Docetaxel and Gemcitabine Modulate Cellular Effects and Long Non-Coding RNA Profiles in Non-Small Cell Lung Cancer
Abstract
1. Introduction
2. Results
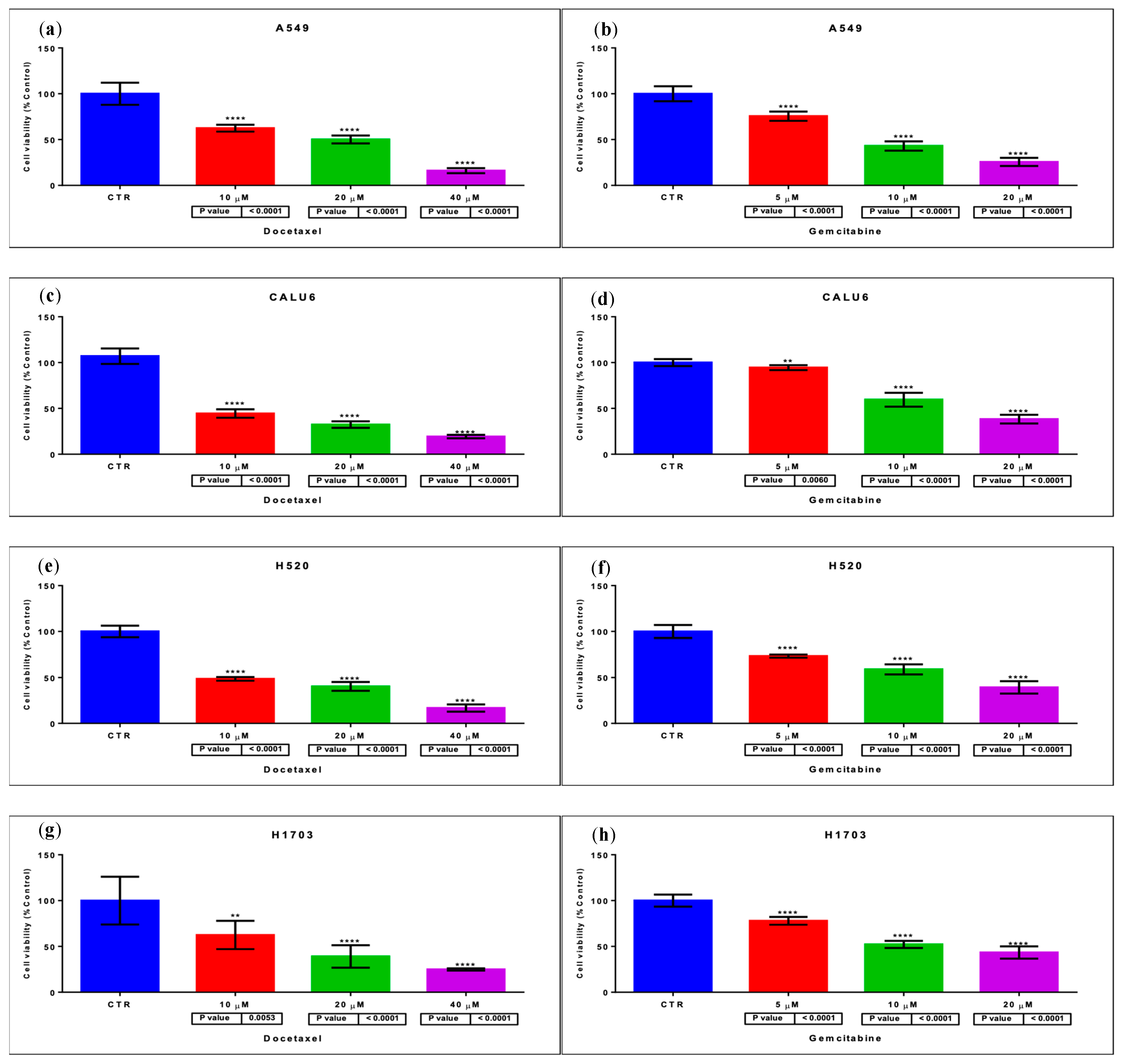
2.1. GEM and DOC Induce Cell Death in NSCLC Cell Lines at Specific IC50 Values
2.2. Singular Treatment with GEM/DOC Induces Apoptosis in NSCLC Cell Lines
2.3. GEM and DOC Alter Cancer Cell Migration in NSCLC Cell Lines
2.4. Singular Treatment with GEM/DOC Induces Cell Cycle Arrest in Different Instances in NSCLC Cell Lines
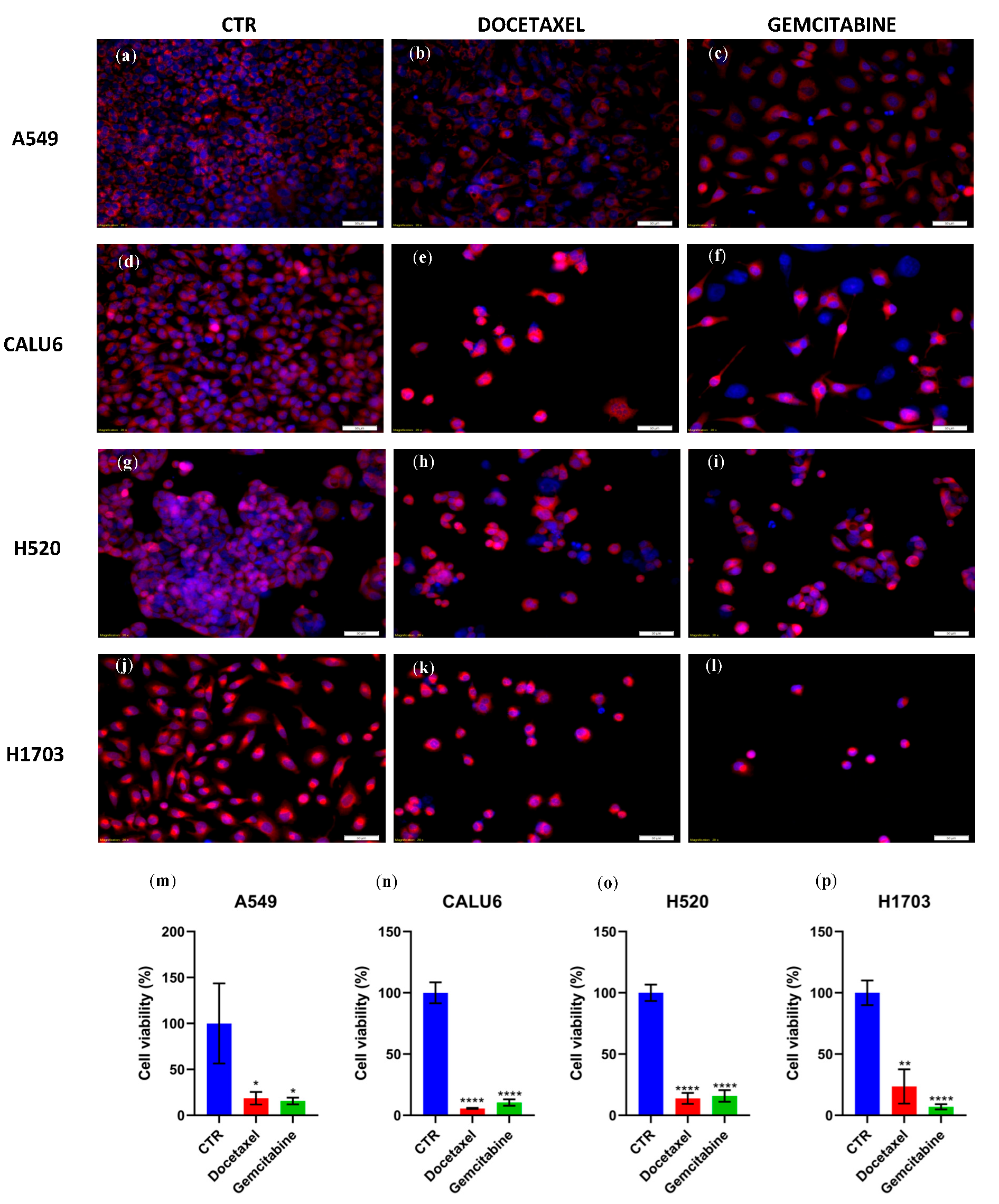
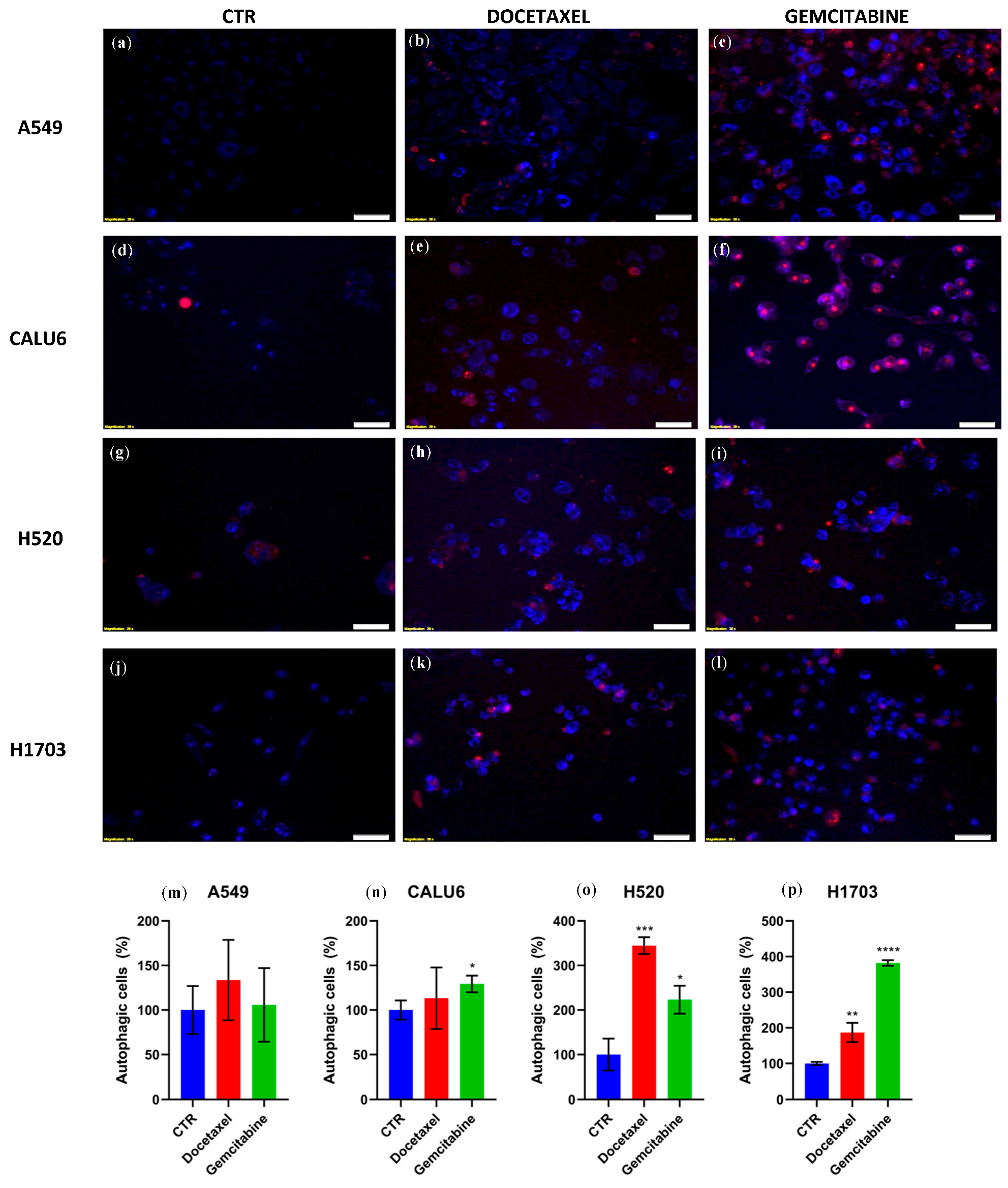
2.5. Singular Treatment with GEM and DOC Induces Signals Consistent with Autophagic Activity in NSCLC Cell Lines
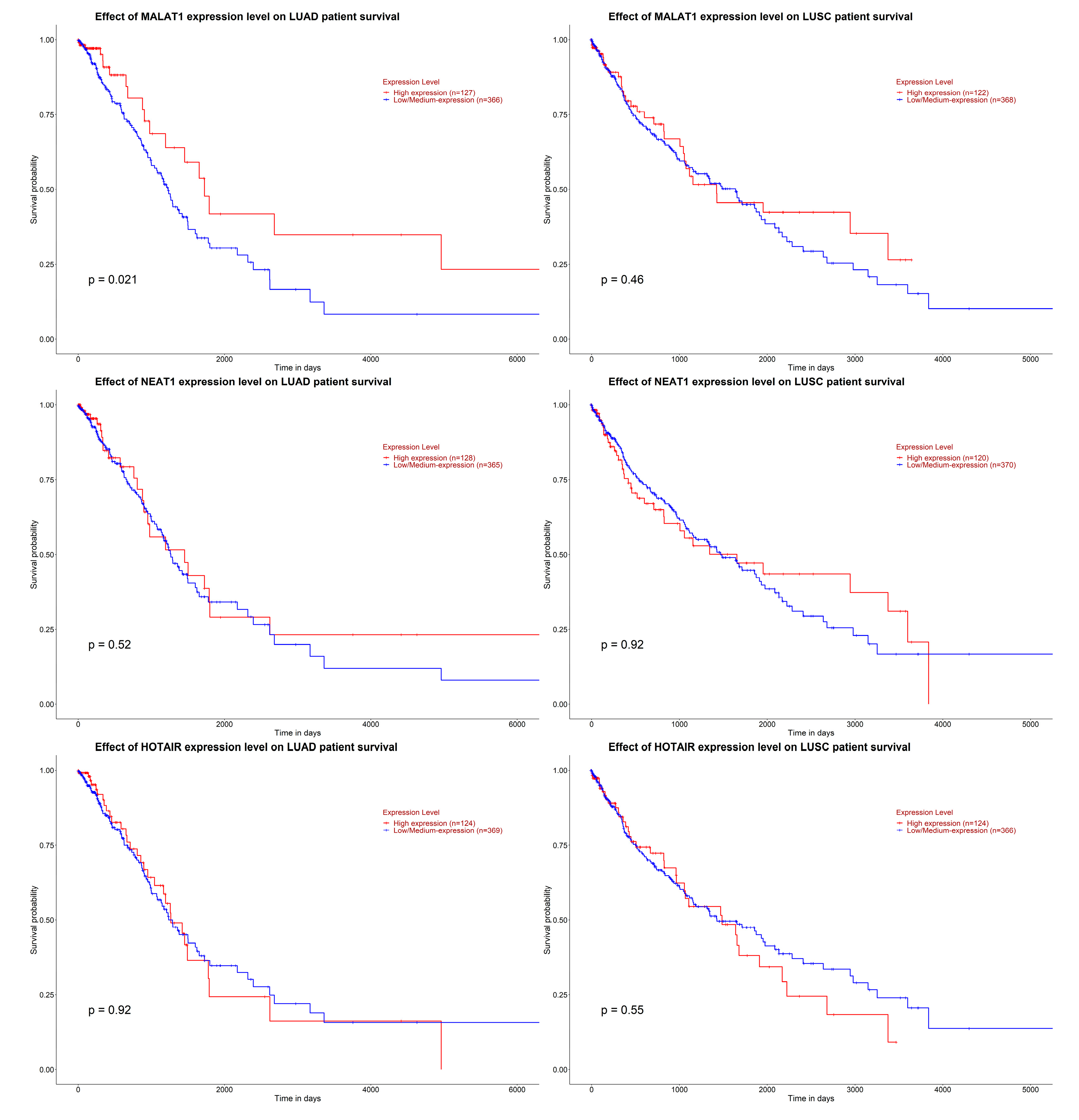
2.6. Singular Treatment with GEM/DOC Induces LncRNA Expression Profile Alteration in NSCLC Cell Lines
3. Discussion
4. Materials and Methods
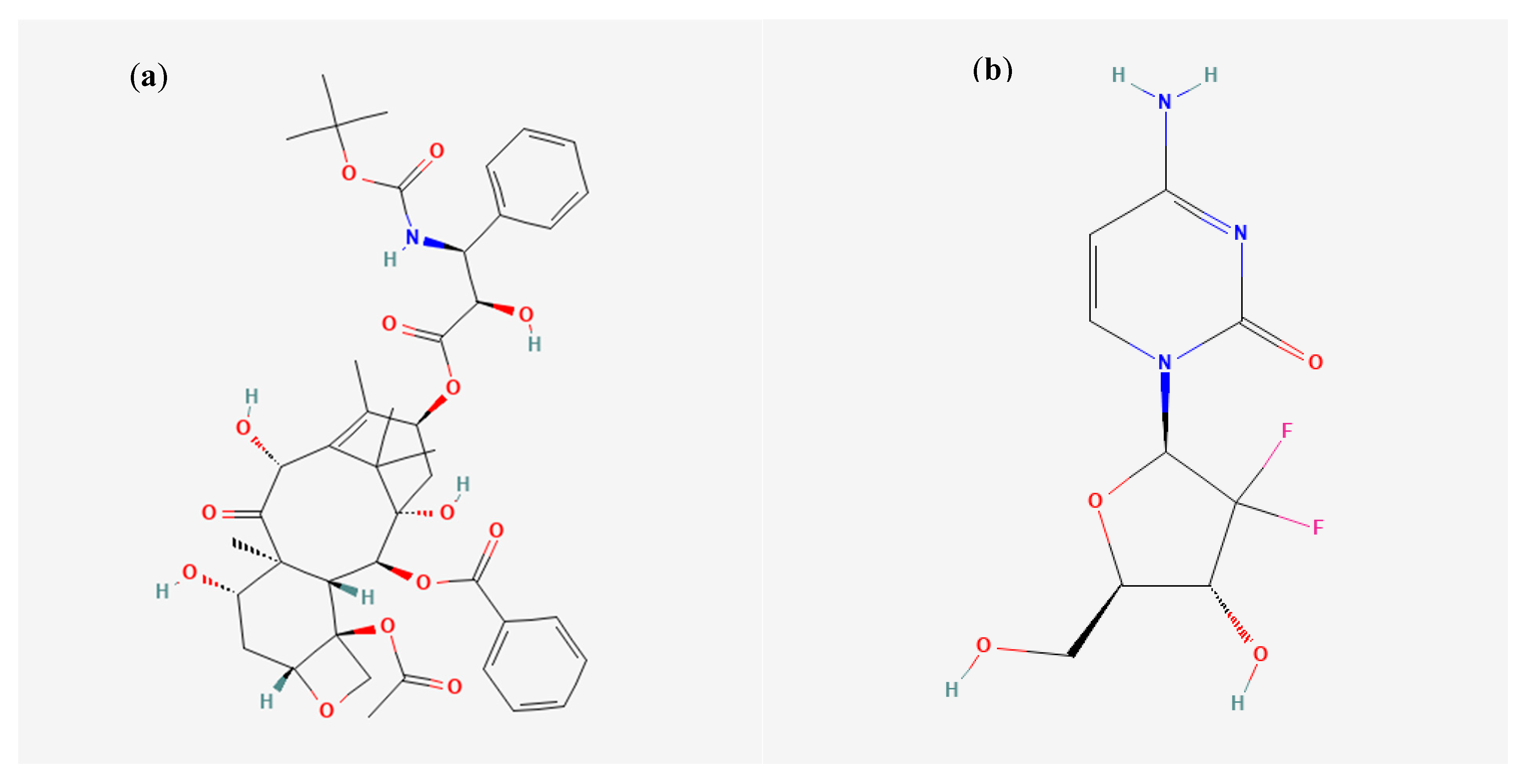
4.1. Cell Lines and Cell Treatments
4.2. MTT Cell Viability Assay
4.3. Cell Viability Assay
4.4. Cell Cycle Assay
4.5. Autophagy Assay
4.6. Scratch Assay
4.7. RNA Extraction
4.8. DNAse Treatment
4.9. RNA Quantification: Nanodrop
4.10. Long Non-Coding RNAs Gene Expression Assessment via Polymerase Chain Reaction Assay
4.11. Statistical Analysis
5. Conclusions
Author Contributions
Funding
Institutional Review Board Statement
Informed Consent Statement
Data Availability Statement
Acknowledgments
Conflicts of Interest
Abbreviations
| ESMO | European Society for Medical Oncology |
| NSCLC | non-small-cell lung cancer |
| SCLC | small-cell lung cancer |
| GEM | gemcitabine |
| DOC | docetaxel |
| MALAT1 | metastasis-associated lung adenocarcinoma transcript 1 |
| NEAT1 | nuclear-enriched abundant transcript 1 |
| HOTAIR | HOX Transcript Antisense RNA |
| LCC | large-cell carcinoma |
| LUSC | lung squamous-cell carcinoma |
| LUAD | lung adenocarcinoma |
| LncRNA | long non-coding RNA |
| IC50 | half-maximal inhibitory concentration |
| MTT | 3-(4,5-dimethylthiazol-2-yl)-2,5-diphenyltetrazolium bromide |
| TMRE | tetramethylrhodamin ethyl ester |
| µM | micromolar |
| µm2 | micrometer squared |
| CTR | control |
| H | hour |
| G0/G1 phase | gap 0/gap 1 phase |
| G2/M phase | gap 2/mitosis phase |
| S phase | synthesis phase |
| MDC | monodansylcadaverine |
| PI | propidium iodide |
| GEPIA2 | gene expression profiling interactive analysis 2 |
| UALCAN | University of Alabama at Birmingham cancer data analysis portal |
| qRT-PCR | quantitative reverse-transcription polymerase chain reaction |
| ECOG | Eastern Cooperative Oncology Group |
| PD-L1 | programmed cell death-ligand 1 |
| OS | overall survival |
| BSC | best supportive care |
| HR | hazard ratio |
| PFS | progression-free survival |
| RR | response rate |
| dFdC | difluorodeoxycytidine |
| DNA | deoxyribonucleic acid |
| Pt | platinum |
| ZEB1 | zinc finger E-box-binding homeobox 1 |
| TNM | tumor, node, metastasis staging system |
| miR | microRNA |
| HMGB2 | high-mobility group box 2 |
| EMT | epithelial to mesenchymal transition |
| HIF-2α | hypoxia-inducible factor 2 alpha |
| SOX9 | SRY-Box Transcription Factor 9 |
| EZH2 | enhancer of zeste homolog 2 |
| H3K27 | histone H3 lysine 27 |
| EGFR | epidermal growth factor receptor |
| TKI | tyrosine kinase inhibitor |
| DMEM-F12 | Dulbecco’s modified eagle medium: nutrient mixture F-12 |
| FBS | fetal bovine serum |
| MEM | minimum essential medium |
| RPMI | Roswell Park Memorial Institute medium |
| CO2 | carbon dioxide |
| DMSO | dimethyl sulfoxide |
References
- Bray, F.; Laversanne, M.; Sung, H.; Ferlay, J.; Siegel, R.L.; Soerjomataram, I.; Jemal, A. Global cancer statistics 2022: GLOBOCAN estimates of incidence and mortality worldwide for 36 cancers in 185 countries. CA Cancer J. Clin. 2024, 74, 229–263. [Google Scholar] [CrossRef]
- Tirpe, A.-A.; Nutu, A.; Busuioc, C.; Pop, O.-L.; Berindan-Neagoe, I. MicroRNAs and lung cancer: Overview of essential pathways and somatic mutations in cancer progression. Front. Oncol. 2025, 15, 1677471. [Google Scholar] [CrossRef]
- Zappa, C.; Mousa, S.A. Non-small cell lung cancer: Current treatment and future advances. Transl. Lung Cancer Res. 2016, 5, 288–300. [Google Scholar] [CrossRef] [PubMed]
- Iurca, I.; Tirpe, A.; Zimta, A.A.; Moldovan, C.; Gulei, D.; Slaby, O.; Condorelli, G.; Berindan-Neagoe, I. Macrophages Interaction and MicroRNA Interplay in the Modulation of Cancer Development and Metastasis. Front. Immunol. 2020, 11, 870. [Google Scholar] [CrossRef] [PubMed]
- Hendriks, L.E.; Kerr, K.M.; Menis, J.; Mok, T.S.; Nestle, U.; Passaro, A.; Peters, S.; Planchard, D.; Smit, E.F.; Solomon, B.J.; et al. Oncogene-addicted metastatic non-small-cell lung cancer: ESMO Clinical Practice Guideline for diagnosis, treatment and follow-up. Ann. Oncol. 2023, 34, 339–357. [Google Scholar] [CrossRef]
- Postmus, P.E.; Kerr, K.M.; Oudkerk, M.; Senan, S.; Waller, D.A.; Vansteenkiste, J.; Escriu, C.; Peters, S.; Committee, E.G. Early and locally advanced non-small-cell lung cancer (NSCLC): ESMO Clinical Practice Guidelines for diagnosis, treatment and follow-up. Ann. Oncol. 2017, 28, iv1–iv21. [Google Scholar] [CrossRef] [PubMed]
- Hendriks, L.E.; Kerr, K.M.; Menis, J.; Mok, T.S.; Nestle, U.; Passaro, A.; Peters, S.; Planchard, D.; Smit, E.F.; Solomon, B.J.; et al. Non-oncogene-addicted metastatic non-small-cell lung cancer: ESMO Clinical Practice Guideline for diagnosis, treatment and follow-up. Ann. Oncol. 2023, 34, 358–376. [Google Scholar] [CrossRef]
- Hendriks, L.E.L.; Cortiula, F.; Martins-Branco, D.; Mariamidze, E.; Popat, S.; Reck, M.; Committee, E.G. Updated treatment recommendations for systemic treatment: From the ESMO non-oncogene addicted-metastatic NSCLC Living Guideline (dagger). Ann. Oncol. 2025, 36, 1223–1227. [Google Scholar] [CrossRef]
- Pienta, K.J. Preclinical mechanisms of action of docetaxel and docetaxel combinations in prostate cancer. Semin. Oncol. 2001, 28, 3–7. [Google Scholar] [CrossRef]
- Toschi, L.; Finocchiaro, G.; Bartolini, S.; Gioia, V.; Cappuzzo, F. Role of gemcitabine in cancer therapy. Future Oncol. 2005, 1, 7–17. [Google Scholar] [CrossRef]
- Ahmad, M.; Weiswald, L.B.; Poulain, L.; Denoyelle, C.; Meryet-Figuiere, M. Involvement of lncRNAs in cancer cells migration, invasion and metastasis: Cytoskeleton and ECM crosstalk. J. Exp. Clin. Cancer Res. 2023, 42, 173. [Google Scholar] [CrossRef]
- Kacso, T.P.; Zahu, R.; Tirpe, A.; Paslari, E.V.; Nutu, A.; Berindan-Neagoe, I. Reactive Oxygen Species and Long Non-Coding RNAs, an Unexpected Crossroad in Cancer Cells. Int. J. Mol. Sci. 2022, 23, 10133. [Google Scholar] [CrossRef]
- Tirpe, A.; Gulei, D.; Tirpe, G.R.; Nutu, A.; Irimie, A.; Campomenosi, P.; Pop, L.A.; Berindan-Neagoe, I. Beyond Conventional: The New Horizon of Anti-Angiogenic microRNAs in Non-Small Cell Lung Cancer Therapy. Int. J. Mol. Sci. 2020, 21, 8002. [Google Scholar] [CrossRef]
- Zeng, Y.; Wang, G.; Zhou, C.F.; Zhang, H.B.; Sun, H.; Zhang, W.; Zhou, H.H.; Liu, R.; Zhu, Y.S. LncRNA Profile Study Reveals a Three-LncRNA Signature Associated With the Pathological Complete Response Following Neoadjuvant Chemotherapy in Breast Cancer. Front. Pharmacol. 2019, 10, 574. [Google Scholar] [CrossRef]
- Wang, D.; Zhang, S.; Zhao, M.; Chen, F. LncRNA MALAT1 accelerates non-small cell lung cancer progression via regulating miR-185-5p/MDM4 axis. Cancer Med. 2020, 9, 9138–9149. [Google Scholar] [CrossRef] [PubMed]
- Chen, L.M.; Niu, Y.D.; Xiao, M.; Li, X.J.; Lin, H. LncRNA NEAT1 regulated cell proliferation, invasion, migration and apoptosis by targeting has-miR-376b-3p/SULF1 axis in non-small cell lung cancer. Eur. Rev. Med. Pharmacol. Sci. 2020, 24, 4810–4821. [Google Scholar] [CrossRef]
- Jiang, C.; Yang, Y.; Yang, Y.; Guo, L.; Huang, J.; Liu, X.; Wu, C.; Zou, J. Long Noncoding RNA (lncRNA) HOTAIR Affects Tumorigenesis and Metastasis of Non-Small Cell Lung Cancer by Upregulating miR-613. Oncol. Res. 2018, 26, 725–734. [Google Scholar] [CrossRef] [PubMed]
- Li, W.; Li, Y.; Zhang, H.; Liu, M.; Gong, H.; Yuan, Y.; Shi, R.; Zhang, Z.; Liu, C.; Chen, C.; et al. HOTAIR promotes gefitinib resistance through modification of EZH2 and silencing p16 and p21 in non-small cell lung cancer. J. Cancer 2021, 12, 5562–5572. [Google Scholar] [CrossRef] [PubMed]
- Goyal, H.; Kaur, J. Long non-coding RNAs and autophagy: Dual drivers of Hepatocellular carcinoma progression. Cell Death Discov. 2025, 11, 376. [Google Scholar] [CrossRef]
- Tang, Z.; Kang, B.; Li, C.; Chen, T.; Zhang, Z. GEPIA2: An enhanced web server for large-scale expression profiling and interactive analysis. Nucleic Acids Res. 2019, 47, W556–W560. [Google Scholar] [CrossRef]
- Chandrashekar, D.S.; Bashel, B.; Balasubramanya, S.A.H.; Creighton, C.J.; Ponce-Rodriguez, I.; Chakravarthi, B.; Varambally, S. UALCAN: A Portal for Facilitating Tumor Subgroup Gene Expression and Survival Analyses. Neoplasia 2017, 19, 649–658. [Google Scholar] [CrossRef] [PubMed]
- Chandrashekar, D.S.; Karthikeyan, S.K.; Korla, P.K.; Patel, H.; Shovon, A.R.; Athar, M.; Netto, G.J.; Qin, Z.S.; Kumar, S.; Manne, U.; et al. UALCAN: An update to the integrated cancer data analysis platform. Neoplasia 2022, 25, 18–27. [Google Scholar] [CrossRef] [PubMed]
- Roszkowski, K.; Pluzanska, A.; Krzakowski, M.; Smith, A.P.; Saigi, E.; Aasebo, U.; Parisi, A.; Pham Tran, N.; Olivares, R.; Berille, J. A multicenter, randomized, phase III study of docetaxel plus best supportive care versus best supportive care in chemotherapy-naive patients with metastatic or non-resectable localized non-small cell lung cancer (NSCLC). Lung Cancer 2000, 27, 145–157. [Google Scholar] [CrossRef]
- Kudoh, S.; Takeda, K.; Nakagawa, K.; Takada, M.; Katakami, N.; Matsui, K.; Shinkai, T.; Sawa, T.; Goto, I.; Semba, H.; et al. Phase III study of docetaxel compared with vinorelbine in elderly patients with advanced non-small-cell lung cancer: Results of the West Japan Thoracic Oncology Group Trial (WJTOG 9904). J. Clin. Oncol. 2006, 24, 3657–3663. [Google Scholar] [CrossRef]
- Ricci, S.; Antonuzzo, A.; Galli, L.; Tibaldi, C.; Bertuccelli, M.; Lopes Pegna, A.; Petruzzelli, S.; Algeri, R.; Bonifazi, V.; Fioretto, M.L.; et al. Gemcitabine monotherapy in elderly patients with advanced non-small cell lung cancer: A multicenter phase II study. Lung Cancer 2000, 27, 75–80. [Google Scholar] [CrossRef]
- He, X.; Li, C.; Wu, X.; Yang, G. Docetaxel inhibits the proliferation of non-small-cell lung cancer cells via upregulation of microRNA-7 expression. Int. J. Clin. Exp. Pathol. 2015, 8, 9072–9080. [Google Scholar]
- Pace, E.; Melis, M.; Siena, L.; Bucchieri, F.; Vignola, A.M.; Profita, M.; Gjomarkaj, M.; Bonsignore, G. Effects of gemcitabine on cell proliferation and apoptosis in non-small-cell lung cancer (NSCLC) cell lines. Cancer Chemother. Pharmacol. 2000, 46, 467–476. [Google Scholar] [CrossRef] [PubMed]
- Wu, H.M.; Shao, L.J.; Jiang, Z.F.; Liu, R.Y. Gemcitabine-Induced Autophagy Protects Human Lung Cancer Cells from Apoptotic Death. Lung 2016, 194, 959–966. [Google Scholar] [CrossRef]
- Kuo, W.T.; Tu, D.G.; Chiu, L.Y.; Sheu, G.T.; Wu, M.F. High pemetrexed sensitivity of docetaxel-resistant A549 cells is mediated by TP53 status and downregulated thymidylate synthase. Oncol. Rep. 2017, 38, 2787–2795. [Google Scholar] [CrossRef]
- Xu, B.; Tao, Z.Z. Piceatannol Enhances the Antitumor Efficacy of Gemcitabine in Human A549 Non-Small Cell Lung Cancer Cells. Oncol. Res. 2014, 22, 213–217. [Google Scholar] [CrossRef] [PubMed]
- Fu, T.; Ma, X.; Du, S.L.; Ke, Z.Y.; Wang, X.C.; Yin, H.H.; Wang, W.X.; Liu, Y.J.; Liang, A.L. p21 promotes gemcitabine tolerance in A549 cells by inhibiting DNA damage and altering the cell cycle. Oncol. Lett. 2023, 26, 471. [Google Scholar] [CrossRef]
- Effendi, W.I.; Nagano, T.; Tachihara, M.; Umezawa, K.; Kiriu, T.; Dokuni, R.; Katsurada, M.; Yamamoto, M.; Kobayashi, K.; Nishimura, Y. Synergistic interaction of gemcitabine and paclitaxel by modulating acetylation and polymerization of tubulin in non-small cell lung cancer cell lines. Cancer Manag. Res. 2019, 11, 3669–3679. [Google Scholar] [CrossRef]
- Zhao, Y.; Wang, Z.; Shi, X.; Liu, T.; Yu, W.; Ren, X.; Zhao, H. Effect of Chemotherapeutics on In Vitro Immune Checkpoint Expression in Non-Small Cell Lung Cancer. Technol. Cancer Res. Treat. 2023, 22, 15330338231202307. [Google Scholar] [CrossRef]
- Chen, C.P.; Hung, T.H.; Hsu, P.C.; Yeh, C.N.; Huang, W.K.; Pan, Y.R.; Hsiao, Y.T.; Lo, C.H.; Wu, C.E. Synergistic effects of MK-1775 and gemcitabine on cytotoxicity in non-small cell lung cancer. Heliyon 2024, 10, e40299. [Google Scholar] [CrossRef] [PubMed]
- Wang, X.; Chen, F.; Gou, S. Combination of DN604 with gemcitabine led to cell apoptosis and cell motility inhibition via p38 MAPK signaling pathway in NSCLC. Bioorganic. Chem. 2020, 104, 104234. [Google Scholar] [CrossRef]
- Zhao, S.; Xing, S.; Wang, L.; Ouyang, M.; Liu, S.; Sun, L.; Yu, H. IL-1beta is involved in docetaxel chemoresistance by regulating the formation of polyploid giant cancer cells in non-small cell lung cancer. Sci. Rep. 2023, 13, 12763. [Google Scholar] [CrossRef]
- Pan, B.; Chen, D.; Huang, J.; Wang, R.; Feng, B.; Song, H.; Chen, L. HMGB1-mediated autophagy promotes docetaxel resistance in human lung adenocarcinoma. Mol. Cancer 2014, 13, 165. [Google Scholar] [CrossRef]
- Hu, L.; Tang, J.; Huang, X.; Zhang, T.; Feng, X. Hypoxia exposure upregulates MALAT-1 and regulates the transcriptional activity of PTB-associated splicing factor in A549 lung adenocarcinoma cells. Oncol. Lett. 2018, 16, 294–300. [Google Scholar] [CrossRef] [PubMed]
- Tirpe, A.A.; Gulei, D.; Ciortea, S.M.; Crivii, C.; Berindan-Neagoe, I. Hypoxia: Overview on Hypoxia-Mediated Mechanisms with a Focus on the Role of HIF Genes. Int. J. Mol. Sci. 2019, 20, 6140. [Google Scholar] [CrossRef] [PubMed]
- Wang, H.; Wang, L.; Sun, G. MiRNA and Potential Prognostic Value in Non-Smoking Females with Lung Adenocarcinoma by High-Throughput Sequencing. Int. J. Gen. Med. 2023, 16, 683–696. [Google Scholar] [CrossRef]
- Schmidt, L.H.; Spieker, T.; Koschmieder, S.; Schaffers, S.; Humberg, J.; Jungen, D.; Bulk, E.; Hascher, A.; Wittmer, D.; Marra, A.; et al. The long noncoding MALAT-1 RNA indicates a poor prognosis in non-small cell lung cancer and induces migration and tumor growth. J. Thorac. Oncol. 2011, 6, 1984–1992. [Google Scholar] [CrossRef] [PubMed]
- Tang, Y.; Xiao, G.; Chen, Y.; Deng, Y. LncRNA MALAT1 promotes migration and invasion of non-small-cell lung cancer by targeting miR-206 and activating Akt/mTOR signaling. Anti Cancer Drugs 2018, 29, 725–735. [Google Scholar] [CrossRef]
- Tiansheng, G.; Junming, H.; Xiaoyun, W.; Peixi, C.; Shaoshan, D.; Qianping, C. lncRNA Metastasis-Associated Lung Adenocarcinoma Transcript 1 Promotes Proliferation and Invasion of Non-Small Cell Lung Cancer Cells via Down-Regulating miR-202 Expression. Cell J. 2020, 22, 375–385. [Google Scholar] [CrossRef]
- Feng, C.; Zhao, Y.; Li, Y.; Zhang, T.; Ma, Y.; Liu, Y. LncRNA MALAT1 Promotes Lung Cancer Proliferation and Gefitinib Resistance by Acting as a miR-200a Sponge. Arch. Bronconeumol. 2019, 55, 627–633. [Google Scholar] [CrossRef]
- Li, S.; Yang, J.; Xia, Y.; Fan, Q.; Yang, K.P. Long Noncoding RNA NEAT1 Promotes Proliferation and Invasion via Targeting miR-181a-5p in Non-Small Cell Lung Cancer. Oncol. Res. 2018, 26, 289–296. [Google Scholar] [CrossRef] [PubMed]
- Kong, X.; Zhao, Y.; Li, X.; Tao, Z.; Hou, M.; Ma, H. Overexpression of HIF-2alpha-Dependent NEAT1 Promotes the Progression of Non-Small Cell Lung Cancer through miR-101-3p/SOX9/Wnt/beta-Catenin Signal Pathway. Cell Physiol. Biochem. 2019, 52, 368–381. [Google Scholar] [CrossRef] [PubMed]
- Sun, C.; Li, S.; Zhang, F.; Xi, Y.; Wang, L.; Bi, Y.; Li, D. Long non-coding RNA NEAT1 promotes non-small cell lung cancer progression through regulation of miR-377-3p-E2F3 pathway. Oncotarget 2016, 7, 51784–51814. [Google Scholar] [CrossRef]
- Liu, Z.; Sun, M.; Lu, K.; Liu, J.; Zhang, M.; Wu, W.; De, W.; Wang, Z.; Wang, R. The long noncoding RNA HOTAIR contributes to cisplatin resistance of human lung adenocarcinoma cells via downregualtion of p21(WAF1/CIP1) expression. PLoS ONE 2013, 8, e77293. [Google Scholar] [CrossRef]
- Liu, M.; Zhang, H.; Li, Y.; Wang, R.; Li, Y.; Zhang, H.; Ren, D.; Liu, H.; Kang, C.; Chen, J. HOTAIR, a long noncoding RNA, is a marker of abnormal cell cycle regulation in lung cancer. Cancer Sci. 2018, 109, 2717–2733. [Google Scholar] [CrossRef]
- Bica, C.; Tirpe, A.; Nutu, A.; Ciocan, C.; Chira, S.; Gurzau, E.S.; Braicu, C.; Berindan-Neagoe, I. Emerging roles and mechanisms of semaphorins activity in cancer. Life Sci. 2023, 318, 121499. [Google Scholar] [CrossRef]
- Zheng, H.C. The molecular mechanisms of chemoresistance in cancers. Oncotarget 2017, 8, 59950–59964. [Google Scholar] [CrossRef] [PubMed]
- Wang, Q.; Li, X.; Ren, S.; Su, C.; Li, C.; Li, W.; Yu, J.; Cheng, N.; Zhou, C. HOTAIR induces EGFR-TKIs resistance in non-small cell lung cancer through epithelial-mesenchymal transition. Lung Cancer 2020, 147, 99–105. [Google Scholar] [CrossRef] [PubMed]
- Ciccolini, J.; Serdjebi, C.; Peters, G.J.; Giovannetti, E. Pharmacokinetics and pharmacogenetics of Gemcitabine as a mainstay in adult and pediatric oncology: An EORTC-PAMM perspective. Cancer Chemother. Pharmacol. 2016, 78, 1–12. [Google Scholar] [CrossRef] [PubMed]
- Kenmotsu, H.; Tanigawara, Y. Pharmacokinetics, dynamics and toxicity of docetaxel: Why the Japanese dose differs from the Western dose. Cancer Sci. 2015, 106, 497–504. [Google Scholar] [CrossRef]
- Sousa-Pimenta, M.; Estevinho, L.M.; Szopa, A.; Basit, M.; Khan, K.; Armaghan, M.; Ibrayeva, M.; Sonmez Gurer, E.; Calina, D.; Hano, C.; et al. Chemotherapeutic properties and side-effects associated with the clinical practice of terpene alkaloids: Paclitaxel, docetaxel, and cabazitaxel. Front. Pharmacol. 2023, 14, 1157306. [Google Scholar] [CrossRef]
- National Center for Biotechnology Information. PubChem Compound Summary for CID 148124, Docetaxel. Available online: https://pubchem.ncbi.nlm.nih.gov/compound/Docetaxel (accessed on 13 July 2025).
- National Center for Biotechnology Information. PubChem Compound Summary for CID 60750, Gemcitabine. Available online: https://pubchem.ncbi.nlm.nih.gov/compound/Gemcitabine (accessed on 13 July 2025).












| A549 | G0/G1 | S | G2/M | Sub-G0/G1 |
|---|---|---|---|---|
| DOC vs. CTR | <0.0001 | 0.0233 | 0.0143 | 0.0006 |
| GEM vs. CTR | 0.0019 | 0.0159 | <0.0001 | <0.0001 |
| CALU6 | ||||
| DOC vs. CTR | <0.0001 | 0.0051 | 0.0691 | 0.0002 |
| GEM vs. CTR | 0.0003 | 0.9514 | 0.0038 | 0.0044 |
| H520 | ||||
| DOC vs. CTR | 0.0010 | 0.1353 | 0.1137 | 0.0008 |
| GEM vs. CTR | 0.0017 | 0.0287 | 0.0003 | 0.0052 |
| H1703 | ||||
| DOC vs. CTR | <0.0001 | 0.0139 | <0.0001 | - |
| GEM vs. CTR | 0.0011 | 0.0160 | <0.0001 | - |
| Treatment | Cell Line | Reported IC50 | References |
|---|---|---|---|
| Docetaxel | A549 | 7.6 ± 1.8 nmol/L | [29] |
| CALU-6 | No publications identified for IC50 Docetaxel in CALU-6 cell line. | N/A | |
| H520 | No publications identified for IC50 Docetaxel in H520 cell line. | N/A | |
| H1703 | No publications identified for IC50 Docetaxel in H1703 cell line. | N/A | |
| Gemcitabine | A549 | 391.2 ± 2.7 µM | [30] |
| Varies from 84.2 µM to 26.7 µM (Gemcitabine-resistant cells with p21 knockdown that increased sensitivity to Gemcitabine) | [31] | ||
| 6.6 nM | [32] | ||
| 456.76 ± 37.62 nM | [33] | ||
| CALU-6 | No publications identified for IC50 Gemcitabine in CALU-6 cell line. | N/A | |
| H520 | 46.1 nM | [32] | |
| H1703 | 110.27 ± 3.62 nM | [33] |
| Gene/LncRNA | Function | Primer Sequence |
|---|---|---|
| B2M | Housekeeping | FW-CACCCCCACTGAAAAAGATGAG RW-CCTCCATGATGCTGCTTACATG |
| GAPDH | Housekeeping | FW-AGAACATCATCCCTGCCTCTAC RW-CTGTTGAAGTCAGAGGAGACCA |
| HPRT1 | Housekeeping | FW-TGACACTGGCAAAACAATGCA RW-GGTCCTTTTCACCAGCAAGCT |
| MALAT1 | lncRNA | FW-TGTCCTTATAGGCTGGCCATT RW-AACTGCAGAGTTTGAGTGGTTTT |
| NEAT1 | lncRNA | FW-GAGAAAAGTCCAAAAGGAGCAC RW-GGATGAGGCCTGGTCTTGT |
| HOTAIR-001 | lncRNA | FW-GACAGGGTCTGGGACAGAAG RW-TCCAGGTTCCGGAAATCA |
Disclaimer/Publisher’s Note: The statements, opinions and data contained in all publications are solely those of the individual author(s) and contributor(s) and not of MDPI and/or the editor(s). MDPI and/or the editor(s) disclaim responsibility for any injury to people or property resulting from any ideas, methods, instructions or products referred to in the content. |
© 2025 by the authors. Licensee MDPI, Basel, Switzerland. This article is an open access article distributed under the terms and conditions of the Creative Commons Attribution (CC BY) license (https://creativecommons.org/licenses/by/4.0/).
Share and Cite
Tirpe, A.-A.; Raduly, L.; Zanoaga, O.; Strilciuc, S.; Berindan-Neagoe, I. Docetaxel and Gemcitabine Modulate Cellular Effects and Long Non-Coding RNA Profiles in Non-Small Cell Lung Cancer. Int. J. Mol. Sci. 2025, 26, 11277. https://doi.org/10.3390/ijms262311277
Tirpe A-A, Raduly L, Zanoaga O, Strilciuc S, Berindan-Neagoe I. Docetaxel and Gemcitabine Modulate Cellular Effects and Long Non-Coding RNA Profiles in Non-Small Cell Lung Cancer. International Journal of Molecular Sciences. 2025; 26(23):11277. https://doi.org/10.3390/ijms262311277
Chicago/Turabian StyleTirpe, Andrei-Alexandru, Lajos Raduly, Oana Zanoaga, Stefan Strilciuc, and Ioana Berindan-Neagoe. 2025. "Docetaxel and Gemcitabine Modulate Cellular Effects and Long Non-Coding RNA Profiles in Non-Small Cell Lung Cancer" International Journal of Molecular Sciences 26, no. 23: 11277. https://doi.org/10.3390/ijms262311277
APA StyleTirpe, A.-A., Raduly, L., Zanoaga, O., Strilciuc, S., & Berindan-Neagoe, I. (2025). Docetaxel and Gemcitabine Modulate Cellular Effects and Long Non-Coding RNA Profiles in Non-Small Cell Lung Cancer. International Journal of Molecular Sciences, 26(23), 11277. https://doi.org/10.3390/ijms262311277

