Altered Expression Levels of Angiogenic Peptides in the Carotid Body of Spontaneously Hypertensive Rats
Abstract
1. Introduction
2. Results
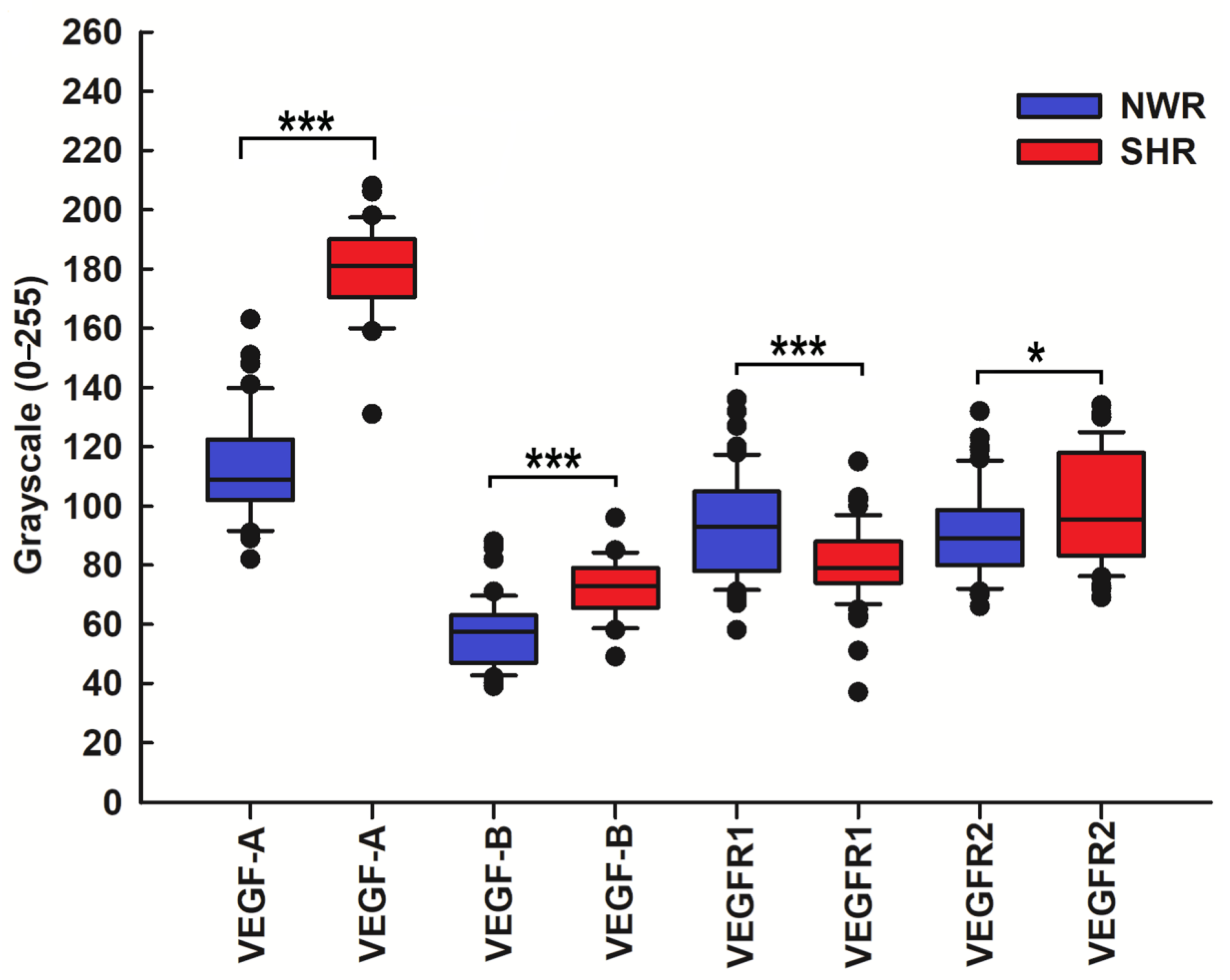
2.1. Vascular Endothelial Growth Factor
2.2. Endothelin
3. Discussion
4. Materials and Methods
4.1. Experimental Animals
4.2. Tissue Preparation
4.3. Immunofluorescence
4.4. Image Analysis and Statistics
5. Conclusions
Author Contributions
Funding
Institutional Review Board Statement
Informed Consent Statement
Data Availability Statement
Acknowledgments
Conflicts of Interest
References
- Lazarov, N.E.; Atanasova, D.Y. Carotid body: The primary peripheral arterial chemoreceptor. Adv. Anat. Embryol. Cell Biol. 2023, 237, 1–3. [Google Scholar] [CrossRef]
- Atanasova, D.Y.; Iliev, M.E.; Lazarov, N.E. Morphology of the rat carotid body. Biomed. Rev. 2011, 22, 41–55. [Google Scholar] [CrossRef]
- Lazarov, N.E.; Atanasova, D.Y. General morphology of the mammalian carotid body. Adv. Anat. Embryol. Cell Biol. 2023, 237, 13–35. [Google Scholar] [CrossRef] [PubMed]
- González, C.; Almaraz, L.; Obeso, A.; Rigual, R. Carotid body chemoreceptors: From natural stimuli to sensory discharges. Physiol. Rev. 1994, 74, 829–898. [Google Scholar] [CrossRef]
- Pardal, R.; Ortega-Sáenz, P.; Durán, R.; López-Barneo, J. Glia-like stem cells sustain physiologic neurogenesis in the adult mammalian carotid body. Cell 2007, 131, 364–377. [Google Scholar] [CrossRef] [PubMed]
- Sobrino, V.; Annese, V.; Navarro-Guerrero, E.; Platero-Luengo, A.; Pardal, R. The carotid body: A physiologically relevant germinal niche in the adult peripheral nervous system. Cell. Mol. Life Sci. 2019, 76, 1027–1039. [Google Scholar] [CrossRef] [PubMed]
- Ballard, T.; Blakeman, N.; Pallot, D.J.; Al-Neamy, K.A. Quantitative ultrastructural studies of the cat carotid body. I. General stereology of tissue components. Acta Anat. 1982, 113, 47–52. [Google Scholar] [CrossRef] [PubMed]
- McDonald, D.M. Peripheral chemoreceptors. Structure-function relationships of the carotid body. In Lung Biology in Health and Disease. The Regulation of Breathing, 1st ed.; Hornbein, T.F., Ed.; Dekker: New York, NY, USA, 1981; pp. 105–319. [Google Scholar]
- McDonald, D.M.; Haskell, A. Morphology of connections between arterioles and capillaries in the rat carotid body analysed by reconstructing serial sections. In The Peripheral Arterial Chemoreceptors; Pallot, D.J., Ed.; Croom Helm: London, UK, 1984; pp. 195–206. [Google Scholar]
- Taguchi, T. Blood vascular organization of the rat carotid body: A scanning electron microscopic study of corrosion casts. Arch. Histol. Jpn. 1986, 49, 243–254. [Google Scholar] [CrossRef]
- McDonald, D.M.; Mitchell, R.A. The innervation of glomus cells, ganglion cells and blood vessels in the rat carotid body: A quantitative ultrastructural analysis. J. Neurocytol. 1975, 4, 177–230. [Google Scholar] [CrossRef]
- Verna, A.; Barets, A.; Salat, C. Distribution of sympathetic nerve endings within the rabbit carotid body: A histochemical and ultrastructural study. J. Neurocytol. 1984, 13, 849–865. [Google Scholar] [CrossRef] [PubMed]
- Ichikawa, H. Innervation of the carotid body: Immunohistochemical, denervation, and retrograde tracing studies. Microsc. Res. Tech. 2002, 59, 188–195. [Google Scholar] [CrossRef] [PubMed]
- Biscoe, T.J.; Stehbens, W.E. Ultrastructure of the denervated carotid body. Quart. J. Exp. Physiol. 1967, 52, 31–36. [Google Scholar] [CrossRef]
- Verna, A. The mammalian carotid body: Morphological data. In The Carotid Body Chemoreceptors; González, C., Ed.; Landes Bioscience: Austin, TX, USA, 1997; pp. 1–29. [Google Scholar]
- De Castro, F.; Rubio, M. The anatomy and innervation of the blood vessels of the carotid body and the role of chemoreceptive reactions in the autoregulation of the blood flow. In Arterial Chemoreceptors, Proceedings of Wates Symposium, Oxford, UK, 18–21 July 1966; Torrance, R.W., Ed.; Blackwell: Oxford, UK, 1968; pp. 267–278. [Google Scholar]
- Verna, A. Observations on the innervation of the carotid body of the rabbit. In Peripheral Arterial Chemoreceptors; Purves, M.J., Ed.; Cambridge University Press: Oxford, UK, 1975; pp. 75–97. [Google Scholar]
- Campanucci, V.A.; Nurse, C.A. Autonomic innervation of the carotid body: Role in efferent inhibition. Respir. Physiol. Neurobiol. 2007, 157, 83–92. [Google Scholar] [CrossRef]
- Schulz, E.; Gori, T.; Münzel, T. Oxidative stress and endothelial dysfunction in hypertension. Hypertens. Res. 2011, 34, 665–673. [Google Scholar] [CrossRef]
- Franco, C.; Sciatti, E.; Favero, G.; Bonomini, F.; Vizzardi, E.; Rezzani, R. Essential hypertension and oxidative stress: Novel future perspectives. Int. J. Mol. Sci. 2022, 23, 14489. [Google Scholar] [CrossRef]
- Atanasova, D.Y.; Lazarov, N.E. Expression of neurotrophic factors and their receptors in the carotid body of spontaneously hypertensive rats. Respir. Physiol. Neurobiol. 2014, 202, 6–15. [Google Scholar] [CrossRef] [PubMed]
- Lazarov, N.E.; Atanasova, D.Y. Structural plasticity of the carotid body. Adv. Anat. Embryol. Cell Biol. 2023, 237, 37–48. [Google Scholar] [CrossRef]
- Habeck, J.O. Morphological findings at the carotid bodies of humans suffering from different types of systemic hypertension or severe lung diseases. Anat. Anz. 1986, 162, 17–27. [Google Scholar] [PubMed]
- Cramer, J.A.; Wiggins, R.H.; Fudim, M.; Engelman, Z.J.; Sobotka, P.A.; Shah, L.M. Carotid body size on CTA: Correlation with comorbidities. Clin. Radiol. 2014, 69, e33–e36. [Google Scholar] [CrossRef] [PubMed]
- Tan, J.; Xiong, B.; Zhu, Y.; Yao, Y.; Qian, J.; Rong, S.; Yang, G.; Zhu, Q.; Jiang, Y.; Zhou, Q.; et al. Carotid body enlargement in hypertension and other comorbidities evaluated by ultrasonography. J. Hypertens. 2019, 37, 1455–1462. [Google Scholar] [CrossRef] [PubMed]
- Atanasova, D.Y.; Dandov, A.D.; Dimitrov, N.D.; Lazarov, N.E. Histochemical and immunohistochemical localization of nitrergic structures in the carotid body of spontaneously hypertensive rats. Acta Histochem. 2020, 122, 151500. [Google Scholar] [CrossRef] [PubMed]
- Porzionato, A.; Macchi, V.; Parenti, A.; De Caro, R. Trophic factors in the carotid body. Int. Rev. Cell Mol. Biol. 2008, 269, 1–58. [Google Scholar] [CrossRef]
- Stocco, E.; Barbon, S.; Tortorella, C.; Macchi, V.; De Caro, R.; Porzionato, A. Growth factors in the carotid body—An update. Int. J. Mol. Sci. 2020, 21, 7267. [Google Scholar] [CrossRef] [PubMed]
- Ferrara, N. VEGF and the quest for tumour angiogenesis factors. Nat. Rev. Cancer 2002, 2, 795–803. [Google Scholar] [CrossRef]
- Shibuya, M. Vascular endothelial growth factor receptor-1 (VEGFR-1/Flt-1): A dual regulator for angiogenesis. Angiogenesis 2006, 9, 225–231. [Google Scholar] [CrossRef] [PubMed]
- Folkman, J. Tumor angiogenesis: Therapeutic implications. N. Engl. J. Med. 1971, 285, 1182–1186. [Google Scholar] [CrossRef]
- Ferrara, N. Vascular endothelial growth factor: Basic science and clinical progress. Endocr. Rev. 2004, 25, 581–611. [Google Scholar] [CrossRef] [PubMed]
- Yanagisawa, M.; Kurihara, H.; Kimura, S.; Tomobe, Y.; Kobayashi, M.; Mitsui, Y.; Yazaki, Y.; Goto, K.; Masaki, T. A novel potent vasoconstrictor peptide produced by vascular endothelial cells. Nature 1988, 332, 411–415. [Google Scholar] [CrossRef]
- Davenport, A.P.; Hyndman, K.A.; Dhaun, N.; Southan, C.; Kohan, D.E.; Pollock, J.S.; Pollock, D.M.; Webb, D.J.; Maguire, J.J. Endothelin. Pharmacol. Rev. 2016, 68, 357–418. [Google Scholar] [CrossRef] [PubMed]
- Harrison, M.; Zinovkin, D.; Pranjol, M.Z. Endothelin-1 and its role in cancer and potential therapeutic opportunities. Biomedicines 2024, 12, 511. [Google Scholar] [CrossRef] [PubMed]
- Prabhakar, N.R.; Peng, Y.J. Peripheral chemoreceptors in health and disease. J. Appl. Physiol. 2004, 96, 359–366. [Google Scholar] [CrossRef] [PubMed]
- Ortega-Sáenz, P.; López-Barneo, J. Physiology of the carotid body: From molecules to disease. Annu. Rev. Physiol. 2020, 82, 127–149. [Google Scholar] [CrossRef]
- Abdala, A.P.; McBryde, F.D.; Marina, N.; Hendy, E.B.; Engelman, Z.J.; Fudim, M.; Sobotka, P.A.; Gourine, A.V.; Paton, J.F. Hypertension is critically dependent on the carotid body input in the spontaneously hypertensive rat. J. Physiol. 2012, 590, 4269–4277. [Google Scholar] [CrossRef]
- Habeck, J.O. Peripheral arterial chemoreceptors and hypertension. J. Auton. Nerv. Syst. 1991, 34, 1–7. [Google Scholar] [CrossRef] [PubMed]
- Kumar, P.; Prabhakar, N.R. Peripheral chemoreceptors: Function and plasticity of the carotid body. Compr. Physiol. 2012, 2, 141–219. [Google Scholar] [CrossRef] [PubMed]
- Atanasova, D.Y.; Dandov, A.D.; Lazarov, N.E. Neurochemical plasticity of the carotid body in hypertension. Anat. Rec. 2023, 306, 2366–2377. [Google Scholar] [CrossRef] [PubMed]
- Smith, P.; Jago, R.; Heath, D. Anatomical variation and quantitative histology of the normal and enlarged carotid body. J. Pathol. 1982, 137, 287–304. [Google Scholar] [CrossRef] [PubMed]
- McDonald, D.M.; Lurue, D.T. The ultrastructure and connections of blood vessels supplying the rat carotid body and carotid sinus. J. Neurocytol. 1983, 12, 117–153. [Google Scholar] [CrossRef]
- Kato, K.; Wakai, J.; Matsuda, H.; Kusakabe, T.; Yamamoto, Y. Increased total volume and dopamine β-hydroxylase immunoreactivity of carotid body in spontaneously hypertensive rats. Auton. Neurosci. 2012, 169, 49–55. [Google Scholar] [CrossRef] [PubMed]
- Trzebski, A.; Tafil, M.; Zoltowski, M.; Przybylski, J. Increased sensitivity of the arterial chemoreceptor drive in young men with mild hypertension. Cardiovasc. Res. 1982, 16, 163–172. [Google Scholar] [CrossRef]
- Fukuda, Y.; Sato, A.; Trzebski, A. Carotid chemoreceptor discharge responses to hypoxia and hypercapnia in normotensive and spontaneously hypertensive rats. J. Auton. Nerv. Syst. 1987, 19, 1–11. [Google Scholar] [CrossRef] [PubMed]
- Trzebski, A. Arterial chemoreceptor reflex and hypertension. Hypertension 1992, 19, 562–566. [Google Scholar] [CrossRef]
- Chen, J.; Dinger, B.; Jyung, R.; Stensaas, L.; Fidone, S. Altered expression of vascular endothelial growth factor and FLK-1 receptor in chronically hypoxic rat carotid body. Adv. Exp. Med. Biol. 2003, 536, 583–591. [Google Scholar] [CrossRef] [PubMed]
- Tipoe, G.L.; Fung, M.L. Expression of HIF-1alpha, VEGF and VEGF receptors in the carotid body of chronically hypoxic rat. Respir. Physiol. Neurobiol. 2003, 138, 143–154. [Google Scholar] [CrossRef]
- Del Rio, R.; Muñoz, C.; Arias, P.; Court, F.A.; Moya, E.A.; Iturriaga, R. Chronic intermittent hypoxia-induced vascular enlargement and VEGF upregulation in the rat carotid body is not prevented by antioxidant treatment. Am. J. Physiol. Lung Cell. Mol. Physiol. 2011, 301, L702–L711. [Google Scholar] [CrossRef] [PubMed]
- Felix, A.S.; Rocha, V.N.; Nascimento, A.L.; de Carvalho, J.J. Carotid body remodelling in l-NAME-induced hypertension in the rat. J. Comp. Pathol. 2012, 146, 348–356. [Google Scholar] [CrossRef] [PubMed]
- He, L.; Chen, J.; Dinger, B.; Stensaas, L.; Fidone, S. Endothelin modulates chemoreceptor cell function in mammalian carotid body. Adv. Exp. Med. Biol. 1996, 410, 305–311. [Google Scholar] [CrossRef]
- Chen, J.; He, L.; Dinger, B.; Stensaas, L.; Fidone, S. Role of endothelin and endothelin A-type receptor in adaptation of the carotid body to chronic hypoxia. Am. J. Physiol. Lung Cell. Mol. Physiol. 2002, 282, L1314–L1323. [Google Scholar] [CrossRef] [PubMed]
- Chen, Y.; Tipoe, G.L.; Liong, E.; Leung, S.; Lam, S.Y.; Iwase, R.; Tjong, Y.W.; Fung, M.L. Chronic hypoxia enhances endothelin-1-induced intracellular calcium elevation in rat carotid body chemoreceptors and up-regulates ETA receptor expression. Pflug. Arch. Eur. J. Physiol. 2002, 443, 565–573. [Google Scholar] [CrossRef] [PubMed]
- Rey, S.; Del Rio, R.; Iturriaga, R. Contribution of endothelin-1 to the enhanced carotid body chemosensory responses induced by chronic intermittent hypoxia. Brain Res. 2006, 1086, 152–159. [Google Scholar] [CrossRef] [PubMed]
- Rey, S.; Del Rio, R.; Iturriaga, R. Contribution of endothelin-1 and endothelin A and B receptors to the enhanced carotid body chemosensory responses induced by chronic intermittent hypoxia. Adv. Exp. Med. Biol. 2008, 605, 228–232. [Google Scholar] [CrossRef] [PubMed]
- Rey, S.; Corthorn, J.; Chacon, C.; Iturriaga, R. Expression and immunolocalization of endothelin peptides and its receptors, ETA and ETB, in the carotid body exposed to chronic intermittent hypoxia. J. Histochem. Cytochem. 2007, 55, 167–174. [Google Scholar] [CrossRef] [PubMed]
- Felippe, I.S.A.; Zera, T.; da Silva, M.P.; Moraes, D.J.A.; McBryde, F.; Paton, J.F.R. The sympathetic nervous system exacerbates carotid body sensitivity in hypertension. Cardiovasc. Res. 2023, 119, 316–331. [Google Scholar] [CrossRef]
- Lazarov, N.E.; Atanasova, D.Y. Carotid body dysfunction and mechanisms of disease. Adv. Anat. Embryol. Cell Biol. 2023, 237, 123–138. [Google Scholar] [CrossRef] [PubMed]
- Paton, J.F.R.; Sobotka, P.A.; Fudim, M.; Engelman, Z.J.; Hart, E.C.; McBryde, F.D.; Abdala, A.P.; Marina, N.; Gourine, A.V.; Lobo, M.; et al. The carotid body as a therapeutic target for the treatment of sympathetically mediated diseases. Hypertension 2013, 61, 5–13. [Google Scholar] [CrossRef] [PubMed]
- Pijacka, W.; Katayama, P.L.; Salgado, H.C.; Lincevicius, G.S.; Campos, R.R.; McBryde, F.D.; Paton, J.F.R. Variable role of carotid bodies in cardiovascular responses to exercise, hypoxia and hypercapnia in spontaneously hypertensive rats. J. Physiol. 2018, 596, 3201–3216. [Google Scholar] [CrossRef] [PubMed]
- McBryde, F.D.; Abdala, A.P.; Hendy, E.B.; Pijacka, W.; Marvar, P.; Moraes, D.J.; Sobotka, P.A.; Paton, J.F. The carotid body as a putative therapeutic target for the treatment of neurogenic hypertension. Nat. Commun. 2013, 4, 2395. [Google Scholar] [CrossRef]









| Name of Antibody |
Company (Catalog No.) |
Mono/ Polyclonal | Source | Dilution for IF |
|---|---|---|---|---|
| Vascular endothelial growth factor A (C-1) (VEGF-A) | Santa Cruz Biotechnology | Monoclonal | Mouse | 1:50 |
| Vascular endothelial growth factor B (VEGF-B) | Elabscience® (E-AB-65950) | Polyclonal | Rabbit | 1:400 |
| Vascular endothelial growth factor receptor 1 (VEGFR1) | Elabscience® (E-AB-65963) | Polyclonal | Rabbit | 1:1000 |
| Vascular endothelial growth factor receptor 2 (VEGFR2) | Elabscience® (E-AB-63481) | Polyclonal | Rabbit | 1:800 |
| Tyrosine hydroxylase (TH) | Elabscience® (E-AB-70206) | Monoclonal | Mouse | 1:800 |
| Endothelin converting enzyme 1 (ECE1) | Elabscience® (E-AB-14052) | Polyclonal | Rabbit | 1:400 |
| Endothelin receptor type A (ETA) | Affinity Biosciences (DF4923) Cincinnati, OH, USA | Polyclonal | Rabbit | 1:100 |
| Endothelin receptor type B (ETB) | Affinity Biosciences (DF7104) Cincinnati, OH, USA | Polyclonal | Rabbit | 1:300 |
| Goat anti-mouse IgG (H + L) (Elab Fluor® 594 conjugated) | Elabscience®, (E-AB-1059) | Polyclonal | Goat | 1:100 |
| Goat anti-rabbit IgG (H + L) (Elab Fluor® 488 conjugated) | Elabscience®, (E-AB-1055) | Polyclonal | Goat | 1:100 |
Disclaimer/Publisher’s Note: The statements, opinions and data contained in all publications are solely those of the individual author(s) and contributor(s) and not of MDPI and/or the editor(s). MDPI and/or the editor(s) disclaim responsibility for any injury to people or property resulting from any ideas, methods, instructions or products referred to in the content. |
© 2025 by the authors. Licensee MDPI, Basel, Switzerland. This article is an open access article distributed under the terms and conditions of the Creative Commons Attribution (CC BY) license (https://creativecommons.org/licenses/by/4.0/).
Share and Cite
Atanasova, D.Y.; Rashev, P.I.; Mourdjeva, M.S.; Pupaki, D.V.; Hristova, A.; Dandov, A.D.; Lazarov, N.E. Altered Expression Levels of Angiogenic Peptides in the Carotid Body of Spontaneously Hypertensive Rats. Int. J. Mol. Sci. 2025, 26, 1620. https://doi.org/10.3390/ijms26041620
Atanasova DY, Rashev PI, Mourdjeva MS, Pupaki DV, Hristova A, Dandov AD, Lazarov NE. Altered Expression Levels of Angiogenic Peptides in the Carotid Body of Spontaneously Hypertensive Rats. International Journal of Molecular Sciences. 2025; 26(4):1620. https://doi.org/10.3390/ijms26041620
Chicago/Turabian StyleAtanasova, Dimitrinka Y., Pavel I. Rashev, Milena S. Mourdjeva, Despina V. Pupaki, Anita Hristova, Angel D. Dandov, and Nikolai E. Lazarov. 2025. "Altered Expression Levels of Angiogenic Peptides in the Carotid Body of Spontaneously Hypertensive Rats" International Journal of Molecular Sciences 26, no. 4: 1620. https://doi.org/10.3390/ijms26041620
APA StyleAtanasova, D. Y., Rashev, P. I., Mourdjeva, M. S., Pupaki, D. V., Hristova, A., Dandov, A. D., & Lazarov, N. E. (2025). Altered Expression Levels of Angiogenic Peptides in the Carotid Body of Spontaneously Hypertensive Rats. International Journal of Molecular Sciences, 26(4), 1620. https://doi.org/10.3390/ijms26041620

