Investigation of Antioxidant Properties of Propolis Products Collected from Different Regions
Abstract
1. Introduction
2. Results
2.1. Dry Matter and pH Values of Collected Samples
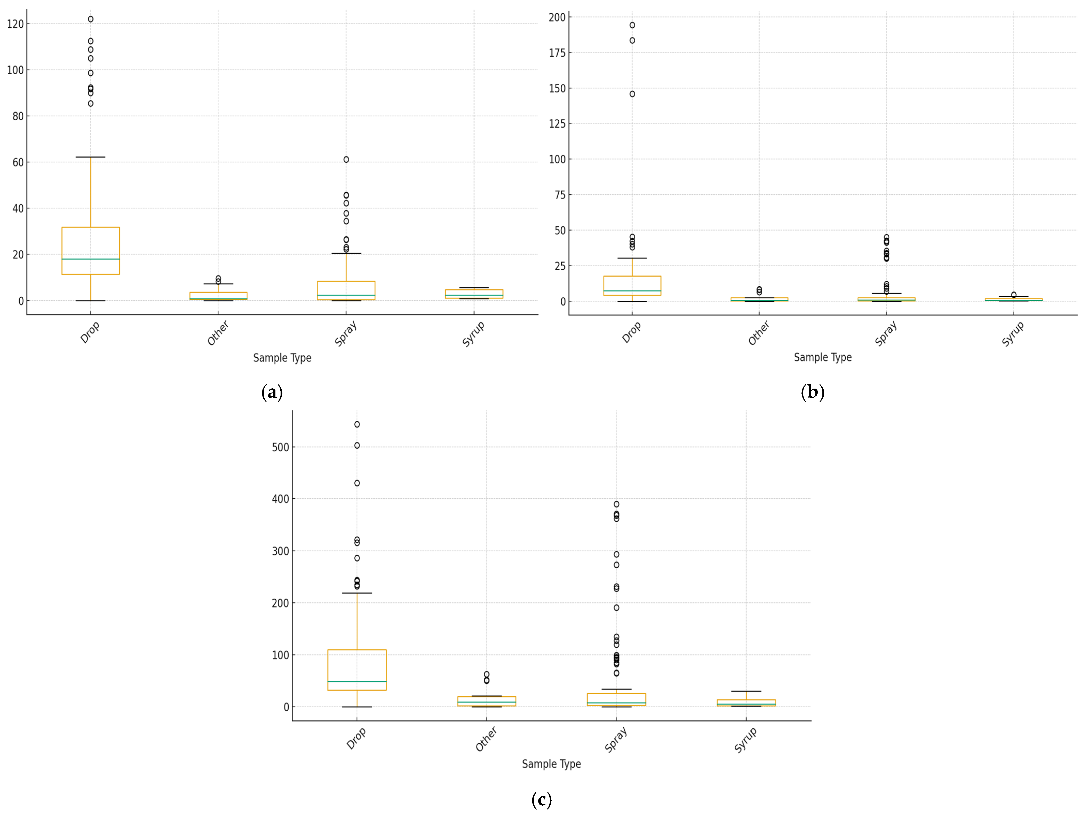
2.2. Spectrophotometric Analysis
2.3. LC-MS Data Results
3. Discussion
4. Materials and Methods
4.1. Propolis Samples
4.2. Chemicals
4.3. Dry Matter and pH Value Determination
4.4. Determination of Total Phenolic Content
4.5. Determination of Total Flavonoid Content
4.6. Determination of Total Antioxidant Capacity
4.7. Liquid Chromatography Tandem-Mass Spectrometry (LC-MS/MS) Analysis of Individual Phenolic Compounds
4.8. Statistical Analysis
5. Conclusions
Author Contributions
Funding
Institutional Review Board Statement
Informed Consent Statement
Data Availability Statement
Acknowledgments
Conflicts of Interest
Abbreviations
| ANOVA | Analysis of variance |
| CAPE | Caffeic acid phenethyl ester |
| CE | Catechin Equivalent |
| CUPRAC | Cupric Reducing Antioxidant Capacity |
| DPPH | 2,2-diphenyl-1-picrylhydrazyl |
| GAE | Gallic Acid Equivalent |
| LC-MS/MS | Liquid chromatography–mass spectrometry |
| PCA | Principal Component Analysis |
| TE | Trolox Equivalent |
| TFC | Total Flavonoid Content |
| TPC | Total Phenolic Content |
| UAE | United Arab Emirates |
| UPLC–MS | Ultra-performance liquid chromatography-mass spectrometry |
| USA | United States of America |
Appendix A

| Region | The Solvent of Extraction | Product Type | Sample No | pH | Dry Matter % |
|---|---|---|---|---|---|
| Belgium | Water | Spray | 101 | 3.2 ± 0.3 | 42.8 ± 7.4 |
| Water + Glycerin | Spray | 105 | 3.6 ± 0.5 | 48.3 ± 4.1 | |
| Water | Syrup | 115 | 3.3 ± 0.7 | 72.1 ± 11.9 | |
| Brazil | Ethanol | Drop | 55 | 5.3 ± 0.4 | 12.2 ± 1.4 |
| Propylene glycol | Drop | 49 | 5.5 ± 1.0 | 10.4 ± 1.9 | |
| Water + Ethanol | Drop | 63 | 4.5 ± 1.6 | 15.6 ± 1.6 | |
| Croatia | Water + Ethanol | Spray | 34 | 5.1 ± 0.5 | 4.4 ± 0.6 |
| Water + Ethanol | Syrup | 97 | 4.6 ± 0.8 | 39.8 ± 7.4 | |
| Estonia | Not Specified on the Label | Drop | 2 | - | 0.1 ± 0.0 |
| Ethanol | Drop | 28 | 5.2 ± 1.2 | 3.3 ± 0.2 | |
| Not Specified on the Label | Spray | 117 | 5.8 ± 0.7 | 90.6 ± 4.1 | |
| Not Specified on the Label | Spray | 118 | 5.4 ± 0.6 | 92.1 ± 10.6 | |
| Water + Glycerin | Spray | 65 | 4.4 ± 0.8 | 16.2 ± 1.7 | |
| France | Water | Other | 91 | 3.8 ± 0.7 | 34.7 ± 1.1 |
| Water | Spray | 25 | 3.7 ± 0.5 | 3.2 ± 0.7 | |
| Water + Glycerin | Spray | 108 | 3.5 ± 0.5 | 53.5 ± 5.7 | |
| Germany | Water | Drop | 53 | 5.5 ± 0.5 | 10.8 ± 1.6 |
| Water | Drop | 85 | 4.4 ± 1.0 | 32.4 ± 2.9 | |
| Water + Ethanol | Drop | 45 | 5.6 ± 0.6 | 10.0 ± 0.9 | |
| Water + Ethanol | Drop | 43 | 5.8 ± 1.1 | 8.6 ± 1.1 | |
| Ethanol | Drop | 35 | 4.5 ± 0.6 | 4.9 ± 0.5 | |
| Not Specified on the Label | Other | 70 | 3.7 ± 0.5 | 19.5 ± 2.8 | |
| Water | Syrup | 88 | 3.6 ± 0.4 | 33.6 ± 4.6 | |
| Italy | Water + Glycerin | Spray | 103 | 3.9 ± 0.3 | 44.4 ± 5.4 |
| Water + Glycerin | Spray | 37 | 7.7 ± 1.1 | 4.9 ± 0.8 | |
| Water + Glycerin | Spray | 95 | 4.4 ± 0.6 | 36.4 ± 7.9 | |
| Water | Spray | 31 | 4.7 ± 0.9 | 3.6 ± 0.8 | |
| Water + Glycerin | Syrup | 106 | 4.3 ± 1.0 | 49.1 ± 6.6 | |
| Japan | Not Specified on the Label | Drop | 5 | - | 0.6 ± 0.1 |
| Water + Ethanol | Spray | 94 | 4.6 ± 0.2 | 36.1 ± 7.1 | |
| Korea | Water | Drop | 99 | 8.6 ± 0.5 | 41.1 ± 4.3 |
| Not Specified on the Label | Drop | 120 | 6.2 ± 0.7 | 96.1 ± 10.0 | |
| Propylene glycol | Drop | 89 | 4.9 ± 0.8 | 33.7 ± 6.6 | |
| Ethanol | Drop | 75 | 5.5 ± 1.1 | 21.2 ± 3.5 | |
| Propylene glycol | Drop | 62 | 5.4 ± 0.8 | 14.8 ± 2.3 | |
| Water + Ethanol | Drop | 54 | 3.2 ± 0.6 | 11.0 ± 1.5 | |
| Water | Other | 1 | - | 0.1 ± 0.0 | |
| Not Specified on the Label | Other | 81 | - | 25.1 ± 3.6 | |
| Water | Spray | 42 | 9.3 ± 1.1 | 7.2 ± 1.0 | |
| Water + Glycerin | Spray | 102 | 7.3 ± 1.1 | 43.8 ± 0.9 | |
| Water + Ethanol | Spray | 82 | 5.8 ± 1.4 | 30.0 ± 5.6 | |
| Water + Glycerin | Spray | 112 | 4.1 ± 1.1 | 67.3 ± 3.3 | |
| Glycerin + Ethanol + Propylene glycol | Spray | 64 | 5.5 ± 0.7 | 15.8 ± 2.9 | |
| Not Specified on the Label | Spray | 72 | 3.6 ± 0.4 | 19.8 ± 1.1 | |
| Glycerin + Ethanol + Propylene glycol | Spray | 76 | 5.1 ± 0.2 | 21.3 ± 4.3 | |
| Water + Glycerin | Spray | 109 | 4.2 ± 0.3 | 55.4 ± 4.6 | |
| Glycerin + Ethanol | Spray | 100 | 6.0 ± 0.3 | 42.7 ± 6.5 | |
| Water | Spray | 79 | 4.1 ± 0.6 | 23.4 ± 2.9 | |
| Latvia | Water + Glycerin + Ethanol | Spray | 52 | 5.2 ± 1.0 | 10.6 ± 1.9 |
| New Zealand | Propylene glycol | Drop | 69 | 4.9 ± 1.0 | 19.3 ± 3.6 |
| Romania | Glycerin | Drop | 116 | 4.7 ± 0.8 | 80.5 ± 8.6 |
| Water + Ethanol | Drop | 41 | 4.2 ± 0.6 | 6.6 ± 0.7 | |
| Water | Spray | 83 | 3.6 ± 0.6 | 30.3 ± 6.2 | |
| Water | Spray | 86 | 3.5 ± 0.6 | 33.1 ± 3.5 | |
| Water + Glycerin | Spray | 110 | 4.6 ± 0.8 | 61.5 ± 8.9 | |
| Water | Spray | 39 | 3.5 ± 0.7 | 6.1 ± 1.1 | |
| Water | Syrup | 104 | - | 46.0 ± 1.6 | |
| Glycerin | Syrup | 107 | 3.8 ± 0.5 | 52.7 ± 3.0 | |
| Russia | Ethanol | Drop | 61 | 5.4 ± 0.6 | 14.5 ± 3.1 |
| San Marino | Water + Glycerin | Drop | 68 | 3.2 ± 0.8 | 18.9 ± 3.9 |
| Water + Ethanol | Drop | 77 | 4.6 ± 0.6 | 22.0 ± 3.2 | |
| Slovenia | Polietilen glikol | Drop | 119 | 5.8 ± 0.4 | 94.8 ± 9.3 |
| Water + Glycerin + Ethanol | Drop | 44 | 5.8 ± 0.2 | 8.9 ± 0.4 | |
| Water + Glycerin | Spray | 12 | - | 1.5 ± 0.3 | |
| Water + Glycerin + Ethanol | Spray | 96 | 5.5 ± 0.5 | 37.7 ± 3.0 | |
| Spain | Water + Glycerin | Drop | 84 | 7.5 ± 0.3 | 31.8 ± 4.5 |
| Propylene glycol | Drop | 36 | 3.6 ± 0.4 | 4.9 ± 0.7 | |
| UAE | Water | Other | 113 | - | 68.9 ± 2.1 |
| Not Specified on the Label | Other | 114 | 3.8 ± 1.0 | 71.9 ± 8.3 | |
| Water | Spray | 24 | 3.6 ± 0.7 | 3.1 ± 0.2 | |
| Water | Spray | 17 | 4.7 ± 0.7 | 2.2 ± 0.4 | |
| Glycerin | Spray | 22 | 5.0 ± 1.0 | 2.8 ± 0.6 | |
| Water + Glycerin | Spray | 90 | 4.7 ± 0.5 | 34.2 ± 4.2 | |
| USA | Ethanol | Drop | 111 | - | 67.1 ± 7.8 |
| Not Specified on the Label | Drop | 121 | - | 98.3 ± 11.3 | |
| Not Specified on the Label | Spray | 13 | 5.9 ± 1.2 | 1.5 ± 0.2 |
| Group No | Sample No | Phenolic Acids | Flavones | Flavanones | Flavanols | ||||||||
|---|---|---|---|---|---|---|---|---|---|---|---|---|---|
| p-Coumaric Acid | Gallic Acid | Caffeic Acid | CAPE * | Ferrulic Acid | Chrysin | Apigenin | Pinocembrin | Naringenin | Galangin | Cathechin | Quercetin | ||
| 1 | 13 | - | - | - | - | - | 79.6 ± 15.2 | 1370.7 ± 257.5 | 157.6 ± 21.9 | 90.9 ± 20.3 | 2729.1 ± 505.3 | - | 57.9 ± 13.4 |
| 1 | 36 | 186.7 ± 37.3 | - | 320.8 ± 48.3 | - | 60.4 ± 11.9 | - | - | - | 56.2 ± 11.8 | 494.5 ± 56.5 | - | 105.7 ± 22.5 |
| 1 | 42 | 92.3 ± 18.0 | - | - | 250.4 ± 59.2 | - | 5090.8 ± 622.3 | 121.9 ± 28.7 | 2138.6 ± 205.3 | - | - | - | - |
| 1 | 49 | 485.6 ± 96.9 | - | 252.8 ± 51.8 | 121.5 ± 22.9 | 20.5 ± 3.8 | 6621.9 ± 1211.8 | 2204.3 ± 518.9 | 10,548.9 ± 2036.9 | 14.2 ± 3.2 | 5403.5 ± 647.0 | - | 90.8 ± 18.7 |
| 1 | 54 | 137.5 ± 26.2 | - | 49.5 ± 6.4 | - | 117.4 ± 22.5 | - | 1447.4 ± 326.8 | 5809.7 ± 826.1 | 152.0 ± 29.8 | 3183.0 ± 698.4 | - | 53.5 ± 12.7 |
| 1 | 55 | 675.9 ± 141.0 | - | 160.9 ± 38.1 | - | 41.6 ± 8.4 | - | 14.6 ± 3.3 | 225.8 ± 33.5 | 23.6 ± 4.4 | - | - | 126.0 ± 23.7 |
| 1 | 62 | - | - | - | 133.9 ± 26.2 | - | 6805.2 ± 1152.5 | 4520.6 ± 924.1 | - | 154.8 ± 32.3 | 8238.0 ± 814.3 | - | 62.7 ± 13.1 |
| 1 | 63 | 1449.7 ± 326.8 | - | 304.2 ± 66.8 | - | 66.4 ± 12.5 | 389.9 ± 82.9 | 992.1 ± 189.5 | 262.7 ± 55.7 | 15.0 ± 2.8 | 1876.5 ± 268.0 | - | 181.0 ± 34.3 |
| 1 | 64 | - | - | 168.2 ± 25.5 | 53.0 ± 12.3 | - | 1976.9 ± 381.8 | 757.2 ± 150.3 | 12.9 ± 2.7 | 21.2 ± 4.1 | - | - | 31.0 ± 5.7 |
| 1 | 68 | 12.2 ± 2.3 | 33.0 ± 4.6 | - | 76.4 ± 14.1 | - | 189.2 ± 27.2 | 273.7 ± 56.9 | 14.3 ± 2.1 | 47.5 ± 8.6 | - | 16.4 ± 3.3 | 18.5 ± 3.4 |
| 1 | 69 | 303.6 ± 43.5 | - | 1322.6 ± 255.1 | 170.0 ± 36.6 | 130.9 ± 29.2 | 4238.8 ± 704.6 | 529.2 ± 109.2 | 2162.1 ± 295.9 | - | 3332.9 ± 613.8 | - | 293.1 ± 56.6 |
| 1 | 70 | - | - | - | - | - | 58.8 ± 13.3 | - | 77.1 ± 15.6 | - | - | - | - |
| 1 | 75 | - | - | - | 14.0 ± 2.6 | 130.7 ± 24.8 | 19.3 ± 3.4 | 19.5 ± 4.3 | - | 50.0 ± 9.9 | 32.5 ± 5.4 | - | 21.8 ± 4.2 |
| 1 | 76 | 22.4 ± 4.9 | - | 12.7 ± 1.6 | - | - | - | 691.3 ± 152.2 | 4134.4 ± 399.9 | 105.2 ± 23.0 | 2408.6 ± 485.9 | - | 1365.2 ± 271.6 |
| 1 | 77 | 73.8 ± 17.6 | 418.7 ± 72.0 | 52.2 ± 5.7 | 53.6 ± 11.0 | 28.4 ± 6.2 | 617.8 ± 88.2 | 30.7 ± 6.2 | 830.9 ± 140.6 | 109.6 ± 18.4 | - | 314.3 ± 66.1 | 88.7 ± 16.7 |
| 1 | 82 | - | - | - | 94.8 ± 21.1 | - | 5627.9 ± 748.4 | 49.6 ± 10.7 | 187.3 ± 48.9 | 124.1 ± 27.1 | - | - | 143.0 ± 33.2 |
| 1 | 89 | 13.2 ± 3.0 | - | - | - | - | - | - | 2806.4 ± 268.6 | 179.6 ± 33.1 | - | - | 216.3 ± 45.0 |
| 1 | 99 | 237.3 ± 31.2 | - | 1451.5 ± 206.4 | - | 27.2 ± 5.5 | - | 1982.6 ± 439.0 | 59.5 ± 13.5 | - | 3643.4 ± 519.4 | - | 40.4 ± 7.6 |
| 1 | 100 | - | - | - | 16.0 ± 3.3 | - | 268.8 ± 40.8 | 1343.6 ± 251.0 | 72.0 ± 14.0 | 59.7 ± 11.6 | 4226.2 ± 808.0 | - | 24.8 ± 5.0 |
| 1 | 111 | 101.6 ± 20.8 | - | 56.8 ± 11.5 | 235.4 ± 53.2 | 32.5 ± 6.8 | 2417.7 ± 461.9 | - | 1783.5 ± 363.6 | 287.0 ± 53.1 | - | - | 241.3 ± 53.6 |
| 1 | 119 | 92.6 ± 22.0 | - | 44.6 ± 8.3 | 30.0 ± 5.6 | 87.1 ± 19.9 | - | 1370.1 ± 321.2 | - | 143.3 ± 29.5 | 79.2 ± 13.0 | - | 108.6 ± 20.1 |
| 1 | 120 | - | - | - | - | - | - | - | - | 84.2 ± 18.5 | - | - | 44.1 ± 8.8 |
| 2 | 1 | - | - | - | - | - | - | - | - | - | - | - | - |
| 2 | 2 | - | - | - | - | - | - | - | - | - | - | - | - |
| 2 | 5 | - | 87.8 ± 8.6 | - | 34.5 ± 4.6 | - | 32.6 ± 4.2 | 1082.9 ± 174.2 | - | - | - | - | - |
| 2 | 17 | 39.1 ± 7.1 | - | - | - | - | 137.2 ± 24.1 | - | 133.1 ± 17.1 | - | - | - | - |
| 2 | 22 | - | - | - | - | - | - | - | - | - | - | - | - |
| 2 | 24 | - | - | - | 11.3 ± 1.9 | - | 746.7 ± 39.5 | - | - | - | - | - | - |
| 2 | 25 | - | - | - | - | - | - | - | - | - | - | - | - |
| 2 | 28 | 217.7 ± 11.9 | - | 75.8 ± 13.3 | - | 204.9 ± 10.2 | - | - | 1852.0 ± 453.3 | 33.0 ± 6.0 | - | - | 17.6 ± 4.8 |
| 2 | 31 | - | - | - | - | - | - | - | - | - | - | - | - |
| 2 | 34 | 201.6 ± 4.5 | 12.1 ± 1.9 | 929.3 ± 10.4 | 448.3 ± 14.1 | 127.9 ± 8.6 | 7307.5 ± 555.0 | 767.0 ± 76.4 | 153.4 ± 5.4 | - | 1770.5 ± 431.2 | 59.0 ± 3.2 | 43.6 ± 8.1 |
| 2 | 35 | 498.9 ± 12.8 | - | 127.5 ± 13.0 | - | 421.4 ± 85.6 | - | 1410.4 ± 339.7 | 1994.7 ± 389.4 | 24.7 ± 6.6 | - | - | - |
| 2 | 37 | - | - | - | - | - | - | - | - | - | - | - | - |
| 2 | 39 | - | - | - | - | - | - | - | - | - | - | - | - |
| 2 | 41 | 202.9 ± 18.5 | - | 135.7 ± 17.4 | 452.0 ± 47.5 | 84.1 ± 12.3 | - | - | 2705.4 ± 669.5 | 38.2 ± 8.9 | 17.1 ± 2.6 | - | 32.1 ± 6.0 |
| 2 | 43 | 21.1 ± 3.9 | - | 45.4 ± 12.4 | 16.8 ± 2.3 | - | - | - | 8634.2 ± 1317.8 | 94.0 ± 10.5 | - | - | 48.5 ± 10.9 |
| 2 | 44 | 106.9 ± 13.6 | - | 75.5 ± 12.4 | 297.9 ± 15.5 | 49.0 ± 5.7 | 4632.3 ± 830.3 | 1943.3 ± 430.7 | 2386.7 ± 287.1 | 122.9 ± 14.5 | 4266.5 ± 573.8 | - | 94.4 ± 9.9 |
| 2 | 45 | 53.0 ± 10.9 | - | 71.3 ± 10.3 | - | 24.6 ± 5.6 | 1757.7 ± 391.8 | 41.4 ± 4.9 | 926.3 ± 45.4 | 88.6 ± 15.4 | 144.8 ± 6.2 | - | 47.3 ± 8.3 |
| 2 | 52 | 279.8 ± 52.5 | - | 27.5 ± 3.8 | 342.0 ± 7.5 | 238.3 ± 34.6 | - | - | - | - | - | - | - |
| 2 | 53 | 160.3 ± 7.0 | - | 12.3 ± 1.2 | - | - | 3487.2 ± 308.0 | 848.7 ± 133.4 | 22.2 ± 6.1 | - | 1815.4 ± 321.3 | - | - |
| 2 | 61 | 97.7 ± 6.8 | - | 34.5 ± 7.8 | - | 23.3 ± 5.1 | - | 308.8 ± 15.3 | 123.6 ± 9.4 | 81.0 ± 8.4 | 483.7 ± 43.2 | - | 39.9 ± 5.9 |
| 2 | 65 | 406.3 ± 24.3 | - | 60.4 ± 13.8 | 21.6 ± 6.1 | 502.2 ± 36.7 | - | 554.8 ± 56.3 | 37.7 ± 8.4 | 35.4 ± 6.0 | 388.7 ± 27.2 | - | - |
| 2 | 72 | - | - | - | 16.2 ± 3.3 | - | 17.2 ± 1.8 | - | 13.8 ± 0.8 | - | 11.2 ± 2.3 | - | - |
| 2 | 79 | - | - | - | 24.4 ± 5.3 | - | 25.3 ± 4.9 | 22.2 ± 4.3 | 18.7 ± 4.5 | - | 24.8 ± 4.6 | - | - |
| 2 | 81 | - | - | - | - | - | - | - | - | - | - | - | - |
| 2 | 83 | 520.9 ± 19.5 | - | 467.7 ± 56.3 | - | 481.6 ± 41.2 | - | - | - | 35.3 ± 6.3 | - | - | 39.9 ± 7.6 |
| 2 | 84 | - | - | - | - | - | 748.9 ± 97.6 | - | 81.4 ± 11.3 | - | - | - | - |
| 2 | 85 | - | - | - | - | - | - | 90.6 ± 16.2 | 14.2 ± 3.6 | - | 69.2 ± 14.3 | - | - |
| 2 | 86 | 265.5 ± 44.5 | - | 344.2 ± 95.4 | - | 210.4 ± 13.1 | - | 104.4 ± 8.8 | 19.3 ± 3.4 | 33.6 ± 4.9 | - | - | 26.3 ± 4.7 |
| 2 | 88 | - | - | - | - | - | - | - | - | - | - | - | - |
| 2 | 90 | - | - | - | 40.3 ± 10.1 | - | 34.1 ± 2.4 | 94.3 ± 11.6 | 31.3 ± 6.2 | - | 126.4 ± 10.6 | - | - |
| 2 | 91 | - | - | - | - | - | - | - | - | - | - | - | - |
| 2 | 94 | 375.4 ± 10.9 | - | 99.6 ± 7.2 | 488.3 ± 33.8 | 14.2 ± 3.3 | 3470.3 ± 487.9 | 4461.1 ± 776.6 | 33.1 ± 8.8 | - | 9872.6 ± 213.3 | - | 34.9 ± 6.2 |
| 2 | 95 | - | - | - | - | - | - | - | - | 12.4 ± 2.7 | - | - | - |
| 2 | 96 | - | - | - | - | - | - | - | - | - | - | - | - |
| 2 | 97 | - | - | - | - | - | - | - | - | - | - | - | - |
| 2 | 101 | - | 21.3 ± 4.4 | - | - | - | 43.3 ± 7.2 | - | - | 17.2 ± 4.4 | - | - | - |
| 2 | 102 | - | - | - | 170.0 ± 7.6 | - | 4381.3 ± 347.4 | 1332.9 ± 197.8 | 3422.6 ± 536.4 | - | 3.419 ± 159 | - | - |
| 2 | 103 | 113.5 ± 18.6 | - | 113.9 ± 11.4 | - | 37.6 ± 6.8 | - | - | 385.0 ± 25.0 | 42.8 ± 6.5 | - | - | 27.5 ± 4.5 |
| 2 | 104 | - | - | 11.2 ± 1.3 | 491.1 ± 76.1 | - | 3202.4 ± 504.1 | 22.3 ± 3.9 | - | - | - | - | - |
| 2 | 105 | 46.4 ± 4.4 | - | 13.0 ± 2.8 | - | 10.9 ± 2.5 | 28.0 ± 4.7 | 268.1 ± 40.5 | - | 46.1 ± 4.9 | 193.1 ± 28.3 | - | 22.1 ± 5.2 |
| 2 | 106 | - | - | - | - | - | - | - | 710.6 ± 100.4 | - | - | - | - |
| 2 | 107 | - | - | 61.0 ± 13.0 | 18.5 ± 4.3 | - | 391.6 ± 50.9 | 1245.9 ± 264.6 | 1129.3 ± 262.1 | - | 2849.0 ± 328.8 | - | - |
| 2 | 108 | 51.4 ± 8.9 | - | 20.9 ± 4.6 | 38.5 ± 9.0 | 11.7 ± 2.2 | 522.2 ± 8.9 | - | 527.7 ± 73.1 | 45.2 ± 7.1 | - | - | 24.1 ± 4.7 |
| 2 | 109 | - | - | - | 183.6 ± 23.3 | - | 5110.5 ± 415.3 | 71.2 ± 15.3 | 2245.6 ± 406.4 | - | - | - | - |
| 2 | 110 | 56.5 ± 13.1 | - | 44.8 ± 10.1 | 29.2 ± 5.6 | 17.0 ± 3.0 | - | - | - | 63.0 ± 9.0 | - | - | - |
| 2 | 112 | 34.4 ± 7.5 | - | 41.6 ± 7.8 | 225.6 ± 29.0 | - | 10,985.1 ± 1124.9 | 1950.8 ± 199.9 | 2502.2 ± 609.7 | 29.3 ± 2.2 | - | - | - |
| 2 | 113 | - | - | - | - | - | - | - | - | - | - | - | - |
| 2 | 114 | - | - | - | - | - | - | 26.6 ± 6.6 | - | 10.0 ± 2.1 | 22.6 ± 4.2 | - | - |
| 2 | 115 | - | - | - | - | - | 102.4 ± 17.2 | - | 20.4 ± 4.7 | - | - | - | - |
| 2 | 116 | 461.3 ± 41.3 | - | 90.4 ± 5.9 | 107.8 ± 10.4 | - | 7496.5 ± 754.9 | 1662.5 ± 546.5 | 2959.0 ± 339.3 | 24.3 ± 4.0 | 3857.3 ± 217.8 | - | 59.8 ± 12.6 |
| 2 | 117 | 205.8 ± 30.9 | - | 12.3 ± 2.2 | - | 217.2 ± 40.5 | - | - | 744.4 ± 82.6 | 13.8 ± 2.5 | - | - | - |
| 2 | 118 | 187.6 ± 19.2 | - | 14.0 ± 1.5 | 462.8 ± 46.9 | 224.2 ± 18.4 | - | 627.2 ± 92.4 | 34.9 ± 9.5 | 16.9 ± 1.9 | 409.4 ± 16.5 | - | - |
| 2 | 121 | - | - | - | - | - | - | - | - | - | - | - | - |
| Compound | Ionization Mode | Precursor Ion (m/z) | Product Ion (m/z) | Cone Voltage (V) | Collision Energy (eV) | Dwell Time (s) |
|---|---|---|---|---|---|---|
| Chrysin | ESI(+) | 255.03 | 66.51 | 64 | 34 | 0.011 |
| 255.03 | 153.00 | 64 | 30 | 0.011 | ||
| Pinocembrin | ESI(+) | 257.00 | 153.00 | 42 | 22 | 0.011 |
| Galangin | ESI(+) | 271.03 | 104.94 | 62 | 30 | 0.011 |
| 271.03 | 153.00 | 62 | 34 | 0.011 | ||
| p-Coumaric acid | ESI(−) | 162.84 | 92.85 | 32 | 24 | 0.011 |
| 162.84 | 118.86 | 32 | 16 | 0.011 | ||
| Gallic acid | ESI(−) | 169.00 | 53.20 | 35 | 20 | 0.013 |
| 169.00 | 79.30 | 35 | 20 | 0.013 | ||
| 169.00 | 97.30 | 35 | 20 | 0.013 | ||
| 169.00 | 125.20 | 35 | 15 | 0.013 | ||
| Caffeic acid | ESI(−) | 179.30 | 107.10 | 30 | 25 | 0.011 |
| 179.30 | 135.20 | 30 | 15 | 0.011 | ||
| 180.84 | 108.00 | 40 | 22 | 0.011 | ||
| Ferulic acid | ESI(−) | 192.90 | 133.90 | 36 | 16 | 0.011 |
| 192.90 | 177.90 | 36 | 12 | 0.011 | ||
| Apigenin | ESI(−) | 269.07 | 117.00 | 54 | 35 | 0.011 |
| 269.07 | 151.00 | 54 | 35 | 0.011 | ||
| Naringenin | ESI(−) | 271.05 | 118.80 | 54 | 24 | 0.011 |
| 271.05 | 150.00 | 54 | 20 | 0.011 | ||
| CAPE | ESI(−) | 283.10 | 135.00 | 54 | 24 | 0.011 |
| 283.10 | 179.10 | 54 | 16 | 0.011 | ||
| Catechin | ESI(−) | 289.06 | 108.96 | 40 | 26 | 0.011 |
| 289.06 | 245.09 | 40 | 14 | 0.011 | ||
| Quercetin | ESI(−) | 301.03 | 107.01 | 46 | 30 | 0.036 |
| 301.03 | 151.03 | 46 | 22 | 0.036 | ||
| 301.03 | 178.99 | 46 | 18 | 0.036 |
References
- Kumazawa, S.; Goto, H.; Hamasaka, T.; Fukumoto, S.; Fujimoto, T.; Nakayama, T. A New Prenylated Flavonoid from Propolis Collected in Okinawa, Japan. Biosci. Biotechnol. Biochem. 2004, 68, 260–262. [Google Scholar] [CrossRef]
- Toreti, V.C.; Sato, H.H.; Pastore, G.M.; Park, Y.K. Recent Progress of Propolis for Its Biological and Chemical Compositions and Its Botanical Origin. Evid.-Based Complement. Altern. Med. 2013, 2013, 697390. [Google Scholar] [CrossRef]
- Yıldız, O. Tüketilebilir Propolis Ekstrelerinde Kullanılan Çözücülerin (Menstrumların) Değerlendirilmesi. Uludağ Arıcılık Dergisi 2020, 20, 24–37. [Google Scholar] [CrossRef]
- Kumova, U.; Korkmaz, A.; Avcı, B.C.; Ceyran, G. Önemli Bir Arı Ürünü: Propolis. Uludag Bee J. 2002, 2, 10–24. [Google Scholar]
- Moreira, L.; Dias, L.G.; Pereira, J.A.; Estevinho, L. Antioxidant Properties, Total Phenols and Pollen Analysis of Propolis Samples from Portugal. Food Chem. Toxicol. 2008, 46, 3482–3485. [Google Scholar] [CrossRef] [PubMed]
- Kuropatnicki, A.K.; Szliszka, E.; Krol, W. Historical Aspects of Propolis Research in Modern Times. Evid.-Based Complement. Altern. Med. 2013, 2013, 964149. [Google Scholar] [CrossRef]
- Wagh, V.D. Propolis: A Wonder Bees Product and Its Pharmacological Potentials. Adv. Pharmacol. Sci. 2013, 2013, 308249. [Google Scholar] [CrossRef]
- Pasupuleti, V.R.; Sammugam, L.; Ramesh, N.; Gan, S.H. Honey, Propolis, and Royal Jelly: A Comprehensive Review of Their Biological Actions and Health Benefits. Oxid. Med. Cell. Longev. 2017, 2017, 1259510. [Google Scholar] [CrossRef]
- Sun, C.; Wu, Z.; Wang, Z.; Zhang, H. Effect of Ethanol/Water Solvents on Phenolic Profiles and Antioxidant Properties of Beijing Propolis Extracts. Evid.-Based Complement. Altern. Med. 2015, 2015, 595393. [Google Scholar] [CrossRef]
- Burdock, G.A. Review of the Biological Properties and Toxicity of Bee Propolis (Propolis). Food Chem. Toxicol. 1998, 36, 347–363. [Google Scholar] [CrossRef] [PubMed]
- Pobiega, K.; Kraśniewska, K.; Gniewosz, M. Application of Propolis in Antimicrobial and Antioxidative Protection of Food Quality—A Review. Trends Food Sci. Technol. 2019, 83, 53–62. [Google Scholar] [CrossRef]
- Monteil, J.; Hadj-Sassi, A.; Dargelos, É.; Guzman-Barrera, N.; Poque, E.; Leal-Calderon, F. Method to Prepare Aqueous Propolis Dispersions Based on Phase Separation. Food Chem. 2022, 389, 133072. [Google Scholar] [CrossRef]
- Ahangari, Z.; Naseri, M.; Vatandoost, F. Propolis: Chemical Composition and Its Applications in Endodontics. Iran. Endod. J. 2018, 13, 285–292. [Google Scholar]
- Matuszewska, E.; Klupczynska, A.; Maciołek, K.; Kokot, Z.J.; Matysiak, J. Multielemental Analysis of Bee Pollen, Propolis, and Royal Jelly Collected in West-Central Poland. Molecules 2021, 26, 2415. [Google Scholar] [CrossRef] [PubMed]
- Barlak, Y.; Değer, O.; Çolak, M.; Karataylı, S.; Bozdayı, A.; Yücesan, F. Effect of Turkish Propolis Extracts on Proteome of Prostate Cancer Cell Line. Proteome Sci. 2011, 9, 74. [Google Scholar] [CrossRef]
- Šuran, J.; Cepanec, I.; Mašek, T.; Radić, B.; Radić, S.; Tlak Gajger, I.; Vlainić, J. Propolis Extract and Its Bioactive Compounds—From Traditional to Modern Extraction Technologies. Molecules 2021, 26, 2930. [Google Scholar] [CrossRef] [PubMed]
- Bankova, V.S.; De Castro, S.L.; Marcucci, M.C. Propolis: Recent Advances in Chemistry and Plant Origin. Apidologie 2000, 31, 3–15. [Google Scholar] [CrossRef]
- Bankova, V.; Popova, M.; Bogdanov, S.; Sabatini, A.G. Chemical Composition of European Propolis: Expected and Unexpected Results. Z. Naturforschung-Sect. C J. Biosci. 2002, 57, 530–533. [Google Scholar] [CrossRef]
- Altuntaş, Ü.; Güzel, İ.; Özçelik, B. Phenolic Constituents, Antioxidant and Antimicrobial Activity and Clustering Analysis of Propolis Samples Based on PCA from Different Regions of Anatolia. Molecules 2023, 28, 1121. [Google Scholar] [CrossRef] [PubMed]
- Ozdal, T.; Ceylan, F.D.; Eroglu, N.; Kaplan, M.; Olgun, E.O.; Capanoglu, E. Investigation of Antioxidant Capacity, Bioaccessibility and LC-MS/MS Phenolic Profile of Turkish Propolis. Food Res. Int. 2019, 122, 528–536. [Google Scholar] [CrossRef]
- Kolayli, S.; Karahalil, F.Y.; Celebi, Z.B.; Boztaş, G.D.; Capanoglu, E. Artificial Neural Networks (ANN) Modeling for Ethanolic Propolis Extracts. Food Biophys. 2025, 20, 117. [Google Scholar] [CrossRef]
- Kolaylı, S.; Birinci, C.; Kara, Y.; Ozkok, A.; Samancı, A.E.T.; Sahin, H.; Yildiz, O. A Melissopalynological and Chemical Characterization of Anatolian Propolis and an Assessment of Its Antioxidant Potential. Eur. Food Res. Technol. 2023, 249, 1213–1233. [Google Scholar] [CrossRef]
- Oruç, H.H.; Çayci, M.; Sorucu, A.; Uzabacı, E.; Nyandwi, R. Characterization of Commercially Available Propolis Products in Turkey Based on Individual Phenolic Compounds. J. Apic. Res. 2023, 62, 1225–1232. [Google Scholar] [CrossRef]
- Bertolucci, V.; Ninomiya, A.F.; Longato, G.B.; Kaneko, L.O.; Nonose, N.; Scariot, P.P.M.; Messias, L.H.D. Bioactive Compounds from Propolis on Bone Homeostasis: A Narrative Review. Antioxidants 2025, 14, 81. [Google Scholar] [CrossRef]
- Slavov, A.; Trifonov, A.; Peychev, L.; Dimitrova, S.; Peycheva, S.; Gotcheva, V.; Angelov, A. Biologically Active Compounds with Antitumor Activity in Propolis Extracts from Different Geographic Regions. Biotechnol. Biotechnol. Equip. 2013, 27, 4010–4013. [Google Scholar] [CrossRef][Green Version]
- Kurek-Górecka, A.; Keskin, Ş.; Bobis, O.; Felitti, R.; Górecki, M.; Otręba, M.; Stojko, J.; Olczyk, P.; Kolayli, S.; Rzepecka-Stojko, A. Comparison of the Antioxidant Activity of Propolis Samples from Different Geographical Regions. Plants 2022, 11, 1203. [Google Scholar] [CrossRef]
- Spiegel, M.; Cel, K.; Sroka, Z. The Mechanistic Insights into the Role of PH and Solvent on Antiradical and Prooxidant Properties of Polyphenols—Nine Compounds Case Study. Food Chem. 2023, 407, 134677. [Google Scholar] [CrossRef]
- Zhu, Q.Y.; Zhang, A.; Tsang, D.; Huang, Y.; Chen, Z.-Y. Stability of Green Tea Catechins. J. Agric. Food Chem. 1997, 45, 4624–4628. [Google Scholar] [CrossRef]
- Apak, R.; Güçlü, K.; Özyürek, M.; Karademir, S.E. Novel Total Antioxidant Capacity Index for Dietary Polyphenols and Vitamins C and E, Using Their Cupric Ion Reducing Capability in the Presence of Neocuproine: CUPRAC Method. J. Agric. Food Chem. 2004, 52, 7970–7981. [Google Scholar] [CrossRef] [PubMed]
- Huang, D.; Ou, B.; Prior, R.L. The Chemistry behind Antioxidant Capacity Assays. J. Agric. Food Chem. 2005, 53, 1841–1856. [Google Scholar] [CrossRef] [PubMed]
- Mello, B.C.B.S.; Petrus, J.C.C.; Hubinger, M.D. Concentration of Flavonoids and Phenolic Compounds in Aqueous and Ethanolic Propolis Extracts through Nanofiltration. J. Food Eng. 2010, 96, 533–539. [Google Scholar] [CrossRef]
- Laskar, R.A.; Sk, I.; Roy, N.; Begum, N.A. Antioxidant Activity of Indian Propolis and Its Chemical Constituents. Food Chem. 2010, 122, 233–237. [Google Scholar] [CrossRef]
- Kothai, S.; Jayanthi, B. Evaluation of Antioxidant and Antimicrobial Activity of Stingless Bee Propolis (Tetragonula Iridipennis) of Tamilnadu, India. Int. J. Pharm. Pharm. Sci. 2014, 6, 81–85. [Google Scholar]
- Molnár, S.; Mikuska, K.; Patonay, K.; Sisa, K.; Daood, H.G.; Némedi, E.; Kiss, A. Comparative Studies on Polyphenolic Profile and Antimicrobial Activity of Propolis Samples Selected from Distinctive Geographical Areas of Hungary. Food Sci. Technol. Int. 2017, 23, 349–357. [Google Scholar] [CrossRef]
- Hasan, A.E.Z.; Mangunwidjaja, D.; Sunarti, T.C.; Suparno, O.; Setiyono, A. Investigating the Antioxidant and Anticytotoxic Activities of Propolis Collected from Five Regions of Indonesia and Their Abilities to Induce Apoptosis. Emir. J. Food Agric. 2014, 26, 390–398. [Google Scholar] [CrossRef]
- Kothai, S.; Jayanthi, B. A Study on Propolis of Stingless Bees Reared from the Most Commercial Hub of Chennai, Tamilnadu, India. Int. Res. J. Environ. Sci. 2015, 4, 39–47. [Google Scholar]
- Kurek-Górecka, A.; Rzepecka-Stojko, A.; Górecki, M.; Stojko, J.; Sosada, M.; Świerczek-Zięba, G. Structure and Antioxidant Activity of Polyphenols Derived from Propolis. Molecules 2013, 19, 78–101. [Google Scholar] [CrossRef] [PubMed]
- Ding, Q.; Sheikh, A.R.; Gu, X.; Li, J.; Xia, K.; Sun, N.; Wu, R.A.; Luo, L.; Zhang, Y.; Ma, H. Chinese Propolis: Ultrasound-assisted Enhanced Ethanolic Extraction, Volatile Components Analysis, Antioxidant and Antibacterial Activity Comparison. Food Sci. Nutr. 2021, 9, 313–330. [Google Scholar] [CrossRef]
- Osés, S.M.; Marcos, P.; Azofra, P.; de Pablo, A.; Fernández-Muíño, M.Á.; Sancho, M.T. Phenolic Profile, Antioxidant Capacities and Enzymatic Inhibitory Activities of Propolis from Different Geographical Areas: Needs for Analytical Harmonization. Antioxidants 2020, 9, 75. [Google Scholar] [CrossRef] [PubMed]
- Falcão, S.I.; Vilas-Boas, M.; Estevinho, L.M.; Barros, C.; Domingues, M.R.M.; Cardoso, S.M. Phenolic Characterization of Northeast Portuguese Propolis: Usual and Unusual Compounds. Anal. Bioanal. Chem. 2010, 396, 887–897. [Google Scholar] [CrossRef]
- Falcão, S.I.; Vale, N.; Gomes, P.; Domingues, M.R.M.; Freire, C.; Cardoso, S.M.; Vilas-Boas, M. Phenolic Profiling of Portuguese Propolis by LC–MS Spectrometry: Uncommon Propolis Rich in Flavonoid Glycosides. Phytochem. Anal. 2013, 24, 309–318. [Google Scholar] [CrossRef]
- Alvear, M.; Santos, E.; Cabezas, F.; Pérez-SanMartín, A.; Lespinasse, M.; Veloz, J. Geographic Area of Collection Determines the Chemical Composition and Antimicrobial Potential of Three Extracts of Chilean Propolis. Plants 2021, 10, 1543. [Google Scholar] [CrossRef]
- Ayad, A.S.; Benchaabane, S.; Daas, T.; Smagghe, G.; Loucif-Ayad, W. Propolis Stands out as a Multifaceted Natural Product: Meta-Analysis on Its Sources, Bioactivities, Applications, and Future Perspectives. Life 2025, 15, 764. [Google Scholar] [CrossRef]
- Xu, W.; Lu, H.; Yuan, Y.; Deng, Z.; Zheng, L.; Li, H. The Antioxidant and Anti-Inflammatory Effects of Flavonoids from Propolis via Nrf2 and NF-κB Pathways. Foods 2022, 11, 2439. [Google Scholar] [CrossRef] [PubMed]
- Rana, J.N.; Mumtaz, S. Prunin: An Emerging Anticancer Flavonoid. Int. J. Mol. Sci. 2025, 26, 2678. [Google Scholar] [CrossRef] [PubMed]
- Heim, K.E.; Tagliaferro, A.R.; Bobilya, D.J. Flavonoid Antioxidants: Chemistry, Metabolism and Structure-Activity Relationships. J. Nutr. Biochem. 2002, 13, 572–584. [Google Scholar] [CrossRef]
- Rana, J.N.; Gul, K.; Mumtaz, S. Isorhamnetin: Reviewing Recent Developments in Anticancer Mechanisms and Nanoformulation-Driven Delivery. Int. J. Mol. Sci. 2025, 26, 7381. [Google Scholar] [CrossRef] [PubMed]
- Sulaeman, A.; Fikri, A.M.; Mulyati, A.H. The Bee Propolis for Preventing and Healing Non-Communicable Diseases. In Functional Foods and Nutraceuticals in Metabolic and Non-Communicable Diseases; Academic Press: London, UK, 2022; pp. 465–479. [Google Scholar]
- Zullkiflee, N.; Taha, H.; Usman, A. Propolis: Its Role and Efficacy in Human Health and Diseases. Molecules 2022, 27, 6120. [Google Scholar] [CrossRef]
- Bankova, V.; Bertelli, D.; Borba, R.; Conti, B.J.; da Silva Cunha, I.B.; Danert, C.; Eberlin, M.N.; Falcão, S.I.; Isla, M.I.; Moreno, M.I.N.; et al. Standard Methods for Apis mellifera Propolis Research. J. Apic. Res. 2019, 58, 1–49. [Google Scholar] [CrossRef]
- Turkmen, N.; Sari, F.; Velioglu, Y.S. Effects of Extraction Solvents on Concentration and Antioxidant Activity of Black and Black Mate Tea Polyphenols Determined by Ferrous Tartrate and Folin–Ciocalteu Methods. Food Chem. 2006, 99, 835–841. [Google Scholar] [CrossRef]
- Dewanto, V.; Wu, X.; Adom, K.K.; Liu, R.H. Thermal Processing Enhances the Nutritional Value of Tomatoes by Increasing Total Antioxidant Activity. J. Agric. Food Chem. 2002, 50, 3010–3014. [Google Scholar] [CrossRef] [PubMed]
- Novak, E.M.; Silva, M.S.e.C.; Marcucci, M.C.; Sawaya, A.C.H.F.; Giménez-Cassina López, B.; Fortes, M.A.H.Z.; Giorgi, R.R.; Marumo, K.T.; Rodrigues, R.F.; Maria, D.A. Antitumoural Activity of Brazilian Red Propolis Fraction Enriched with Xanthochymol and Formononetin: An in Vitro and in Vivo Study. J. Funct. Foods 2014, 11, 91–102. [Google Scholar] [CrossRef]




| Region | Number of Samples (n) | TPC | TFC | CUPRAC | |||
|---|---|---|---|---|---|---|---|
| (mg GAE/mL Sample) | (mg CE/mL Sample) | (mg TE/mL Sample) | |||||
| Min | Max | Min | Max | Min | Max | ||
| Belgium | 3 | 1.7 ± 0.2 | 11.8 ± 2.0 | 0.2 ± 0.0 | 3.7 ± 0.6 | 3.1 ± 0.6 | 23.4 ± 2.9 |
| Brazil | 3 | 24.1 ± 4.9 | 34.2 ± 9.0 | 12.6 ± 1.9 | 19.5 ± 2.4 | 55.3 ± 10.7 | 83.9 ± 8.3 |
| Croatia | 2 | 0.9 ± 0.2 | 11.3 ± 1.5 | 0.3 ± 0.0 | 5.8 ± 1.0 | 1.7 ± 0.3 | 28.2 ± 4.7 |
| Estonia | 5 | 3.8 ± 0.6 | 10.9 ± 1.8 | 1.6 ± 0.4 | 5.5 ± 0.8 | 9.5 ± 1.2 | 24.2 ± 4.5 |
| France | 3 | 0.5 ± 0.1 | 2.3 ± 0.4 | 0.2 ± 0.1 | 0.8 ± 0.1 | 0.9 ± 0.2 | 3.6 ± 0.6 |
| Germany | 7 | 4.9 ± 0.7 | 18.8 ± 3.0 | 0.7 ± 0.1 | 6.2 ± 0.8 | 11.6 ± 1.7 | 54.8 ± 6.7 |
| Italy | 5 | 1.0 ± 0.1 | 2.7 ± 0.5 | 0.3 ± 0.0 | 1.0 ± 0.2 | 0.1 ± 0.0 | 5.0 ± 0.6 |
| Japan | 2 | 3.2 ± 0.4 | 5.8 ± 0.8 | 6.1 ± 1.8 | 10.5 ± 1.5 | 19.1 ± 2.2 | 29.1 ± 3.0 |
| Korea | 18 | 0.1 ± 0.0 | 107.5 ± 15.1 | 0.1 ± 0.0 | 40.9 ± 5.0 | 1.9 ± 0.4 | 351.4 ± 50.8 |
| Romania | 8 | 0.2 ± 0.1 | 17.3 ± 2.6 | 0.8 ± 0.1 | 11.4 ± 1.1 | 0.5 ± 0.1 | 48.2 ± 6.0 |
| San Marino | 2 | 29.3 ± 2.8 | 42.1 ± 5.3 | 4.9 ± 0.8 | 19.1 ± 1.9 | 50.4 ± 5.9 | 104.0 ± 10.4 |
| Slovenia | 4 | 1.6 ± 0.3 | 39.0 ± 4.2 | 0.8 ± 0.2 | 35.4 ± 5.5 | 3.4 ± 0.9 | 104.2 ± 20.2 |
| Spain | 2 | 3.9 ± 0.8 | 10.4 ± 1.8 | 4.2 ± 0.5 | 11.1 ± 1.1 | 44.4 ± 4.5 | 58.2 ± 10.0 |
| UAE | 6 | 0.1 ± 0.0 | 3.6 ± 0.4 | 0.1 ± 0.0 | 7.7 ± 1.0 | 0.1 ± 0.0 | 14.9 ± 2.4 |
| USA | 3 | 0.7 ± 0.1 | 101.2 ± 10.3 | 1.1 ± 0.2 | 174.5 ± 25.5 | 17.9 ± 1.9 | 492.3 ± 57.3 |
| Latvia | 1 | 2.7 ± 0.3 | 1.1 ± 0.2 | 6.3 ± 1.0 | |||
| New Zealand | 1 | 93.5 ± 10.2 | 36.2 ± 5.2 | 204.0 ± 28.5 | |||
| Russia | 1 | 13.1 ± 1.4 | 5.2 ± 1.0 | 29.2 ± 4.0 | |||
Disclaimer/Publisher’s Note: The statements, opinions and data contained in all publications are solely those of the individual author(s) and contributor(s) and not of MDPI and/or the editor(s). MDPI and/or the editor(s) disclaim responsibility for any injury to people or property resulting from any ideas, methods, instructions or products referred to in the content. |
© 2026 by the authors. Licensee MDPI, Basel, Switzerland. This article is an open access article distributed under the terms and conditions of the Creative Commons Attribution (CC BY) license.
Share and Cite
Cetin, A.; Bakir, S.; Ozdal, T.; Capanoglu, E. Investigation of Antioxidant Properties of Propolis Products Collected from Different Regions. Int. J. Mol. Sci. 2026, 27, 1046. https://doi.org/10.3390/ijms27021046
Cetin A, Bakir S, Ozdal T, Capanoglu E. Investigation of Antioxidant Properties of Propolis Products Collected from Different Regions. International Journal of Molecular Sciences. 2026; 27(2):1046. https://doi.org/10.3390/ijms27021046
Chicago/Turabian StyleCetin, Aynur, Sena Bakir, Tugba Ozdal, and Esra Capanoglu. 2026. "Investigation of Antioxidant Properties of Propolis Products Collected from Different Regions" International Journal of Molecular Sciences 27, no. 2: 1046. https://doi.org/10.3390/ijms27021046
APA StyleCetin, A., Bakir, S., Ozdal, T., & Capanoglu, E. (2026). Investigation of Antioxidant Properties of Propolis Products Collected from Different Regions. International Journal of Molecular Sciences, 27(2), 1046. https://doi.org/10.3390/ijms27021046

