Assessment of Methylation in Selected ADAMTS Family Genes in Non-Small-Cell Lung Cancer
Abstract
1. Introduction
2. Results
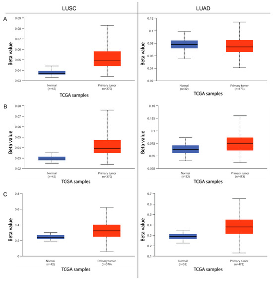
2.1. ADAMTS Expression and Methylation Analysis in LUAD and LUSC
2.2. The Methylation Level in Relation to Various Clinicopathological and Demographic Factors
2.2.1. ADAMTS6
2.2.2. ADAMTS9
2.2.3. ADAMTS12
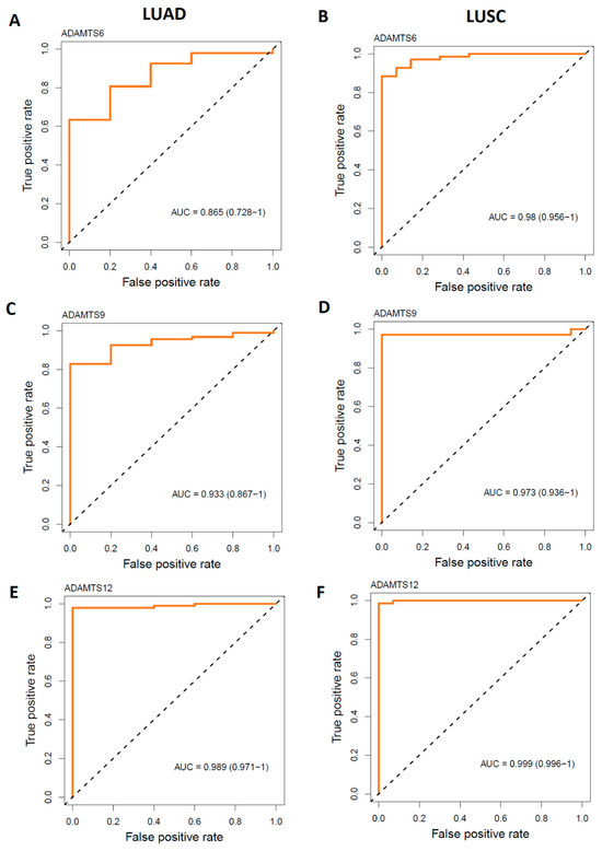
2.3. Clinical and Diagnostic Value of ADAMTS6, ADAMTS9, and ADAMTS12 Promoter Methylation Patterns
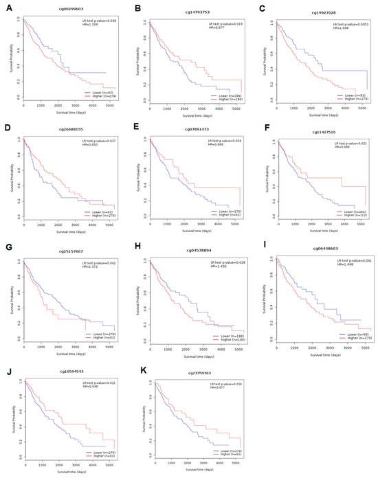
2.4. Survival Analysis Based on Methylation Levels of ADAMTS6, ADAMTS9, and ADAMTS12 Genes
3. Discussion
4. Materials and Methods
4.1. TIMER
4.2. UALCAN
4.3. MethMarkerDB
4.4. MethSurv
5. Conclusions
Author Contributions
Funding
Institutional Review Board Statement
Informed Consent Statement
Data Availability Statement
Conflicts of Interest
Abbreviations
| ADAMTS | a disintegrin-like and metalloprotease with thrombospondin motifs |
| AUC | area under the curve |
| BLCA | bladder urothelial carcinoma |
| BRCA | breast invasive carcinoma |
| CHOL | invasive cholangiocarcinoma |
| COAD | colon adenocarcinoma |
| DMR | differentially methylated region |
| ESCA | esophageal carcinoma |
| HNSC | head and neck squamous-cell carcinoma |
| KICH | kidney chromophobe |
| KIRC | kidney renal clear-cell carcinoma |
| KIRP | kidney renal papillary-cell carcinoma |
| LIHC | liver hepatocellular carcinoma |
| LUAD | lung adenocarcinoma |
| LUSC | lung squamous-cell carcinoma |
| NSCLC | non-small-cell lung cancer |
| OS | overall survival |
| READ | rectal adenocarcinoma |
| ROC | receiver operating characteristic |
| SKCM | skin cutaneous melanoma |
| STAD | stomach adenocarcinoma |
| TCGA | The Cancer Genome Atlas |
| TIMER | Tumor Immune Estimation Resource |
| THCA | thyroid carcinoma |
| UALCAN | The University of Alabama at Birmingham Cancer Data Analysis Portal |
| UCEC | uterine corpus endometrial carcinoma |
References
- Bray, F.; Laversanne, M.; Sung, H.; Ferlay, J.; Siegel, R.L.; Soerjomataram, I.; Jemal, A. Global cancer statistics 2022: GLOBOCAN estimates of incidence and mortality worldwide for 36 cancers in 185 countries. CA A Cancer J. Clin. 2024, 74, 229–263. [Google Scholar] [CrossRef] [PubMed]
- Duruisseaux, M.; Esteller, M. Lung cancer epigenetics: From knowledge to applications. Semin. Cancer Biol. 2017, 51, 116–128. [Google Scholar] [CrossRef] [PubMed]
- Kordowski, F.; Kolarova, J.; Schafmayer, C.; Buch, S.; Goldmann, T.; Marwitz, S.; Kugler, C.; Scheufele, S.; Gassling, V.; Németh, C.G.; et al. Aberrant DNA methylation of ADAMTS16 in colorectal and other epithelial cancers. BMC Cancer 2018, 18, 796. [Google Scholar] [CrossRef]
- Kang, J.G.; Park, J.S.; Ko, J.-H.; Kim, Y.-S. Regulation of gene expression by altered promoter methylation using a CRISPR/Cas9-mediated epigenetic editing system. Sci. Rep. 2019, 9, 11960. [Google Scholar] [CrossRef]
- Rabadán, R.; Mohamedi, Y.; Rubin, U.; Chu, T.; Alghalith, A.N.; Elliott, O.; Arnés, L.; Cal, S.; Obaya, J.; Levine, A.J.; et al. Identification of relevant genetic alterations in cancer using topological data analysis. Nat. Commun. 2020, 11, 3808. [Google Scholar] [CrossRef]
- Wang, Q.; Wang, K.; Tan, X.; Li, Z.; Wang, H. Immunomodulatory role of metalloproteases in cancers: Current progress and future trends. Front. Immunol. 2022, 13, 1064033. [Google Scholar] [CrossRef]
- Rose, K.W.J.; Taye, N.; Karoulias, S.Z.; Hubmacher, D. Regulation of ADAMTS Proteases. Front. Mol. Biosci. 2021, 8, 701959. [Google Scholar] [CrossRef]
- Du, W.; Wang, S.; Zhou, Q.; Li, X.; Chu, J.; Chang, Z.; Tao, Q.; O Ng, E.K.; Fang, J.; Sung, J.J.Y.; et al. ADAMTS9 is a functional tumor suppressor through inhibiting AKT/mTOR pathway and associated with poor survival in gastric cancer. Oncogene 2012, 32, 3319–3328. [Google Scholar] [CrossRef]
- Koo, B.-H.; Coe, D.M.; Dixon, L.J.; Somerville, R.P.; Nelson, C.M.; Wang, L.W.; Young, M.E.; Lindner, D.J.; Apte, S.S. ADAMTS9 Is a Cell-Autonomously Acting, Anti-Angiogenic Metalloprotease Expressed by Microvascular Endothelial Cells. Am. J. Pathol. 2010, 176, 1494–1504. [Google Scholar] [CrossRef]
- Luu, T.-T.; Bach, D.-H.; Kim, D.; Hu, R.; Park, H.J.; Lee, S.K. Overexpression of AGR2 Is Associated With Drug Resistance in Mutant Non-small Cell Lung Cancers. Anticancer. Res. 2020, 40, 1855–1866. [Google Scholar] [CrossRef]
- Mogi, A.; Kuwano, H. TP53 Mutations in Nonsmall Cell Lung Cancer. BioMed Res. Int. 2011, 2011, 583929. [Google Scholar] [CrossRef]
- Chen, X.; Zhang, T.; Su, W.; Dou, Z.; Zhao, D.; Jin, X.; Lei, H.; Wang, J.; Xie, X.; Cheng, B.; et al. Mutant p53 in cancer: From molecular mechanism to therapeutic modulation. Cell Death Dis. 2022, 13, 974. [Google Scholar] [CrossRef]
- Zhao, L.; Qu, X.; Wu, Z.; Li, Y.; Zhang, X.; Guo, W. TP53 somatic mutations are associated with poor survival in non-small cell lung cancer patients who undergo immunotherapy. Aging 2020, 12, 14556–14568. [Google Scholar] [CrossRef] [PubMed]
- Kelwick, R.; Desanlis, I.; Wheeler, G.N.; Edwards, D.R. The ADAMTS (A Disintegrin and Metalloproteinase with Thrombospondin motifs) family. Genome Biol. 2015, 16, 113. [Google Scholar] [CrossRef] [PubMed]
- Mead, T.J. ADAMTS6: Emerging roles in cardiovascular, musculoskeletal and cancer biology. Front. Mol. Biosci. 2022, 9, 1023511. [Google Scholar] [CrossRef] [PubMed]
- Jiang, S.; Jiang, Y.; Cao, Y.; Zhao, Y.; Liu, H.; Wang, X.; He, Z.; Song, Z.; Wang, X.; Liu, G.; et al. The Use of Pan-Cancer Analysis of ADAMTS9 Expression in Various Cancer Types. Epigenomics 2021, 13, 253–256. [Google Scholar] [CrossRef]
- Hou, Y.; Xu, Y.; Wu, D. ADAMTS12 acts as a tumor microenvironment related cancer promoter in gastric cancer. Sci. Rep. 2021, 11, 10996. [Google Scholar] [CrossRef]
- Liu, W.; Luo, W.; Zhou, P.; Cheng, Y.; Qian, L. Bioinformatics Analysis and Functional Verification of ADAMTS9-AS1/AS2 in Lung Adenocarcinoma. Front Oncol. 2021, 11, 681777. [Google Scholar] [CrossRef]
- Song, C.; Chen, J.; Zhang, C.; Dong, D. An Integrated Pan-Cancer Analysis of ADAMTS12 and Its Potential Implications in Pancreatic Adenocarcinoma. Front. Oncol. 2022, 12, 849717. [Google Scholar] [CrossRef]
- Zhang, Y.; Xu, H.; Mu, J.; Guo, S.; Ye, L.; Li, D.; Peng, W.; He, X.; Xiang, T. Inactivation of ADAMTS18 by aberrant promoter hypermethylation contribute to lung cancer progression. J. Cell. Physiol. 2018, 234, 6965–6975. [Google Scholar] [CrossRef]
- Choi, J.E.; Kim, D.S.; Kim, E.J.; Chae, M.H.; Cha, S.I.; Kim, C.H.; Jheon, S.; Jung, T.H.; Park, J.Y. Aberrant methylation of ADAMTS1 in non-small cell lung cancer. Cancer Genet. Cytogenet. 2008, 187, 80–84. [Google Scholar] [CrossRef] [PubMed]
- Shao, B.; Feng, Y.; Zhang, H.; Yu, F.; Li, Q.; Tan, C.; Xu, H.; Ying, J.; Li, L.; Yang, D.; et al. The 3p14.2 tumour suppressor ADAMTS9 is inactivated by promoter CpG methylation and inhibits tumour cell growth in breast cancer. J. Cell. Mol. Med. 2017, 22, 1257–1271. [Google Scholar] [CrossRef] [PubMed]
- Peng, L.; Yang, Z.; Tan, C.; Ren, G.; Chen, J. Epigenetic inactivation of ADAMTS9 via promoter methylation in multiple myeloma. Mol. Med. Rep. 2013, 7, 1055–1061. [Google Scholar] [CrossRef]
- Daniunaite, K.; Bakavicius, A.; Zukauskaite, K.; Rauluseviciute, I.; Lazutka, J.R.; Ulys, A.; Jankevicius, F.; Jarmalaite, S. Promoter Methylation of PRKCB, ADAMTS12, and NAALAD2 Is Specific to Prostate Cancer and Predicts Biochemical Disease Recurrence. Int. J. Mol. Sci. 2021, 22, 6091. [Google Scholar] [CrossRef]
- Moncada-Pazos, A.; Obaya, A.J.; Fraga, M.F.; Viloria, C.G.; Capellá, G.; Gausachs, M.; Esteller, M.; López-Otín, C.; Cal, S. The ADAMTS12 metalloprotease gene is epigenetically silenced in tumor cells and transcriptionally activated in the stroma during progression of colon cancer. J. Cell Sci. 2009, 122, 2906–2913. [Google Scholar] [CrossRef]
- Lee, H.-C.; Chang, C.-Y.; Wu, K.-L.; Chiang, H.-H.; Chang, Y.-Y.; Liu, L.-X.; Huang, Y.-C.; Hung, J.-Y.; Hsu, Y.-L.; Wu, Y.-Y.; et al. The Therapeutic Potential of ADAMTS8 in Lung Adenocarcinoma without Targetable Therapy. J. Pers. Med. 2022, 12, 902. [Google Scholar] [CrossRef]
- Pietrzak, J.; Świechowski, R.; Wosiak, A.; Wcisło, S.; Balcerczak, E. ADAMTS Gene-Derived circRNA Molecules in Non-Small-Cell Lung Cancer: Expression Profiling, Clinical Correlations and Survival Analysis. Int. J. Mol. Sci. 2024, 25, 1897. [Google Scholar] [CrossRef]
- Li, T.; Fan, J.; Wang, B.; Traugh, N.; Chen, Q.; Liu, J.S.; Li, B.; Liu, X.S. TIMER: A Web Server for Comprehensive Analysis of Tumor-Infiltrating Immune Cells. Cancer Res. 2017, 77, e108–e110. [Google Scholar] [CrossRef]
- Chandrashekar, D.S.; Karthikeyan, S.K.; Korla, P.K.; Patel, H.; Shovon, A.R.; Athar, M.; Netto, G.J.; Qin, Z.S.; Kumar, S.; Manne, U.; et al. UALCAN: An update to the integrated cancer data analysis platform. Neoplasia 2022, 25, 18–27. [Google Scholar] [CrossRef]
- Zhu, Z.; Zhou, Q.; Sun, Y.; Lai, F.; Wang, Z.; Hao, Z.; Li, G. MethMarkerDB: A comprehensive cancer DNA methylation biomarker database. Nucleic Acids Res. 2023, 52, D1380–D1392. [Google Scholar] [CrossRef]
- Zhou, Q.; Guan, P.; Zhu, Z.; Cheng, S.; Zhou, C.; Wang, H.; Xu, Q.; Sung, W.-K.; Li, G. ASMdb: A comprehensive database for allele-specific DNA methylation in diverse organisms. Nucleic Acids Res. 2021, 50, D60–D71. [Google Scholar] [CrossRef] [PubMed]
- Zhou, Q.; Lim, J.-Q.; Sung, W.-K.; Li, G. An integrated package for bisulfite DNA methylation data analysis with Indel-sensitive mapping. BMC Bioinform. 2019, 20, 47. [Google Scholar] [CrossRef] [PubMed]
- Modhukur, V.; Iljasenko, T.; Metsalu, T.; Lokk, K.; Laisk-Podar, T.; Vilo, J. MethSurv: A Web Tool to Perform Multivariable Survival Analysis Using DNA Methylation Data. Epigenomics 2017, 10, 277–288. [Google Scholar] [CrossRef] [PubMed]













| Clinical Characteristic | Number of Patients LUAD | Number of Patients LUSC |
|---|---|---|
| Sex | ||
| Men | 219 | 274 |
| Women | 254 | 96 |
| Age group | ||
| 21–40 years | 5 | 1 |
| 41–60 years | 149 | 77 |
| 61–80 years | 276 | 267 |
| 81–100 years | 24 | 24 |
| Smoking status | ||
| Non-smoker | 68 | 13 |
| Smoker | 108 | 114 |
| Reformed smoker (<15 years) | 152 | 173 |
| Reformed smoker (>15 years) | 127 | 55 |
| TP53 status | ||
| Mutant | 212 | 269 |
| Non-mutant | 245 | 89 |
| Disease stage | ||
| Stage 1 | 260 | 172 |
| Stage 2 | 115 | 135 |
| Stage 3 | 73 | 56 |
| Stage 4 | 20 | 4 |
| Nodal involvement | ||
| N0 | 309 | 236 |
| N1 | 84 | 99 |
| N2 | 65 | 26 |
| N3 | 1 | 0 |
| Ethnics | ||
| Caucasian | 366 | 274 |
| African American | 52 | 24 |
| Asian | 6 | 7 |
Disclaimer/Publisher’s Note: The statements, opinions and data contained in all publications are solely those of the individual author(s) and contributor(s) and not of MDPI and/or the editor(s). MDPI and/or the editor(s) disclaim responsibility for any injury to people or property resulting from any ideas, methods, instructions or products referred to in the content. |
© 2025 by the authors. Licensee MDPI, Basel, Switzerland. This article is an open access article distributed under the terms and conditions of the Creative Commons Attribution (CC BY) license (https://creativecommons.org/licenses/by/4.0/).
Share and Cite
Szmajda-Krygier, D.; Nocoń, Z.; Pietrzak, J.; Krygier, A.; Balcerczak, E. Assessment of Methylation in Selected ADAMTS Family Genes in Non-Small-Cell Lung Cancer. Int. J. Mol. Sci. 2025, 26, 934. https://doi.org/10.3390/ijms26030934
Szmajda-Krygier D, Nocoń Z, Pietrzak J, Krygier A, Balcerczak E. Assessment of Methylation in Selected ADAMTS Family Genes in Non-Small-Cell Lung Cancer. International Journal of Molecular Sciences. 2025; 26(3):934. https://doi.org/10.3390/ijms26030934
Chicago/Turabian StyleSzmajda-Krygier, Dagmara, Zuzanna Nocoń, Jacek Pietrzak, Adrian Krygier, and Ewa Balcerczak. 2025. "Assessment of Methylation in Selected ADAMTS Family Genes in Non-Small-Cell Lung Cancer" International Journal of Molecular Sciences 26, no. 3: 934. https://doi.org/10.3390/ijms26030934
APA StyleSzmajda-Krygier, D., Nocoń, Z., Pietrzak, J., Krygier, A., & Balcerczak, E. (2025). Assessment of Methylation in Selected ADAMTS Family Genes in Non-Small-Cell Lung Cancer. International Journal of Molecular Sciences, 26(3), 934. https://doi.org/10.3390/ijms26030934

