | - | The Data Center of Resources and Environmental Sciences, Chinese Academy of Sciences (https://www.resdc.cn/data.aspx?DATAID = 237) (accessed on 6 September 2020); the Traffic Yearbook of Sichuan Province (http://cnki.nbsti.net/CSYDMirror/Trade/yearbook/single/N2021080079?z=Z014) (accessed on 6 September 2020) |
| Mining interference | 1980, 1990, 2000, 2010, 2018, and 2020 | 30 m × 30 m | local authorities; field investigation |
| Water reservoirs and hydropower construction | 1980, 1990, 2000, 2010, 2018, and 2020 | 30 m × 30 m | local authorities; field investigation |
| Land Use and Cover Change | 1980, 1990, 2000, 2010, 2018, and 2020 | 30 m × 30 m | The Data Center of Resources and Environmental Sciences, Chinese Academy of Sciences (https://www.resdc.cn) (accessed on 31 December 2020) |
| Road Grade | Road Facility (0–100 m) | 100–500 m | 500–1000 m | 1000–3000 m |
|---|---|---|---|---|
| Highway | 10 | 3 | 2 | 1 |
| First Grade | 10 | 3 | 2 | 1 |
| Second grade | 8 | 2 | 1 | 0 |
| Third grade | 6 | 2 | 0 | 0 |
| Fourth grade | 4 | 1 | 0 | 0 |
| Railway | 10 | 3 | 1 | 0 |
| Mining Type | Mining Area | 0–200 m | 200–500 m | 500–800 m | 800–1000 m |
|---|---|---|---|---|---|
| Large open pit mine | 10 | 8 | 4 | 2 | 0 |
| Small open pit mine | 10 | 4 | 2 | 1 | 0 |
| Large underground mine | 10 | 4 | 2 | 1 | 0 |
| Small underground mine | 10 | 2 | 1 | 0 | 0 |
| Type | Dam Region | 500–1000 m | 1000–1500 m | 1500–2500 m | 2500–5000 m |
|---|---|---|---|---|---|
| large-scale hydraulic project | 10 | 8 | 4 | 2 | 1 |
| Small and medium hydraulic project | 10 | 4 | 2 | 1 | 0 |
| Large hydropower | 10 | 8 | 4 | 2 | 1 |
| Small and medium hydropower | 10 | 2 | 1 | 0 | 0 |
| Land-Use Type | Sub-Type | Score |
|---|---|---|
| Cultivated Land | paddy field | 7 |
| dry land | 5 | |
| Woodland | forested land (Altitude ≤ 3800) | 1 |
| forested land (Altitude > 3800) | 0 | |
| shrubland (Altitude ≤ 3800) | 3 | |
| shrubland (Altitude > 3800) | 1 | |
| sparse forested land (Altitude ≤ 3800) | 2 | |
| sparse forested land (Altitude > 3800) | 0 | |
| other woodlands | 6 | |
| Grassland | grassland (Altitude ≤ 3800) | 4 |
| grassland (Altitude > 3800) | 2 | |
| Water Area | canal | 2 |
| reservoirs/ponds | 3 | |
| Lake, permanent glacier snow area, tidal flat, floodplain | 0 | |
| Industrial and Residential | urban land | 10 |
| rural residential area | 10 | |
| other construction lands | 10 | |
| Unused Land | desert, the Gobi Desert, saline-alkali land, swamp, bare land, bare rock and gravel fields, others | 0 |
| Slope | Z Value | Category |
|---|---|---|
| ≥0.0005 | >1.96 or <−1.96 | significant improvement |
| ≥0.0005 | −1.96–1.96 | slight improvement |
| −0.0005–0.0005 | −1.96–1.96 | stable |
| <−0.0005 | >1.96 or <−1.96 | significant degradation |
| <−0.0005 | −1.96–1.96 | slight degradation |
Publisher’s Note: MDPI stays neutral with regard to jurisdictional claims in published maps and institutional affiliations. |
© 2022 by the authors. Licensee MDPI, Basel, Switzerland. This article is an open access article distributed under the terms and conditions of the Creative Commons Attribution (CC BY) license (https://creativecommons.org/licenses/by/4.0/).
Share and Cite
Luo, C.; Yang, H.; Luo, P.; Liu, S.; Wang, J.; Wang, X.; Li, H.; Mou, C.; Mo, L.; Jia, H.; et al. Spatial-Temporal Change for Ecological Intactness of Giant Panda National Park and Its Adjacent Areas in Sichuan Province, China. Diversity 2022, 14, 485. https://doi.org/10.3390/d14060485
Luo C, Yang H, Luo P, Liu S, Wang J, Wang X, Li H, Mou C, Mo L, Jia H, et al. Spatial-Temporal Change for Ecological Intactness of Giant Panda National Park and Its Adjacent Areas in Sichuan Province, China. Diversity. 2022; 14(6):485. https://doi.org/10.3390/d14060485
Chicago/Turabian StyleLuo, Chuan, Hao Yang, Peng Luo, Shiliang Liu, Jun Wang, Xu Wang, Honglin Li, Chengxiang Mou, Li Mo, Honghong Jia, and et al. 2022. "Spatial-Temporal Change for Ecological Intactness of Giant Panda National Park and Its Adjacent Areas in Sichuan Province, China" Diversity 14, no. 6: 485. https://doi.org/10.3390/d14060485
APA StyleLuo, C., Yang, H., Luo, P., Liu, S., Wang, J., Wang, X., Li, H., Mou, C., Mo, L., Jia, H., Wu, S., Cheng, Y., Huang, Y., & Xie, W. (2022). Spatial-Temporal Change for Ecological Intactness of Giant Panda National Park and Its Adjacent Areas in Sichuan Province, China. Diversity, 14(6), 485. https://doi.org/10.3390/d14060485

