Blood-Count-Derived Inflammatory Biomarkers and Characterization of Super-Responder Profile in Psoriatic Patients Receiving Biological Treatment: A Single-Center Study
Abstract
1. Introduction
2. Results
2.1. Comorbidities
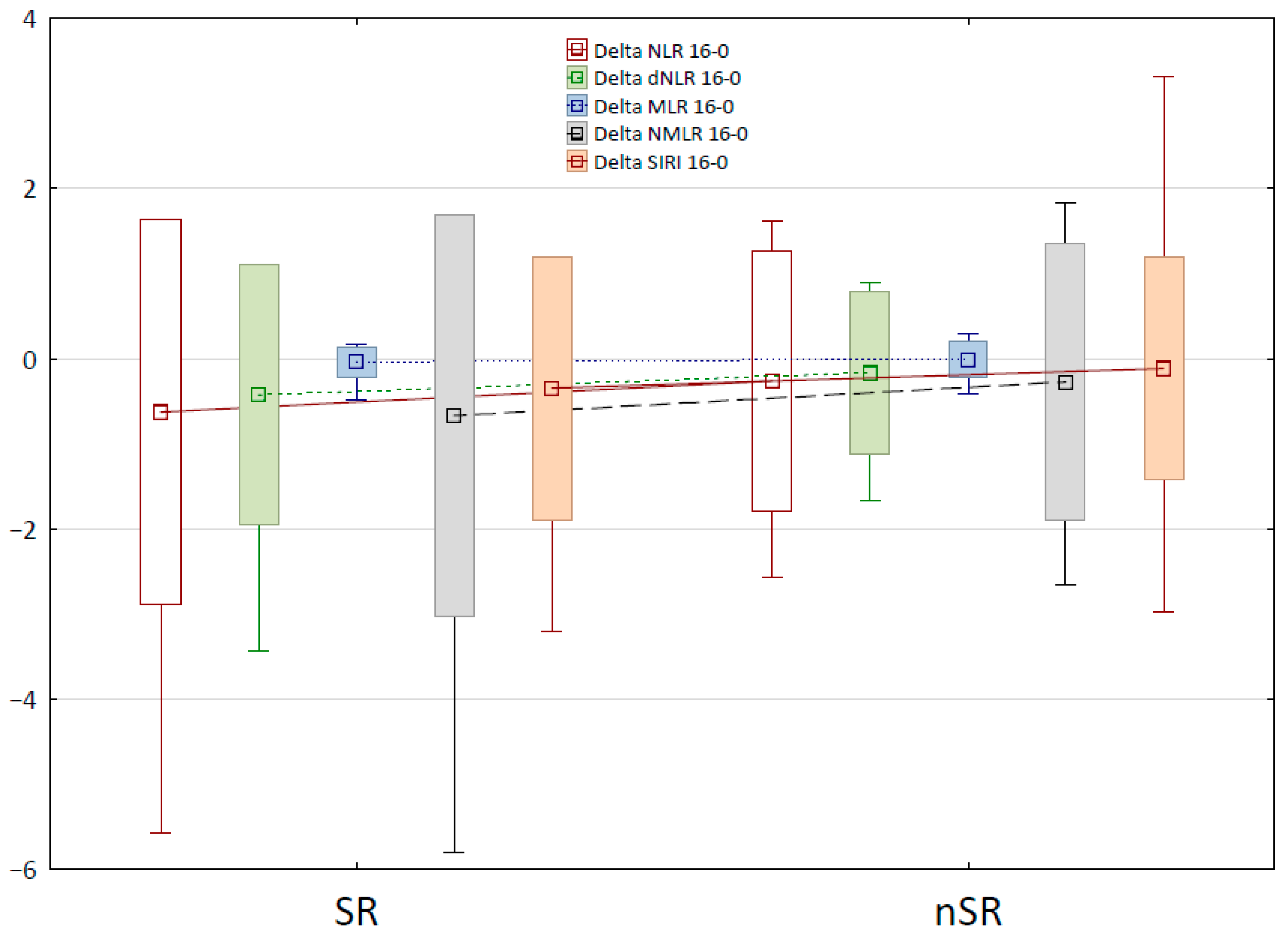
2.2. Non-Specific Inflammatory Markers
3. Discussion
4. Materials and Methods
Statistical Analysis
5. Conclusions
Author Contributions
Funding
Institutional Review Board Statement
Informed Consent Statement
Data Availability Statement
Conflicts of Interest
Abbreviations
| TNF-α | Tumor Necrosis Factor-alpha |
| IL-17 | Interleukin 17 |
| IL-12 | Interleukin 12 |
| IL-23 | Interleukin 23 |
| Il-6 | Interleukin 6 |
| IL-18 | Interleukin 18 |
| IL-13 | Interleukin 13 |
| IL-17R | Receptor for interleukin 17 |
| PsO | Psoriasis |
| UVB-NB | Narrowband Ultraviolet B |
| PUVA | Psoralen Ultra-Violet A |
| SR | Super-responders |
| nSR | Non-super-responders |
| PsA | Psoriatic arthritis |
| TC | Treatment cycles |
| BMI | Body Mass Index |
| MAFLD | Metabolic dysfunction-associated steatotic liver disease |
| NFLD | Non-alcoholic fatty liver disease |
| IL-17A | Subunit A of interleukin 17 |
| IL-17AF | Subunit A and F of interleukin 17 |
| IL-12/23 | Interleukin 12 and 23 |
| Anti-IL-17A | Antagonist of subunit A of interleukin 17 |
| Anti-TNF | Tumor necrosis factor inhibitor |
| Anti-IL-23 | Interleukin 23 antagonist |
| PASI | Psoriasis Area and Severity Index |
| PASI0 | Baseline Psoriasis Area and Severity Index |
| PASI100 | Complete clearance of psoriatic skin lesion |
| PASI90 | 90% reduction in psoriatic skin lesions |
| PASI75 | 75% reduction in psoriatic skin lesions |
| PASI50 | 50% reduction in psoriatic skin lesions |
| PASI16 | Psoriasis Area and Severity Index score at week 16 (±4) of biological treatment |
| PASI40 | Psoriasis Area and Severity Index score at week 40 (±4) of biological treatment |
| AE | Adverse reactions |
| BSA | Body Surface Area |
| BSA0 | Baseline Body Surface Area |
| BSA16 | Body Surface Area at week 16 (±4) of biological treatment |
| BSA40 | Body Surface Area at week 40 (±4) of biological treatment |
| cDLQI | Children’s Dermatology Life Quality Index |
| DLQI | Dermatology Life Quality Index |
| DLQI0 | Baseline Dermatology Life Quality Index score |
| DLQI16 | Dermatology Life Quality Index score at week 16 (±4) of biological treatment |
| DLQI40 | Dermatology Life Quality Index scoreat week 40 (±4) of biological treatment |
| SII | Systemic Immune-Inflammation Index |
| SIRI | Systemic Inflammation Response Index |
| AISI | Aggregate Index of Systemic Inflammation |
| NLR | Neutrophil-to-Lymphocyte ratio |
| PLR | Platelet-to-Lymphocyte ratio |
| NMR | Neutrophil-to-Monocyte ratio |
| dNLR | derived Neutrophil-to-Lymphocyte Ratio |
| NMLR | Neutrophil-to-Monocyte-to-Lymphocyte Ratio |
| MLR | Monocyte-to-Lymphocyte Ratio |
| SNPs | Single Nucleotide Polymorphisms |
| p | p-value |
| Cl | Confidence Interval |
| OR | Odds Ratio |
References
- Secchiero, P.; Rimondi, E.; Marcuzzi, A.; Longo, G.; Papi, C.; Manfredini, M.; Fields, M.; Caruso, L.; Di Caprio, R.; Balato, A. Metabolic Syndrome and Psoriasis: Pivotal Roles of Chronic Inflammation and Gut Microbiota. Int. J. Mol. Sci. 2024, 25, 8098. [Google Scholar] [CrossRef]
- Martínez-Vidal, M.P.; Jovani, V.; Noguera-Pons, J.R.; Álvarez-Cienfuegos, A. Osteoporosis in psoriatic arthritis: Risk factors, insufficiency fractures and its association with the disease activity. Reumatol. Clin. 2024, 20, 8–13. [Google Scholar] [CrossRef] [PubMed]
- Takami, K.; Higashiyama, M.; Tsuji, S. Osteoporosis and osteopenia in patients with psoriatic arthritis: A single-centre retrospective study. Mod. Rheumatol. 2024, 34, 1252–1257. [Google Scholar] [CrossRef]
- Xu, L.; Cao, Y. The impact of body mass index on the relationship between psoriasis and Osteopenia: A mediating analysis based on NHANES (2003–2006). Arch. Dermatol. Res. 2025, 317, 268. [Google Scholar] [CrossRef] [PubMed]
- Prema, S.S.; Shanmugamprema, D. Systemic Psoriasis: From Molecular Mechanisms to Global Management Strategies. Clin. Rev. Allergy Immunol. 2025, 68, 79. [Google Scholar] [CrossRef] [PubMed]
- Mastorino, L.; Susca, S.; Cariti, C.; Verrone, A.; Stroppiana, E.; Ortoncelli, M.; Dapavo, P.; Ribero, S.; Quaglino, P. “Superresponders” at biologic treatment for psoriasis: A comparative study among IL17 and IL23 inhibitors. Exp. Dermatol. 2023, 32, 2187–2188. [Google Scholar] [CrossRef]
- Rompoti, N.; Politou, M.; Stefanaki, I.; Vavouli, C.; Papoutsaki, M.; Neofotistou, A.; Rigopoulos, D.; Stratigos, A.; Nicolaidou, E. Brodalumab in plaque psoriasis: Real-world data on effectiveness, safety and clinical predictive factors of initial response and drug survival over a period of 104 weeks. J. Eur. Acad. Dermatol. Venereol. 2023, 37, 689–697. [Google Scholar] [CrossRef]
- Feldman, S.R.; Merola, J.F.; Pariser, D.M.; Zhang, J.; Zhao, Y.; Mendelsohn, A.M.; Gottlieb, A.B. Clinical implications and predictive values of early PASI responses to tildrakizumab in patients with moderate-to-severe plaque psoriasis. J. Dermatol. Treat. 2022, 33, 1670–1675. [Google Scholar] [CrossRef]
- Loft, N.; Egeberg, A.; Rasmussen, M.K.; Bryld, L.E.; Nissen, C.V.; Dam, T.N.; Ajgeiy, K.K.; Iversen, L.; Skov, L. Prevalence and characterization of treatment-refractory psoriasis and super-responders to biologic treatment: A nationwide study. J. Eur. Acad. Dermatol. Venereol. 2022, 36, 1284–1291. [Google Scholar] [CrossRef]
- Morelli, M.; Galluzzo, M.; Madonna, S.; Scarponi, C.; Scaglione, G.L.; Galluccio, T.; Andreani, M.; Pallotta, S.; Girolomoni, G.; Bianchi, L.; et al. HLA-Cw6 and other HLA-C alleles, as well as MICB-DT, DDX58, and TYK2 genetic variants associate with optimal response to anti-IL-17A treatment in patients with psoriasis. Expert Opin. Biol. Ther. 2021, 21, 259–270. [Google Scholar] [CrossRef]
- Talamonti, M.; D’Adamio, S.; Galluccio, T.; Andreani, M.; Pastorino, R.; Egan, C.G.; Bianchi, L.; Galluzzo, M. High-resolution HLA typing identifies a new ‘super responder’ subgroup of HLA-C*06:02-positive psoriatic patients: HLA-C*06:02/HLA-C*04, in response to ustekinumab. J. Eur. Acad. Dermatol. Venereol. 2019, 33, e364–e367. [Google Scholar] [CrossRef]
- Fratton, Z.; Bighetti, S.; Bettolini, L.; Maione, V.; Arisi, M.; Buligan, C.; Stinco, G.; Errichetti, E. Real-World Experience of Bimekizumab in a Cohort of109 Patients Over 48 Weeks and Identification of Predictive Factors for an Early Super Response and Risk of Adverse Events. Psoriasis 2025, 15, 145–158. [Google Scholar] [CrossRef]
- Thomas, S.E.; van den Reek, J.M.P.A.; Seyger, M.M.B.; de Jong, E.M.G.J. How to define a ‘super-responder’ to biologics in psoriasis studies. Br. J. Dermatol. 2023, 189, 621–622. [Google Scholar] [CrossRef]
- Schäkel, K.; Reich, K.; Asadullah, K.; Pinter, A.; Jullien, D.; Weisenseel, P.; Paul, C.; Gomez, M.; Wegner, S.; Personke, Y.; et al. Early disease intervention with guselkumab in psoriasis leads to a higher rate of stable complete skin clearance (‘clinical super response’): Week 28 results from the ongoing phase IIIb randomized, double-blind, parallel-group, GUIDE study. J. Eur. Acad. Dermatol. Venereol. 2023, 37, 2016–2027. [Google Scholar] [CrossRef]
- Reich, K.; Gordon, K.B.; Strober, B.; Langley, R.G.; Miller, M.; Yang, Y.W.; Shen, Y.K.; You, Y.; Zhu, Y.; Foley, P.; et al. Super-response to guselkumab treatment in patients with moderate-to-severe psoriasis: Age, body weight, baseline Psoriasis Area and Severity Index, and baseline Investigator’s Global Assessment scores predict complete skin clearance. J. Eur. Acad. Dermatol. Venereol. 2022, 36, 2393–2400. [Google Scholar] [CrossRef] [PubMed]
- Mortato, E.; Talamonti, M.; Marcelli, L.; Megna, M.; Raimondo, A.; Caldarola, G.; Bernardini, N.; Balato, A.; Campanati, A.; Esposito, M.; et al. Predictive Factors for Super Responder Status and Long-Term Effectiveness of Guselkumab in Psoriasis: A Multicenter Retrospective Study. Dermatol. Ther. 2025, 15, 1239–1250. [Google Scholar] [CrossRef] [PubMed]
- Liu, Y.; Hu, K.; Duan, Y.; Chen, X.; Zhang, M.; Kuang, Y. Characterization and treatment outcomes of biologic therapy in super-responders and biologic-refractory psoriasis patients: A single-center retrospective study in China. J. Am. Acad. Dermatol. 2025, 93, 46–54. [Google Scholar] [CrossRef] [PubMed]
- Gerdes, S.; Weisenseel, P.; Groß, D.; Ostendorf, R.; Zimmer, S.; Otto, A.; Taut, F.J.H.; Makuc, J.; Jacobsen, S.; Trenkler, N.; et al. Long-Term Impact of Guselkumab on Skin, Sexuality, and Perceived Stigmatization in Patients With Psoriasis in Routine Clinical Practice: Week 76 Effectiveness and Safety Results From the Prospective German Multicenter G-EPOSS Study. J. Dermatol. 2025, 52, 1368–1381. [Google Scholar] [CrossRef]
- Gargiulo, L.; Ibba, L.; Malagoli, P.; Amoruso, F.; Argenziano, G.; Balato, A.; Bardazzi, F.; Burlando, M.; Carrera, C.G.; Damiani, G.; et al. A risankizumab super responder profile identified by long-term real-life observation-IL PSO (ITALIAN LANDSCAPE PSORIASIS). J. Eur. Acad. Dermatol. Venereol. 2024, 38, e113–e116. [Google Scholar] [CrossRef]
- Esposito, M.; Gisondi, P.; Assorgi, C.; Bellinato, F.; Brianti, P.; Burlando, M.; Brunasso, G.; Caccavale, S.; Caldarola, G.; Campione, E.; et al. Super Responder Profile Under Bimekizumab Treatment in Moderate-to-Severe Psoriasis: A Short Term Real-Life Observation-IL PSO (Italian Landscape Psoriasis). Clin. Drug Investig. 2025, 45, 309–315. [Google Scholar] [CrossRef]
- Liu, Y.; Hu, K.; Jian, L.; Duan, Y.; Zhang, M.; Kuang, Y. Comparison between super-responders and non-super-responders in psoriasis under adalimumab treatment: A real-life cohort study on the effectiveness and drug survival over one-year. J. Dermtol. Treat. 2024, 35, 2331782. [Google Scholar] [CrossRef]
- Marcelli, L.; Belcastro, A.; Talamonti, M.; Paganini, C.; Fico, A.; Savastano, L.; Di Raimondo, C.; Vellucci, L.; Bianchi, L.; Galluzzo, M. Characterization of Super-Responder Profile in Chronic Plaque Psoriatic Patients under Guselkumab Treatment: A Long-Term Real-Life Experience. J. Clin. Med. 2024, 13, 5175. [Google Scholar] [CrossRef]
- Ruiz-Villaverde, R.; Vasquez-Chinchay, F.; Rodriguez-Fernandez-Freire, L.C.; Armario-Hita, J.; Pérez-Gil, A.; Galán-Gutiérrez, M. Super-Responders in Moderate-Severe Psoriasis under Guselkumab Treatment: Myths, Realities and Future Perspectives. Life 2022, 12, 1412. [Google Scholar] [CrossRef]
- Mason, K.J.; Alabas, O.A.; Dand, N.; Warren, R.B.; Reynolds, N.J.; Barker, J.N.W.N.; Yiu, Z.Z.N.; Smith, C.H.; Griffiths, C.E.M. BADBIR Study Group. Characteristics of ‘super responders’ and ‘super nonresponders’ to first biologic monotherapy for psoriasis: A nested case-control study. Br. J. Dermatol. 2024, 190, 441–444. [Google Scholar] [CrossRef]
- Menéndez Sánchez, M.; Muñiz de Lucas, A.; Pérez Fernández, E.; Llamas Velasco, M.; Ruiz Genao, D.P.; López Estébaranz, J.L. Super-responders in psoriasis under interleukin 23 inhibitor treatments, experience in two centres. J. Eur. Acad. Dermatol. Venereol. 2023, 37, e1321–e1322. [Google Scholar] [CrossRef] [PubMed]
- Ziolkowska-Banasik, D.; Pastuszczak, M.; Zawadzinska-Halat, K.; Hadas, E.; Bozek, A. Serum IL-18/IL-13 Ratio Predicts Super Response to Secukinumab in Patients with Psoriasis. Int. J. Mol. Sci. 2025, 26, 6432. [Google Scholar] [CrossRef] [PubMed]
- Morariu, S.H.; Cotoi, O.S.; Tiucă, O.M.; Baican, A.; Gheucă-Solovăstru, L.; Decean, H.; Brihan, I.; Silaghi, K.; Biro, V.; Șerban-Pescar, D.; et al. Blood-Count-Derived Inflammatory Markers as Predictors of Response to Biologics and Small-Molecule Inhibitors in Psoriasis: A Multicenter Study. J. Clin. Med. 2024, 13, 3992. [Google Scholar] [CrossRef] [PubMed]
- Wiala, A.; Elhage, K.G.; Leung, A.; Young, A.T.; Gregory, M.; Adrianto, I.; Zhou, L.; Mi, Q.S.; Kumar, S.; Orcales, F.; et al. Patients with PSOriasis and Suppurative Hidradenitis (PSO-SH) share genetic risk factors and are at risk of increased morbidity. J. Am. Acad. Dermatol. 2025, 92, 1303–1311. [Google Scholar] [CrossRef]
- Untaaveesup, S.; Kantagowit, P.; Ungprasert, P.; Kitlertbanchong, N.; Vajiraviroj, T.; Sutithavinkul, T.; Techataweewan, G.; Eiumtrakul, W.; Threethrong, R.; Chaemsupaphan, T.; et al. The Risk of Metabolic Dysfunction-Associated Steatotic Liver Disease in Moderate-to-Severe Psoriasis: A Systematic Review and Meta-Analysis. J. Clin. Med. 2025, 14, 1374. [Google Scholar] [CrossRef]
- Valencia, O.; López, C.; Vanegas-Duarte, E.; Fillizola, C.; Bejarano Ramírez, D.F.; Cortés Mejía, N.A.; Vera Torres, A. Risk Factors Related to the Development of Nonalcoholic Fatty Liver: A Systematic Review. Can. J. Gastroenterol. Hepatol. 2025, 2025, 9964486. [Google Scholar] [CrossRef]
- Costache, D.O.; Blejan, H.; Cojocaru, D.L.; Ioniță, G.A.; Poenaru, M.; Constantin, M.M.; Costache, A.C.; Căruntu, C.; Balaban, D.V.; Costache, R.S. Intersecting Pathways: Nonalcoholic Fatty Liver Disease and Psoriasis Duet-A Comprehensive Review. Int. J. Mol. Sci. 2024, 25, 2660. [Google Scholar] [CrossRef]
- Zhang, M.; Su, W.; Deng, J.; Zhai, B.; Zhu, G.; Gao, R.; Zeng, Q.; Qiu, J.; Bian, Z.; Xiao, H.; et al. Multi-ancestry genome-wide meta-analysis with 472,819 individuals identifies 32 novel risk loci for psoriasis. J. Transl. Med. 2025, 23, 133. [Google Scholar] [CrossRef]
- Talamonti, M.; Galluzzo, M.; van den Reek, J.M.; de Jong, E.M.; Lambert, J.L.W.; Malagoli, P.; Bianchi, L.; Costanzo, A. Role of the HLA-C*06 allele in clinical response to ustekinumab: Evidence from real life in a large cohort of European patients. Br. J. Dermatol. 2017, 177, 489–496. [Google Scholar] [CrossRef]
- Prieto-Pérez, R.; Solano-López, G.; Cabaleiro, T.; Román, M.; Ochoa, D.; Talegón, M.; Baniandrés, O.; López-Estebaranz, J.L.; de la Cueva, P.; Daudén, E.; et al. New polymorphisms associated with response to anti-TNF drugs in patients with moderate-to-severe plaque psoriasis. Pharmacogenomics J. 2018, 18, 70–75. [Google Scholar] [CrossRef]
- Butrón-Bris, B.; Llamas-Velasco, M.; Armesto, S.; Sahuquillo-Torralba, A.; Pujol-Montcusí, J.; Ruiz-Villaverde, R.; Martínez-López, A.; de la Cueva, P.; Romero-Maté, A.; Roustan, G.; et al. Genetic Polymorphisms in Psoriasis: Investigating Genetic Variations for Precise Profiling of Response to Brodalumab in Real-Life Clinical Practice. Actas Dermo-Sifiliogr. 2025, 116, 824–829. [Google Scholar] [CrossRef]
- Andersen, C.S.B.; Kvist-Hansen, A.; Siewertsen, M.; Enevold, C.; Hansen, P.R.; Kaur-Knudsen, D.; Zachariae, C.; Nielsen, C.H.; Loft, N.; Skov, L. Blood Cell Biomarkers of Inflammation and Cytokine Levels as Predictors of Response to Biologics in Patients with Psoriasis. Int. J. Mol. Sci. 2023, 24, 6111. [Google Scholar] [CrossRef] [PubMed]
- Oliveri, C.; Xourafa, A.; Agostino, R.M.; Corigliano, V.; Botindari, A.; Gaudio, A.; Morabito, N.; Allegra, A.; Catalano, A. Exploring the Association Between Platelet Count, the Systemic Immune Inflammation Index, and Fracture Risk in Postmenopausal Women with Osteoporosis: A Cross-Sectional Study. J. Clin. Med. 2025, 14, 5453. [Google Scholar] [CrossRef] [PubMed]
- Firinci, B.; Aydin, C.; Yunluel, D.; Ibrahim, A.; Yigiter, M.; Ahiskalioglu, A. The Role of Systemic Immune-Inflammation Index (SII) in Diagnosing Pediatric Acute Appendicitis. Diagnostics 2025, 15, 1942. [Google Scholar] [CrossRef] [PubMed]
- Zheng, Z.; Liu, J.; He, T.; Liu, C. The predictive value of NLR, SII, and complement 3 in treatment response for systemic lupus erythematosus with immune thrombocytopenia. Front. Immunol. 2025, 16, 1606510. [Google Scholar] [CrossRef]
- Tamer, F.; Edek, Y.C.; Aksakal, A.B. Effect of Treatment with Biologic Agents on the Novel Inflammatory Biomarkers Systemic Immune Inflammation Index and Systemic Inflammation Response Index for Psoriasis. Dermatol. Pract. Concept. 2024, 14, e2024065. [Google Scholar] [CrossRef]
- Çelik, M.S.; Aktaş, H. The effect of IL-17 and IL-23 ınhibitors on hematologicalınflammatory parameters in patients with psoriasis vulgaris. Ir. J. Med. Sci. 2025, 194, 1329–1334. [Google Scholar] [CrossRef]
- Kearney, N.; Gorecki, P.; Acciarri, L.; Buyze, J.; Akawung, A.; Merola, J.F.; Kirby, B. Treatment of Plaque Psoriasis with Guselkumab Reduces Systemic Inflammatory Burden as Measured by Neutrophil/Lymphocyte Ratio, Platelet/Lymphocyte Ratio, and Monocyte/Lymphocyte Ratio: A post hoc Analysis of Three Randomised Clinical Trials. Dermatology 2025, 241, 272–286. [Google Scholar] [CrossRef]
- Tiucă, O.M.; Morariu, S.H.; Mariean, C.R.; Tiucă, R.A.; Nicolescu, A.C.; Cotoi, O.S. Impact of Blood-Count-Derived Inflammatory Markers in Psoriatic Disease Progression. Life 2024, 14, 114. [Google Scholar] [CrossRef]


| Mean Value | Median | Minimum | Maximum | Standard Deviation | |
|---|---|---|---|---|---|
| Age of treatment initiation (years) | 44.00 | 42.00 | 10.00 | 79.00 | 14.74 |
| PASI-0 | 17.57 | 18.60 | 0.00 | 50.00 | 8.16 |
| BSA-0 [%] | 23.43 | 21.00 | 0.00 | 97.00 | 14.42 |
| DLQI-0 [pts] | 20.52 | 21.00 | 0.00 | 31.00 | 5.55 |
| PASI-16 | 1.90 | 0.40 | 0.00 | 24.00 | 3.73 |
| BSA-16 [%] | 2.84 | 0.20 | 0.00 | 28.00 | 5.35 |
| DLQI-16 [pts] | 2.69 | 0.00 | 0.00 | 25.00 | 4.99 |
| PASI-40 | 2.00 | 0.00 | 0.00 | 24.00 | 4.23 |
| BSA-40 [%] | 2.77 | 0.00 | 0.00 | 47.00 | 6.89 |
| DLQI-40 [pts] | 2.41 | 0.00 | 0.00 | 26.00 | 5.10 |
| Duration of biological treatment [in months] | 21.79 | 18.00 | 3.00 | 118.00 | 16.53 |
| AE | 0.14 | 0.00 | 0.00 | 2.00 | 0.41 |
| Number of previously used biological drugs | 0.45 | 0.00 | 0.00 | 5.00 | 0.82 |
| Weight [kg] | 86.13 | 85.00 | 35.00 | 155.00 | 21.65 |
| Height [cm] | 171.99 | 172.50 | 115.00 | 193.00 | 10.50 |
| BMI [kg/m2] | 29.09 | 28.30 | 16.00 | 87.00 | 7.35 |
| Mean Value | Median | Minimum | Maximum | Standard Deviation | |
|---|---|---|---|---|---|
| Methotrexate | 8.29 | 4.00 | 0.00 | 120.00 | 15.57 |
| Ciclosporin | 5.82 | 2.30 | 0.00 | 144.00 | 17.07 |
| Acitretin | 1.05 | 0.00 | 0.00 | 48.00 | 3.72 |
| PUVA therapy | 0.79 | 0.00 | 0.00 | 84.00 | 5.72 |
| UVB-NB phototherapy | 1.14 | 0.00 | 0.00 | 24.00 | 2.37 |
| No. of TC with a Comorbidity | No. of TC with Available Data | Percentage | |
|---|---|---|---|
| Psoriatic arthritis | 55 | 222 | 24.77% |
| Nicotine addiction | 50 | 221 | 22.62% |
| Diabetes melitus | 37 | 222 | 16.67% |
| Hyperlipidemia | 138 | 221 | 62.44% |
| Non-alcoholic fatty liver disease | 45 | 221 | 20.36% |
| Depression/anxiety | 38 | 221 | 17.19% |
| Hypertension | 92 | 221 | 41.63% |
| Chronic kidney disease | 13 | 222 | 5.86% |
| Ischemic heart disease | 12 | 221 | 5.43% |
| Thyroid diseases (hypothyroidism, hyperthyroidism, thyroid nodules) | 25 | 221 | 11.31% |
| Definition | Change Week 0 to 16 SR Group | Change Week 0 to 16 nSR Group | p-Value | |
|---|---|---|---|---|
| NLR | neutrophils/lymphocytes ratio | −0.63 ± 1.13 | −0.26 ± 0.76 | 0.0304 |
| dNLR | neutrophils/(white blood cells − neutrophils) | −0.43 ± 0.77 | −0.17 ± 0.48 | 0.0210 |
| MLR | monocytes/lymphocytes ratio | −0.04 ± 0.09 | −0.01 ± 0.11 | 0.0213 |
| NMLR | (neutrophils + monocytes)/lymphocytes ratio | −0.67 ± 1.18 | −0.28 ± 0.81 | 0.0216 |
| SIRI | (neutrophils × monocytes)/ lymphocytes | −0.35 ± 0.77 | −0.12 ± 0.65 | 0.0453 |
| Research | Biological Drugs | Research Type | Patients | Super-Response Definition | Selected Clinical Factors Increasing the Likelihood of Achieving a Super-Response |
|---|---|---|---|---|---|
| Schäkel K et al. [14] | Guselkumab | Clinical trial | All | PASI100 at weeks 20 and 28 | Younger age, BMI < 25, shorter disease duration, bio-naïve status |
| Reich K et al. [15] | Guselkumab | Clinical trial | All | PASI100 at weeks 20 and 28 | Younger age, lower body weight, lower baseline IGA and PASI score |
| Gerdes S et al. [18] | Guselkumab | Real world | All | PASI100 at weeks 20 and 28 | Shorter disease duration, bio-naïve status |
| Mortato E et al. [16] | Guselkumab | Real world | All | PASI100 at week 20 | BMI < 30, lower baseline PASI, bio-naïve status |
| Ruiz-Villaverde R et al. [23] | Guselkumab | Real world | All | PASI100 at weeks 12 and 24 | No depression, low DLQI and Visual Analogic Scale of Pruritus score |
| Gargiulo L et al. [19] | Risankizumab | Real world | All | PASI100 at week 52 | Shorter disease duration, no cardiometabolic diseases, bio-naïve status, no involvement of difficult-to-treat localizations |
| Loft N et al. [9] | TNF-α inhibitors, Ustekinumab | Real world | All | PASI < 3 skin lesion severity for a period of 6 to 60 months | Lower body weight, lower BMI, fewer comorbidities, lower baseline PASI score, no nicotinism, higher socioeconomic status |
| Mastorino L et al. [6] | Ixekizumab, Secukinumab, Brodalumab, Tildrakizumab, Guselkumab | Real world | Bio-naïve | PASI100 at weeks 16 and 28 | Younger age, lower BMI, earlier onset of psoriasis, no obesity or diabetes, higher baseline PASI score, treatment with Il-17 inhibitors |
| Rompoti N et al. [7] | Brodalumab | Real world | All | PASI < 1 at weeks 12 and 16 | No statistically significant factors were identified |
| Esposito M et al. [20] | Bimekizumab | Real world | All | PASI100 at weeks 4 and 16 | Age ≤ 65, male gender, no comorbidities, baseline PASI score ≥ 10 and <20, bio-naïve status, no arthritis |
| Liu Y et al. [21] | Adalimumab | Real world | All | PASI100 at weeks 12 and PASI < 1 at weeks 24 or 32 | Bio-naïve status (only for reaching PASI90), female gender, no comorbidities, higher HDL level |
| Liu Y et al. [17] | Ixekizumab, Secukinumab, Ustekinumab, Adalimumab, Guselkumab | Real world | Bio-naïve | PASI100 at week 4 and maintaining PASI < 1 to week 48 | BMI < 25, fewer comorbidities, no arthritis, family history of psoriasis, lower triglyceride to high-density lipoprotein cholesterol ratio |
| Mason KJ et al. [24] | Guselkumab, Certolizumab, Golimumab, Onercept, Adalimumab, Ustekinumab, Etanercept, Secukinumab, Infliximab, Ixekizumab, Brodalumab, Efalizumab | Real Word | Bio-naïve | treatment with the first biological drug for ≥5 years in monotherapy | Male gender, fewer comorbidities, lower DLQI score at baseline, type of drug |
| Menéndez Sánchez M et al. [25] | Risankizumab, Guselkumab, Tildrakizumab | Real Word | All | PASI100 at weeks 16 and 24 | Type of drug |
| Ziolkowska-Banasik D et al. [26] | Sekukinumab | Real world | Bio-naïve | PASI100 at week 12 | Lower baseline monocyte count, Higher serum IL-13 concentration at baseline, Lower serum IL-18 concentration at baseline, Lower IL-18/IL-13 ratio, Lower IL-17/IL-13 ratio |
| Fratton Z et al. [12] | Bimekizumab | Real world | All | Early Super Response: PASI100 at week 4 | Lower baseline PASI score, less than 3 biologic treatment failures, no psoriatic nail involvement |
| Feldman SR et al. [8] | Tildrakizumab | Clinical trial | All | PASI90-100 at week 28 | Lower body weight, lower BMI, shorter disease duration |
| Marcelli L et al. [22] | Guselkumab | Real world | All | PASI100 at week 20 | Bio-naïve status, co-occurrence of PsA |
| Morariu SH et al. [27] | Adalimumab, Etanercept, Infliximab, Certolizumab, Ixekizumab, Secukinumab, Tildrakizumab, Risankizumab, Guselkumab, Ustekinumab, Apremilast | Real world | Bio-naïve | PASI100 at week 24 | Scalp involvement, higher baseline dNLR value |
Disclaimer/Publisher’s Note: The statements, opinions and data contained in all publications are solely those of the individual author(s) and contributor(s) and not of MDPI and/or the editor(s). MDPI and/or the editor(s) disclaim responsibility for any injury to people or property resulting from any ideas, methods, instructions or products referred to in the content. |
© 2025 by the authors. Licensee MDPI, Basel, Switzerland. This article is an open access article distributed under the terms and conditions of the Creative Commons Attribution (CC BY) license (https://creativecommons.org/licenses/by/4.0/).
Share and Cite
Hołdrowicz, A.; Zajdel, R.; Żebrowska, A. Blood-Count-Derived Inflammatory Biomarkers and Characterization of Super-Responder Profile in Psoriatic Patients Receiving Biological Treatment: A Single-Center Study. Int. J. Mol. Sci. 2025, 26, 10770. https://doi.org/10.3390/ijms262110770
Hołdrowicz A, Zajdel R, Żebrowska A. Blood-Count-Derived Inflammatory Biomarkers and Characterization of Super-Responder Profile in Psoriatic Patients Receiving Biological Treatment: A Single-Center Study. International Journal of Molecular Sciences. 2025; 26(21):10770. https://doi.org/10.3390/ijms262110770
Chicago/Turabian StyleHołdrowicz, Agnieszka, Radosław Zajdel, and Agnieszka Żebrowska. 2025. "Blood-Count-Derived Inflammatory Biomarkers and Characterization of Super-Responder Profile in Psoriatic Patients Receiving Biological Treatment: A Single-Center Study" International Journal of Molecular Sciences 26, no. 21: 10770. https://doi.org/10.3390/ijms262110770
APA StyleHołdrowicz, A., Zajdel, R., & Żebrowska, A. (2025). Blood-Count-Derived Inflammatory Biomarkers and Characterization of Super-Responder Profile in Psoriatic Patients Receiving Biological Treatment: A Single-Center Study. International Journal of Molecular Sciences, 26(21), 10770. https://doi.org/10.3390/ijms262110770

