The Role of Oxidative Stress in the Antifungal Activity of Two Mollusk Fractions on Resistant Fungal Strains
Abstract
1. Introduction
2. Results
2.1. Characterization of the Mucus Fraction with an MW of 1–20 kDa via Matrix-Assisted Laser Desorption/Ionization Time-of-Flight Mass Spectrometry (MALDI-Tof-MS) Analyses
2.2. Characterization of the Hemolymph Fraction with an MW 3–100 kDa via Electrophoretic Analyses
2.3. Antifungal Activity of Mollusk Fractions Compared to Nys and AmB
2.4. Inhibitory Effect on Fungal Growth Under Submerged Cultivation
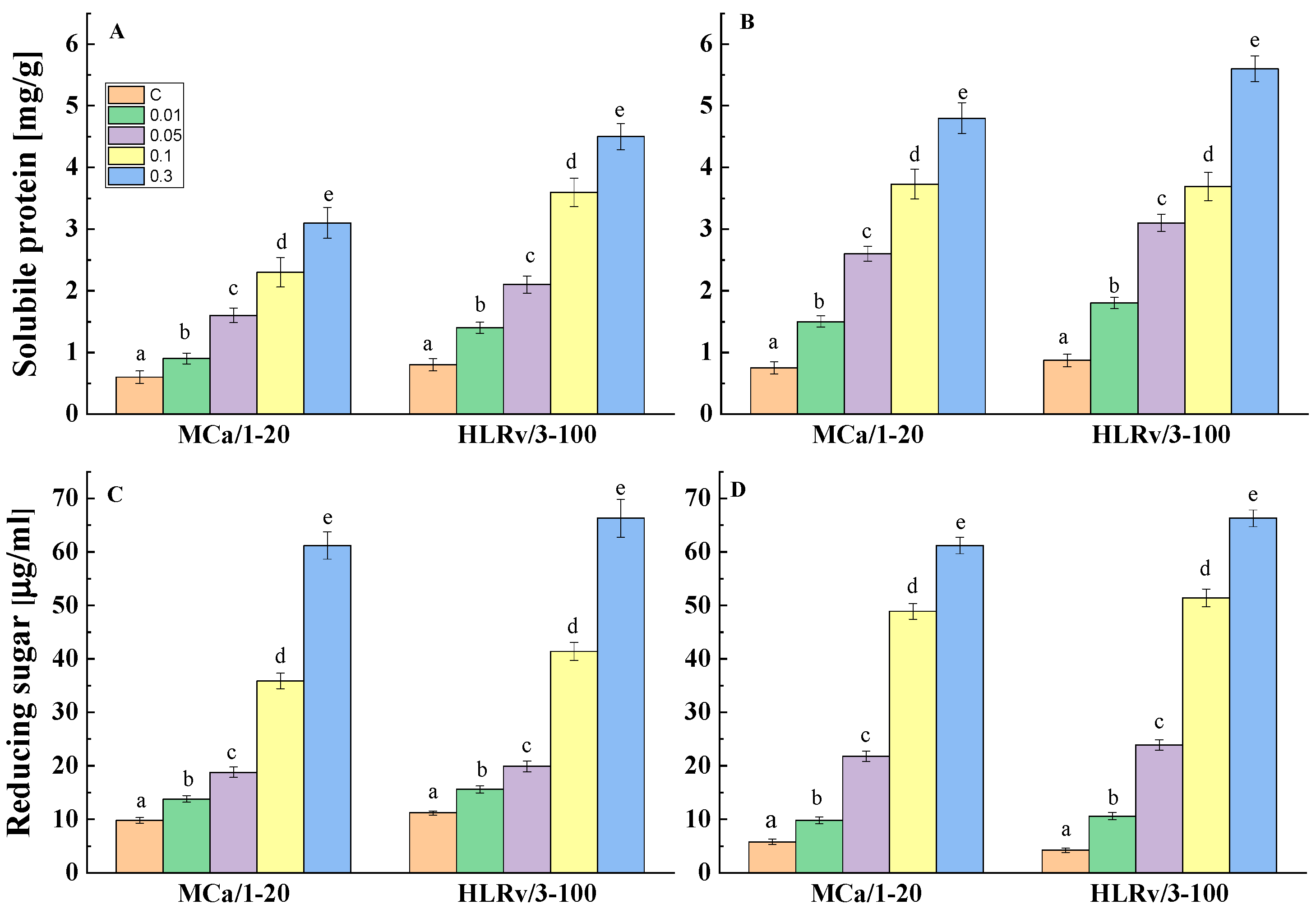
2.5. Protein and Reducing Sugar Leakage of A. niger and P. griseofulvum
2.6. Oxidative Stress Induction by Mollusk Fractions MCa/1-20 and HLRv/3-100
2.7. Antioxidant Enzyme Response to the Mollusk Fractions
3. Discussion
3.1. Antifungal Effect of the Mollusk Fractions MCa/1-20 and HLRv/3-100
3.2. Effect of the Mollusk Fractions MCa/1-20 and HLRv/3-100 on the Fungal Cell Membranes
3.3. Induction of OS in the Fungal Cells Following Treatment with Mollusk Fractions
3.3.1. Changes in Biomarkers of OS
3.3.2. Antioxidant Response Against Both Mollusk Fractions
3.3.3. Role of the OS in the Mode of Action of Mollusk Fractions
4. Materials and Methods
4.1. Materials
4.2. Methods
4.2.1. Preparation of the Mollusk Fractions
4.2.2. SDS-PAGE Analysis of the Fraction from R. venosa Hemolymph (HLRv/3-100)
4.2.3. Analyses of the Image of 12% SDS-PAGE Using ImageQuant™ TL v8.2.0 Software
4.2.4. Matrix-Assisted Laser Desorption/Ionization Time-of-Flight Mass Spectrometry (MALDI-TOF-MS) Analyses of Mucus Fraction (MCa/1-20)
4.2.5. Fungal Strains and Culture Conditions
4.2.6. Antifungal Activity Assay
- (1)
- Preparation of Standardized Spore Suspension
- (2)
- Effect on Spore Development
4.2.7. Effect on Fungal Growth Under Submerged Cultivation
4.2.8. Measurement of Cellular Leakage
4.2.9. Oxidative Stress Assay
- (1)
- Cell-Free Extract Preparation
- (2)
- Measurement of Stress Biomarkers
4.2.10. Antioxidant Enzyme Activity Determination
4.2.11. Statistical Evaluation of the Results
5. Conclusions
Author Contributions
Funding
Institutional Review Board Statement
Informed Consent Statement
Data Availability Statement
Acknowledgments
Conflicts of Interest
References
- Salam, M.A.; Al-Amin, M.Y.; Salam, M.T.; Pawar, J.S.; Akhter, N.; Rabaan, A.A.; Alqumber, M.A.A. Antimicrobial Resistance: A Growing Serious Threat for Global Public Health. Healthcare 2023, 11, 1946. [Google Scholar] [CrossRef] [PubMed]
- Ahmed, S.K.; Hussein, S.; Qurbani, K.; Ibrahim, R.H.; Fareeq, A.; Mahmood, K.A.; Mohamed, M.G. Antimicrobial resistance: Impacts, challenges, and future prospects. J. Med. Surg. Public Health 2024, 2, 100081. [Google Scholar] [CrossRef]
- Yang, X.; Ye, W.; Qi, Y.; Ying, Y.; Xia, Z. Overcoming Multidrug Resistance in Bacteria Through Antibiotics Delivery in Surface-Engineered Nano-Cargos: Recent Developments for Future Nano-Antibiotics. Front. Bioeng. Biotechnol. 2021, 9, 696514. [Google Scholar] [CrossRef] [PubMed]
- Catalano, A.; Iacopetta, D.; Ceramella, J.; Scumaci, D.; Giuzio, F.; Saturnino, C.; Aquaro, S.; Rosano, C.; Sinicropi, M.S. Multidrug Resistance (MDR): A Widespread Phenomenon in Pharmacological Therapies. Molecules 2022, 27, 616. [Google Scholar] [CrossRef] [PubMed]
- Cazabonne, J.; Walker, A.K.; Lesven, J.; Haelewaters, D. Singleton-based species names and fungal rarity: Does the number really matter? IMA Fungus 2024, 15, 7. [Google Scholar] [CrossRef]
- Hawksworth, D.L.; Lücking, R. Fungal Diversity Revisited: 2.2 to 3.8 Million Species. Microbiol. Spectr. 2017, 5, FUNK-00522016. [Google Scholar] [CrossRef]
- Wijayawardene, N.N.; Hyde, K.D.; Mikhailov, K.V.; Péter, G.; Aptroot, A.; Pires-Zottarelli, C.L.A.; Goto, B.T.; Tokarev, Y.S.; Haelewaters, D.; Karunarathna, S.C.; et al. Classes and phyla of the kingdom Fungi. Fungal Divers. 2024, 127, 1–165. [Google Scholar] [CrossRef]
- Wu, B.; Hussain, M.; Zhang, W.; Stadler, M.; Liu, X.; Xiang, M. Current insights into fungal species diversity and perspective on naming the environmental DNA sequences of fungi. Mycology 2019, 10, 127–140. [Google Scholar] [CrossRef]
- Hyde, K.D. The numbers of fungi. Fungal Divers. 2022, 114, 1. [Google Scholar] [CrossRef]
- Arastehfar, A.; Gabaldón, T.; Garcia-Rubio, R.; Jenks, J.D.; Hoenigl, M.; Salzer, H.J.F.; Ilkit, M.; Lass-Flörl, C.; Perlin, D.S. Review Drug-Resistant Fungi: An Emerging Challenge Threatening Our Limited Antifungal Armamentarium. Antibiotics 2020, 9, 877. [Google Scholar] [CrossRef] [PubMed]
- Perfect, J.R. The Antifungal Pipeline: A Reality Check. Nat. Rev. Drug Discov. 2017, 16, 603–616. [Google Scholar] [CrossRef]
- Schmiedel, Y.; Zimmerli, S. Common Invasive Fungal Diseases: An Overview of Invasive Candidiasis, Aspergillosis, Cryptococcosis, and Pneumocystis pneumonia. Swiss Med. Wkly. 2016, 146, w14281. [Google Scholar] [CrossRef]
- Zhai, B.; Ola, M.; Rolling, T.; Tosini, N.L.; Joshowitz, S.; Littmann, E.R.; Amoretti, L.A.; Fontana, E.; Wright, R.J.; Miranda, E.; et al. High-resolution mycobiota analysis reveals dynamic intestinal translocation preceding invasive candidiasis. Nat. Med. 2020, 26, 59–64. [Google Scholar] [CrossRef]
- Gisi, U. Crossover Between the Control of Fungal Pathogens in Medicine and the Wider Environment, and the Threat of Antifungal Resistance. Plant Pathol. 2022, 71, 131–149. [Google Scholar] [CrossRef]
- Chowdhary, A.; Tarai, B.; Singh, A.; Sharma, A. Multidrug-Resistant Candida auris Infections in Critically Ill Coronavirus Disease Patients, India. Emerg. Infect. 2020, 26, 2694–2696. [Google Scholar] [CrossRef]
- Ganesan, P.; Ganapathy, D.; Sekaran, S.; Murthykumar, K.; Sundramoorthy, A.K.; Pitchiah, S.; Shanmugam, R. Molecular Mechanisms of Antifungal Resistance in Mucormycosis. Biomed. Res. Int. 2022, 13, 6722245. [Google Scholar] [CrossRef]
- Bouz, G.; Doležal, M. Advances in Antifungal Drug Development: An Up-To-Date Mini Review. Pharmaceuticals 2021, 14, 1312. [Google Scholar] [CrossRef] [PubMed]
- Arendrup, M.C.; Patterson, T.F. Multidrug-Resistant Candida: Epidemiology, Molecular Mechanisms, and Treatment. J. Infect. Dis. 2017, 216, S445–S451. [Google Scholar] [CrossRef]
- Ademe, M.; Girma, F. Candida auris: From Multidrug Resistance to Pan-Resistant Strains. Infect. Drug Resist. 2020, 13, 1287–1294. [Google Scholar] [CrossRef]
- Dong, F.-R.; Gao, L.; Wang, L.; Jiang, Y.-Y.; Jin, Y.-S. Natural Products as Antifungal Agents against Invasive Fungi. Curr. Top. Med. Chem. 2023, 23, 1859–1917. [Google Scholar] [CrossRef]
- Zhang, C.-W.; Zhong, X.-J.; Zhao, Y.-S.; Rajoka, M.S.; Hashmi, R.M.H.; Zhai, P.; Song, X. Antifungal Natural Products and Their Derivatives: A Review of Their Activity and Mechanism of Actions. Pharmacol. Res. Mod. Chin. Med. 2023, 7, 100262. [Google Scholar] [CrossRef]
- Różańska, H.; Michalski, M.; Osek, J. Antibacterial Activity of Tissues of Bivalve Molluscs Available on Polish Market. Bull. Vet. Inst. Pulawy 2012, 56, 569–571. [Google Scholar] [CrossRef][Green Version]
- Tsankova, G.; Todorova, T.; Ermenlieva, N.; Merdzhanova, A.; Panayotova, V.; Dobreva, D.; Peytcheva, K. Antibacterial Activity of Different Extracts of Black Mussel (Mytilus galloprovincialis) from the Black Sea, Bulgaria. J. IMAB 2021, 27, 3506–3509. [Google Scholar] [CrossRef]
- Wu, R.; Patocka, J.; Nepovimova, E.; Oleksak, P.; Valis, M.; Wu, W.; Kuca, K. Marine Invertebrate Peptides: Antimicrobial Peptides. Front. Microbiol. 2021, 12, 785085. [Google Scholar] [CrossRef] [PubMed]
- Ghareeb, M.A.; Hamdi, S.A.H.; Fol, M.F.; Ibrahim, A.M. Chemical Characterization, Antibacterial, Antibiofilm, and Antioxidant Activities of the Methanolic Extract of Paratapes undulatus Clams (Born, 1778). JAPS 2022, 12, 219–228. [Google Scholar] [CrossRef]
- Brakemi, E.; Michael, K.; Tan, S.P.; Helen, H. Antimicrobial Activity of Natural Mollusc Shells: A Review. Process Biochem. 2024, 137, 122–133. [Google Scholar] [CrossRef]
- García, G.M.; Rodríguez, A.; Alba, A.; Vázquez, A.A.; Morales Vicente, F.E.; Pérez-Erviti, J.; Spellerberg, B.; Stenger, S.; Grieshober, M.; Conzelmann, C.; et al. New Antibacterial Peptides from the Freshwater Mollusk Pomacea poeyana (Pilsbry, 1927). Biomolecules 2020, 10, 1473. [Google Scholar] [CrossRef]
- Azeem, H.H.A.-E.; Osman, G.Y.; El-Seedi, H.R.; Fallatah, A.M.; Khalifa, S.A.M.; Gharib, M.M. Antifungal Activity of Soft Tissue Extract from the Garden Snail Helix aspersa (Gastropoda, Mollusca). Molecules 2022, 27, 3170. [Google Scholar] [CrossRef]
- Rodriguez, A.; Martell-Huguet, E.M.; González-García, M.; Alpízar-Pedraza, D.; Alba, A.; Vazquez, A.A.; Grieshober, M.; Spellerberg, B.; Stenger, S.; Münch, J.; et al. Identification and Characterization of Three New Antimicrobial Peptides from the Marine Mollusk Nerita versicolor (Gmelin, 1791). Int. J. Mol. Sci. 2023, 24, 3852. [Google Scholar] [CrossRef]
- Umayaparvathi, S.; Arumugam, M.; Meenakshi, S.; Balasubramanian, T. Studies on Antifungal, Cytotoxic Activities of Mollusks and Echinoderm Extracts from Southeast Coast of India. Asian J. Pharm. Biol. Res. 2012, 2, 198–203. [Google Scholar]
- Sivasubramanian, K.; Ravichandran, S.; Kumaresan, M. Preliminary Studies for a New Antibiotic from the Marine Mollusk Melo melo (Lightfoot, 1786). Asian. Pac. J. Trop. Dis. 2011, 4, 310–314. [Google Scholar]
- Khan, A.; Ahmad, A.; Akhtar, F.; Yousuf, S.; Xess, I.; Khan, L.A.; Manzoor, N. Induction of Oxidative Stress as a Possible Mechanism of the Antifungal Action of Three Phenylpropanoids. FEMS Yeast Res. 2011, 11, 114–122. [Google Scholar] [CrossRef] [PubMed]
- Zhang, X.; Zhang, T.; Guo, S.; Zhang, Y.; Sheng, R.; Sun, R.; Chen, L.; Lv, R.; Qi, Y. In Vitro Antifungal Activity and Mechanism of Ag3PW12O40 Composites against Candida Species. Molecules 2020, 25, 6012. [Google Scholar] [CrossRef]
- Alyousef, A.A. Antifungal Activity and Mechanism of Action of Different Parts of Myrtus communis Growing in Saudi Arabia against Candida spp. J. Nanomater. 2021, 2021, 3484125. [Google Scholar] [CrossRef]
- Silva-Beltrán, N.P.; Boon, S.A.; Ijaz, M.K.; McKinney, J.; Gerba, C.P. Antifungal Activity and Mechanism of Action of Natural Product Derivates as Potential Environmental Disinfectants. J. Ind. Microbiol. Biotechnol. 2023, 50, kuad036. [Google Scholar] [CrossRef]
- Li, T.; Li, L.; Du, F.; Sun, L.; Shi, J.; Long, M.; Chen, Z. Activity and Mechanism of Action of Antifungal Peptides from Microorganisms: A Review. Molecules 2021, 26, 3438. [Google Scholar] [CrossRef] [PubMed]
- Cerqueira, F.; Maia, M.; Gabriel, C.; Medeiros, R.; Cravo, S.; Ribeiro, A.I.; Dantas, D.; Dias, A.M.; Saraiva, L.; Raimundo, L.; et al. Mechanism of Antifungal Activity by 5-Aminoimidazole-4-Carbohydrazonamide Derivatives against Candida albicans and Candida krusei. Antibiotics 2021, 10, 183. [Google Scholar] [CrossRef] [PubMed] [PubMed Central]
- Khan, A.; Singh, P.; Kumar, R.; Das, S.; Singh, R.K.; Mina, U.; Agrawal, G.K.; Rakwal, R.; Sarkar, A.; Srivastava, A. Antifungal Activity of Siderophore Isolated from Escherichia coli Against Aspergillus nidulans via Iron-Mediated Oxidative Stress. Front. Microbiol. 2021, 12, 729032. [Google Scholar] [CrossRef] [PubMed]
- Li, Q.; Zhu, X.; Zhao, Y.; Xie, Y. The Antifungal Activity of o-Vanillin against Aspergillus flavus via Disrupting Ergosterol Biosynthesis and Promoting Oxidative Stress, and an RNA-Seq Analysis Thereof. LWT 2022, 164, 113635. [Google Scholar] [CrossRef]
- Gonzalez-Jimenez, I.; Perlin, D.S.; Shor, E. Reactive Oxidant Species Induced by Antifungal Drugs: Identity, Origins, Functions, and Connection to Stress-Induced Cell Death. Front. Cell Infect. Microbiol. 2023, 13, 1276406. [Google Scholar] [CrossRef]
- Yörük, E.; Danı¸sman, Z.; Pekmez, M.; Yli-Mattila, T. Cumin Seed Oil Induces Oxidative Stress-Based Antifungal Activities on Fusarium graminearum. Pathogens 2024, 13, 395. [Google Scholar] [CrossRef]
- Breitenbach, M.; Weber, M.; Rinnerthaler, M.; Karl, T.; Breitenbach-Koller, L. Oxidative Stress in Fungi: Its Function in Signal Transduction, Interaction with Plant Hosts, and Lignocellulose Degradation. Biomolecules 2015, 5, 318–342. [Google Scholar] [CrossRef]
- Kaur, N.; Bains, A.; Kaushik, R.; Dhull, S.B.; Melinda, F.; Chawla, P. A Review on Antifungal Efficiency of Plant. Extracts Entrenched Polysaccharide-Based Nanohydrogels. Nutrients 2021, 13, 2055. [Google Scholar] [CrossRef] [PubMed]
- Hari, A.; Echchgadda, G.; Darkaoui, F.-A.; Taarji, N.; Sahri, N.; Sobeh, M.; Ezrari, S.; Laasli, S.-E.; Benjelloun, M.; Lahlali, R. Chemical Composition, Antioxidant Properties, and Antifungal Activity of wild Origanum elongatum Extracts Against Phytophthora infestans. Front. Plant Sci. 2024, 15, 1278538. [Google Scholar] [CrossRef]
- Gutierrez-Gongora, D.; Raouf-Alkadhimi, F.; Prosser, R.S.; Geddes-McAlister, J. Differentiated Extracts from Freshwater and Terrestrial Mollusks Inhibit Virulence Factor Production in Cryptococcus neoformans. Sci. Rep. 2023, 13, 4928. [Google Scholar] [CrossRef] [PubMed]
- Krumova, E.; Dolashka, P.; Abrashev, R.; Velkova, L.; Dolashki, A.; Daskalova, A.; Dishliyska, V.; Atanasov, V.; Kaynarov, D.; Angelova, M. Antifungal Activity of Separated Fractions from the Hemolymph of Marine Snail Rapana venosa. Bulg. Chem. Commun. 2021, 53, 42–48. [Google Scholar] [CrossRef]
- Velkova, L.; Dolashki, A.; Petrova, V.; Pisareva, E.; Kaynarov, D.; Kermedchiev, M.; Todorova, M.; Dolashka, P. Antibacterial Propertiesof Peptide and Protein Fractions from Cornu aspersum Mucus. Molecules 2024, 29, 2886. [Google Scholar] [CrossRef] [PubMed]
- Dolashki, A.; Nissimova, A.; Daskalova, E.; Velkova, L.; Topalova, Y.; Hristova, P.; Traldi, P.; Voelter, W.; Dolashka, P. Structure and Antibacterial Activity of Isolated Peptides from the Mucus Of Garden Snail Cornu aspersum. Bulg. Chem. Commun. 2018, 50, 195–200. [Google Scholar] [CrossRef]
- Dolashki, A.; Velkova, L.; Daskalova, E.; Zheleva, N.; Topalova, Y.; Atanasov, V.; Voelter, W.; Dolashka, P. Antimicrobial Activities of Different Fractions from Mucus of the Garden Snail Cornu aspersum. Biomedicines 2020, 8, 315. [Google Scholar] [CrossRef] [PubMed]
- Topalova, Y.; Belouhova, M.; Velkova, L.; Dolashki, A.; Zheleva, N.; Daskalova, E.; Kaynarov, D.; Voelter, W.; Dolashka, P. Effect and Mechanisms of Antibacterial Peptide Fraction from Mucus of C. aspersum against Escherichia coli NBIMCC 8785. Biomedicines 2022, 10, 672. [Google Scholar] [CrossRef]
- Velkova, L.; Nissimova, A.; Dolashki, A.; Daskalova, E.; Dolashka, P.; Topalova, Y. Glycine-Rich Peptides from C. aspersum Snail with Antibacterial Activity. Bulg. Chem. Commun. 2018, 50, 169–175. [Google Scholar]
- Kirilova, M.; Topalova, Y.; Velkova, L.; Dolashki, A.; Kaynarov, D.; Daskalova, E.; Zheleva, N. Antibacterial Action of Protein Fraction Isolated from Rapana venosa Hemolymph against Escherichia coli NBIMCC 8785. Pharmaceuticals 2024, 17, 68. [Google Scholar] [CrossRef] [PubMed]
- Petrova, M.; Vlahova, Z.; Schröder, M.; Todorova, J.; Tzintzarov, A.; Gospodinov, A.; Velkova, L.; Kaynarov, D.; Dolashki, A.; Dolashka, P.; et al. Antitumor Activity of Bioactive Compounds from Rapana venosa against Human Breast Cell Lines. Pharmaceuticals 2023, 16, 181. [Google Scholar] [CrossRef] [PubMed]
- Ding, J.; Li, L.; Zhang, G. Structural Characterization and Expression Analysis of a Novel Cysteine Protease Inhibitor from Haliotis discus hannai Ino. Fish Shellfish Immunol. 2015, 42, 379–383. [Google Scholar] [CrossRef]
- Davies, K.J.; Goldberg, A.L. Proteins damaged by oxygen radicals are rapidly degraded in extracts of red blood cells. J. Biol. Chem. 1987, 262, 8227–8234. [Google Scholar] [CrossRef] [PubMed]
- Boonlarppradab, C.; Faulkner, D.J. Eurysterols A and B, Cytotoxic and Antifungal Steroidal Sulfates from a Marine Sponge of the Genus Euryspongia. J. Nat. Prod. 2007, 70, 846–848. [Google Scholar] [CrossRef] [PubMed]
- Karpenko, M.; Karpenko, A.; Odintsov, V. Possible Anti-Fouling Effect of Polyenes in Molluscs Shell. Ann. Limnol. Oceanogr. 2024, 9, 001–004. [Google Scholar] [CrossRef]
- Zhong, J.; Wang, W.; Yang, X.; Yan, X.; Liu, R. A novel cysteine-rich antimicrobial peptide from the mucus of the snail of Achatina fulica. Peptides 2013, 39, 1–5. [Google Scholar] [CrossRef] [PubMed]
- Pietrzyk, A.J.; Bujacz, A.; Mak, P.; Potempa, B.; Niedziela, T. Structural studies of Helix aspersa agglutinin complexed with GalNAc: A lectin that serves as a diagnostic tool. Int. J. Biol. Macromol. 2015, 81, 1059–1068. [Google Scholar] [CrossRef] [PubMed]
- Pitt, S.J.; Hawthorne, J.A.; Garcia-Maya, M.; Alexandrovich, A.; Symonds, R.C.; Gunn, A. Identification and Characterisation of Anti-Pseudomonas aeruginosa Proteins in Mucus of the Brown Garden Snail, Cornu aspersum. Br. J. Biomed. Sci. 2019, 76, 129–136. [Google Scholar] [CrossRef] [PubMed]
- Gianazza, E.; Eberini, I.; Palazzolo, L.; Miller, I. Hemolymph Proteins: An Overview Across Marine Arthropods and Molluscs. J. Proteom. 2021, 245, 104294. [Google Scholar] [CrossRef]
- Ivanov, M.T.; Radkova, E.; Georgiev, O.; Dolashki, A.; Dolashka, P. Molecular Cloning, Characterization and Phylogenetic Analysis of an Actin Gene from the Marine Mollusk Rapana venosa (class Gastropoda). Int. J. Curr. Microbiol. App. Sci. 2015, 4, 687–700. [Google Scholar]
- Dolashka, P.; Moshtanska, V.; Borisova, V.; Dolashki, A.; Stevanovic, S.; Dimanov, T.; Voelter, W. Antimicrobial proline-rich peptides from the hemolymph of marine snail Rapana venosa. Peptides 2011, 32, 1477–1483. [Google Scholar] [CrossRef]
- Dolashka, P.; Dolashki, A.; Van Beeumen, J.; Floetenmeyer, M.; Velkova, L.; Stevanovic, S.; Voelter, W. Antimicrobial Activity of Molluscan Hemocyanins from Helix and Rapana Snails. Curr Pharm Biotechnol. 2016, 17, 263–270. [Google Scholar] [CrossRef] [PubMed]
- Sanman, L.E.; van der Linden, W.A.; Verdoes, M.; Bogyo, M. Bifunctional Probes of Cathepsin Protease Activity and pH Reveal Alterations in Endolysosomal pH During Bacterial Infection. Cell Chem. Biol. 2016, 23, 793–804. [Google Scholar] [CrossRef] [PubMed]
- Szulc-Dąbrowska, L.; Bossowska-Nowicka, M.; Struzik, J.; Toka, F.N. Cathepsins in Bacteria-Macrophage Interaction: Defenders or Victims of Circumstance? Front. Cell Infect. Microbiol. 2020, 10, 601072. [Google Scholar] [CrossRef]
- Marie, B.; Jackson, D.J.; Ramos-Silva, P.; Zanella-Cléon, I.; Guichard, N.; Marin, F. The Shell-Forming Proteome of Lottia gigantea Reveals Both Deep Conservations and Lineage-Specific Novelties. FEBS J. 2013, 280, 214–232. [Google Scholar] [CrossRef]
- Ghosh, M. Antifungal Properties of Haem Peroxidase from Acorus calamus. Ann. Bot. 2006, 98, 1145–1153. [Google Scholar] [CrossRef]
- Tadesse, M.; Gulliksen, B.; Strøm, M.B.; Styrvold, O.B.; Haug, T. Screening for Antibacterial and Antifungal Activities in Marine Benthic Invertebrates from Northern Norway. J. Invertebr. Pathol. 2008, 99, 286–293. [Google Scholar] [CrossRef]
- Huang, Y.H.; Kumar, R.; Liu, C.H.; Lin, S.S.; Wang, H.C. A novel C-type lectin LvCTL 4.2 has antibacterial activity but facilitates WSSV infection in shrimp (L. vannamei). Dev. Comp. Immunol. 2022, 126, 104239. [Google Scholar] [CrossRef] [PubMed]
- Zhang, X.; Pan, L.; Yu, J.; Huang, H. One recombinant C-type lectin (LvLec) from white shrimp Litopenaeus vannamei affected the haemocyte immune response in vitro. Fish Shellfish Immunol. 2019, 89, 35–42. [Google Scholar] [CrossRef]
- Liu, H.; Zhang, R.; Zhang, Q.; Tian, M.; Ren, X.; Wang, L.; Wang, X. Antifungal Activity of Cell-Free Supernatants from Lactobacillus pentosus 86 against Alternaria gaisen. Horticulturae 2023, 9, 911. [Google Scholar] [CrossRef]
- Santra, H.K.; Dutta, R.; Banerjee, D. Antifungal Activity of Bio-Active Cell-Free Culture Extracts and Volatile Organic Compounds (VOCs) Synthesised by Endophytic Fungal Isolates of Garden Nasturtium. Sci. Rep. 2024, 14, 11228. [Google Scholar] [CrossRef] [PubMed]
- Gayathri, A.; Vijaya Ramesh, K. Antifungal Activity of Euphorbia hirta L. Inflorescence Extract Against Aspergillus flavus. A Mode of Action Study. Int. J. Curr. Microbiol. App. Sci. 2013, 2, 31–37. [Google Scholar]
- Mane, P.C.; Sayyed, S.A.R.; Kadam, D.D.; Shinde, M.D.; Fatehmulla, A.; Aldhafiri, A.M.; Alghamdi, E.A.; Amalnerkar, D.P.; Chaudhari, R.D. Terrestrial Snail-Mucus Mediated Green Synthesis of Silver Nanoparticles and in vitro Investigations on Their Antimicrobial and Anticancer Activities. Sci Rep. 2021, 11, 13068. [Google Scholar] [CrossRef]
- Tang, X.; Shao, Y.L.; Tang, Y.J.; Zhou, W.W. Antifungal Activity of Essential Oil Compounds (Geraniol and Citral) and Inhibitory Mechanisms on Grain Pathogens (Aspergillus flavus and Aspergillus ochraceus). Molecules 2018, 23, 2108. [Google Scholar] [CrossRef]
- Hashem, A.H.; Shehabeldine, A.M.; Abdelaziz, A.M.; Amin, B.H.; Sharaf, M.H. Antifungal Activity of Endophytic Aspergillus terreus Extract Against Some Fungi Causing Mucormycosis: Ultrastructural Study. Appl. Biochem. Biotechnol. 2022, 194, 3468–3482. [Google Scholar] [CrossRef]
- Wang, Y.; Feng, K.; Yang, H.; Yuanbcd, Y.; Yue, T. Antifungal Mechanism of Cinnamaldehyde and Citral Combination Against Penicillium expansum Based on FT-IR Fingerprint, Plasma Membrane, Oxidative Stress and Volatile Profile. RSC Adv. 2018, 8, 5806. [Google Scholar] [CrossRef] [PubMed]
- Sun, Q.; Shang, B.; Wang, L.; Lu, Z.; Liu, Y. Cinnamaldehyde Inhibits Fungal Growth and Aflatoxin B1 Biosynthesis by Modulating the Oxidative Stress Response of Aspergillus flavus. Appl. Microbiol. Biotechnol. 2016, 100, 1355–1364. [Google Scholar] [CrossRef]
- Adachi, H.; Ishii, N. Effects of Tocotrienols on Life Span and Protein Carbonylation in Caenorhabditis elegans. J. Gerontol. Ser. A 2000, 55, B280–B285. [Google Scholar] [CrossRef] [PubMed]
- Da, X.; Nishiyama, Y.; Tie, D.; Hein, K.Z.; Yamamoto, O.; Morita, E. Antifungal activity and mechanism of action of Ou-gon (Scutellaria root extract) components against pathogenic fungi. Sci. Rep. 2019, 9, 1683. [Google Scholar] [CrossRef] [PubMed]
- Oiki, S.; Nasuno, R.; Urayama, S.; Takagi, H.; Hagiwara, D. Intracellular production of reactive oxygen species and a DAF-FM-related compound in Aspergillus fumigatus in response to antifungal agent exposure. Sci. Rep. 2022, 12, 13516. [Google Scholar] [CrossRef] [PubMed]
- Shen, Q.; Zhou, W.; Li, H.; Hu, L.; Mo, H. ROS involves the fungicidal actions of thymol against spores of Aspergillus flavus via the induction of nitric oxide. PLoS ONE 2016, 11, e0155647. [Google Scholar] [CrossRef] [PubMed]
- Shekhova, E.; Kniemeyer, O.; Brakhage, A.A. Induction of Mitochondrial Reactive Oxygen Species Production by Itraconazole, Terbinafine, and Amphotericin B as a Mode of Action against Aspergillus fumigatus. Antimicrob. Agents Chemother. 2017, 61, e00978-17. [Google Scholar] [CrossRef]
- Haque, F.; Verma, N.K.; Alfatah, M.; Bijlanik, S.; Bhattacharyya, M.S. Sophorolipid exhibits antifungal activity by ROS mediated endoplasmic reticulum stress and mitochondrial dysfunction pathways in Candida albicans. RSC Adv. 2019, 9, 41639–41648. [Google Scholar] [CrossRef] [PubMed]
- Muñoz-Megías, M.L.; Sánchez-Fresneda, R.; Solano, F.; Maicas, S.; Martínez-Esparza, M.; Argüelles, J.C. The Antifungal Effect Induced by Itraconazole in Candida parapsilosis Largely Depends on the Oxidative Stress Generated at the Mitochondria. Curr. Genet. 2023, 69, 165–173. [Google Scholar] [CrossRef] [PubMed]
- Zhu, G.; Chen, S.; Zhang, Y.; Lu, L. Mitochondrial Membrane-Associated Protein Mba1 Confers Antifungal Resistance by Affecting the Production of Reactive Oxygen Species in Aspergillus fumigatus. Antimicrob. Agents Chemother. 2023, 67, e00225-23. [Google Scholar] [CrossRef] [PubMed]
- de Nollin, S.; Van Belle, H.; Goossens, F.; Tone, F.; Borgers, M. Cytochemical and Biochemical Studies of Yeasts Afer in vitro Exposure to Miconazole. Antimicrob. Agents Chemother. 1977, 11, 500–513. [Google Scholar] [CrossRef] [PubMed]
- Belenky, P.; Camacho, D.; Collins, J.J. Fungicidal Drugs Induce a Common Oxidative-Damage Cellular Death Pathway. Cell Rep. 2013, 3, 350–358. [Google Scholar] [CrossRef]
- Martins, D.; Nguyen, D.; English, A.M. Ctt1 Catalase Activity Potentiates Antifungal Azoles in the Emerging Opportunistic Pathogen Saccharomyces cerevisiae. Sci. Rep. 2019, 9, 9185. [Google Scholar] [CrossRef] [PubMed]
- Khan, Z.S.; Nasreen, S. Phytochemical Analysis, Antifungal Activity and Mode of Action of Methanol Extracts from Plants Against Pathogens. J. Agricult. Technol. 2010, 6, 793–805. [Google Scholar]
- Fatemi, F.; Abdollahi, M.R.; Mirzaie-asl, A.; Dastan, D.; Papadopoulou, K. Phytochemical, Antioxidant, Enzyme Activity and Antifungal Properties of Satureja khuzistanica in vitro and in vivo Explants Stimulated by Some Chemical Elicitors. Pharm. Biol. 2020, 58, 286–296. [Google Scholar] [CrossRef] [PubMed]
- Valenzuela-Cota, D.F.; Buitimea-Cantúa, G.V.; Plascencia-Jatomea, M.; Cinco-Moroyoqui, F.J.; Martínez-Higuera, A.A.; Rosas-Burgos, E.C. Inhibition of the Antioxidant Activity of Catalase and Superoxide Dismutase from Fusarium verticillioides Exposed to a Jacquinia macrocarpa Antifungal Fraction. J. Environmen. Sci. Health Part B 2019, 54, 647–654. [Google Scholar] [CrossRef] [PubMed]
- Kobayashi, D.; Kondo, K.; Uehara, N.; Otokozawa, S.; Tsuji, N.; Yagihashi, A.; Watanabe, N. Endogenous Reactive Oxygen Species is an Important Mediator of Miconazole Antifungal Effect. Antimicrob. Agents Chemother. 2002, 46, 3113–3117. [Google Scholar] [CrossRef]
- Reymick, O.O.; Liu, D.; Tan, X.; OuYang, Q.; Tao, N. Cuminaldehyde Downregulates Folate Metabolism and Membrane Proteins to Inhibit Growth of Penicillium digitatum in Citrus Fruit. Future Postharv. Food 2024, 1, 104–123. [Google Scholar] [CrossRef]
- Kono, Y.; Fridovich, I. Superoxide Radical Inhibits Catalase. J. Biol. Chem. 1982, 257, 5751–5754. [Google Scholar] [CrossRef] [PubMed]
- Rajashekar, C.B. Dual Role of Plant Phenolic Compounds as Antioxidants and Prooxidants. Am. J. Plant Sci. 2023, 14, 15–28. [Google Scholar] [CrossRef]
- Hagerman, A.E.; Riedi, K.M.; Jones, G.A.; Sovik, K.N.; Ritchard, N.T.; Hartzfeld, P.W.; Riechel, T.L. High Molecular Weight Polyphenolics Tannins as Biological Antioxidants. J. Agric. Food Chem. 1998, 46, 1887–1892. [Google Scholar] [CrossRef]
- Pesarico, A.P.; Sartori, G.; dos Santos, C.F.A.; Neto, J.S.S.; Bortolotto, V.; Santos, R.C.V.; Nogueira, C.W.; Prigol, M. 2,2′-Dithienyl diselenide pro-oxidant activity accounts for antibacterial and antifungal activities. Microbiol. Res. 2013, 168, 563–568. [Google Scholar] [CrossRef]
- Blokhina, O.; Virolainen, E.; Fagerstedt, K.V. Antioxidants, Oxidative Damage and Oxygen Deprivation Stress: A Review. Ann. Bot. 2003, 91, 179–194. [Google Scholar] [CrossRef] [PubMed]
- Long, N.; Li, F. Antifungal Mechanism of Natural Products Derived from Plants: A Review. Nat. Prod. Comm. 2024, 19, 1–12. [Google Scholar] [CrossRef]
- de Araújo Neto, L.N.; de Lima, M.D.C.A.; de Oliveira, J.F.; de Souza, E.R.; Machado, S.E.F.; de Souza Lima, G.M.; Buonafina, M.D.S.; Brayner, F.A.; Alves, L.C.; Sandes, J.M.; et al. Thiophene-thiosemicarbazone derivative (L10) exerts antifungal activity mediated by oxidative stress and apoptosis in C. albicans. Chem. Biol. Interact. 2020, 320, 109028. [Google Scholar] [CrossRef] [PubMed]
- Kim, J.H.; Chan, K.L.; Faria, N.C.; Martins, M.d.L.; Campbell, B.C. Targeting the Oxidative Stress Response System of Fungi with Redox-Potent Chemosensitizing Agents. Front Microbiol. 2012, 3, 88. [Google Scholar] [CrossRef] [PubMed]
- Xiong, J.; Wang, L.; Feng, Z.; Hang, S.; Yu, J.; Feng, Y.; Lu, H.; Jiang, Y. Halofantrine Hydrochloride Acts as an Antioxidant Ability Inhibitor That Enhances Oxidative Stress Damage to Candida albicans. Antioxidants 2024, 13, 223. [Google Scholar] [CrossRef] [PubMed]
- Kaleva, M.D.; Kermedchiev, M.; Velkova, L.; Zaharieva, M.M.; Dolashki, A.; Todorova, M.; Guncheva, M.; Dolashka, P.; Najdenski, H.M. Synergistic antibacterial effect of mucus fraction from Cornu aspersum and cirpofloxacin against pathogenic bacteria isolated from wounds of diabetic patients. Antibiotics 2025. submitted. [Google Scholar]
- Bradford, M.M. A Rapid and Sensitive Method for the Quantitation of Microgram Quantities of Protein Utilizing the Principle of Protein-Dye Binding. Anal. Biochem. 1976, 72, 248–254. [Google Scholar] [CrossRef]
- Dolashka, P.; Atanasov, D. Device for Collecting Extracts from Garden Snail. BG Utility Model Application Number 2656, 8 November 2013. Patent Number 2097, 31 August 2015. Available online: https://portal.bpo.bg/bpo_online/-/bpo/utility-model-detail (accessed on 19 May 2024).
- Dolashka, P.; Marinova, K.; Petrov, P.; Petrova, V.; Ranguelov, B.; Atanasova-Vladimirova, S.; Kaynarov, D.; Stoycheva, I.; Pisareva, E.; Tomova, A.; et al. Development of CuO Nanoparticles from the Mucus of Garden Snail Cornu aspersum as New Antimicrobial Agents. Pharmaceuticals 2024, 17, 506. [Google Scholar] [CrossRef] [PubMed]
- Laemmli, U.K. Cleavage of Structural Proteins during the Assembly of the Head of Bacteriophage T4. Nature 1970, 227, 680–685. [Google Scholar] [CrossRef]
- Lincz, L.F.; Scorgie, F.E.; Garg, M.B.; Gilbert, J.; Sakoff, J.A. A Simplified Method to Calculate Telomere Length from Southern Blot Images of Terminal Restriction Fragment Lengths. Biotechniques 2020, 68, 28–34. [Google Scholar] [CrossRef]
- Lowry, O.H.; Rosenbrough, H.J.; Faar, A.L.; Randall, R.J. Protein Measurement with the Folin Phenol Reagent. J. Biol. Chem. 1951, 193, 265–275. [Google Scholar] [CrossRef] [PubMed]
- Somogy, M. Notes on sugar determination. J. Biol. Chem. 1952, 195, 19–23. [Google Scholar] [CrossRef] [PubMed]
- Angelova, M.; Genova, L.; Slokoska, L.; Pashova, S. Effect of Glucose on the Superoxide Dismutase Production in Fungal Strain Humicola lutea. Can. J. Microbiol. 1995, 41, 978–983. [Google Scholar] [CrossRef] [PubMed]
- Hart, P.J.; Belbirine, M.M.; Ogihara, N.L.; Nersissian, A.M.; Weiss, M.S.; Valentine, J.S.; Eisenberg, D. A Structure-Based Mechanism for Cooper-Zinc Superoxide Dismutase. Biochemistry 1999, 38, 2167–2178. [Google Scholar] [CrossRef]
- Beauchamp, C.; Fridovich, I. Superoxide dismutase: Improved assays and an assay applicable to acrylamide gels. Anal. Biochem. 1971, 44, 276–287. [Google Scholar] [CrossRef] [PubMed]
- Beers, R.F.; Sizer, I.W. A spectrophotometric method for measuring the breakdown of hydrogen peroxide by catalase. J. Biol. Chem. 1952, 195, 133–140. [Google Scholar] [CrossRef] [PubMed]






| No. | Amino Acid Sequence of Peptides | [M + H]+ Da | Calcul. Monois. Mass Da | pI | GRAVY | Net Charge | Predicted by iAMPpred Software | ||
|---|---|---|---|---|---|---|---|---|---|
| Antibacterial (%) | Antiviral (%) | Antifungal (%) | |||||||
| 1 a | LLPFKEPDL | 1071.61 | 1070.60 | 4.37 | −0.600 | −2/+1 | 28 | 51 | 19 |
| 2 a | ACGATLQLENCG | 1179.78 | 1178.51 | 4.00 | +0.350 | -1/0 | 29.3 | 35.7 | 43.7 |
| 3 a | LNLGGNGANGLVGG | 1212.76 | 1211.63 | 5.52 | +0.321 | 0/0 | 74.0 | 43.1 | 74.3 |
| 4 a | AGVGGAAGNPSTYVG | 1277.71 | 1276.60 | 5.57 | +0.260 | 0/0 | 25.1 | 7.4 | 11.3 |
| 5 a | GGGMVKEDGSCLGV | 1308.77 | 1307.58 | 4.37 | +0.207 | −2/+1 | 40.4 | 31.4 | 33.7 |
| 6 b | MLGGGVNSLRPPK | 1325.80 | 1324.73 | 11.0 | −0.262 | 0/+2 | 22.8 | 14.0 | 8.9 |
| 7 a | CVGGAGGHGDSCAKGT | 1376.53 | 1375.56 | 6.73 | −0.106 | −1/+1 | 85.2 | 48.8 | 74.4 |
| 8 a | GGGGYHTWGEGGKF | 1409.48 | 1408.62 | 6.75 | −0.964 | −1/+1 | 69.0 | 62.8 | 72.6 |
| 9 a | MLNVAVNKGEVKH | 1438.87 | 1437.78 | 8.37 | −0.138 | −1/+2 | 56.4 | 38.0 | 19.7 |
| 10 c | NLVGGSGGGGRGGANPLG | 1496.79 | 1495.75 | 9.75 | −0.217 | 0/+1 | 66.0 | 33.7 | 48.2 |
| 11 a | GTMSPAGGEMGPVTAGVG | 1576.04 | 1574.71 | 4.00 | +0.250 | −1/0 | 13.1 | 24.8 | 8.3 |
| 12 a | GTKGCGPGSCPPGDTVAGVG | 1716.79 | 1715.76 | 5.82 | −0.100 | −1/+1 | 23.8 | 20.2 | 25.8 |
| 13 d | ACSLLLGGGGVGGGKGGGGHAG | 1738.97 | 1737.86 | 8.27 | +0.409 | 0/+1 | 82.6 | 49.5 | 67.0 |
| 14 b | LLLDGFGGGLLVEHDPGS | 1796.00 | 1794.92 | 4.02 | +0.439 | -3/0 | 37 | 45 | 10 |
| 15 e | MGGWGGLGGGHNGGWMPPK | 1852.97 | 1851.83 | 8.52 | −0.611 | 0/+1 | 69 | 56.0 | 57.0 |
| 16 e | ACLTPVDHFFAGMPCGGGP | 1876.88 | 1875.81 | 5.08 | +0.542 | −1/0 | 32.4 | 42.6 | 20.1 |
| 17 e | NGLFGGLGGGGHGGGGKGPGEGGG | 1909.99 | 1908.88 | 6.75 | −0.487 | −1/+1 | 89.5 | 67.2 | 79.5 |
| 18 a | LLLDNKGGGLVGGLLGGGGKGGG | 1966.11 | 1965.10 | 8.59 | +0.322 | −1/+2 | 93 | 56 | 81 |
| 19 a | GMVLLHCSPALDFHKTPAV | 2036.09 | 2035.04 | 6.91 | +0.616 | −1/+1 | 18 | 53 | 14 |
| 20 a | LPFLLGVGGLLGGSVGGGGGGGGAPL | 2136.24 | 2135.17 | 5.52 | +1.023 | 0/0 | 66 | 33 | 36 |
| 21 a | MVLDGKGGGGLLGGVLGGGKDAHLGG | 2292.33 | 2291.21 | 6.50 | +0.319 | −2/+2 | 84.3 | 59.0 | 71 |
| 22 a | LLKDNGVGGLLGGGGAGGGGLVGGNLGGGAG | 2478.40 | 2477.30 | 5.84 | +0.439 | −1/+1 | 86.4 | 54 | 66 |
| 23 a | KTSKLMVYLAGGGGGLLGGVGGGGGGAGGGGPGGL | 2843.76 | 2842.48 | 9.70 | +0.374 | 0/+2 | 76 | 47 | 67 |
| Strain | Test Compound/MIC [μg/mL] | |||
|---|---|---|---|---|
| AmB | Nys | HLRv/3-100 | MCa/1-20 | |
| A. niger | 7 | 4 | 3.50 | 1.75 |
| P. griseofulvum | 4 | 2 | 1.75 | 1.75 |
| M. michei | 8 | 2 | 3.50 | 3.50 |
Disclaimer/Publisher’s Note: The statements, opinions and data contained in all publications are solely those of the individual author(s) and contributor(s) and not of MDPI and/or the editor(s). MDPI and/or the editor(s) disclaim responsibility for any injury to people or property resulting from any ideas, methods, instructions or products referred to in the content. |
© 2025 by the authors. Licensee MDPI, Basel, Switzerland. This article is an open access article distributed under the terms and conditions of the Creative Commons Attribution (CC BY) license (https://creativecommons.org/licenses/by/4.0/).
Share and Cite
Velkova, L.; Abrashev, R.; Miteva-Staleva, J.; Dishliyska, V.; Dolashki, A.; Spasova, B.; Dolashka, P.; Angelova, M.; Krumova, E. The Role of Oxidative Stress in the Antifungal Activity of Two Mollusk Fractions on Resistant Fungal Strains. Int. J. Mol. Sci. 2025, 26, 985. https://doi.org/10.3390/ijms26030985
Velkova L, Abrashev R, Miteva-Staleva J, Dishliyska V, Dolashki A, Spasova B, Dolashka P, Angelova M, Krumova E. The Role of Oxidative Stress in the Antifungal Activity of Two Mollusk Fractions on Resistant Fungal Strains. International Journal of Molecular Sciences. 2025; 26(3):985. https://doi.org/10.3390/ijms26030985
Chicago/Turabian StyleVelkova, Lyudmila, Radoslav Abrashev, Jeny Miteva-Staleva, Vladislava Dishliyska, Aleksandar Dolashki, Boryana Spasova, Pavlina Dolashka, Maria Angelova, and Ekaterina Krumova. 2025. "The Role of Oxidative Stress in the Antifungal Activity of Two Mollusk Fractions on Resistant Fungal Strains" International Journal of Molecular Sciences 26, no. 3: 985. https://doi.org/10.3390/ijms26030985
APA StyleVelkova, L., Abrashev, R., Miteva-Staleva, J., Dishliyska, V., Dolashki, A., Spasova, B., Dolashka, P., Angelova, M., & Krumova, E. (2025). The Role of Oxidative Stress in the Antifungal Activity of Two Mollusk Fractions on Resistant Fungal Strains. International Journal of Molecular Sciences, 26(3), 985. https://doi.org/10.3390/ijms26030985

