The Mining for Flowering-Related Genes Based on De Novo Transcriptome Sequencing in the Endangered Plant Phoebe chekiangensis
Abstract
1. Introduction
2. Results
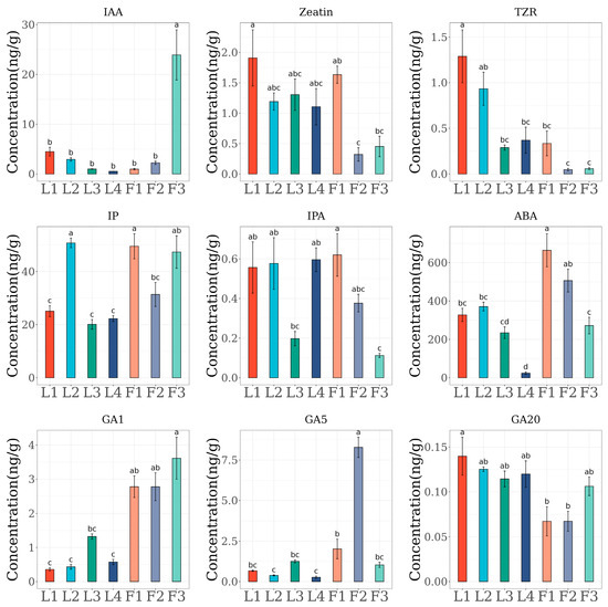
2.1. Determination of Hormone Content During P. chekiangensis Flowering Stages
2.2. Sequencing Analysis and De Novo Assembly
2.3. Identification of Flowering-Related Genes in P. chekiangensis
2.4. The Expression Patterns of Flowering-Related Genes
3. Discussion
3.1. Plant Hormones and Phase Transitions in Growth
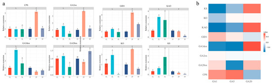
3.2. Gibberellin Biosynthesis Pathway, Key GA-Related Gene Identification, and Their Interrelationships
4. Materials and Methods
4.1. Plant Material
4.2. Analysis of Endogenous Hormone Content
4.3. RNA Extraction and qPCR
4.4. cDNA Library Construction and High-Throughput RNA Sequencing
4.5. Data Filtering, De Novo Assembly, and Annotation
4.6. Identification of GA Pathway Genes and Correlation Analysis with GA Content
5. Conclusions
Supplementary Materials
Author Contributions
Funding
Institutional Review Board Statement
Informed Consent Statement
Data Availability Statement
Conflicts of Interest
References
- Lu, Y.F.; Pei, N.C.; Zhu, Y.J.; Bai, Z.L.; Yang, A.N.; Zhang, J.H.; Lou, L.H.; Tong, Z.K. Community structure and leaf trait diversity in a vulnerable species, Phoebe chekiangensis (Lauraceae). Ying Yong Sheng Tai Xue Bao 2018, 29, 2101–2110. [Google Scholar] [CrossRef] [PubMed]
- Li, M.M. Effects of Ozone on Photosynthesis of Several Plants. Huan Jing Ke Xue 2015, 36, 1888–1901. [Google Scholar]
- Zhang, J.; Xu, W.; Zhou, S.; Liu, Q.; Yang, Q.; Tong, Z. The response of different-aged saplings to light gradients reveals new insights into the light requirements of an endangered woody plant species, Phoebe chekiangensis. For. An. Int. J. For. Res. 2024, 97, 447–457. [Google Scholar] [CrossRef]
- He, B.; Li, Y.; Ni, Z.; Xu, L.A. Transcriptome sequencing and SNP detection in Phoebe chekiangensis. PeerJ 2017, 5, e3193. [Google Scholar] [CrossRef] [PubMed]
- He, H.; Gao, H.; Xue, X.; Ren, J.; Chen, X.; Niu, B. Variation of sugar compounds in Phoebe chekiangensis seeds during natural desiccation. PLoS ONE 2024, 19, e0299669. [Google Scholar] [CrossRef]
- Wang, Y.; Ma, X.; Lu, Y.; Hu, X.; Lou, L.; Tong, Z.; Zhang, J. Assessing the current genetic structure of 21 remnant populations and predicting the impacts of climate change on the geographic distribution of Phoebe sheareri in southern China. Sci. Total Environ. 2022, 846, 157391. [Google Scholar] [CrossRef] [PubMed]
- He, Y.; Chen, T.; Zeng, X. Genetic and Epigenetic Understanding of the Seasonal Timing of Flowering. Plant Commun. 2020, 1, 100008. [Google Scholar] [CrossRef]
- Takagi, H.; Hempton, A.K.; Imaizumi, T. Photoperiodic flowering in Arabidopsis: Multilayered regulatory mechanisms of CONSTANS and the florigen FLOWERING LOCUS T. Plant Commun. 2023, 4, 100552. [Google Scholar] [CrossRef]
- Bouche, F.; Lobet, G.; Tocquin, P.; Perilleux, C. FLOR-ID: An interactive database of flowering-time gene networks in Arabidopsis thaliana. Nucleic Acids Res. 2016, 44, D1167–D1171. [Google Scholar] [CrossRef]
- Chen, T.T.; Yao, X.H.; Liu, H.; Li, Y.P.; Qin, W.; Yan, X.; Wang, X.Y.; Peng, B.W.; Zhang, Y.J.; Shao, J.; et al. MADS-box gene AaSEP4 promotes artemisinin biosynthesis in Artemisia annua. Front. Plant Sci. 2022, 13, 982317. [Google Scholar] [CrossRef]
- Zhang, A.; He, H.; Li, Y.; Wang, L.; Liu, Y.; Luan, X.; Wang, J.; Liu, H.; Liu, S.; Zhang, J.; et al. MADS-Box Subfamily Gene GmAP3 from Glycine max Regulates Early Flowering and Flower Development. Int. J. Mol. Sci. 2023, 24, 2751. [Google Scholar] [CrossRef] [PubMed]
- Chen, Q.; Li, J.; Yang, F. Genome-Wide Analysis of the Mads-Box Transcription Factor Family in Solanum melongena. Int. J. Mol. Sci. 2023, 24, 826. [Google Scholar] [CrossRef] [PubMed]
- Tomes, S.; Gunaseelan, K.; Dragulescu, M.; Wang, Y.Y.; Guo, L.; Schaffer, R.J.; Varkonyi-Gasic, E. A MADS-box gene-induced early flowering pear (Pyrus communis L.) for accelerated pear breeding. Front. Plant Sci. 2023, 14, 1235963. [Google Scholar] [CrossRef] [PubMed]
- Yu, Z.; Duan, X.; Luo, L.; Dai, S.; Ding, Z.; Xia, G. How Plant Hormones Mediate Salt Stress Responses. Trends Plant Sci. 2020, 25, 1117–1130. [Google Scholar] [CrossRef] [PubMed]
- Song, W.; Hu, L.; Ma, Z.; Yang, L.; Li, J. Importance of Tyrosine Phosphorylation in Hormone-Regulated Plant Growth and Development. Int. J. Mol. Sci. 2022, 23, 6603. [Google Scholar] [CrossRef]
- Fenn, M.A.; Giovannoni, J.J. Phytohormones in fruit development and maturation. Plant J. 2021, 105, 446–458. [Google Scholar] [CrossRef]
- Zhang, Y.; Berman, A.; Shani, E. Plant Hormone Transport and Localization: Signaling Molecules on the Move. Annu. Rev. Plant Biol. 2023, 74, 453–479. [Google Scholar] [CrossRef] [PubMed]
- Rizza, A.; Jones, A.M. The makings of a gradient: Spatiotemporal distribution of gibberellins in plant development. Curr. Opin. Plant Biol. 2019, 47, 9–15. [Google Scholar] [CrossRef] [PubMed]
- Bao, S.; Hua, C.; Shen, L.; Yu, H. New insights into gibberellin signaling in regulating flowering in Arabidopsis. J. Integr. Plant Biol. 2020, 62, 118–131. [Google Scholar] [CrossRef]
- Sabir, I.A.; Manzoor, M.A.; Shah, I.H.; Abbas, F.; Liu, X.; Fiaz, S.; Shah, A.N.; Jiu, S.; Wang, J.; Abdullah, M.; et al. Evolutionary and Integrative Analysis of Gibberellin-Dioxygenase Gene Family and Their Expression Profile in Three Rosaceae Genomes (F. vesca, P. mume, and P. avium) Under Phytohormone Stress. Front. Plant Sci. 2022, 13, 942969. [Google Scholar] [CrossRef]
- Sun, T.P. The molecular mechanism and evolution of the GA-GID1-DELLA signaling module in plants. Curr. Biol. 2011, 21, R338–R345. [Google Scholar] [CrossRef] [PubMed]
- Zyskind, J.W.; Cleary, J.M.; Brusilow, W.S.; Harding, N.E.; Smith, D.W. Chromosomal replication origin from the marine bacterium Vibrio harveyi functions in Escherichia coli: OriC consensus sequence. Proc. Natl. Acad. Sci. USA 1983, 80, 1164–1168. [Google Scholar] [CrossRef]
- Zhu, W.; Qi, J.; Chen, J.; Ma, S.; Liu, K.; Su, H.; Chai, M.; Huang, Y.; Xi, X.; Cao, Z.; et al. Identification of GA2ox Family Genes and Expression Analysis under Gibberellin Treatment in Pineapple (Ananas comosus (L.) Merr.). Plants 2023, 12, 2673. [Google Scholar] [CrossRef]
- Zhou, J.; Liu, G.; Zhao, Y.; Zhang, R.; Tang, X.; Li, L.; Jia, X.; Guo, Y.; Wu, Y.; Han, Y.; et al. An efficient CRISPR-Cas12a promoter editing system for crop improvement. Nat. Plants 2023, 9, 588–604. [Google Scholar] [CrossRef] [PubMed]
- Yang, H.; Liao, H.; Xu, F.; Zhang, W.; Xu, B.; Chen, X.; Zhu, B.; Pan, W.; Yang, X. Integrated transcriptomic and gibberellin analyses reveal genes related to branch development in Eucalyptus urophylla. Plant Physiol. Biochem. 2022, 185, 69–79. [Google Scholar] [CrossRef] [PubMed]
- Casanova-Saez, R.; Mateo-Bonmati, E.; Ljung, K. Auxin Metabolism in Plants. Cold Spring Harb. Perspect. Biol. 2021, 13, a039867. [Google Scholar] [CrossRef]
- Leyser, O. Auxin Signaling. Plant Physiol. 2018, 176, 465–479. [Google Scholar] [CrossRef]
- Gomes, G.L.B.; Scortecci, K.C. Auxin and its role in plant development: Structure, signalling, regulation and response mechanisms. Plant Biol. 2021, 23, 894–904. [Google Scholar] [CrossRef]
- Xu, Y.; Li, J.; Wang, P.; Wang, W.; Guo, Y.; Hao, X.; Du, L.; Zhou, C. The Exploration of Flowering Mechanisms in Cherry Plants. Plants 2023, 12, 3980. [Google Scholar] [CrossRef]
- Cheng, Y.; Cheng, L.; Hu, G.; Guo, X.; Lan, Y. Auxin and CmAP1 regulate the reproductive development of axillary buds in Chinese chestnut (Castanea mollissima). Plant Cell Rep. 2023, 42, 287–296. [Google Scholar] [CrossRef]
- Zwack, P.J.; Rashotte, A.M. Cytokinin inhibition of leaf senescence. Plant Signal Behav. 2013, 8, e24737. [Google Scholar] [CrossRef] [PubMed]
- Ashikari, M.; Sakakibara, H.; Lin, S.; Yamamoto, T.; Takashi, T.; Nishimura, A.; Angeles, E.R.; Qian, Q.; Kitano, H.; Matsuoka, M. Cytokinin oxidase regulates rice grain production. Science 2005, 309, 741–745. [Google Scholar] [CrossRef] [PubMed]
- Ming, X.; Tao, Y.B.; Fu, Q.; Tang, M.; He, H.; Chen, M.S.; Pan, B.Z.; Xu, Z.F. Flower-Specific Overproduction of Cytokinins Altered Flower Development and Sex Expression in the Perennial Woody Plant Jatropha curcas L. Int. J. Mol. Sci. 2020, 21, 640. [Google Scholar] [CrossRef]
- Nakashima, K.; Yamaguchi-Shinozaki, K. ABA signaling in stress-response and seed development. Plant Cell Rep. 2013, 32, 959–970. [Google Scholar] [CrossRef]
- Brookbank, B.P.; Patel, J.; Gazzarrini, S.; Nambara, E. Role of Basal ABA in Plant Growth and Development. Genes 2021, 12, 1936. [Google Scholar] [CrossRef]
- Shu, K.; Liu, X.D.; Xie, Q.; He, Z.H. Two Faces of One Seed: Hormonal Regulation of Dormancy and Germination. Mol. Plant 2016, 9, 34–45. [Google Scholar] [CrossRef] [PubMed]
- Cao, J.; Jin, Q.; Kuang, J.; Wang, Y.; Xu, Y. Regulation of Flowering Timing by ABA-NnSnRK1 Signaling Pathway in Lotus. Int. J. Mol. Sci. 2021, 22, 3932. [Google Scholar] [CrossRef] [PubMed]
- Mazzoni-Putman, S.M.; Brumos, J.; Zhao, C.; Alonso, J.M.; Stepanova, A.N. Auxin Interactions with Other Hormones in Plant Development. Cold Spring Harb. Perspect. Biol. 2021, 13, a039990. [Google Scholar] [CrossRef]
- Park, M.H.; Malka, S.K. Gibberellin delays metabolic shift during tomato ripening by inducing auxin signaling. Front. Plant Sci. 2022, 13, 1045761. [Google Scholar] [CrossRef]
- Zhang, C.; Jian, M.; Li, W.; Yao, X.; Tan, C.; Qian, Q.; Hu, Y.; Liu, X.; Hou, X. Gibberellin signaling modulates flowering via the DELLA-BRAHMA-NF-YC module in Arabidopsis. Plant Cell 2023, 35, 3470–3484. [Google Scholar] [CrossRef]
- Hedden, P.; Thomas, S.G. Gibberellin biosynthesis and its regulation. Biochem. J. 2012, 444, 11–25. [Google Scholar] [CrossRef]
- Hernández-García, J.; Briones-Moreno, A.; Blázquez, M.A. Origin and evolution of gibberellin signaling and metabolism in plants. Semin. Cell Dev. Biol. 2021, 109, 46–54. [Google Scholar] [CrossRef] [PubMed]
- Tong, H.; Chu, C. Coordinating gibberellin and brassinosteroid signaling beyond Green Revolution. J. Genet. Genom. 2023, 50, 459–461. [Google Scholar] [CrossRef] [PubMed]
- Yu, X.; Cui, X.; Wu, C.; Shi, S.; Yan, S. Salicylic acid inhibits gibberellin signaling through receptor interactions. Mol. Plant 2022, 15, 1759–1771. [Google Scholar] [CrossRef] [PubMed]
- Zhang, H.; Li, M.; He, D.; Wang, K.; Yang, P. Mutations on ent-kaurene oxidase 1 encoding gene attenuate its enzyme activity of catalyzing the reaction from ent-kaurene to ent-kaurenoic acid and lead to delayed germination in rice. PLoS Genet. 2020, 16, e1008562. [Google Scholar] [CrossRef] [PubMed]
- Huang, S.; Gao, Y.; Xue, M.; Xu, J.; Liao, R.; Shang, S.; Yang, X.; Zhao, Y.; Li, C.; Liu, Z.; et al. BrKAO2 mutations disrupt leafy head formation in Chinese cabbage (Brassica rapa L. ssp. pekinensis). Theor. Appl. Genet. 2022, 135, 2453–2468. [Google Scholar] [CrossRef]
- Giacomelli, L.; Rota-Stabelli, O.; Masuero, D.; Acheampong, A.K.; Moretto, M.; Caputi, L.; Vrhovsek, U.; Moser, C. Gibberellin metabolism in Vitis vinifera L. during bloom and fruit-set: Functional characterization and evolution of grapevine gibberellin oxidases. J. Exp. Bot. 2013, 64, 4403–4419. [Google Scholar] [CrossRef]





Disclaimer/Publisher’s Note: The statements, opinions and data contained in all publications are solely those of the individual author(s) and contributor(s) and not of MDPI and/or the editor(s). MDPI and/or the editor(s) disclaim responsibility for any injury to people or property resulting from any ideas, methods, instructions or products referred to in the content. |
© 2025 by the authors. Licensee MDPI, Basel, Switzerland. This article is an open access article distributed under the terms and conditions of the Creative Commons Attribution (CC BY) license (https://creativecommons.org/licenses/by/4.0/).
Share and Cite
Sun, Q.; Liu, Y.; Ni, M.; Song, Y.; Yang, Q.; Zhang, J.; Zhang, Y.; Tong, Z. The Mining for Flowering-Related Genes Based on De Novo Transcriptome Sequencing in the Endangered Plant Phoebe chekiangensis. Int. J. Mol. Sci. 2025, 26, 1000. https://doi.org/10.3390/ijms26031000
Sun Q, Liu Y, Ni M, Song Y, Yang Q, Zhang J, Zhang Y, Tong Z. The Mining for Flowering-Related Genes Based on De Novo Transcriptome Sequencing in the Endangered Plant Phoebe chekiangensis. International Journal of Molecular Sciences. 2025; 26(3):1000. https://doi.org/10.3390/ijms26031000
Chicago/Turabian StyleSun, Qinglin, Yan Liu, Mingyang Ni, Yandong Song, Qi Yang, Junhong Zhang, Yuting Zhang, and Zaikang Tong. 2025. "The Mining for Flowering-Related Genes Based on De Novo Transcriptome Sequencing in the Endangered Plant Phoebe chekiangensis" International Journal of Molecular Sciences 26, no. 3: 1000. https://doi.org/10.3390/ijms26031000
APA StyleSun, Q., Liu, Y., Ni, M., Song, Y., Yang, Q., Zhang, J., Zhang, Y., & Tong, Z. (2025). The Mining for Flowering-Related Genes Based on De Novo Transcriptome Sequencing in the Endangered Plant Phoebe chekiangensis. International Journal of Molecular Sciences, 26(3), 1000. https://doi.org/10.3390/ijms26031000

