Enhancing Cytosolic Internalization of [177Lu]Lu–iPSMA in Prostate Cancer Cells: The Effect of Conjugating a GRP78 Inhibitor to the Radiotherapeutic Molecule
Abstract
1. Introduction
2. Results and Discussion
2.1. Computational Simulation
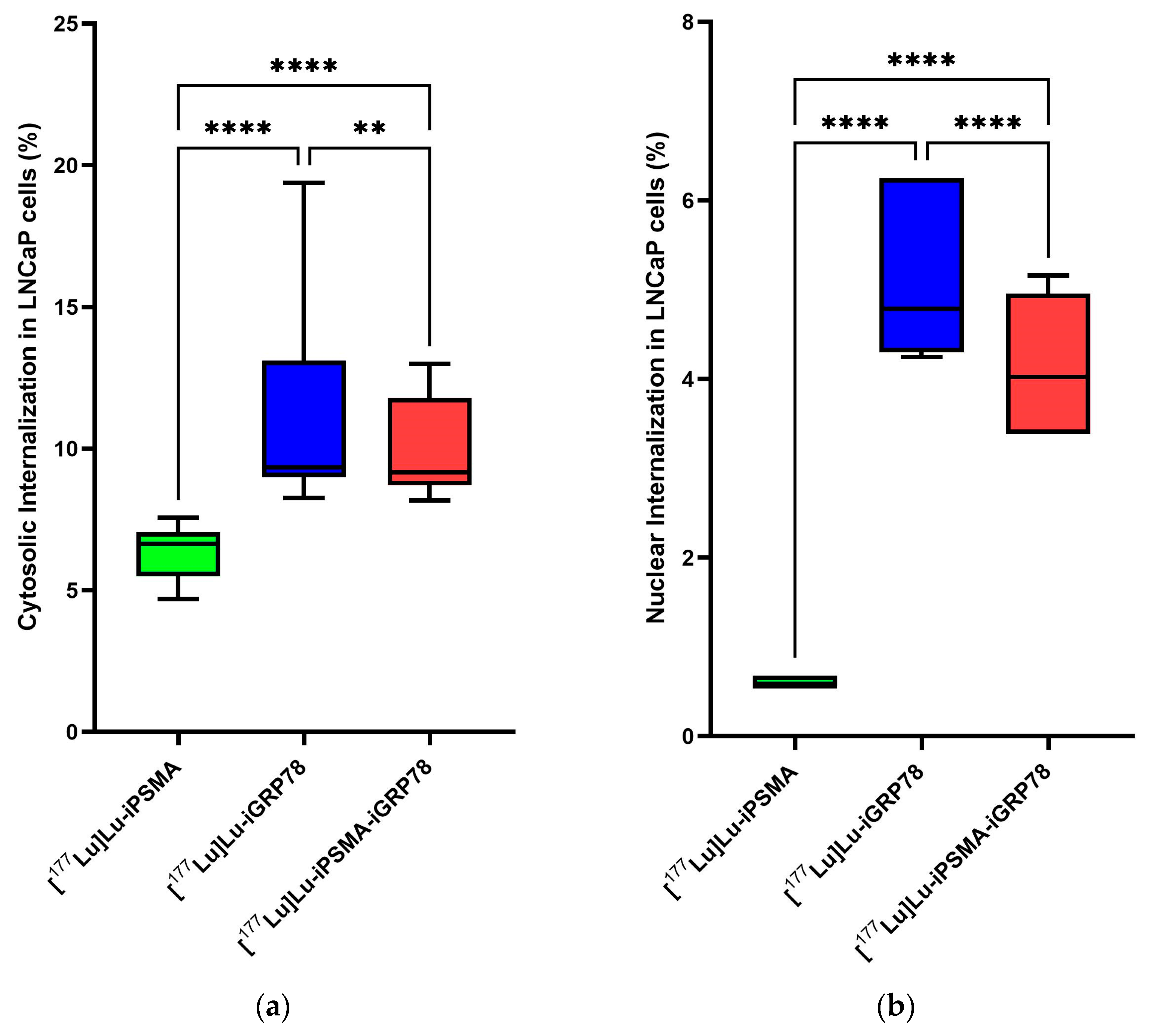
2.2. In Vitro Cellular Evaluation
3. Materials and Methods
3.1. Computational Simulation Methods
3.1.1. Protein Preparation and Molecular Dynamics
3.1.2. Ensemble Docking Protocol
3.1.3. Molecular Dynamics Simulation (MDS)
3.1.4. Structural and Statistical Analysis
3.2. Preparation of [177Lu]Lu–iPSMA–iGRP78
3.2.1. Design, Synthesis, and Chemical Characterization
3.2.2. Manufacturing of Multidose Lyophilized Kits
3.2.3. Preparation of Radiopharmaceuticals
3.2.4. Quality Control
3.2.5. Stability in PBS and Human Serum
3.3. Cellular Internalization Measurement of [177Lu]Lu-iPSMA-iGRP78 in Prostate Cancer Cell Lines
3.3.1. Cell Lines
3.3.2. Saturation Binding Assay
3.3.3. GRP78 and PSMA Cell Immunodetection
3.3.4. Separation of Cytoplasmic and Nuclear Fractions
3.3.5. Measurement of Internalized Activity
3.4. Cytotoxicity Assessment of [177Lu]Lu-iPSMA-iGRP78 in Prostate Cancer Cell Lines
4. Conclusions
Author Contributions
Funding
Institutional Review Board Statement
Informed Consent Statement
Data Availability Statement
Acknowledgments
Conflicts of Interest
Abbreviations
| DAPI | 4′,6-diamidino-2-phenylindole |
| DOTA | 1,4,7,10-tetraazacyclododecane-N,N′,N″,N‴-tetraacetic acid |
| FT-IR | Fourier-transform infrared spectroscopy |
| GRP78 | Glucose-regulated protein 78 |
| HYNIC | 2–hydrazinonicotinyl |
| HPLC | High-performance liquid chromatography |
| iGRP78 | Glucose-regulated protein 78 inhibitor |
| iPSMA | Prostate-specific membrane antigen inhibitor |
| LNCaP | Prostate cancer cell line (LNCaP) |
| PDA | Photodiode array detector |
| PC3 | Prostate cancer cell line (PC3) |
| PSMA | Prostate-specific membrane antigen |
| CS-GRP78 | Surface cell glucose-regulated protein 78 |
| UPLC | Ultra-performance liquid chromatography |
| UV-Vis | Ultraviolet–visible spectroscopy |
Appendix A







Appendix B

References
- Fizazi, K.; Morris, M.J.; Shore, N.D.; Chi, K.N.; Crosby, M.; de Bono, J.S.; Herrmann, K.; Roubaud, G.; Nagarajah, J.; Fleming, M.; et al. Health-related quality of life, pain, and symptomatic skeletal events with [177Lu]Lu-PSMA-617 in patients with progressive metastatic castration-resistant prostate cancer (PSMAfore): An open-label, randomised, phase 3 trial. Lancet Oncol. 2025, 26, 948–959. [Google Scholar] [CrossRef]
- Satapathy, S.; Yadav, M.P.; Ballal, S.; Sahoo, R.K.; Bal, C. [177Lu]Lu-PSMA-617 as first-line systemic therapy in patients with metastatic castration-resistant prostate cancer: A real-world study. Eur. J. Nucl. Med. Mol. Imaging 2024, 51, 2495–2503. [Google Scholar] [CrossRef]
- Ling, S.W.; de Lussanet de la Sablonière, Q.; Ananta, M.; de Blois, E.; Koolen, S.L.W.; Drexhage, R.C.; Hofland, J.; Robbrecht, D.G.J.; van der Veldt, A.A.M.; Verburg, F.A.; et al. First real-world clinical experience with [177Lu]Lu-PSMA-I&T in patients with metastatic castration-resistant prostate cancer beyond VISION and TheraP criteria. Eur. J. Nucl. Med. Mol. Imaging 2025, 52, 2034–2040. [Google Scholar] [CrossRef] [PubMed]
- Luna-Gutiérrez, M.; Hernández-Ramírez, R.; Soto-Abundiz, A.; García-Pérez, O.; Ancira-Cortez, A.; López-Buenrostro, S.; Gibbens-Bandala, B.; Soldevilla-Gallardo, I.; Lara-Almazán, N.; Rojas-Pérez, M.; et al. Improving Overall Survival and Quality of Life in Patients with Prostate Cancer and Neuroendocrine Tumors Using 177Lu-iPSMA and 177Lu-DOTATOC: Experience after 905 Treatment Doses. Pharmaceutics 2023, 15, 1988. [Google Scholar] [CrossRef] [PubMed]
- Matthias, J.; Engelhardt, J.; Schäfer, M.; Bauder-Wüst, U.; Meyer, P.T.; Haberkorn, U.; Eder, M.; Kopka, K.; Hell, S.W.; Eder, A.C. Cytoplasmic Localization of Prostate-Specific Membrane Antigen Inhibitors May Confer Advantages for Targeted Cancer Therapies. Cancer Res. 2021, 81, 2234–2245. [Google Scholar] [CrossRef]
- Wüstemann, T.; Bauder-Wüst, U.; Schäfer, M.; Eder, M.; Benesova, M.; Leotta, K.; Kratochwil, C.; Haberkorn, U.; Kopka, K.; Mier, W. Design of Internalizing PSMA-specific Glu-ureido-based Radiotherapeuticals. Theranostics 2016, 6, 1085–1095. [Google Scholar] [CrossRef]
- Runge, R.; Naumann, A.; Miederer, M.; Kotzerke, J.; Brogsitter, C. Up-Regulation of PSMA Expression In Vitro as Potential Application in Prostate Cancer Therapy. Pharmaceuticals 2023, 16, 538. [Google Scholar] [CrossRef] [PubMed]
- Eder, M.; Schäfer, M.; Bauder-Wüst, U.; Haberkorn, U.; Eisenhut, M.; Kopka, K. Preclinical evaluation of a bispecific low-molecular heterodimer targeting both PSMA and GRPR for improved PET imaging and therapy of prostate cancer. Prostate 2014, 74, 659–668. [Google Scholar] [CrossRef]
- Wirtz, M.; Schmidt, A.; Schottelius, M.; Robu, S.; Günther, T.; Schwaiger, M.; Wester, H.J. Synthesis and in vitro and in vivo evaluation of urea-based PSMA inhibitors with increased lipophilicity. EJNMMI Res. 2018, 8, 84. [Google Scholar] [CrossRef]
- Cai, P.; Tang, S.; Xia, L.; Wang, Y.; Liu, Y.; Feng, Y.; Liu, N.; Chen, Y.; Zhou, Z. Improve the Biodistribution with Bulky and Lipophilic Modification Strategies on Lys-Urea-Glu-Based PSMA-Targeting Radiotracers. Mol. Pharm. 2023, 20, 1435–1446. [Google Scholar] [CrossRef]
- Moosavian, S.A.; Amin, M.R.; Alavizadeh, S.H.; Jaafari, M.R.; Kesharwani, P.; Sahebkar, A. Formulation and development of ACUPA-targeting PEGylated nanoliposomes for treatment of prostate cancer. Tissue Cell 2025, 95, 102830. [Google Scholar] [CrossRef]
- Zhu, C.; Bandekar, A.; Sempkowski, M.; Banerjee, S.R.; Pomper, M.G.; Bruchertseifer, F.; Morgenstern, A.; Sofou, S. Nanoconjugation of PSMA-Targeting Ligands Enhances Perinuclear Localization and Improves Efficacy of Delivered Alpha-Particle Emitters against Tumor Endothelial Analogues. Mol. Cancer Ther. 2016, 15, 106–113. [Google Scholar] [CrossRef]
- Dhull, A.; Pulukuri, A.J.; Dar, A.I.; Palmer, N.J.; Gonzalez, J.C.; Rani, A.; Sharma, R.; Berkman, C.E.; Sharma, A. Prostate-Specific Membrane Antigen (PSMA)-Directed Dendrimer-Camptothecin Conjugate for Targeted Treatment of Prostate Cancer. ACS Appl. Nano Mater. 2025, 8, 19012–19034. [Google Scholar] [CrossRef]
- Lee, A.S. Stress-induced translocation of the endoplasmic reticulum chaperone GRP78/BiP and its impact on human disease and therapy. Proc. Natl. Acad. Sci. USA 2025, 122, e2412246122. [Google Scholar] [CrossRef]
- Agalakova, N.I. Modulation of Endoplasmic Reticulum Stress in Experimental Anti-Cancer Therapy. Int. J. Mol. Sci. 2025, 26, 6407. [Google Scholar] [CrossRef]
- Li, T.; Fu, J.; Cheng, J.; Elfiky, A.A.; Wei, C.; Fu, J. New progresses on cell surface protein HSPA5/BiP/GRP78 in cancers and COVID-19. Front. Immunol. 2023, 14, 1166680. [Google Scholar] [CrossRef] [PubMed]
- Mandelin, J.; Cardó-Vila, M.; Driessen, W.H.; Mathew, P.; Navone, N.M.; Lin, S.H.; Logothetis, C.J.; Rietz, A.C.; Dobroff, A.S.; Proneth, B.; et al. Selection and identification of ligand peptides targeting a model of castrate-resistant osteogenic prostate cancer and their receptors. Proc. Natl. Acad. Sci. USA 2015, 112, 3776–3781. [Google Scholar] [CrossRef] [PubMed]
- Lin, M.; Mo, Y.; Li, C.M.; Liu, Y.Z.; Feng, X.P. GRP78 as a potential therapeutic target in cancer treatment: An updated review of its role in chemoradiotherapy resistance of cancer cells. Med. Oncol. 2025, 42, 49. [Google Scholar] [CrossRef]
- Huang, Y.Y.; Pu, L.J.; Song, L.L.; Ma, L.Y.; Liu, H.; Jiang, C.C. Knockdown of GRP78 enhances cell death by cisplatin and radiotherapy in nasopharyngeal cells. Anti-Cancer Drugs 2016, 27, 726–733. [Google Scholar] [CrossRef] [PubMed]
- Blond-Elguindi, S.; Cwirla, S.E.; Dower, W.J.; Lipshutz, R.J.; Sprang, S.R.; Sambrook, J.F.; Gething, M.J. Affinity panning of a library of peptides displayed on bacteriophages reveals the binding specificity of BiP. Cell 1993, 75, 717–728. [Google Scholar] [CrossRef]
- Kapoor, V.; Dadey, D.Y.; Nguyen, K.; Wildman, S.A.; Hoye, K.; Khudanyan, A.; Bandara, N.; Rogers, B.E.; Thotala, D.; Hallahan, D.E. Tumor-Specific Binding of Radiolabeled PEGylated GIRLRG Peptide: A Novel Agent for Targeting Cancers. J. Nucl. Med. 2016, 57, 1991–1997. [Google Scholar] [CrossRef] [PubMed]
- Zhao, H.; Meng, H.; Wen, J.; Wang, C.; Liu, J.; Huang, G. Noninvasive Classification of Human Triple Negative Breast Cancer by PET Imaging with GRP78-Targeted Molecular Probe [68Ga]DOTA-VAP. Mol. Imaging Biol. 2020, 22, 772–779. [Google Scholar] [CrossRef] [PubMed]
- Kim, Y.; Lillo, A.M.; Steiniger, S.C.; Liu, Y.; Ballatore, C.; Anichini, A.; Mortarini, R.; Kaufmann, G.F.; Zhou, B.; Felding-Habermann, B.; et al. Targeting heat shock proteins on cancer cells: Selection, characterization, and cell-penetrating properties of a peptidic GRP78 ligand. Biochemistry 2006, 45, 9434–9444. [Google Scholar] [CrossRef]
- Bhattacharjee, R.; Devi, A.; Mishra, S. Molecular docking and molecular dynamics studies reveal structural basis of inhibition and selectivity of inhibitors EGCG and OSU-03012 toward glucose regulated protein-78 (GRP78) overexpressed in glioblastoma. J. Mol. Model. 2015, 21, 272. [Google Scholar] [CrossRef]
- Yang, J.; Zong, Y.; Su, J.; Li, H.; Zhu, H.; Columbus, L.; Zhou, L.; Liu, Q. Conformation transitions of the polypeptide-binding pocket support an active substrate release from Hsp70s. Nat. Commun. 2017, 8, 1201. [Google Scholar] [CrossRef] [PubMed]
- PDB. Available online: https://www.wwpdb.org/pdb?id=pdb_00005o5t (accessed on 1 September 2025).
- Davis, M.I.; Bennett, M.J.; Thomas, L.M.; Bjorkman, P.J. Crystal structure of prostate-specific membrane antigen, a tumor marker and peptidase. Proc. Natl. Acad. Sci. USA 2005, 102, 5981–5986. [Google Scholar] [CrossRef]
- Patel, S.; Mackerell, A.D., Jr.; Brooks, C.L., 3rd. CHARMM fluctuating charge force field for proteins: II protein/solvent properties from molecular dynamics simulations using a nonadditive electrostatic model. J. Comput. Chem. 2004, 25, 1504–1514. [Google Scholar] [CrossRef]
- Fatriansyah, J.F.; Boanerges, A.G.; Kurnianto, S.R.; Pradana, A.F.; Fadilah Surip, S.N. Molecular Dynamics Simulation of Ligands from Anredera cordifolia (Binahong) to the Main Protease (Mpro) of SARS-CoV-2. J. Trop. Med. 2022, 2022, 1178228. [Google Scholar] [CrossRef]
- Gao, Y.; Li, Y.; Li, Y.; Yuan, L.; Zhou, Y.; Li, J.; Zhao, L.; Zhang, C.; Li, X.; Liu, Y. PSMA-mediated endosome escape-accelerating polymeric micelles for targeted therapy of prostate cancer and the real time tracing of their intracellular trafficking. Nanoscale 2015, 7, 597–612. [Google Scholar] [CrossRef]
- Maes, J.; Gesquière, S.; De Spiegeleer, A.; Maes, A.; Van de Wiele, C. Prostate-Specific Membrane Antigen Biology and Pathophysiology in Prostate Carcinoma, an Update: Potential Implications for Targeted Imaging and Therapy. Int. J. Mol. Sci. 2024, 25, 9755. [Google Scholar] [CrossRef]
- Rajasekaran, S.A.; Anilkumar, G.; Oshima, E.; Bowie, J.U.; Liu, H.; Heston, W.; Bander, N.H.; Rajasekaran, A.K. A novel cytoplasmic tail MXXXL motif mediates the internalization of prostate-specific membrane antigen. Mol. Biol. Cell 2003, 14, 4835–4845. [Google Scholar] [CrossRef]
- Fu, X.; Liu, J.; Liu, D.; Zhou, Y.; Guo, Y.; Wang, Z.; Yang, S.; He, W.; Chen, P.; Wang, X.; et al. Glucose-regulated protein 78 modulates cell growth, epithelial-mesenchymal transition, and oxidative stress in the hyperplastic prostate. Cell Death Dis. 2022, 13, 78. [Google Scholar] [CrossRef]
- Liu, Z.; Ha, D.P.; Lin, L.L.; Qi, L.; Lee, A.S. Requirements for nuclear GRP78 transcriptional regulatory activities and interaction with nuclear GRP94. J. Biol. Chem. 2025, 301, 108369. [Google Scholar] [CrossRef]
- Vig, S.; Buitinga, M.; Rondas, D.; Crèvecoeur, I.; van Zandvoort, M.; Waelkens, E.; Eizirik, D.L.; Gysemans, C.; Baatsen, P.; Mathieu, C.; et al. Cytokine-induced translocation of GRP78 to the plasma membrane triggers a pro-apoptotic feedback loop in pancreatic beta cells. Cell Death Dis. 2019, 10, 309. [Google Scholar] [CrossRef]
- Ni, M.; Zhou, H.; Wey, S.; Baumeister, P.; Lee, A.S. Regulation of PERK signaling and leukemic cell survival by a novel cytosolic isoform of the UPR regulator GRP78/BiP. PLoS ONE 2009, 4, e6868. [Google Scholar] [CrossRef] [PubMed]
- Smith, S.M.; Smith, C.J. Capturing the mechanics of clathrin-mediated endocytosis. Curr. Opin. Struct. Biol. 2022, 75, 102427. [Google Scholar] [CrossRef] [PubMed]
- Li, M.; Zhao, B.; Wang, J.; Zhang, H.; Yang, Y.; Song, S.; Psifidi, A.; Wu, W.; Loor, J.J.; Xu, C. Caveolin 1 in bovine liver is associated with fatty acid-induced lipid accumulation and the endoplasmic reticulum unfolded protein response: Role in fatty liver development. J. Dairy Sci. 2025, 108, 1007–1021. [Google Scholar] [CrossRef]
- Liao, Y.; Liu, Y.; Xia, X.; Shao, Z.; Huang, C.; He, J.; Jiang, L.; Tang, D.; Liu, J.; Huang, H. Targeting GRP78-dependent AR-V7 protein degradation overcomes castration-resistance in prostate cancer therapy. Theranostics 2020, 10, 3366–3381. [Google Scholar] [CrossRef]
- Bao, L.; Wang, X.; Liao, X.; Li, D.; Li, C.; Dai, N.; Dai, X.; Yang, J.; Hu, N.; Tong, X.; et al. Pyrotinib targeted EGFR/GRP78 mediated cell apoptosis in high EGFR gene copy number gastric cancer. J. Exp. Clin. Cancer Res. 2025, 44, 245. [Google Scholar] [CrossRef]
- Olsson, M.H.; Søndergaard, C.R.; Rostkowski, M.; Jensen, J.H. PROPKA3: Consistent Treatment of Internal and Surface Residues in Empirical pKa Predictions. J. Chem. Theory Comput. 2011, 7, 525–537. [Google Scholar] [CrossRef] [PubMed]
- Jorgensen, W.L.; Maxwell, D.S.; Tirado-Rives, J. Development and Testing of the OPLS All-Atom Force Field on Conformational Energetics and Properties of Organic Liquids. J. Am. Chem. Soc. 1996, 118, 11225–11236. [Google Scholar] [CrossRef]
- Phillips, J.C.; Hardy, D.J.; Maia, J.D.C.; Stone, J.E.; Ribeiro, J.V.; Bernardi, R.C.; Buch, R.; Fiorin, G.; Hénin, J.; Jiang, W.; et al. Scalable molecular dynamics on CPU and GPU architectures with NAMD. J. Chem. Phys. 2020, 153, 044130. [Google Scholar] [CrossRef]
- McNutt, A.T.; Francoeur, P.; Aggarwal, R.; Masuda, T.; Meli, R.; Ragoza, M.; Sunseri, J.; Koes, D.R. GNINA 1.0: Molecular docking with deep learning. J. Cheminform. 2021, 13, 43. [Google Scholar] [CrossRef] [PubMed]
- Sokolowska, I.; Woods, A.G.; Gawinowicz, M.A.; Roy, U.; Darie, C.C. Identification of a potential tumor differentiation factor receptor candidate in prostate cancer cells. FEBS J. 2012, 279, 2579–2594. [Google Scholar] [CrossRef] [PubMed]
- de Ridder, G.; Ray, R.; Misra, U.K.; Pizzo, S.V. Modulation of the unfolded protein response by GRP78 in prostate cancer. Methods Enzymol. 2011, 489, 245–257. [Google Scholar] [CrossRef] [PubMed]












| Ligands | CNN-Docking Score Mean (kcal·mol−1) [SD] | CNN Affinity Mean (pKi) [SD] |
|---|---|---|
| DOTA-HYNIC-iGRP78 | −11.0 [2.3] | 9.4 [0.5] |
| DOTA-HYNIC-iPSMA-iGRP78 | −14.0 [0.8] | 10 [0.4] |
| ATP | −5.1 [0.6] | 8.5 [0.1] |
| Ligands | CNN-Docking Score Mean (kcal·mol−1) [SD] | CNN Affinity Mean (pKi) [SD] |
|---|---|---|
| DOTA-HYNIC-iPSMA | −13.9 [0.3] | 10.2 [0.14] |
| DOTA-HYNIC-iPSMA-iGRP78 | −17.0 [1.1] | 11.5 [0.23] |
| 9OT | −15.0 [0.2] | 11.0 [0.24] |
Disclaimer/Publisher’s Note: The statements, opinions and data contained in all publications are solely those of the individual author(s) and contributor(s) and not of MDPI and/or the editor(s). MDPI and/or the editor(s) disclaim responsibility for any injury to people or property resulting from any ideas, methods, instructions or products referred to in the content. |
© 2025 by the authors. Licensee MDPI, Basel, Switzerland. This article is an open access article distributed under the terms and conditions of the Creative Commons Attribution (CC BY) license (https://creativecommons.org/licenses/by/4.0/).
Share and Cite
Azorín-Vega, E.; García-Arce, D.; Luna-Gutiérrez, M.; Ocampo-García, B.; Trujillo-Benítez, D.; Vidal-Limon, A.; Rodríguez-Martínez, G.; Durán-Pastén, M.L.; Meléndez-Alafort, L.; Ferro-Flores, G. Enhancing Cytosolic Internalization of [177Lu]Lu–iPSMA in Prostate Cancer Cells: The Effect of Conjugating a GRP78 Inhibitor to the Radiotherapeutic Molecule. Int. J. Mol. Sci. 2025, 26, 11783. https://doi.org/10.3390/ijms262411783
Azorín-Vega E, García-Arce D, Luna-Gutiérrez M, Ocampo-García B, Trujillo-Benítez D, Vidal-Limon A, Rodríguez-Martínez G, Durán-Pastén ML, Meléndez-Alafort L, Ferro-Flores G. Enhancing Cytosolic Internalization of [177Lu]Lu–iPSMA in Prostate Cancer Cells: The Effect of Conjugating a GRP78 Inhibitor to the Radiotherapeutic Molecule. International Journal of Molecular Sciences. 2025; 26(24):11783. https://doi.org/10.3390/ijms262411783
Chicago/Turabian StyleAzorín-Vega, Erika, Daniel García-Arce, Myrna Luna-Gutiérrez, Blanca Ocampo-García, Diana Trujillo-Benítez, Abraham Vidal-Limon, Griselda Rodríguez-Martínez, María Luisa Durán-Pastén, Laura Meléndez-Alafort, and Guillermina Ferro-Flores. 2025. "Enhancing Cytosolic Internalization of [177Lu]Lu–iPSMA in Prostate Cancer Cells: The Effect of Conjugating a GRP78 Inhibitor to the Radiotherapeutic Molecule" International Journal of Molecular Sciences 26, no. 24: 11783. https://doi.org/10.3390/ijms262411783
APA StyleAzorín-Vega, E., García-Arce, D., Luna-Gutiérrez, M., Ocampo-García, B., Trujillo-Benítez, D., Vidal-Limon, A., Rodríguez-Martínez, G., Durán-Pastén, M. L., Meléndez-Alafort, L., & Ferro-Flores, G. (2025). Enhancing Cytosolic Internalization of [177Lu]Lu–iPSMA in Prostate Cancer Cells: The Effect of Conjugating a GRP78 Inhibitor to the Radiotherapeutic Molecule. International Journal of Molecular Sciences, 26(24), 11783. https://doi.org/10.3390/ijms262411783

