Do Single-Nucleotide Polymorphisms Affect Pain Intensity and Sufentanil Analgesia After Pediatric Scoliosis Correction Surgery?
Abstract
1. Introduction
2. Results
2.1. Descriptive Statistics of Analyzed Clinical Parameters and Demographic Data
2.2. Influence of Confounders on Clinical Parameters
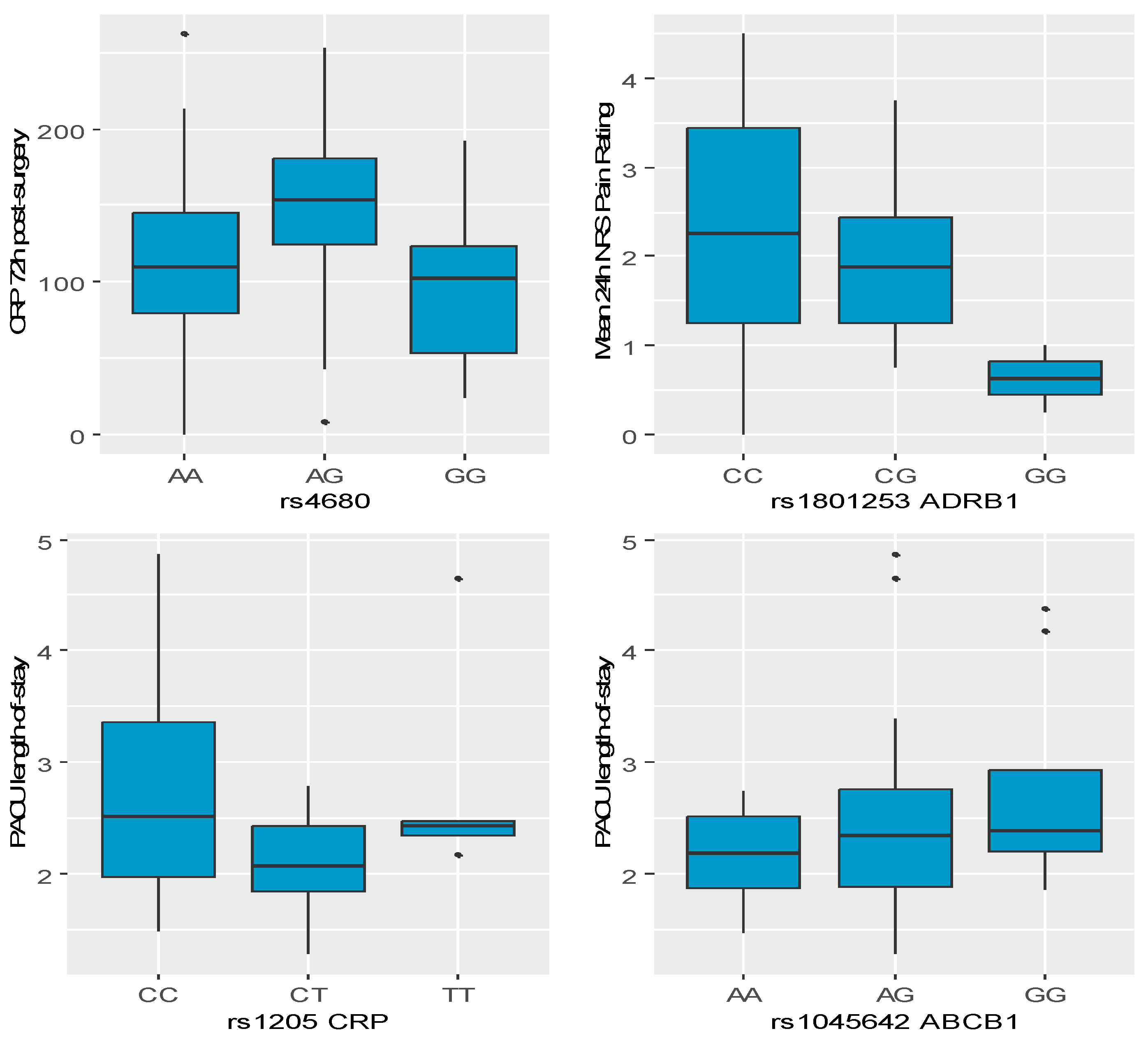
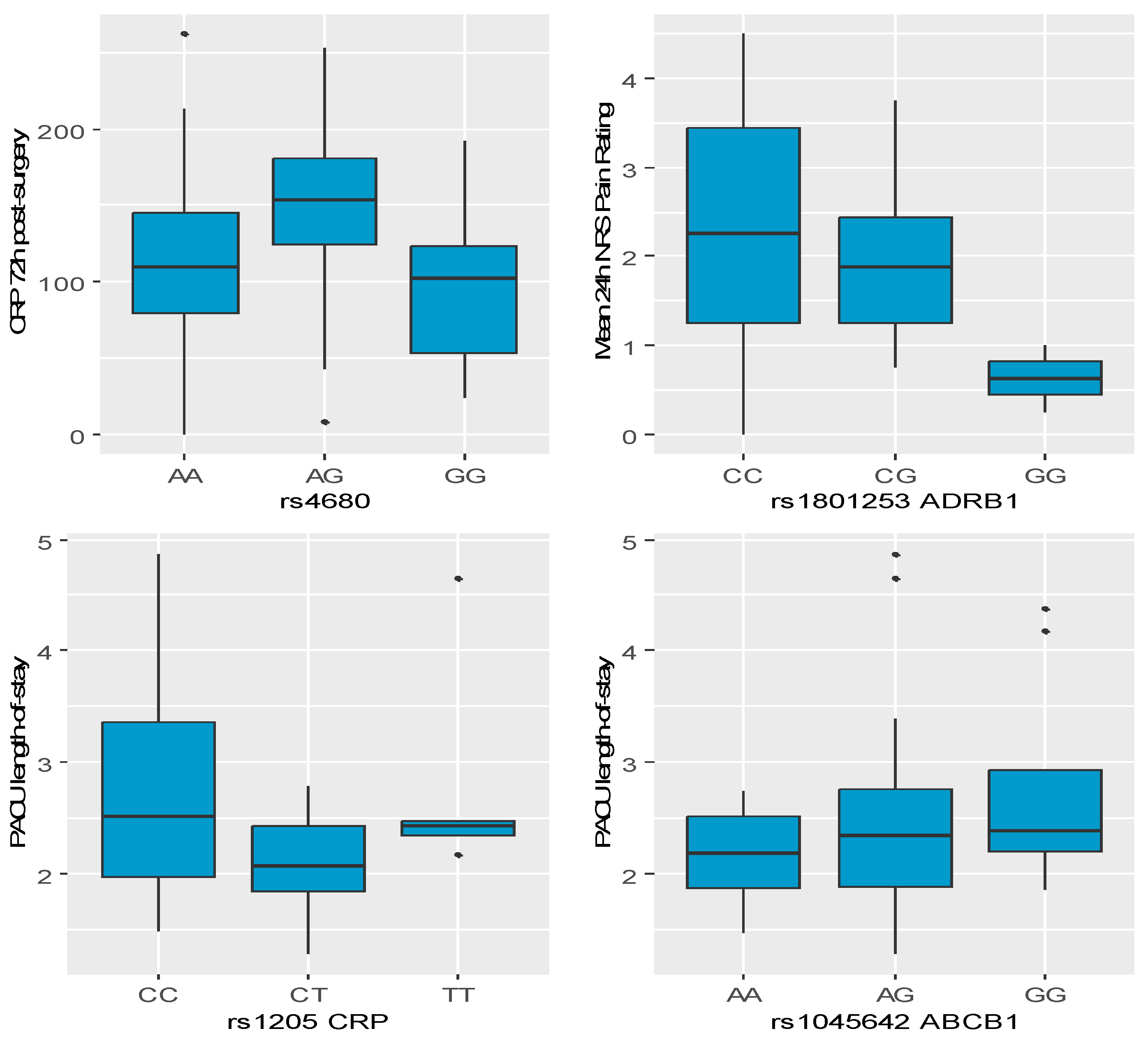
2.3. Influence of Polymorphisms on CRP 72 h Post-Surgery
2.4. Influence of Polymorphisms on Mean 24 h NRS Pain Rating
2.5. Influence of Polymorphisms on Sufentanil Mean Infusion Flow Rate (Weight-Adjusted)
2.6. Influence of Polymorphisms on PACU Length of Stay
2.7. Influence of Polymorphisms on Usage of COANALGESICS
3. Discussion
4. Materials and Methods
4.1. Patient Population
4.2. Anesthesia and Analgesia
4.3. Postoperative Pain Treatment
4.4. Genotyping Data and Laboratory Analysis
4.5. Statistical Analysis
5. Limitations of the Study
Supplementary Materials
Author Contributions
Funding
Institutional Review Board Statement
Informed Consent Statement
Data Availability Statement
Conflicts of Interest
References
- Taylor, E.M.; Boyer, K.; Campbell, F.A. Pain in Hospitalized Children: A Prospective Cross-Sectional Survey of Pain Prevalence, Intensity, Assessment and Management in a Canadian Pediatric Teaching Hospital. Pain Res. Manag. 2008, 13, 25–32. [Google Scholar] [CrossRef] [PubMed]
- Astuto, M.; Rosano, G.; Rizzo, G.; Disma, N.; Di Cataldo, A. Methodologies for the Treatment of Acute and Chronic Nononcologic Pain in Children. Minerva Anestesiol. 2007, 73, 459–465. [Google Scholar] [PubMed]
- Bąbel, P. The Effect of Positive Affect on the Memory of Pain. Pain Manag. Nurs. 2017, 18, 129–136. [Google Scholar] [CrossRef]
- Morton, N.S. Management of Postoperative Pain in Children. Arch. Dis. Child. Educ. Pract. 2007, 92, ep14–ep19. [Google Scholar] [CrossRef]
- Bąbel, P.; Pieniążek, L.; Zarotyński, D. The Effect of the Type of Pain on the Accuracy of Memory of Pain and Affect. Eur. J. Pain 2015, 19, 358–368. [Google Scholar] [CrossRef]
- Shamim, F.; Ullah, H.; Khan, F. Postoperative Pain Assessment Using Four Behavioral Scales in Pakistani Children Undergoing Elective Surgery. Saudi J. Anaesth. 2015, 9, 174. [Google Scholar] [CrossRef]
- Gan, T.J. Poorly Controlled Postoperative Pain: Prevalence, Consequences, and Prevention. J. Pain Res. 2017, 10, 2287–2298. [Google Scholar] [CrossRef]
- Rabbitts, J.A.; Fisher, E.; Rosenbloom, B.N.; Palermo, T.M. Prevalence and Predictors of Chronic Postsurgical Pain in Children: A Systematic Review and Meta-Analysis. J. Pain 2017, 18, 605–614. [Google Scholar] [CrossRef]
- Fortier, M.A.; Chou, J.; Maurer, E.L.; Kain, Z.N. Acute to Chronic Postoperative Pain in Children: Preliminary Findings. J. Pediatr. Surg. 2011, 46, 1700–1705. [Google Scholar] [CrossRef]
- Grabala, P.; Kowalski, P.; Grabala, M. The Influence of Increased Pedicle Screw Diameter and Thicker Rods on Surgical Results in Adolescents Undergoing Posterior Spinal Fusion for Idiopathic Scoliosis. J. Clin. Med. 2024, 13, 2174. [Google Scholar] [CrossRef]
- Grabala, P.; Grabala, M.; Kossakowski, D.; Larysz, D. Three-Dimensional Correction for Idiopathic Scoliosis with Posterior Spinal Fusion and the Risk of Neurological Complications. Pol. Ann. Med. 2016, 23, 97–101. [Google Scholar] [CrossRef]
- Erwin, J.; Carlson, B.B.; Bunch, J.; Jackson, R.S.; Burton, D. Impact of Unoperated Adolescent Idiopathic Scoliosis in Adulthood: A 10-Year Analysis. Spine Deform. 2020, 8, 1009–1016. [Google Scholar] [CrossRef] [PubMed]
- Bas, T.; Franco, N.; Bas, P.; Bas, J.L. Pain and Disability Following Fusion for Idiopathic Adolescent Scoliosis: Prevalence and Associated Factors. Evid. Based Spine Care J. 2012, 3, 17–24. [Google Scholar] [CrossRef] [PubMed][Green Version]
- Bagó, J.; Matamalas, A.; Pizones, J.; Betegón, J.; Sánchez-Raya, J.; Pellisé, F. Back Pain in Adolescents and Young Adults with Idiopathic Scoliosis—Identifying Factors Associated with Significant Pain—A Multivariate Logistic Regression Analysis. J. Clin. Med. 2024, 13, 2366. [Google Scholar] [CrossRef]
- Khalil, H.; Sereika, S.M.; Dai, F.; Alexander, S.; Conley, Y.; Gruen, G.; Meng, L.; Siska, P.; Tarkin, I.; Henker, R. OPRM1 and COMT Gene–Gene Interaction Is Associated With Postoperative Pain and Opioid Consumption After Orthopedic Trauma. Biol. Res. Nurs. 2017, 19, 170–179. [Google Scholar] [CrossRef]
- Wang, H.; An, J.; Zhong, S.; Qiao, S.; Zhang, L.; Zhao, L.; Wang, C. The Influence of COMT and ABCB1 Gene Polymorphisms on Sufentanil Analgesic Effect for Postoperative Pain in Children with Fracture. Medicine 2024, 103, e37980. [Google Scholar] [CrossRef]
- Vecchione, T.M.; Agarwal, R.; Monitto, C.L. Error Traps in Acute Pain Management in Children. Paediatr. Anaesth. 2022, 32, 982–992. [Google Scholar] [CrossRef]
- Choi, S.-W.; Lam, D.M.H.; Wong, S.S.C.; Shiu, H.H.C.; Wang, A.X.M.; Cheung, C.-W. Effects of Single Nucleotide Polymorphisms on Surgical and Postsurgical Opioid Requirements: A Systematic Review and Meta-Analysis. Clin. J. Pain 2017, 33, 1117–1130. [Google Scholar] [CrossRef]
- Ferreira Do Couto, M.L.; Fonseca, S.; Pozza, D.H. Pharmacogenetic Approaches in Personalized Medicine for Postoperative Pain Management. Biomedicines 2024, 12, 729. [Google Scholar] [CrossRef]
- Turczynowicz, A.; Niedźwiecka, K.; Panasiuk, D.; Pużyńska, W.; Luchowski, K.; Kondracka, J.; Jakubów, P. Single Nucleotide Polymorphisms as Predictors of Treatment Efficacy and Adverse Effects of Morphine in Palliative Medicine—A Literature Review. Palliat. Med. Pract. 2022, 17, 29–38. [Google Scholar] [CrossRef]
- Hwang, I.C.; Park, J.-Y.; Myung, S.-K.; Ahn, H.Y.; Fukuda, K.; Liao, Q. OPRM1 A118G Gene Variant and Postoperative Opioid Requirement. Anesthesiology 2014, 121, 825–834. [Google Scholar] [CrossRef] [PubMed]
- Chu, H. The Relevance of the OPRM1 118A>G GeneticVariant for Opioid Requirement in Pain Treatment: A Meta-Analysis. Pain Phys. 2019, 4, 331–340. [Google Scholar] [CrossRef]
- Bartošová, O.; Polanecký, O.; Perlík, F.; Adámek, S.; Slanař, O. OPRM1 and ABCB1 Polymorphisms and Their Effect on Postoperative Pain Relief With Piritramide. Physiol. Res. 2015, 64, S521–S527. [Google Scholar] [CrossRef] [PubMed]
- Niu, H.; Zhao, S.; Wang, Y.; Huang, S.; Zhou, R.; Wu, Z.; Song, W.; Chen, X. Influence of Genetic Variants on Remifentanil Sensitivity in Chinese Women. J. Clin. Pharm. Ther. 2022, 47, 1858–1866. [Google Scholar] [CrossRef]
- Moriyama, A.; Nishizawa, D.; Kasai, S.; Hasegawa, J.; Fukuda, K.; Nagashima, M.; Katoh, R.; Ikeda, K. Association Between Genetic Polymorphisms of the β1-Adrenergic Receptor and Sensitivity to Pain and Fentanyl in Patients Undergoing Painful Cosmetic Surgery. J. Pharmacol. Sci. 2013, 121, 48–57. [Google Scholar] [CrossRef]
- Feng, S.; Li, N.; Xu, S.; Wang, H.; Yu, W.; Lu, Y.; Cao, J.; Meng, Y. Association of ADRB1 Gene Polymorphisms with Pain Sensitivity in a Chinese Population. Int. J. Clin. Exp. Med. 2015, 8, 11514–11518. [Google Scholar]
- Tsuchida, R.; Nishizawa, D.; Fukuda, K.; Ichinohe, T.; Kano, K.; Kurano, M.; Ikeda, K.; Sumitani, M. Genetic Polymorphisms of ENPP2 Are Possibly Associated with Pain Severity and Opioid Dose Requirements in Patients with Inflammatory Pain Conditions: Clinical Observation Study. Int. J. Mol. Sci. 2023, 24, 6986. [Google Scholar] [CrossRef]
- Perry, T.E.; Muehlschlegel, J.D.; Liu, K.-Y.; Fox, A.A.; Collard, C.D.; Body, S.C.; Shernan, S.K.; CABG Genomics Investigators. C-Reactive Protein Gene Variants Are Associated with Postoperative C-Reactive Protein Levels after Coronary Artery Bypass Surgery. BMC Med. Genet. 2009, 10, 38. [Google Scholar] [CrossRef]
- Carlson, C.S.; Aldred, S.F.; Lee, P.K.; Tracy, R.P.; Schwartz, S.M.; Rieder, M.; Liu, K.; Williams, O.D.; Iribarren, C.; Lewis, E.C.; et al. Polymorphisms within the C-Reactive Protein (CRP) Promoter Region Are Associated with Plasma CRP Levels. Am. J. Hum. Genet. 2005, 77, 64–77. [Google Scholar] [CrossRef]
- Lilic, J.; Marjanovic, V.; Budic, I.; Stefanovic, N.; Stokanovic, D.; Marjanovic, G.; Jevtovic-Stoimenov, T.; Golubovic, M.; Zecevic, M.; Velickovic-Radovanovic, R. The Impact of Opioid Receptor Gene Polymorphism on Fentanyl and Alfentanil’s Analgesic Effects in the Pediatric Perioperative Period. Pharmgenomics Pers. Med. 2024, 17, 41–49. [Google Scholar] [CrossRef]
- Aruldhas, B.W.; Quinney, S.K.; Packiasabapathy, S.; Overholser, B.R.; Raymond, O.; Sivam, S.; Sivam, I.; Velu, S.; Montelibano, A.; Sadhasivam, S. Effects of Oxycodone Pharmacogenetics on Postoperative Analgesia and Related Clinical Outcomes in Children: A Pilot Prospective Study. Pharmacogenomics 2023, 24, 187–197. [Google Scholar] [CrossRef] [PubMed]
- Turczynowicz, A.; Jakubów, P.; Niedźwiecka, K.; Kondracka, J.; Pużyńska, W.; Tałałaj, M.; Guszczyn, T.; Grabala, P.; Kowalczuk, O.; Kocańda, S. Mu-Opioid Receptor 1 and C-Reactive Protein Single Nucleotide Polymorphisms as Biomarkers of Pain Intensity and Opioid Consumption. Brain Sci. 2023, 13, 1629. [Google Scholar] [CrossRef] [PubMed]
- Zaed, I.; Bossi, B.; Ganau, M.; Tinterri, B.; Giordano, M.; Chibbaro, S. Current State of Benefits of Enhanced Recovery After Surgery (ERAS) in Spinal Surgeries: A Systematic Review of the Literature. Neurochirurgie 2022, 68, 61–68. [Google Scholar] [CrossRef] [PubMed]
- Zacha, S.; Szwed, A.; Miegoń, J.; Skonieczna-Żydecka, K.; Andrzejewska, A.; Modrzejewska, E.; Horecki, M.; Jarosz, K.; Biernawska, J. Novel Interdisciplinary Enhanced Recovery after Surgery Protocol Implementation in Paediatric Orthopaedics. J. Pers. Med. 2023, 13, 1417. [Google Scholar] [CrossRef]
- Grabala, P.; Gregorczyk, J.; Fani, N.; Galgano, M.A.; Grabala, M. Surgical Treatment Strategies for Severe and Neglected Spinal Deformities in Children and Adolescents without the Use of Radical Three-Column Osteotomies. J. Clin. Med. 2024, 13, 4824. [Google Scholar] [CrossRef]
- Heinze, G.; Dunkler, D. Five Myths about Variable Selection. Transpl. Int. 2017, 30, 6–10. [Google Scholar] [CrossRef]
- Hosmer, D.W.; Lemeshow, S. Applied Logistic Regression, 1st ed.; Wiley: Hoboken, NJ, USA, 2000; ISBN 978-0-471-35632-5. [Google Scholar]
- Makhlouf, M.M.; Garibay, E.R.; Jenkins, B.N.; Kain, Z.N.; Fortier, M.A. Postoperative Pain: Factors and Tools to Improve Pain Management in Children. Pain Manag. 2019, 9, 389–397. [Google Scholar] [CrossRef]
- Zieliński, J.; Morawska-Kochman, M.; Zatoński, T. Pain Assessment and Management in Children in the Postoperative Period: A Review of the Most Commonly Used Postoperative Pain Assessment Tools, New Diagnostic Methods and the Latest Guidelines for Postoperative Pain Therapy in Children. Adv. Clin. Exp. Med. 2020, 29, 365–374. [Google Scholar] [CrossRef]
- Boric, K.; Dosenovic, S.; Jelicic Kadic, A.; Batinic, M.; Cavar, M.; Urlic, M.; Markovina, N.; Puljak, L. Interventions for Postoperative Pain in Children: An Overview of Systematic Reviews. Pediatr. Anesth. 2017, 27, 893–904. [Google Scholar] [CrossRef]
- Widjaja, S.S.; Ichwan, M.; Chowbay, B.; Rusdiana; Mardani, T.H.; Jayalie, V.F. Gene Polymorphism Impact on Opioid Analgesic Usage. J. Adv. Pharm. Technol. Res. 2024, 15, 135–138. [Google Scholar] [CrossRef]
- Sia, A.T.; Landau, R. A118G Single Nucleotide Polymorphism of Human Mu-Opioid Receptor Gene Influences Pain Perception and Patient-Controlled Intravenous Morphine Consumption after Intrathecal Morphine for Postcesarean Analgesia. Anesthesiology 2008, 109, 520–526. [Google Scholar] [CrossRef] [PubMed]
- Jurewicz, A.; Bohatyrewicz, A.; Pawlak, M.; Tarnowski, M.; Kurzawski, M.; Machoy-Mokrzyńska, A.; Kaczmarczyk, M.; Lubkowska, A.; Chudecka, M.; Maciejewska-Skrendo, A.; et al. No Association between Genetic Variants of the COMT and OPRM1 Genes and Pain Perception among Patients Undergoing Total Hip or Knee Arthroplasty for Primary Osteoarthritis. Genes 2022, 13, 1775. [Google Scholar] [CrossRef] [PubMed]
- Martin, F.J.; Amode, M.R.; Aneja, A.; Austine-Orimoloye, O.; Azov, A.G.; Barnes, I.; Becker, A.; Bennett, R.; Berry, A.; Bhai, J.; et al. Ensembl 2023. Nucleic Acids Res. 2023, 51, D933–D941. [Google Scholar] [CrossRef]
- Zheng, H.; Schnabel, A.; Yahiaoui-Doktor, M.; Meissner, W.; Van Aken, H.; Zahn, P.; Pogatzki-Zahn, E. Age and Preoperative Pain Are Major Confounders for Sex Differences in Postoperative Pain Outcome: A Prospective Database Analysis. PLoS ONE 2017, 12, e0178659. [Google Scholar] [CrossRef]
- Aubrun, F.; Salvi, N.; Coriat, P.; Riou, B. Sex- and Age-Related Differences in Morphine Requirements for Postoperative Pain Relief. Anesthesiology 2005, 103, 156–160. [Google Scholar] [CrossRef]
- Cepeda, M.S.; Carr, D.B. Women Experience More Pain and Require More Morphine Than Men to Achieve a Similar Degree of Analgesia. Anesth. Analg. 2003, 97, 1464–1468. [Google Scholar] [CrossRef]
- Ziesenitz, V.C.; Vaughns, J.D.; Koch, G.; Mikus, G.; van den Anker, J.N. Pharmacokinetics of Fentanyl and Its Derivatives in Children: A Comprehensive Review. Clin. Pharmacokinet. 2018, 57, 125–149. [Google Scholar] [CrossRef]
- Smith, S.B.; Reenilä, I.; Männistö, P.T.; Slade, G.D.; Maixner, W.; Diatchenko, L.; Nackley, A.G. Epistasis between Polymorphisms in COMT, ESR1, and GCH1 Influences COMT Enzyme Activity and Pain. Pain 2014, 155, 2390–2399. [Google Scholar] [CrossRef]
- Matic, M.; de Hoogd, S.; de Wildt, S.N.; Tibboel, D.; Knibbe, C.A.; van Schaik, R.H. OPRM1 and COMT Polymorphisms: Implications on Postoperative Acute, Chronic and Experimental Pain after Cardiac Surgery. Pharmacogenomics 2020, 21, 181–193. [Google Scholar] [CrossRef]
- Diatchenko, L.; Nackley, A.G.; Slade, G.D.; Bhalang, K.; Belfer, I.; Max, M.B.; Goldman, D.; Maixner, W. Catechol-O-Methyltransferase Gene Polymorphisms Are Associated with Multiple Pain-Evoking Stimuli. Pain 2006, 125, 216–224. [Google Scholar] [CrossRef]
- Phan, L.; Jin, Y.; Zhang, H.; Qiang, W.; Shekhtman, E.; Shao, D.; Revoe, D.; Villamarin, R.; Ivanchenko, E.; Kimura, M.; et al. Kattman ALFA: Allele Frequency Aggregator. 2020. Available online: www.ncbi.nlm.nih.gov/snp/docs/gsr/alfa/ (accessed on 2 April 2025).
- Hajj, A.; Peoc’h, K.; Laplanche, J.-L.; Jabbour, H.; Naccache, N.; Zeid, H.; Yazbeck, P.; Khabbaz, L. Genotyping Test with Clinical Factors: Better Management of Acute Postoperative Pain? Int. J. Mol. Sci. 2015, 16, 6298–6311. [Google Scholar] [CrossRef] [PubMed]
- Wu, B.; Hand, W.; Alexov, E. Opioid Addiction and Opioid Receptor Dimerization: Structural Modeling of the OPRD1 and OPRM1 Heterodimer and Its Signaling Pathways. Int. J. Mol. Sci. 2021, 22, 10290. [Google Scholar] [CrossRef] [PubMed]
- Hajj, A.; Obeid, S.; Sahyoun, S.; Haddad, C.; Azar, J.; Rabbaa Khabbaz, L.; Hallit, S. Clinical and Genetic Factors Associated with Resistance to Treatment in Patients with Schizophrenia: A Case-Control Study. Int. J. Mol. Sci. 2019, 20, 4753. [Google Scholar] [CrossRef]
- Boroń, A.; Suchanecka, A.; Chmielowiec, K.; Śmiarowska, M.; Chmielowiec, J.; Strońska-Pluta, A.; Recław, R.; Grzywacz, A. OPRM1 Gene Polymorphism in Women with Alcohol Use Disorder. Int. J. Mol. Sci. 2024, 25, 3067. [Google Scholar] [CrossRef]
- Mathur, S.; Patel, J.; Goldstein, S.; Hendrix, J.M.; Jain, A. Bispectral Index. In StatPearls; StatPearls Publishing: Treasure Island, FL, USA, 2024. [Google Scholar]

| Variable | Mean ± SD/n (%) | Range |
|---|---|---|
| Age, years | 13.33 ± 3.67 | 5.00–18.00 |
| Sex, female | 32 (76.2) | - |
| Weight, kg | 47.72 ± 16.39 | 16.50 ± 82.00 |
| Polymorphism | n | CRP 72 h Post-Surgery, Mean ± SD | Mean 24 h NRS Pain Rating, Mean ± SD | Sufentanil Mean Infusion Flow Rate (Weight-Adjusted), Mean ± SD | PACU Length of Stay, Median (IQR) | Coanalgesics, n (%) | |
|---|---|---|---|---|---|---|---|
| rs1799971 OPRM1 | AA | 35 | 134.74 ± 66.90 | 2.09 ± 1.26 | 0.09 ± 0.03 | 2.38 (1.89;2.74) | 17 (48.6) |
| AG | 7 | 99.97 ± 66.09 | 1.79 ± 1.19 | 0.08 ± 0.02 | 2.30 (2.03;2.37) | 6 (85.7) | |
| rs1205 CRP | CC | 17 | 130.54 ± 64.63 | 1.91 ± 1.41 | 0.09 ± 0.04 | 2.52 (1.97;3.37) | 10 (58.8) |
| CT | 20 | 121.22 ± 71.95 | 2.19 ± 1.19 | 0.09 ± 0.03 | 2.08 (1.85;2.42) | 10 (50.0) | |
| TT | 5 | 154.40 ± 62.81 | 1.85 ± 0.84 | 0.07 ± 0.03 | 2.43 (2.35;2.47) | 3 (60.0) | |
| rs1045642 ABCB1 | AA | 10 | 142.57 ± 72.25 | 2.42 ± 1.44 | 0.09 ± 0.03 | 2.18 (1.88;2.51) | 6 (60.0) |
| AG | 23 | 129.80 ± 62.38 | 1.95 ± 1.27 | 0.09 ± 0.03 | 2.35 (1.89;2.76) | 10 (43.5) | |
| GG | 9 | 111.61 ± 77.68 | 1.83 ± 0.87 | 0.08 ± 0.02 | 2.38 (2.20;2.93) | 7 (77.8) | |
| rs6269 | AA | 13 | 132.59 ± 51.99 | 2.33 ± 1.04 | 0.09 ± 0.03 | 2.35 (1.98;2.50) | 8 (61.5) |
| AG | 29 | 127.31 ± 73.86 | 1.91 ± 1.31 | 0.09 ± 0.03 | 2.30 (1.90;2.75) | 15 (51.7) | |
| rs4633 | CC | 6 | 92.05 ± 68.88 | 1.46 ± 1.73 | 0.08 ± 0.02 | 2.56 (2.10;2.88) | 4 (66.7) |
| CT | 22 | 140.20 ± 66.49 | 2.15 ± 1.18 | 0.09 ± 0.03 | 2.35 (2.00;2.69) | 13 (59.1) | |
| TT | 14 | 127.06 ± 66.73 | 2.11 ± 1.10 | 0.09 ± 0.03 | 2.15 (1.85;2.48) | 6 (42.9) | |
| rs4818 | CC | 20 | 120.00 ± 59.27 | 2.42 ± 0.97 | 0.09 ± 0.03 | 2.32 (2.05;2.50) | 14 (70.0) |
| CG | 22 | 137.07 ± 74.21 | 1.68 ± 1.36 | 0.09 ± 0.03 | 2.37 (1.89;2.89) | 9 (40.9) | |
| rs4680 | AA | 16 | 120.48 ± 67.53 | 2.09 ± 1.15 | 0.08 ± 0.03 | 2.29 (1.95;2.52) | 8 (50.0) |
| AG | 20 | 145.01 ± 67.32 | 2.12 ± 1.19 | 0.09 ± 0.03 | 2.35 (1.95;2.76) | 11 (55.0) | |
| GG | 6 | 97.94 ± 61.44 | 1.58 ± 1.69 | 0.08 ± 0.02 | 2.19 (1.92;2.65) | 4 (66.7) | |
| COMT haplotype | ACCA/GTGG | 13 | 160.77 ± 64.59 | 2.08 ± 1.26 | 0.09 ± 0.04 | 2.30 (1.88;2.52) | 5 (38.5) |
| ATCA/ATCA | 10 | 119.55 ± 49.65 | 2.20 ± 1.09 | 0.09 ± 0.03 | 2.39 (2.00;2.51) | 5 (50.0) | |
| Other | 19 | 112.11 ± 72.17 | 1.92 ± 1.34 | 0.08 ± 0.02 | 2.30 (1.95;2.76) | 13 (68.4) | |
| rs7832704 ENPP2 | AA | 5 | 144.51 ± 44.08 | 2.40 ± 1.33 | 0.07 ± 0.03 | 2.38 (2.30;2.52) | 3 (60.0) |
| AG | 37 | 126.84 ± 69.98 | 1.99 ± 1.23 | 0.09 ± 0.03 | 2.30 (1.88;2.73) | 20 (54.1) | |
| rs1801253 ADRB1 | CC | 26 | 134.91 ± 64.04 | 2.19 ± 1.35 | 0.09 ± 0.03 | 2.42 (2.02;2.77) | 13 (50.0) |
| CG | 14 | 116.48 ± 78.04 | 1.95 ± 0.97 | 0.08 ± 0.02 | 2.02 (1.84;2.34) | 9 (64.3) | |
| GG | 2 | 138.62 ± 21.69 | 0.62 ± 0.53 | 0.06 ± 0.00 | 3.46 (3.10;3.82) | 1 (50.0) | |
| Clinical Parameter | Age, Years | Gender, Female (vs. Male) | Procedure Type, Expedium (vs. Nuvasive) | Procedure Type, Other (vs. Nuvasive) | ||||
|---|---|---|---|---|---|---|---|---|
| β/OR (95% CI) | p | β/OR (95% CI) | p | β/OR (95% CI) | p | β/OR (95% CI) | p | |
| CRP 72 h post-surgery | 6.75 (1.30;12.20) | 0.017 | 19.28 (−30.19;68.76) | 0.435 | 21.18 (−38.03;80.38) | 0.474 | −1.25 (−53.06;50.55) | 0.961 |
| Mean 24 h NRS pain rating | 0.06 (−0.04;0.17) | 0.249 | 0.74 (−0.15;1.62) | 0.101 | −0.46 (−1.54;0.63) | 0.400 | −0.25 (−1.19;0.70) | 0.604 |
| Sufentanil mean infusion flow rate (weight-adjusted) | 0.00 (0.00;0.00) | 0.060 | 0.02 (0.00;0.04) | 0.084 | −0.02 (−0.04;0.01) | 0.207 | 0.00 (−0.03;0.02) | 0.800 |
| PACU length of stay | 0.01 (−0.06;0.08) | 0.718 | −0.39 (−0.98;0.21) | 0.195 | 0.02 (−0.65;0.69) | 0.952 | −0.75 (−1.34;−0.17) | 0.013 |
| Coanalgesics | 0.94 (0.79;1.12) | 0.514 | 1.29 (0.30;5.50) | 0.729 | 0.89 (0.16;5.33) | 0.892 | 0.44 (0.09;1.95) | 0.288 |
| Polymorphism | CRP 72 h Post-Surgery | Mean 24 h NRS Pain Rating | Sufentanil Mean Infusion Flow Rate (Weight-Adjusted) | PACU Length of Stay | Coanalgesics (Yes/No) | ||||||
|---|---|---|---|---|---|---|---|---|---|---|---|
| β (95% CI) | p | β (95% CI) | p | β (95% CI) | p | β (95% CI) | p | OR (95% CI) | p | ||
| rs1799971 OPRM1 | AA | ref | ref | ref | ref | ref | |||||
| AG | −32.12 (−84.85;20.61) | 0.225 | −0.26 (−1.28;0.76) | 0.612 | −0.01 (−0.03;0.01) | 0.410 | −0.28 (−0.95;0.39) | 0.405 | 6.35 (0.95;126.67) | 0.102 | |
| rs1205 CRP | CC | ref | ref | ref | ref | ref | |||||
| CT | −9.76 (−53.00;33.49) | 0.650 | 0.25 (−0.57;1.08) | 0.542 | 0.00 (−0.02;0.02) | 0.837 | −0.62 (−1.10;−0.14) | 0.012 | 0.70 (0.18;2.57) | 0.592 | |
| TT | 0.67 (−69.15;70.49) | 0.985 | 0.06 (−1.22;1.34) | 0.929 | −0.01 (−0.04;0.03) | 0.660 | 0.03 (−0.71;0.77) | 0.927 | 1.05 (0.14;9.61) | 0.962 | |
| rs1045642 ABCB1 | AA | ref | ref | ref | ref | ref | |||||
| AG | −12.66 (−62.23;36.91) | 0.608 | −0.37 (−1.33;0.58) | 0.433 | −0.01 (−0.03;0.01) | 0.433 | 0.51 (−0.08;1.09) | 0.087 | 0.51 (0.11;2.29) | 0.386 | |
| GG | −17.05 (−78.41;44.31) | 0.577 | −0.44 (−1.60;0.72) | 0.451 | −0.02 (−0.05;0.01) | 0.117 | 0.72 (0.01;1.43) | 0.046 | 2.33 (0.33;21.56) | 0.410 | |
| rs6269 | AA | ref | ref | ref | ref | ref | |||||
| AG | 9.41 (−35.39;54.20) | 0.673 | −0.27 (−1.12;0.58) | 0.529 | −0.01 (−0.03;0.01) | 0.527 | 0.05 (−0.50;0.61) | 0.843 | 0.67 (0.17;2.50) | 0.556 | |
| rs4633 | CC | ref | ref | ref | ref | ref | |||||
| CT | 48.04 (−9.93;106.01) | 0.102 | 0.68 (−0.46;1.81) | 0.234 | 0.01 (−0.02;0.03) | 0.638 | 0.02 (−0.72;0.76) | 0.963 | 0.72 (0.09;4.58) | 0.737 | |
| TT | 20.56 (−41.83;82.95) | 0.509 | 0.45 (−0.77;1.68) | 0.461 | 0.01 (−0.02;0.04) | 0.372 | −0.21 (−0.99;0.57) | 0.590 | 0.38 (0.04;2.61) | 0.337 | |
| rs4818 | CC | ref | ref | ref | ref | ref | |||||
| CG | 18.59 (−21.05;58.22) | 0.349 | −0.64 (−1.40;0.11) | 0.091 | 0.00 (−0.02;0.02) | 0.941 | 0.21 (−0.28;0.70) | 0.395 | 0.30 (0.08;1.03) | 0.063 | |
| rs4680 | AA | ref | ref | ref | ref | ref | |||||
| AG | 46.24 (4.03;88.45) | 0.033 | 0.34 (−0.55;1.22) | 0.447 | 0.00 (−0.02;0.02) | 0.830 | −0.03 (−0.59;0.53) | 0.914 | 1.22 (0.33;4.65) | 0.765 | |
| GG | −21.04 (−78.38;36.31) | 0.462 | −0.42 (−1.59;0.76) | 0.479 | 0.00 (−0.03;0.03) | 0.905 | 0.00 (−0.78;0.79) | 0.991 | 2.00 (0.30;17.59) | 0.488 | |
| COMT haplotype | ACCA/GTGG | ref | ref | ref | ref | ref | |||||
| ATCA/ATCA | −48.74 (−101.52;4.03) | 0.069 | −0.10 (−1.18;0.99) | 0.857 | 0.00 (−0.03;0.02) | 0.746 | 0.06 (−0.62;0.75) | 0.856 | 1.60 (0.30;8.90) | 0.581 | |
| Other | −38.30 (−83.97;7.37) | 0.098 | −0.29 (−1.20;0.62) | 0.523 | −0.02 (−0.04;0.00) | 0.115 | 0.02 (−0.56;0.61) | 0.932 | 3.47 (0.82;16.32) | 0.099 | |
| rs7832704 ENPP2 | AA | ref | ref | ref | ref | ref | |||||
| AG | −1.93 (−65.13;61.28) | 0.951 | −0.56 (−1.74;0.62) | 0.342 | 0.02 (−0.01;0.05) | 0.234 | −0.26 (−1.01;0.49) | 0.488 | 0.78 (0.09;5.27) | 0.802 | |
| rs1801253 ADRB1 | CC | ref | ref | ref | ref | ref | |||||
| CG | −20.26 (−63.27;22.75) | 0.346 | −0.53 (−1.34;0.29) | 0.199 | −0.01 (−0.03;0.01) | 0.521 | −0.15 (−0.69;0.39) | 0.581 | 1.80 (0.48;7.26) | 0.389 | |
| GG | 12.78 (−82.64;108.20) | 0.788 | −1.92 (−3.66;−0.17) | 0.032 | −0.04 (−0.08;0.01) | 0.093 | 0.86 (−0.30;2.02) | 0.140 | 1.00 (0.04;27.14) | >0.999 | |
Disclaimer/Publisher’s Note: The statements, opinions and data contained in all publications are solely those of the individual author(s) and contributor(s) and not of MDPI and/or the editor(s). MDPI and/or the editor(s) disclaim responsibility for any injury to people or property resulting from any ideas, methods, instructions or products referred to in the content. |
© 2025 by the authors. Licensee MDPI, Basel, Switzerland. This article is an open access article distributed under the terms and conditions of the Creative Commons Attribution (CC BY) license (https://creativecommons.org/licenses/by/4.0/).
Share and Cite
Turczynowicz, A.; Równy, J.; Przontka, W.; Grzesik, M.; Jakubów, P.; Kowalczuk, O. Do Single-Nucleotide Polymorphisms Affect Pain Intensity and Sufentanil Analgesia After Pediatric Scoliosis Correction Surgery? Int. J. Mol. Sci. 2025, 26, 3504. https://doi.org/10.3390/ijms26083504
Turczynowicz A, Równy J, Przontka W, Grzesik M, Jakubów P, Kowalczuk O. Do Single-Nucleotide Polymorphisms Affect Pain Intensity and Sufentanil Analgesia After Pediatric Scoliosis Correction Surgery? International Journal of Molecular Sciences. 2025; 26(8):3504. https://doi.org/10.3390/ijms26083504
Chicago/Turabian StyleTurczynowicz, Aleksander, Jakub Równy, Weronika Przontka, Magdalena Grzesik, Piotr Jakubów, and Oksana Kowalczuk. 2025. "Do Single-Nucleotide Polymorphisms Affect Pain Intensity and Sufentanil Analgesia After Pediatric Scoliosis Correction Surgery?" International Journal of Molecular Sciences 26, no. 8: 3504. https://doi.org/10.3390/ijms26083504
APA StyleTurczynowicz, A., Równy, J., Przontka, W., Grzesik, M., Jakubów, P., & Kowalczuk, O. (2025). Do Single-Nucleotide Polymorphisms Affect Pain Intensity and Sufentanil Analgesia After Pediatric Scoliosis Correction Surgery? International Journal of Molecular Sciences, 26(8), 3504. https://doi.org/10.3390/ijms26083504

