Effects of Luteolin and Apigenin on Adipogenesis Markers PPARγ and FABP4 and Thermogenesis Marker UCP1 in 3T3-L1 Preadipocyte Cell Line
Abstract
1. Introduction
2. Results
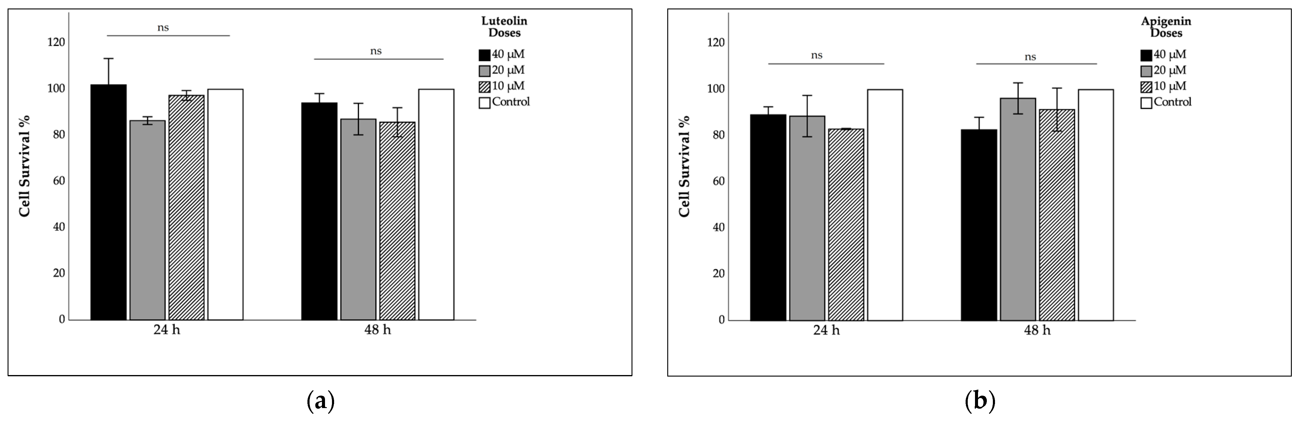
2.1. Cell Survival Rate
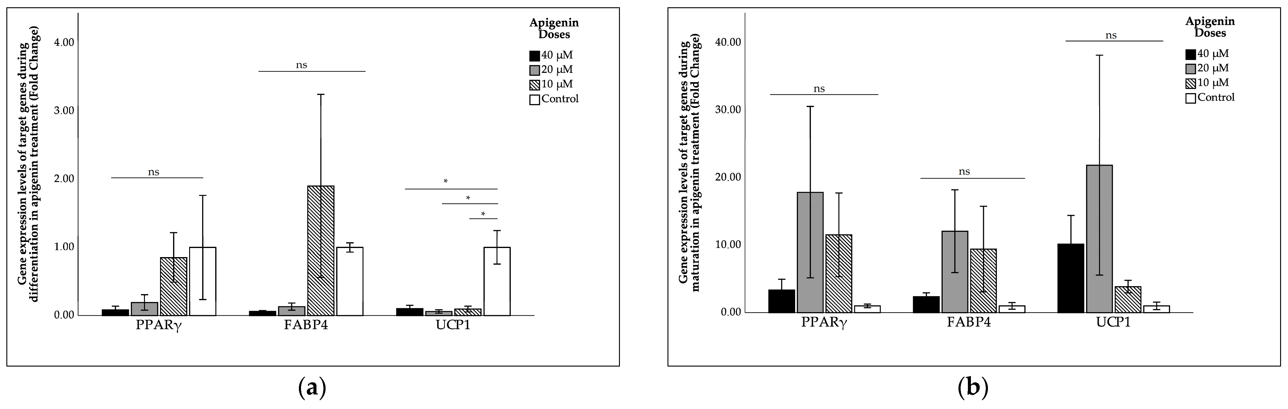
2.2. Gene Expression Levels
2.3. Protein Concentrations
2.4. Triglyceride Levels and Lipid Accumulation
3. Discussion
4. Materials and Methods
4.1. Cell Culture and Treatment
4.2. Cell Survival Assay
4.3. Measuring Gene Expression Levels
4.4. Protein Extraction and Measurement of Protein Levels
4.5. Measurement of Triglyceride Levels
4.6. Oil Red O Staining
4.7. Statistical Analysis
Author Contributions
Funding
Institutional Review Board Statement
Informed Consent Statement
Data Availability Statement
Acknowledgments
Conflicts of Interest
Abbreviations
| ATCC | American Type Culture Collection |
| cDNA | complementary DNA |
| Ct | cycle threshold |
| C/EBPs | CCAAT/enhancer-binding proteins |
| DEPC | diethyl pyrocarbonate |
| DEX | dexamethasone |
| DMEM | Dulbecco’s Modified Eagle Medium |
| DMSO | dimethyl sulfoxide |
| ELISA | enzyme-linked immunosorbent assay |
| FABP4 | fatty acid-binding protein 4 |
| FBS | Fetal Bovine Serum |
| IBMX | 3-isobutyl-1-methylxanthine |
| MTT | 3-(4,5-dimethylthiazolyl-2)-2,5-diphenyltetrazolium bromide assay |
| nm | nanometer |
| OD | optical density |
| PBS | phosphate-buffered saline |
| PCR | polymerase chain reaction |
| PPARγ | Peroxisome Proliferator-Activated Receptor γ |
| STATs | signal transducers and activators of transcription |
| SE | standard error |
| UCP1 | uncoupling protein 1 |
| TG | triglyceride |
| µM | micromolar |
References
- World Health Organization. Obesity and Overweight. Available online: https://www.who.int/news-room/fact-sheets/detail/obesity-and-overweight (accessed on 9 November 2025).
- Anderer, S. One in 8 People Worldwide Are Obese. JAMA 2024, 331, 1172. [Google Scholar] [CrossRef] [PubMed]
- White, U. Adipose tissue expansion in obesity, health, and disease. Front. Cell Dev. Biol. 2023, 11, 1188844. [Google Scholar] [CrossRef] [PubMed]
- Ali, A.T.; Hochfeld, W.E.; Myburgh, R.; Pepper, M.S. Adipocyte and adipogenesis. Eur. J. Cell Biol. 2013, 92, 229–236. [Google Scholar] [CrossRef] [PubMed]
- Fenzl, A.; Kiefer, F.W. Brown adipose tissue and thermogenesis. Horm. Mol. Biol. Clin. Investig. 2014, 19, 25–37. [Google Scholar] [CrossRef]
- Saely, C.H.; Geiger, K.; Drexel, H. Brown versus White Adipose Tissue: A Mini-Review. Gerontology 2010, 58, 15–23. [Google Scholar] [CrossRef]
- Cheng, L.; Wang, J.; Dai, H.; Duan, Y.; An, Y.; Shi, L.; Lv, Y.; Li, H.; Wang, C.; Ma, Q.; et al. Brown and beige adipose tissue: A novel therapeutic strategy for obesity and type 2 diabetes mellitus. Adipocyte 2021, 10, 48–65. [Google Scholar] [CrossRef]
- Golozoubova, V.; Cannon, B.; Nedergaard, J. UCP1 is essential for adaptive adrenergic nonshivering thermogenesis. Am. J. Physiol. Endocrinol. Metab. 2006, 291, E350–E357. [Google Scholar] [CrossRef]
- Machado, S.A.; Pasquarelli-do-Nascimento, G.; da Silva, D.S.; Farias, G.R.; de Oliveira Santos, I.; Baptista, L.B.; Magalhães, K.G. Browning of the white adipose tissue regulation: New insights into nutritional and metabolic relevance in health and diseases. Nutr. Metab. 2022, 19, 61. [Google Scholar] [CrossRef]
- Lim, S.; Honek, J.; Xue, Y.; Seki, T.; Cao, Z.; Andersson, P.; Yang, X.; Hosaka, K.; Cao, Y. Cold-induced activation of brown adipose tissue and adipose angiogenesis in mice. Nat. Protoc. 2012, 7, 606–615. [Google Scholar] [CrossRef]
- Asano, H.; Kanamori, Y.; Higurashi, S.; Nara, T.; Kato, K.; Matsui, T.; Funaba, M. Induction of beige-like adipocytes in 3T3-L1 cells. J. Vet. Med. Sci. 2014, 76, 57–64. [Google Scholar] [CrossRef]
- Uçar Baş, K.; Ağaçdiken, A.; Örs Demet, E.D.; Tuğal Aslan, D.; Reçber, T.; Öztürk, S.C.; Gulsun, T.; Çelebier, M.; Göktaş, Z. Comparison of free vs. liposomal naringenin in white adipose tissue browning in C57BL/6j mice. J. Liposome Res. 2024, 35, 94–104. [Google Scholar] [CrossRef]
- Choi, M.; Yun, J.W. β-Carotene induces UCP1-independent thermogenesis via ATP-consuming futile cycles in 3T3-L1 white adipocytes. Arch. Biochem. Biophys. 2023, 739, 109581. [Google Scholar] [CrossRef]
- Sugiura, C.; Zheng, G.; Liu, L.; Sayama, K. Catechins and Caffeine Promote Lipid Metabolism and Heat Production Through the Transformation of Differentiated 3T3-L1 Adipocytes from White to Beige Adipocytes. J. Food Sci. 2020, 85, 192–200. [Google Scholar] [CrossRef]
- Chen, S.; Fu, Y.; Wang, T.; Chen, Z.; Zhao, P.; Huang, X.; Qiao, M.; Li, T.; Song, L. Effect of 2′-Fucosyllactose on Beige Adipocyte Formation in 3T3-L1 Adipocytes and C3H10T1/2 Cells. Foods 2023, 12, 4137. [Google Scholar] [CrossRef] [PubMed]
- Lee, H.S.; Choi, S.M.; Lim, S.H.; Choi, C.I. Betanin from Beetroot (Beta vulgaris L.) Regulates Lipid Metabolism and Promotes Fat Browning in 3T3-L1 Adipocytes. Pharmaceuticals 2023, 16, 1727. [Google Scholar] [CrossRef] [PubMed]
- Barbatelli, G.; Murano, I.; Madsen, L.; Hao, Q.; Jimenez, M.; Kristiansen, K.; Giacobino, J.P.; De Matteis, R.; Cinti, S. The emergence of cold-induced brown adipocytes in mouse white fat depots is determined predominantly by white to brown adipocyte transdifferentiation. Am. J. Physiol. Endocrinol. Metab. 2010, 298, E1244–E1253. [Google Scholar] [CrossRef] [PubMed]
- Sarjeant, K.; Stephens, J.M. Adipogenesis. Cold Spring Harb. Perspect. Biol. 2012, 4, a008417. [Google Scholar] [CrossRef]
- Boychenko, S.; Egorova, V.S.; Brovin, A.; Egorov, A.D. White-to-Beige and Back: Adipocyte Conversion and Transcriptional Reprogramming. Pharmaceuticals 2024, 17, 790. [Google Scholar] [CrossRef]
- Xu, A.; Wang, Y.; Xu, J.Y.; Stejskal, D.; Tam, S.; Zhang, J.; Wat, N.M.; Wong, W.K.; Lam, K.S. Adipocyte Fatty Acid–Binding Protein Is a Plasma Biomarker Closely Associated with Obesity and Metabolic Syndrome. Clin. Chem. 2006, 52, 405–413. [Google Scholar] [CrossRef]
- Garin-Shkolnik, T.; Rudich, A.; Hotamisligil, G.S.; Rubinstein, M. FABP4 attenuates PPARγ and adipogenesis and is inversely correlated with PPARγ in adipose tissues. Diabetes 2014, 63, 900–911. [Google Scholar] [CrossRef]
- Panche, A.N.; Diwan, A.D.; Chandra, S.R. Flavonoids: An overview. J. Nutr. Sci. 2016, 5, e47. [Google Scholar] [CrossRef] [PubMed]
- Wu, Z.; Rosen, E.D.; Brun, R.; Hauser, S.; Adelmant, G.; Troy, A.E.; McKeon, C.; Darlington, G.J.; Spiegelman, B.M. Cross-regulation of C/EBP alpha and PPAR gamma controls the transcriptional pathway of adipogenesis and insulin sensitivity. Mol. Cell 1999, 3, 151–158. [Google Scholar] [CrossRef] [PubMed]
- Park, H.-S.; Kim, S.-H.; Kim, Y.S.; Ryu, S.Y.; Hwang, J.-T.; Yang, H.J.; Kim, G.-H.; Kwon, D.Y.; Kim, M.-S. Luteolin inhibits adipogenic differentiation by regulating PPARγ activation. BioFactors 2009, 35, 373–379. [Google Scholar] [CrossRef]
- Liu, W.; Wang, L.; Zhang, J. Peanut Shell Extract and Luteolin Regulate Lipid Metabolism and Induce Browning in 3T3-L1 Adipocytes. Foods 2022, 11, 2696. [Google Scholar] [CrossRef] [PubMed]
- Poudel, B.; Nepali, S.; Xin, M.; Ki, H.H.; Kim, Y.H.; Kim, D.K.; Lee, Y.M. Flavonoids from Triticum aestivum inhibit adipogenesis in 3T3-L1 cells by upregulating the insig pathway. Mol. Med. Rep. 2015, 12, 3139–3145. [Google Scholar] [CrossRef]
- Li, T.; Zhang, L.; Jin, C.; Xiong, Y.; Cheng, Y.Y.; Chen, K. Pomegranate flower extract bidirectionally regulates the proliferation, differentiation and apoptosis of 3T3-L1 cells through regulation of PPARγ expression mediated by PI3K-AKT signaling pathway. Biomed. Pharmacother. 2020, 131, 110769. [Google Scholar] [CrossRef]
- Zhao, L.; Zheng, M.; Cai, H.; Chen, J.; Lin, Y.; Wang, F.; Wang, L.; Zhang, X.; Liu, J. The activity comparison of six dietary flavonoids identifies that luteolin inhibits 3T3-L1 adipocyte differentiation through reducing ROS generation. J. Nutr. Biochem. 2023, 112, 109208. [Google Scholar] [CrossRef]
- Su, T.; Huang, C.; Yang, C.; Jiang, T.; Su, J.; Chen, M.; Fatima, S.; Gong, R.; Hu, X.; Bian, Z.; et al. Apigenin inhibits STAT3/CD36 signaling axis and reduces visceral obesity. Pharmacol. Res. 2020, 152, 104586, Correction in Pharmacol. Res. 2023, 193, 106816. [Google Scholar] [CrossRef]
- Aranaz, P.; Navarro-Herrera, D.; Zabala, M.; Miguéliz, I.; Romo-Hualde, A.; López-Yoldi, M.; Martínez, J.A.; Vizmanos, J.L.; Milagro, F.I.; González-Navarro, C.J. Phenolic Compounds Inhibit 3T3-L1 Adipogenesis Depending on the Stage of Differentiation and Their Binding Affinity to PPARγ. Molecules 2019, 24, 1045. [Google Scholar] [CrossRef]
- Hong, Y.N.; Chun, J.; Kim, Y.S. Anti-adipogenic activity of Carduus crispus and its constituent apigenin in 3T3-L1 adipocytes by downregulating PPARγ and C/EBPα. Eur. Food Res. Technol. 2016, 242, 1555–1563. [Google Scholar] [CrossRef]
- Gómez-Zorita, S.; Lasa, A.; Abendaño, N.; Fernández-Quintela, A.; Mosqueda-Solís, A.; Garcia-Sobreviela, M.P.; Arbonés-Mainar, J.M.; Portillo, M.P. Phenolic compounds apigenin, hesperidin and kaempferol reduce in vitro lipid accumulation in human adipocytes. J. Transl. Med. 2017, 15, 237. [Google Scholar] [CrossRef]
- von der Heyde, S.; Fromm-Dornieden, C.; Salinas-Riester, G.; Beissbarth, T.; Baumgartner, B.G. Dynamics of mRNA and polysomal abundance in early 3T3-L1 adipogenesis. BMC Genom. 2014, 15, 381. [Google Scholar] [CrossRef]
- Evans, R.M.; Barish, G.D.; Wang, Y.-X. PPARs and the complex journey to obesity. Nat. Med. 2004, 10, 355–361. [Google Scholar] [CrossRef]
- Vargas-Castillo, A.; Fuentes-Romero, R.; Rodriguez-Lopez, L.A.; Torres, N.; Tovar, A.R. Understanding the Biology of Thermogenic Fat: Is Browning a New Approach to the Treatment of Obesity? Arch. Med. Res. 2017, 48, 401–413. [Google Scholar] [CrossRef]
- Zhang, X.; Zhang, Q.X.; Wang, X.; Zhang, L.; Qu, W.; Bao, B.; Liu, C.A.; Liu, J. Dietary luteolin activates browning and thermogenesis in mice through an AMPK/PGC1α pathway-mediated mechanism. Int. J. Obes. 2016, 40, 1841–1849. [Google Scholar] [CrossRef] [PubMed]
- Sun, Y.S.; Qu, W. Dietary Apigenin promotes lipid catabolism, thermogenesis, and browning in adipose tissues of HFD-Fed mice. Food Chem. Toxicol. 2019, 133, 110780. [Google Scholar] [CrossRef] [PubMed]
- Sreekumar, S.; Kiran, M.S. Combinatorial effect of Apigenin-resveratrol on white adipocyte plasticity and trans-differentiation for activating lipid metabolism. Biofactors 2024, 51, e2111. [Google Scholar] [CrossRef] [PubMed]
- Guo, X.; Liu, J.; Cai, S.; Wang, O.; Ji, B. Synergistic interactions of apigenin, naringin, quercetin and emodin on inhibition of 3T3-L1 preadipocyte differentiation and pancreas lipase activity. Obes. Res. Clin. Pract. 2016, 10, 327–339. [Google Scholar] [CrossRef]




| Differentiation | Maturation | ||||||
|---|---|---|---|---|---|---|---|
| Phytochemical | Doses | PPARγ | FABP4 | UCP1 | PPARγ | FABP4 | UCP1 |
| Luteolin | 40 µM | 0.73 ± 0.022 | 0.37 ± 0.001 | 0.37 ± 0.004 | 0.47 ± 0.020 | 0.20 ± 0.056 | 0.87 ± 0.038 a |
| 20 µM | 0.72 ± 0.008 | 0.37 ± 0.001 | 0.37 ± 0.0002 | 0.48 ± 0.086 | 0.20 ± 0.001 | 0.87 ± 0.023 b | |
| 10 µM | 0.70 ± 0.005 | 0.36 ± 0.001 | 0.37 ± 0.0004 | 0.68 ± 0.172 | 0.20 ± 0.014 | 1.27 ± 0.075 a,b | |
| Control | 0.74 ± 0.007 | 0.37 ± 0.001 | 0.37 ± 0.001 | 0.48 ± 0.016 | 0.22 ± 0.022 | 1.19 ± 0.068 a,b | |
| p > 0.05 | p > 0.05 | p > 0.05 | p > 0.05 | p > 0.05 | p = 0.001 | ||
| Apigenin | 40 µM | 0.74 ± 0.025 | 0.37 ± 0.003 | 0.37 ± 0.002 | 0.80 ± 0.095 | 0.39 ± 0.025 | 1.56 ± 0.273 |
| 20 µM | 0.71 ± 0.011 | 0.37 ± 0.001 | 0.37 ± 0.001 | 0.77 ± 0.018 | 0.37 ± 0.022 | 1.39 ± 0.145 | |
| 10 µM | 0.76 ± 0.030 | 0.36 ± 0.001 | 0.37 ± 0.003 | 0.69 ± 0.111 | 0.32 ± 0.059 | 1.74 ± 0.332 | |
| Control | 0.72 ± 0.006 | 0.36 ± 0.001 | 0.37 ± 0.003 | 0.66 ± 0.078 | 0.31 ± 0.021 | 1.48 ± 0.299 | |
| p > 0.05 | p > 0.05 | p > 0.05 | p > 0.05 | p > 0.05 | p > 0.05 | ||
| Dose | Differentiation | Maturation | |
|---|---|---|---|
| Luteolin | 40 µM | 5.31 ± 0.703 | 73.56 ± 10.641 |
| 20 µM | 7.35 ± 0.468 | 85.43 ± 0.986 | |
| 10 µM | 33.64 ± 15.201 | 52.85 ± 23.666 | |
| Control | 5.13 ± 1.391 | 66.51 ± 7.068 | |
| p > 0.05 | p > 0.05 | ||
| Apigenin | 40 µM | 21.69 ± 12.409 | 8.94 ± 2.837 |
| 20 µM | 2.48 ± 1.151 | 19.03 ± 11.601 | |
| 10 µM | 6.81 ± 1.566 | 40.986 ± 30.631 | |
| Control | 17.09 ± 13.578 | 11.60 ± 0.898 | |
| p > 0.05 | p > 0.05 |
| Gene | Forward Primer | Reverse Primer |
|---|---|---|
| B-actin | CCTGTGCTGCTCACCGAGGC | GACCCCGTCTCTCCGGAGTCCATC |
| PPARγ | GTACTGTCGGTTTCAGAAGTGCC | ATCTCCGCCAACAGCTTCTCCT |
| FABP4 | TGAAATCACCGCAGACGACAGG | GCTTGTCACCATCTCGTTTTCTC |
| UCP1 | CCTGCCTCTCTCGGAAACAA | GTAGCGGGGTTTGATCCCAT |
Disclaimer/Publisher’s Note: The statements, opinions and data contained in all publications are solely those of the individual author(s) and contributor(s) and not of MDPI and/or the editor(s). MDPI and/or the editor(s) disclaim responsibility for any injury to people or property resulting from any ideas, methods, instructions or products referred to in the content. |
© 2025 by the authors. Licensee MDPI, Basel, Switzerland. This article is an open access article distributed under the terms and conditions of the Creative Commons Attribution (CC BY) license.
Share and Cite
Uysal Yeler, G.; Sivaslıoğlu, A.; Gülsün, T.; Göktaş, Z. Effects of Luteolin and Apigenin on Adipogenesis Markers PPARγ and FABP4 and Thermogenesis Marker UCP1 in 3T3-L1 Preadipocyte Cell Line. Int. J. Mol. Sci. 2026, 27, 139. https://doi.org/10.3390/ijms27010139
Uysal Yeler G, Sivaslıoğlu A, Gülsün T, Göktaş Z. Effects of Luteolin and Apigenin on Adipogenesis Markers PPARγ and FABP4 and Thermogenesis Marker UCP1 in 3T3-L1 Preadipocyte Cell Line. International Journal of Molecular Sciences. 2026; 27(1):139. https://doi.org/10.3390/ijms27010139
Chicago/Turabian StyleUysal Yeler, Gülcan, Ayşegül Sivaslıoğlu, Tuğba Gülsün, and Zeynep Göktaş. 2026. "Effects of Luteolin and Apigenin on Adipogenesis Markers PPARγ and FABP4 and Thermogenesis Marker UCP1 in 3T3-L1 Preadipocyte Cell Line" International Journal of Molecular Sciences 27, no. 1: 139. https://doi.org/10.3390/ijms27010139
APA StyleUysal Yeler, G., Sivaslıoğlu, A., Gülsün, T., & Göktaş, Z. (2026). Effects of Luteolin and Apigenin on Adipogenesis Markers PPARγ and FABP4 and Thermogenesis Marker UCP1 in 3T3-L1 Preadipocyte Cell Line. International Journal of Molecular Sciences, 27(1), 139. https://doi.org/10.3390/ijms27010139

