Isolation of Primary Human Saphenous Vein Endothelial Cells, Human Internal Thoracic Artery Endothelial Cells, and Human Adipose Tissue-Derived Microvascular Endothelial Cells from Patients Undergoing Coronary Artery Bypass Graft Surgery
Abstract
1. Introduction
2. Results
3. Discussion
4. Materials and Methods
4.1. Reagents and Consumables
- Cell counting chamber slide (DS-50, RWD Life Science Co., Ltd., Shenzhen, China; C10228, Thermo Fisher Scientific, Waltham, MA, USA);
- Petri dish, 100 mm diameter (CCD-100, Wuhan Servicebio Technology Co., Ltd., Wuhan, China);
- Straight anatomical eye tweezer, 100 mm length (J-16-131, Surgicon, Sialkot, Pakistan);
- Eye scissors with straight pointed tips, 115 mm length (J-22-211A, Surgicon, Sialkot, Pakistan);
- Sterile gauze wipes;
- Cell culture flasks, 25 cm2 surface area (T-25, 707003, Wuxi NEST Biotechnology Co., Ltd., Wuxi, China);
- Cell culture flasks, 75 cm2 surface area (T-75, 07-8075, Biologix Plastic (Changzhou) Co., Ltd., Changzhou, China);
- Falcon tubes, 15 mL volume (601002, Wuxi NEST Biotechnology Co., Ltd., Wuxi, China);
- Falcon tubes, 50 mL volume (602002, Wuxi NEST Biotechnology Co., Ltd., Wuxi, China);
- Open-top round-bottom polystyrene flow cytometry tube, 5 mL volume (BIO-U-12-C, Sovtech, Moscow, Russia);
- Syringe, 5 mL volume with 22G needle (0.7 × 40 mm, SFM Hospital Products, Berlin, Germany);
- Single-channel adjustable volume pipette, 1–10 mL volume (4640072, Thermo Fisher Scientific, Waltham, MA, USA);
- Single-channel adjustable volume pipette, 100–1000 μL volume (4640062, Thermo Fisher Scientific, Waltham, MA, USA);
- Single-channel adjustable volume pipette, 20–200 μL volume (4640052, Thermo Fisher Scientific, Waltham, MA, USA);
- Single-channel adjustable volume pipette, 1–10 μL volume (4640012, Thermo Fisher Scientific, Waltham, MA, USA);
- Pipette tips (10 mL, 9402152, Thermo Fisher Scientific, Waltham, MA, USA; 1000 μL, HP2036-4, Yancheng Huida Medical Instruments Co., Ltd., Yancheng, China; 200 μL, HP2032-6, Yancheng Huida Medical Instruments Co., Ltd., Yancheng, China; 10 μL, TP-10P-C-F, Wuhan Servicebio Technology Co., Ltd., Wuhan, China);
- Serum-supplemented EC culture medium (EndoBoost, EB1, AppScience Products, Moscow, Russia; EGM-2MV, Lonza Bioscience, Basel, Switzerland; MesoEndo Growth, Cell Applications, San Diego, CA, USA);
- Growth factor- and fetal bovine serum-enriched EC culture medium (EndoBoost Plus, EB2, AppScience Products, Moscow, Russia);
- Serum-free EC culture medium (EndoLife, EL1, AppScience Products, Moscow, Russia);
- Cell strainers for 50 mL Falcon tubes, 100 μm pore diameter (15-1100, Biologix Plastic (Changzhou) Co., Ltd., Changzhou, China);
- Cell strainers for 50 mL Falcon tubes, 70 μm pore diameter (15-1070, Biologix Plastic (Changzhou) Co., Ltd., Changzhou, China);
- Cell strainers for 50 mL Falcon tubes, 40 μm pore diameter (15-1040, Biologix Plastic (Changzhou) Co., Ltd., Changzhou, China);
- Fibronectin from bovine plasma (1.4.11, Biolot, St. Petersburg, Russia);
- 0,1% gelatin solution (1.4.6, Biolot, St. Petersburg, Russia);
- Collagenase type IV from Clostridium histolyticum (≥160 U/mg, GC305015–100 mg, Wuhan Servicebio Technology Co., Ltd., Wuhan, China);
- Dissociation buffer (0.15% collagenase type IV from Clostridium histolyticum, dissolved in serum-free EndoLife medium);
- Anti-CD31-antibody-coated magnetic beads (Dynabeads CD31, 11155D, Thermo Fisher Scientific, Waltham, MA, USA);
- Dulbecco’s Phosphate-Buffered Saline without calcium and magnesium (1 × DPBS, 1.2.4.7., Biolot, St. Petersburg, Russia);
- 0.25% trypsin-ethylenediaminetetraacetic acid (EDTA) in Hank′s Balanced Salt Solution (HBSS) (P043p, PanEco, Moscow, Russia);
- Fetal bovine serum (FBS, 1.1.6.1, Biolot, St. Petersburg, Russia);
- Trypsin neutralizing solution (5% FBS dissolved in 1 × DPBS, Biolot, St. Petersburg, Russia);
- Magnetic beads wash buffer (0.1% FBS dissolved in 1 × DPBS, Biolot, St. Petersburg, Russia);
- Deionized water (P009p, PanEco, Moscow, Russia);
- Sodium azide (S2002, Sigma-Aldrich, Saint Louis, MO, USA);
- Phycoerythrin-Cyanine 7 (PC7)-conjugated anti-CD146 antibody (mouse monoclonal IgG1, 2405040, Sony Biotechnology, San Jose, CA, USA);
- Fluorescein isothiocyanate (FITC)-conjugated anti-CD31 antibody (mouse monoclonal IgG1, 2115520, Sony Biotechnology, San Jose, CA, USA);
- Alexa Fluor 700 (AF700)-conjugated anti-CD90 antibody (mouse monoclonal IgG1, 2240600, Sony Biotechnology, San Jose, CA, USA);
- Pacific Blue (PB)-conjugated anti-CD34 antibody (mouse monoclonal IgG1, 2317560, Sony Biotechnology, San Jose, CA, USA);
- PC7-conjugated isotype control antibody (mouse monoclonal IgG1, 2600630, Sony Biotechnology, San Jose, CA, USA);
- FITC-conjugated isotype control antibody (mouse monoclonal IgG1, 2600540, Sony Biotechnology, San Jose, CA, USA);
- AF700-conjugated isotype control antibody (mouse monoclonal IgG1, 2600720, Sony Biotechnology, San Jose, CA, USA);
- PB-conjugated isotype control antibody (mouse monoclonal IgG1, 2600755, Sony Biotechnology, San Jose, CA, USA);
- Chambered polymer coverslip with individual wells (µ-Slide 8-well, 80826, Ibidi, Grafelfing, Germany);
- 4% paraformaldehyde solution (158127, Sigma-Aldrich, St. Louis, MO, USA);
- Triton X-100 (SYS-Q0011-1.0, Suzhou Yacoo Science Co., Ltd., Suzhou, China);
- 1% bovine serum albumin solution (P091E, PanEco, Moscow, Russia);
- Unconjugated anti-CD31/PECAM1 antibody (mouse monoclonal IgG1, ab9498, Abcam, Cambridge, UK);
- Unconjugated anti-von Willebrand factor antibody (rabbit monoclonal IgG, A21054, ABclonal Biotechnology Co., Ltd., Wuhan, China);
- Donkey anti-mouse pre-adsorbed Alexa Fluor 555-conjugated antibody (ab150110, Abcam, Cambridge, UK);
- Donkey anti-rabbit pre-adsorbed Alexa Fluor 488-conjugated antibody (ab150061, Abcam, Cambridge, UK);
- 4′,6-diamidino-2-phenylindole (DAPI, 10 µg/mL, 2996, Lumiprobe, Moscow, Russia);
- ProLong Gold Antifade (P36934, Thermo Fisher Scientific, Waltham, MA, USA);
- 96-well tissue culture-treated cell culture plates (703001, Wuxi NEST Biotechnology Co., Ltd., Wuxi, China);
- Cell Cytotoxicity Assay Kit (Colorimetric) (ab112118, Abcam, Cambridge, UK);
- 16-well E-Plates for the xCELLigence Real-Time Cell Analysis Dual Purpose Instrument (300600890, Agilent Technologies, Santa Clara, CA, USA);
- 24-well tissue culture-treated cell culture plates (702001, Wuxi NEST Biotechnology Co., Ltd., Wuxi, China);
- Standard Star Matrigengel (082704, Xiamen Mogengel Biotechnology Co., Ltd., Xiamen, China);
- Eukaryotic bioactive TNF-α (PSG250-50, Sci-Store, Moscow, Russia);
- TRIzol (15596018, Thermo Fisher Scientific, Waltham, MA, USA);
- Radioimmunoprecipitation lysis and extraction buffer (89901, Thermo Fisher Scientific, Waltham, MA, USA);
- Protease and phosphatase inhibitor cocktail (Halt, 78444, Thermo Fisher Scientific, Waltham, MA, USA);
- Bicinchoninic acid protein assay Kit (23227, Thermo Fisher Scientific, Waltham, MA, USA);
- cDNA synthesis kit (M-MuLV–RH First Strand cDNA Synthesis Kit, R01-250, Evrogen, Moscow, Russia);
- Reverse transcriptase (M-MuLV–RH, R03-50, Evrogen, Moscow, Russia);
- Customized primers (Evrogen, Moscow, Russia);
- qPCR master mix (BioMaster HS-qPCR Lo-ROX SYBR Master Mix, MHR031-2040, Biolabmix, Novosibirsk, Russia);
- Molecular weight marker (Chameleon Duo Pre-Stained Protein Ladder, 928–60,000, LI-COR Biosciences, Lincoln, NE, USA);
- Sample buffer for the protein denaturation (OrangeMark, K-023, Molecular Wings, Kemerovo, Russia);
- Polyacrylamide gels for the electrophoretic protein separation (NuPAGE 4–12% Bis-Tris protein gel, NP0335BOX, Thermo Fisher Scientific, Waltham, MA, USA);
- Running buffer for the electrophoretic protein separation (G-RUN MES, K-021, Molecular Wings, Kemerovo, Russia);
- Antioxidant, the electrophoretic protein separation (G-NOOOX, K-027, Molecular Wings, Kemerovo, Russia)
- Nitrocellulose protein transfer stacks (IB23001, Thermo Fisher Scientific, Waltham, MA, USA);
- Protein-free blocking solution (Block’n’Boost!, K-028, Molecular Wings, Kemerovo, Russia);
- iBind Flex Cards (SLF2010, Thermo Fisher Scientific, Waltham, MA, USA);
- Unconjugated anti-ICAM1 antibodies (rabbit monoclonal IgG, A19300, ABclonal Biotechnology Co., Ltd., Wuhan, China; rabbit polyclonal IgG, AF6088, Affinity Biosciences, Cincinnati, OH, USA);
- Unconjugated anti-β-actin antibody (mouse monoclonal IgG, SLM-33036M, Sunlong Biotech, Hangzhou, China);
- IRDye 800CW-conjugated goat anti-rabbit antibody (926-32211, LI-COR Biosciences, Lincoln, NE, USA);
- IRDye 680RD-conjugated goat anti-mouse antibody (926-68070, LI-COR Biosciences, Lincoln, NE, USA);
- Acid Black 1 (A2097, Tokyo Chemical Industry, Tokyo, Japan);
- ELISA kit for measuring human interleukin-6 (A-8768, Vector-Best, Koltsovo, Russia);
- ELISA kit for measuring human MCP-1/CCL2 (A-8782, Vector-Best, Koltsovo, Russia).
4.2. Equipment
- Tissue culture hood (BMB-II-Laminar-S-1.8-NEOTERIC, Laminar Systems, Miass, Russia);
- Microcentrifuge vortex (FV-2400, Biosan, Riga, Latvia);
- EasySep cell separation magnet (18000, STEMCELL Technologies, Vancouver, BC, Canada);
- Benchtop multi-purpose centrifuges (5804R, Eppendorf, Hamburg, Germany; Microfuge 20R, Beckman Coulter, Brea, CA, USA);
- CO2 incubator (MCO-18AIC, Sanyo, Panasonic Corporation, Osaka, Japan);
- Automated cell counter (Countess II, Thermo Fisher Scientific, Waltham, MA, USA);
- Orbital shaker (OS-200, Biosan, Riga, Latvia);
- Flow cytometer (CytoFLEX, Beckman Coulter, Brea, CA, USA);
- Inverted fluorescence microscope (AxioObserver.Z1, Carl Zeiss, Jena, Germany);
- Laser scanning confocal microscope (LSM 700, Carl Zeiss, Jena, Germany);
- Ultraviolet-visible microplate spectrophotometer (Multiskan Sky, Thermo Fisher Scientific, Waltham, MA, USA);
- xCELLigence Real-Time Cell Analysis Dual Purpose (RTCA DP) instrument (Agilent Technologies, Santa Clara, CA, USA);
- Microvolume ultraviolet-visible spectrophotometer (NanoDrop 2000, Thermo Fisher Scientific, Waltham, MA, USA);
- 96-well thermal cycler (Veriti, Thermo Fisher Scientific, Waltham, MA, USA);
- Real-time PCR system (ViiA 7, Thermo Fisher Scientific, Waltham, MA, USA);
- Vertical mini-protein gel electrophoresis system (XCell SureLock Mini-Cell, EI0001, Thermo Fisher Scientific, Waltham, MA, USA);
- Dry blotting system (iBlot 2 Gel Transfer Device, Thermo Fisher Scientific, Waltham, MA, USA);
- Automated Western blot processing system (iBind Flex Western Device, Thermo Fisher Scientific, Waltham, MA, USA);
- Fluorescent Western blot imaging system (Odyssey XF, LI-COR Biosciences, Lincoln, NE, USA);
- Digital microplate shaker (Titramax 1000, Heidolph, Schwabach, Germany);
- Microplate washer (Wellwash Versa, Thermo Fisher Scientific, Waltham, MA, USA);
- Microplate spectrophotometer (Multiskan Sky, Thermo Fisher Scientific, Waltham, MA, USA).
4.3. Coating of Cell Culture Flasks with Fibronectin or Gelatin
4.4. Isolation of HSaVEC and HITAEC
- Excised segments of SV (≈2 cm length) and ITA (≈1 cm length) were immediately placed into the sterile 50 mL Falcon tube pre-filled with ice-cold (4 °C) 5 mL EndoBoost medium and stored at 4 °C until the beginning of the isolation. The time frame from tissue excision to HSaVEC/HITAEC isolation did not exceed 5 h. All working solutions were pre-warmed to 37 °C until the beginning of the isolation.
- SVs and ITAs were placed into the Petri dish with DPBS (pre-warmed to 37 °C), washed to remove the blood, and transferred into another Petri dish with pre-warmed DPBS.
- Using a tweezer and the scissors, we performed a longitudinal section along the entire SV or ITA and washed the blood vessel of any remaining blood if needed.
- Sectioned SVs and ITAs were placed into separate 15 mL Falcon tubes, filled with dissociation buffer (0.15% collagenase type IV in serum-free EndoLife medium) in 1:1 (SV/ITA to dissociation buffer) ratio and incubated at 37 °C for 60 min, with a brief and mild vortexing each 10 min (6 times per incubation) to facilitate EC detachment. After incubation, SVs and ITAs were gently vortexed for 2 min to promote EC detachment and irrigated with the trypsin-neutralizing solution.
- Then, SV and ITA segments were removed from the tubes and were rinsed with trypsin neutralizing solution while being held in the air. The flush was collected into the same 15 mL Falcon tube.
- Detached ECs were centrifuged at 220× g for 5 min at room temperature. The supernatant was discarded, and the cell pellet was resuspended in 1 mL EndoBoost medium, with the subsequent quantification using an automated cell counter.
- After the counting, ECs were resuspended in the EndoBoost medium to a 1.5 × 105 cells per 1 mL concentration, seeded into the T-25 fibronectin-coated cell culture flasks (5 mL medium containing 0.75 × 106 cells per flask), and placed into the CO2 incubator (37 °C, 5% CO2, high humidity).
- If the isolation was successful, HSaVEC and HITAEC colonies (and also single ECs) were visualized within 24 h, and the medium was changed to EndoBoost Plus to accelerate cell growth. HSaVEC/HITAEC cultures were visually inspected daily, and the medium was changed thrice a week. On day 3 or 4, we started to observe elongated, spindle-shaped, or stellate fibroblast-like cells, which were removed at day 6 by the positive selection of the ECs using magnetic beads coated with anti-CD31 antibodies (25 μL beads per ≤1 × 108 cells/mL). Immunomagnetic separation-assisted enrichment of the ECs was repeated until the formation of an EC monolayer. The isolation of HSaVEC and HITAEC is represented in Figure 11.
4.5. Isolation of HMVEC from Subcutaneous Adipose Tissue
- Excised segments of adipose tissue (≈5 cm3) were immediately placed into the sterile 50 mL Falcon tube pre-filled with ice-cold (4 °C) 5 mL EndoBoost medium and stored at 4 °C until the beginning of the isolation. The time frame from tissue excision to the HMVEC isolation did not exceed 5 h. All working solutions were pre-warmed to 37 °C until the beginning of the isolation.
- Adipose tissue fragments were placed into the Petri dish with DPBS (pre-warmed to 37 °C), washed to remove the blood, and transferred into another Petri dish with pre-warmed DPBS.
- Using a tweezer and the scissors, adipose tissue (from 1.0 to 1.5 cm3) was separated from the adjacent stroma (3.5–4.0 cm3) and minced into small pieces. Chopped adipose tissue was placed into 50 mL Falcon tubes, filled with dissociation buffer (0.15% collagenase type IV in serum-free EndoLife medium) in 2:1 (adipose tissue: dissociation buffer) ratio and incubated at 37 °C for 60 min, with a brief and mild vortexing each 10 min (6 times per incubation) to facilitate EC detachment. After the incubation, adipose tissue segments were gently vortexed for 2 min to promote EC detachment, and the tube was filled with trypsin neutralizing solution up to 50 mL.
- Adipose tissue was consecutively removed by filtering the lysate through the cell strainers with 100, 70, and 40 μm pore diameters. For each filtration step, we used a fresh 50 mL Falcon tube.
- The cell suspension was centrifuged at 220× g for 10 min at room temperature. The supernatant was discarded, and the cell pellet was resuspended in 1 mL EndoBoost medium, with the subsequent quantification using the automated cell counter.
- Then, a positive immunomagnetic separation was performed by adding 1 mL cell suspension to anti-CD31-antibody-coated magnetic beads (25 μL beads per ≤1 × 108 cells/mL). After the last washing, bead-bound ECs were resuspended in 1 mL of EndoBoost medium, seeded into T-25 fibronectin-coated cell culture flasks pre-filled with 5 mL EndoBoost medium, and placed in a CO2 incubator (37 °C, 5% CO2, high humidity).
- If the isolation was successful, HMVEC colonies (and also single ECs) were visualized within 24 h, and the medium was changed to EndoBoost Plus to accelerate the cell growth. HMVEC cultures were visually inspected daily, and the medium was changed thrice a week. On day 3 or 4, we started to observe elongated, spindle-shaped, or stellate fibroblast-like cells, which were removed at day 6 by the repeated positive selection of the ECs using magnetic beads coated with anti-CD31 antibodies. Magnetic separation-assisted enrichment of the ECs was repeated again until the formation of an EC monolayer. The isolation of adipose tissue-derived HMVEC is represented in Figure 12.
4.6. Positive Immunomagnetic Separation of HSaVEC, HITAEC, and HMVEC
- Following 3 min vortexing, 25 μL anti-CD31-antibody-coated magnetic beads (sufficient for the treatment of 1 × 108 cells/mL) were resuspended in 1 mL wash buffer in the open-top round-bottom flow cytometry tube, which was then positioned into the EasySep magnet for 1 min to sediment washed magnetic beads. The supernatant was discarded while still holding the tube within the magnet to retain the magnetic beads. The tube was then withdrawn from the magnet, and the washed magnetic beads were resuspended in 25 μL wash buffer.
- After the removal of cell culture medium from T-25 flasks, ECs were washed with 5 mL DPBS and incubated in 1 mL 0.25% trypsin-EDTA at 37 °C for 5 min to detach the cells. If the ECs were poorly detached from the surface, the flasks were gently tapped on the bench to stimulate the detachment. Cell dissociation was controlled by phase contrast microscopy.
- After the cell detachment, trypsin neutralizing solution (3 mL) was added to the flask in order to neutralize 1 mL of 0.25% trypsin-EDTA, and 4 mL of EC suspension were transferred into the 15 mL Falcon tube. The flask was flushed with 2 mL trypsin neutralizing solution into the same tube to collect the residual ECs. The flask was then examined by phase contrast microscopy to ensure complete cell detachment.
- EC suspension (6 mL) was centrifuged at 220× g for 5 min at room temperature. The supernatant was discarded, and the cell pellet was resuspended in 1 mL of trypsin-neutralizing solution. The cell suspension was then quantified using an automated cell counter and transferred into an open-top round-bottom flow cytometry tube.
- Next, 1 mL EC suspension was added to anti-CD31-antibody-coated magnetic beads (25 μL beads per ≤1 × 108 cells/mL) from Step 1, gently vortexed for 10 s, and incubated on the orbital shaker at a low speed for 20 min at 4 °C.
- After the incubation, the flow cytometry tube with a cell suspension was positioned into the EasySep magnet for 2 min at room temperature. The supernatant was discarded while still holding the tube within the magnet so as to retain ECs conjugated with the magnetic beads. After removing the tube from the magnet, ECs bound to the magnetic beads were resuspended in 1 mL trypsin neutralizing solution and vortexed at low speed for 3 s.
- Step 6 has been repeated twice (3 times in total). After the final washing, bead-bound ECs were resuspended in 1 mL of EndoBoost Plus medium and transferred into gelatin-coated T-25 flasks with 5 mL of EndoBoost medium.
- The next day, the medium was changed to EndoBoost Plus to accelerate the cell growth.
4.7. Flow Cytometry
4.8. Confocal Microscopy
4.9. Functional Assays
4.10. TNF-α Activation Assay
4.11. Gene Expression Analysis
4.12. Western Blotting
4.13. Enzyme-Linked Immunosorbent Assay
4.14. Statistical Analysis
5. Conclusions
Author Contributions
Funding
Institutional Review Board Statement
Informed Consent Statement
Data Availability Statement
Conflicts of Interest
Abbreviations
| HSaVEC | Human saphenous vein endothelial cells |
| HITAEC | Human internal thoracic artery endothelial cells |
| HMVEC | Human adipose tissue-derived microvascular endothelial cells |
| CD | Cluster of differentiation |
| EC | Endothelial cell |
| ADAM | A disintegrin and metalloproteinase |
| ADAMTS | A disintegrin and metalloproteinase with thrombospondin motifs |
| SARS-CoV-2 | Severe acute respiratory syndrome coronavirus 2 |
| CABG | Coronary artery bypass graft |
| SV | Saphenous vein |
| ITA | Internal thoracic artery |
| PECAM1 | Platelet endothelial cell adhesion molecule 1 |
| DPBS | Dulbecco’s phosphate-buffered saline |
| EDTA | Ethylenediaminetetraacetic acid |
| HBSS | Hank′s balanced salt solution |
| FBS | Fetal bovine serum |
| PC7 | Phycoerythrin-cyanine 7 |
| IgG | Immunoglobulin G |
| FITC | Fluorescein isothiocyanate |
| AF700 | Alexa Fluor 700 |
| PB | Pacific blue |
| DAPI | 4′,6-diamidino-2-phenylindole |
| OD | Optical density |
| TNF | Tumor necrosis factor alpha |
| ICAM1 | Intercellular cell adhesion molecule 1 |
| IL6 | Interleukin-6 |
| CCL2 | C-C motif chemokine ligand 2 |
| HUVEC | Human umbilical vein endothelial cells |
| RNA | Ribonucleic acid |
| HCAEC | Human coronary artery endothelial cells |
| CXCL8 | C-X-C motif chemokine ligand 8 |
| SELE | E-selectin |
| VCAM1 | Vascular cell adhesion molecule 1 |
References
- Cahill, P.A.; Redmond, E.M. Vascular endothelium—Gatekeeper of vessel health. Atherosclerosis 2016, 248, 97–109. [Google Scholar] [CrossRef]
- Gimbrone, M.A., Jr.; García-Cardeña, G. Endothelial cell dysfunction and the pathobiology of atherosclerosis. Circ. Res. 2016, 118, 620–636. [Google Scholar] [CrossRef]
- Segers, V.F.M.; Bringmans, T.; De Keulenaer, G.W. Endothelial dysfunction at the cellular level in three dimensions: Severity, acuteness, and distribution. Am. J. Physiol. Heart Circ. Physiol. 2023, 325, H398–H413. [Google Scholar] [CrossRef]
- Baaten, C.C.F.M.J.; Vondenhoff, S.; Noels, H. Endothelial cell dysfunction and increased cardiovascular risk in patients with chronic kidney disease. Circ. Res. 2023, 132, 970–992. [Google Scholar] [CrossRef] [PubMed]
- Holt, R.I.G.; Cockram, C.S.; Ma, R.C.W.; Luk, A.O.Y. Diabetes and infection: Review of the epidemiology, mechanisms and principles of treatment. Diabetologia 2024, 67, 1168–1180. [Google Scholar] [CrossRef]
- Horton, W.B.; Barrett, E.J. Microvascular dysfunction in diabetes mellitus and cardiometabolic disease. Endocr. Rev. 2021, 42, 29–55. [Google Scholar] [CrossRef]
- Emfietzoglou, M.; Terentes-Printzios, D.; Kotronias, R.A.; Marin, F.; Montalto, C.; De Maria, G.L.; Banning, A.P. The spectrum and systemic associations of microvascular dysfunction in the heart and other organs. Nat. Cardiovasc. Res. 2022, 1, 298–311. [Google Scholar] [CrossRef] [PubMed]
- Özdemir, V.A.; Nural, N. Evaluation of risk factors for foot ulceration in individuals with chronic kidney disease. Wounds 2023, 35, E319–E328. [Google Scholar] [CrossRef]
- Yin, J.; Wang, S.; Liu, Y.; Chen, J.; Li, D.; Xu, T. Coronary microvascular dysfunction pathophysiology in COVID-19. Microcirculation 2021, 28, e12718. [Google Scholar] [CrossRef]
- Samberg, M.; Stone, R., 2nd; Natesan, S.; Kowalczewski, A.; Becerra, S.; Wrice, N.; Cap, A.; Christy, R. Platelet rich plasma hydrogels promote in vitro and in vivo angiogenic potential of adipose-derived stem cells. Acta Biomater. 2019, 87, 76–87. [Google Scholar] [CrossRef] [PubMed]
- Andjelkovic, A.V.; Xiang, J.; Stamatovic, S.M.; Hua, Y.; Xi, G.; Wang, M.M.; Keep, R.F. Endothelial targets in stroke: Translating animal models to human. Arterioscler. Thromb. Vasc. Biol. 2019, 39, 2240–2247. [Google Scholar] [CrossRef]
- Kleinbongard, P.; Heusch, G. A fresh look at coronary microembolization. Nat. Rev. Cardiol. 2022, 19, 265–280. [Google Scholar] [CrossRef]
- Hirase, T.; Node, K. Endothelial dysfunction as a cellular mechanism for vascular failure. Am. J. Physiol. Heart Circ. Physiol. 2012, 302, H499–H505. [Google Scholar] [CrossRef]
- Pi, X.; Xie, L.; Patterson, C. Emerging roles of vascular endothelium in metabolic homeostasis. Circ. Res. 2018, 123, 477–494. [Google Scholar] [CrossRef]
- Koenen, M.; Hill, M.A.; Cohen, P.; Sowers, J.R. Obesity, adipose tissue and vascular dysfunction. Circ. Res. 2021, 128, 951–968. [Google Scholar] [CrossRef]
- AlZaim, I.; de Rooij, L.P.M.H.; Sheikh, B.N.; Börgeson, E.; Kalucka, J. The evolving functions of the vasculature in regulating adipose tissue biology in health and obesity. Nat. Rev. Endocrinol. 2023, 19, 691–707. [Google Scholar] [CrossRef]
- Janssen-Telders, C.; Eringa, E.C.; de Groot, J.R.; de Man, F.S.; Handoko, M.L. The role of epicardial adipose tissue remodelling in heart failure with preserved ejection fraction. Cardiovasc. Res. 2025, 121, 860–870. [Google Scholar] [CrossRef] [PubMed]
- Kaur, G.; Harris, N.R. Endothelial glycocalyx in retina, hyperglycemia, and diabetic retinopathy. Am. J. Physiol. Cell Physiol. 2023, 324, C1061–C1077. [Google Scholar] [CrossRef] [PubMed]
- Dogné, S.; Flamion, B.; Caron, N. Endothelial glycocalyx as a shield against diabetic vascular complications: Involvement of hyaluronan and hyaluronidases. Arterioscler. Thromb. Vasc. Biol. 2018, 38, 1427–1439. [Google Scholar] [CrossRef] [PubMed]
- Cho, M.E.; Brunt, V.E.; Shiu, Y.T.; Bunsawat, K. Endothelial dysfunction in chronic kidney disease: A clinical perspective. Am. J. Physiol. Heart Circ. Physiol. 2025, 329, H135–H153. [Google Scholar] [CrossRef]
- Piccoli, G.B.; Torreggiani, M.; Schwotzer, N.; Cabiddu, G.; Attini, R.; Orozco, A.; Shemies, R.; Jesudason, S.; Fakhouri, F.; Garovic, V.D. Kidney health outcomes of hypertensive disorders of pregnancy. Nat. Rev. Nephrol. 2025, 21, 671–686. [Google Scholar] [CrossRef] [PubMed]
- Borri, M.; Jacobs, M.E.; Carmeliet, P.; Rabelink, T.J.; Dumas, S.J. Endothelial dysfunction in the aging kidney. Am. J. Physiol. Renal Physiol. 2025, 328, F542–F562. [Google Scholar] [CrossRef]
- Scialla, J.J.; Wolf, M. Roles of phosphate and fibroblast growth factor 23 in cardiovascular disease. Nat. Rev. Nephrol. 2014, 10, 268–278. [Google Scholar] [CrossRef]
- Disthabanchong, S. Phosphate and cardiovascular disease beyond chronic kidney disease and vascular calcification. Int. J. Nephrol. 2018, 2018, 3162806. [Google Scholar] [CrossRef]
- Ya, J.; Bayraktutan, U. Vascular ageing: Mechanisms, risk factors, and treatment strategies. Int. J. Mol. Sci. 2023, 24, 11538. [Google Scholar] [CrossRef]
- Lane-Cordova, A.D.; Phillips, S.A.; Baynard, T.; Woods, J.A.; Motl, R.W.; Fernhall, B. Effects of ageing and physical activity on blood pressure and endothelial function during acute inflammation. Exp. Physiol. 2016, 101, 962–971. [Google Scholar] [CrossRef] [PubMed]
- Jensen, L.J. Functional, structural and proteomic effects of ageing in resistance arteries. Int. J. Mol. Sci. 2024, 25, 2601. [Google Scholar] [CrossRef] [PubMed]
- Zeng, Y.; Buonfiglio, F.; Li, J.; Pfeiffer, N.; Gericke, A. Mechanisms underlying vascular inflammaging: Current insights and potential treatment approaches. Aging Dis. 2024, 16, 1889–1917. [Google Scholar] [CrossRef]
- De Bartolo, A.; Angelone, T.; Rocca, C. Elucidating emerging signaling pathways driving endothelial dysfunction in cardiovascular aging. Vascul. Pharmacol. 2025, 158, 107462. [Google Scholar] [CrossRef]
- Coperchini, F.; Greco, A.; Teliti, M.; Croce, L.; Chytiris, S.; Magri, F.; Gaetano, C.; Rotondi, M. Inflamm-ageing: How cytokines and nutrition shape the trajectory of ageing. Cytokine Growth Factor Rev. 2025, 82, 31–42. [Google Scholar] [CrossRef]
- Singh, A.; Schurman, S.H.; Bektas, A.; Kaileh, M.; Roy, R.; Wilson, D.M., 3rd; Sen, R.; Ferrucci, L. Aging and inflammation. Cold Spring Harb. Perspect. Med. 2024, 14, a041197. [Google Scholar] [CrossRef] [PubMed]
- Salvioli, S.; Basile, M.S.; Bencivenga, L.; Carrino, S.; Conte, M.; Damanti, S.; De Lorenzo, R.; Fiorenzato, E.; Gialluisi, A.; Ingannato, A.; et al. Biomarkers of aging in frailty and age-associated disorders: State of the art and future perspective. Ageing Res. Rev. 2023, 91, 102044. [Google Scholar] [CrossRef]
- Liberale, L.; Montecucco, F.; Tardif, J.C.; Libby, P.; Camici, G.G. Inflamm-ageing: The role of inflammation in age-dependent cardiovascular disease. Eur. Heart J. 2020, 41, 2974–2982. [Google Scholar] [CrossRef]
- Müller, L.; Di Benedetto, S. Inflammaging, immunosenescence, and cardiovascular aging: Insights into long COVID implications. Front. Cardiovasc. Med. 2024, 11, 1384996. [Google Scholar] [CrossRef]
- McFadyen, J.D.; Stevens, H.; Peter, K. The emerging threat of (micro)thrombosis in COVID-19 and its therapeutic implications. Circ. Res. 2020, 127, 571–587. [Google Scholar] [CrossRef]
- Lui, K.O.; Ma, Z.; Dimmeler, S. SARS-CoV-2 induced vascular endothelial dysfunction: Direct or indirect effects? Cardiovasc. Res. 2024, 120, 34–43. [Google Scholar] [CrossRef]
- Giacca, M.; Shah, A.M. The pathological maelstrom of COVID-19 and cardiovascular disease. Nat. Cardiovasc. Res. 2022, 1, 200–210. [Google Scholar] [CrossRef]
- Cenko, E.; Badimon, L.; Bugiardini, R.; Claeys, M.J.; De Luca, G.; de Wit, C.; Derumeaux, G.; Dorobantu, M.; Duncker, D.J.; Eringa, E.C.; et al. Cardiovascular disease and COVID-19: A consensus paper from the ESC Working Group on Coronary Pathophysiology & Microcirculation, ESC Working Group on Thrombosis and the Association for Acute CardioVascular Care (ACVC), in collaboration with the European Heart Rhythm Association (EHRA). Cardiovasc. Res. 2021, 117, 2705–2729. [Google Scholar] [CrossRef]
- Evans, P.C.; Rainger, G.E.; Mason, J.C.; Guzik, T.J.; Osto, E.; Stamataki, Z.; Neil, D.; Hoefer, I.E.; Fragiadaki, M.; Waltenberger, J.; et al. Endothelial dysfunction in COVID-19: A position paper of the ESC Working Group for Atherosclerosis and Vascular Biology, and the ESC Council of Basic Cardiovascular Science. Cardiovasc. Res. 2020, 116, 2177–2184. [Google Scholar] [CrossRef] [PubMed]
- Bermejo-Martin, J.F.; Almansa, R.; Torres, A.; González-Rivera, M.; Kelvin, D.J. COVID-19 as a cardiovascular disease: The potential role of chronic endothelial dysfunction. Cardiovasc. Res. 2020, 116, e132–e133. [Google Scholar] [CrossRef] [PubMed]
- Conway, E.M.; Mackman, N.; Warren, R.Q.; Wolberg, A.S.; Mosnier, L.O.; Campbell, R.A.; Gralinski, L.E.; Rondina, M.T.; van de Veerdonk, F.L.; Hoffmeister, K.M.; et al. Understanding COVID-19-associated coagulopathy. Nat. Rev. Immunol. 2022, 22, 639–649. [Google Scholar] [CrossRef]
- Bonaventura, A.; Vecchié, A.; Dagna, L.; Martinod, K.; Dixon, D.L.; Van Tassell, B.W.; Dentali, F.; Montecucco, F.; Massberg, S.; Levi, M.; et al. Endothelial dysfunction and immunothrombosis as key pathogenic mechanisms in COVID-19. Nat. Rev. Immunol. 2021, 21, 319–329. [Google Scholar] [CrossRef]
- Gu, S.X.; Tyagi, T.; Jain, K.; Gu, V.W.; Lee, S.H.; Hwa, J.M.; Kwan, J.M.; Krause, D.S.; Lee, A.I.; Halene, S.; et al. Thrombocytopathy and endotheliopathy: Crucial contributors to COVID-19 thromboinflammation. Nat. Rev. Cardiol. 2021, 18, 194–209. [Google Scholar] [CrossRef] [PubMed]
- Perico, L.; Benigni, A.; Casiraghi, F.; Ng, L.F.P.; Renia, L.; Remuzzi, G. Immunity, endothelial injury and complement-induced coagulopathy in COVID-19. Nat. Rev. Nephrol. 2021, 17, 46–64. [Google Scholar] [CrossRef] [PubMed]
- Rafii, S.; Butler, J.M.; Ding, B.S. Angiocrine functions of organ-specific endothelial cells. Nature 2016, 529, 316–325. [Google Scholar] [CrossRef]
- Peng, Z.; Shu, B.; Zhang, Y.; Wang, M. Endothelial response to pathophysiological stress. Arterioscler. Thromb. Vasc. Biol. 2019, 39, e233–e243. [Google Scholar] [CrossRef] [PubMed]
- Greenspan, L.J.; Weinstein, B.M. To be or not to be: Endothelial cell plasticity in development, repair, and disease. Angiogenesis 2021, 24, 251–269. [Google Scholar] [CrossRef]
- Trimm, E.; Red-Horse, K. Vascular endothelial cell development and diversity. Nat. Rev. Cardiol. 2023, 20, 197–210. [Google Scholar] [CrossRef]
- Becker, L.M.; Chen, S.H.; Rodor, J.; de Rooij, L.P.M.H.; Baker, A.H.; Carmeliet, P. Deciphering endothelial heterogeneity in health and disease at single-cell resolution: Progress and perspectives. Cardiovasc. Res. 2023, 119, 6–27. [Google Scholar] [CrossRef]
- Gomez-Salinero, J.M.; Redmond, D.; Rafii, S. Microenvironmental determinants of endothelial cell heterogeneity. Nat. Rev. Mol. Cell Biol. 2025, 26, 476–495. [Google Scholar] [CrossRef]
- Pasut, A.; Becker, L.M.; Cuypers, A.; Carmeliet, P. Endothelial cell plasticity at the single-cell level. Angiogenesis 2021, 24, 311–326. [Google Scholar] [CrossRef] [PubMed]
- Shishkova, D.; Markova, V.; Markova, Y.; Sinitsky, M.; Sinitskaya, A.; Matveeva, V.; Torgunakova, E.; Lazebnaya, A.; Stepanov, A.; Kutikhin, A. Physiological concentrations of calciprotein particles trigger activation and pro-inflammatory response in endothelial cells and monocytes. Biochemistry 2025, 90, 132–160. [Google Scholar] [CrossRef] [PubMed]
- Stepanov, A.; Shishkova, D.; Markova, V.; Markova, Y.; Frolov, A.; Lazebnaya, A.; Oshchepkova, K.; Perepletchikova, D.; Smirnova, D.; Basovich, L.; et al. Proteomic profiling of endothelial cell secretomes after exposure to calciprotein particles reveals downregulation of basement membrane assembly and increased release of soluble CD59. Int. J. Mol. Sci. 2024, 25, 11382. [Google Scholar] [CrossRef]
- Shishkova, D.; Markova, V.; Sinitsky, M.; Tsepokina, A.; Frolov, A.; Zagorodnikov, N.; Bogdanov, L.; Kutikhin, A. Co-culture of primary human coronary artery and internal thoracic artery endothelial cells results in mutually beneficial paracrine interactions. Int. J. Mol. Sci. 2020, 21, 8032. [Google Scholar] [CrossRef] [PubMed]
- Frolov, A.; Lobov, A.; Kabilov, M.; Zainullina, B.; Tupikin, A.; Shishkova, D.; Markova, V.; Sinitskaya, A.; Grigoriev, E.; Markova, Y.; et al. Multi-omics profiling of human endothelial cells from the coronary artery and internal thoracic artery reveals molecular but not functional heterogeneity. Int. J. Mol. Sci. 2023, 24, 15032. [Google Scholar] [CrossRef]
- Shishkova, D.; Lobov, A.; Zainullina, B.; Matveeva, V.; Markova, V.; Sinitskaya, A.; Velikanova, E.; Sinitsky, M.; Kanonykina, A.; Dyleva, Y.; et al. Calciprotein particles cause physiologically significant pro-inflammatory response in endothelial cells and systemic circulation. Int. J. Mol. Sci. 2022, 23, 14941. [Google Scholar] [CrossRef]
- Bogdanov, L.; Shishkova, D.; Mukhamadiyarov, R.; Velikanova, E.; Tsepokina, A.; Terekhov, A.; Koshelev, V.; Kanonykina, A.; Shabaev, A.; Frolov, A.; et al. Excessive adventitial and perivascular vascularisation correlates with vascular inflammation and intimal hyperplasia. Int. J. Mol. Sci. 2022, 23, 12156. [Google Scholar] [CrossRef]
- Shishkova, D.K.; Velikanova, E.A.; Bogdanov, L.A.; Sinitsky, M.Y.; Kostyunin, A.E.; Tsepokina, A.V.; Gruzdeva, O.V.; Mironov, A.V.; Mukhamadiyarov, R.A.; Glushkova, T.V.; et al. Calciprotein particles link disturbed mineral homeostasis with cardiovascular disease by causing endothelial dysfunction and vascular inflammation. Int. J. Mol. Sci. 2021, 22, 12458. [Google Scholar] [CrossRef]
- Shishkova, D.; Markova, V.; Sinitsky, M.; Tsepokina, A.; Velikanova, E.; Bogdanov, L.; Glushkova, T.; Kutikhin, A. Calciprotein particles cause endothelial dysfunction under flow. Int. J. Mol. Sci. 2020, 21, 8802. [Google Scholar] [CrossRef]
- Shishkova, D.; Velikanova, E.; Sinitsky, M.; Tsepokina, A.; Gruzdeva, O.; Bogdanov, L.; Kutikhin, A. Calcium phosphate bions cause intimal hyperplasia in intact aortas of normolipidemic rats through endothelial injury. Int. J. Mol. Sci. 2019, 20, 5728. [Google Scholar] [CrossRef]
- Chi, J.; Wang, Q.; Wang, Z.; Zeng, W.; Gao, Y.; Li, X.; Wang, W.; Wang, J.; Qu, M. S100 calcium-binding protein A8 exacerbates deep vein thrombosis in vascular endothelial cells. Sci. Rep. 2025, 15, 831. [Google Scholar] [CrossRef] [PubMed]
- Jiao, J.; Zhang, D.; Peng, J.; Li, Y. MDM2 interacts with PTEN to inhibit endothelial cell development and promote deep vein thrombosis via the JAK/STAT signaling pathway. Mol. Med. Rep. 2025, 31, 31. [Google Scholar] [CrossRef]
- Han, Y.; Bai, X.; Wang, X. Exosomal myeloperoxidase as a biomarker of deep venous thrombosis. Ann. Transl. Med. 2022, 10, 9. [Google Scholar] [CrossRef]
- Coelho, S.V.A.; Souza, G.L.E.; Bezerra, B.B.; Lima, L.R.; Correa, I.A.; de Almeida, D.V.; Silva-Aguiar, R.P.D.; Pinheiro, A.A.S.; Sirois, P.; Caruso-Neves, C.; et al. SARS-CoV-2 replication in a blood-brain barrier model established with human brain microvascular endothelial cells induces permeability and disables ACE2-dependent regulation of bradykinin B1 receptor. Int. J. Mol. Sci. 2025, 26, 5540. [Google Scholar] [CrossRef] [PubMed]
- Göb, V.; Zimmermann, L.; Hemmen, K.; Haarmann, A.; Heinze, K.G.; Schuhmann, M.K.; Stegner, D. Platelet-derived PDGF-A disrupts blood-brain barrier integrity in ischemic stroke—Brief report. Arterioscler. Thromb. Vasc. Biol. 2025, 45, 1166–1174. [Google Scholar] [CrossRef]
- Meegan, J.E.; Riedmann, K.J.; Gonski, S.; Douglas, J.S.; Bogart, A.M.; Ware, L.B.; Bastarache, J.A. Oxidation of low-density lipoprotein by hemoglobin causes pulmonary microvascular endothelial barrier dysfunction through lectin-like oxidized LDL receptor 1. Am. J. Physiol. Lung Cell Mol. Physiol. 2025, 328, L748–L755. [Google Scholar] [CrossRef]
- Skou, S.T.; Mair, F.S.; Fortin, M.; Guthrie, B.; Nunes, B.P.; Miranda, J.J.; Boyd, C.M.; Pati, S.; Mtenga, S.; Smith, S.M. Multimorbidity. Nat. Rev. Dis. Primers 2022, 8, 48. [Google Scholar] [CrossRef]
- Ferrucci, L.; Fabbri, E. Inflammageing: Chronic inflammation in ageing, cardiovascular disease, and frailty. Nat. Rev. Cardiol. 2018, 15, 505–522. [Google Scholar] [CrossRef]
- Batty, J.A.; Del Toro, T.; Drayton, D.J.; Booth, E.; Anik, E.; Sturley, C.; Brown, B.C.; Kearney, M.T.; Hall, M. Multimorbidity in acute coronary syndrome: A systematic review and meta-analysis. JACC Adv. 2025, 4, 102006. [Google Scholar] [CrossRef] [PubMed]
- Wang, Z.; Zhu, D.; Zhang, H.; Wang, L.; He, H.; Li, Z.; Wang, B.; Zhang, J.; Li, X.; Tuinhof, H.; et al. Recommendations and quality of multimorbidity guidelines: A systematic review. Ageing Res. Rev. 2024, 102, 102559. [Google Scholar] [CrossRef]
- Beerkens, F.J.; Claessen, B.E.; Mahan, M.; Gaudino, M.F.L.; Tam, D.Y.; Henriques, J.P.S.; Mehran, R.; Dangas, G.D. Contemporary coronary artery bypass graft surgery and subsequent percutaneous revascularization. Nat. Rev. Cardiol. 2022, 19, 195–208. [Google Scholar] [CrossRef] [PubMed]
- Caliskan, E.; de Souza, D.R.; Böning, A.; Liakopoulos, O.J.; Choi, Y.H.; Pepper, J.; Gibson, C.M.; Perrault, L.P.; Wolf, R.K.; Kim, K.B.; et al. Saphenous vein grafts in contemporary coronary artery bypass graft surgery. Nat. Rev. Cardiol. 2020, 17, 155–169. [Google Scholar] [CrossRef]
- Medina-Leyte, D.J.; Domínguez-Pérez, M.; Mercado, I.; Villarreal-Molina, M.T.; Jacobo-Albavera, L. Use of human umbilical vein endothelial cells (HUVEC) as a model to study cardiovascular disease: A review. Appl. Sci. 2020, 10, 938. [Google Scholar] [CrossRef]
- Duranova, H.; Kuzelova, L.; Borotova, P.; Simora, V.; Fialkova, V. Human umbilical vein endothelial cells as a versatile cellular model system in diverse experimental paradigms: An ultrastructural perspective. Microsc. Microanal. 2024, 30, 419–439. [Google Scholar] [CrossRef]
- Hauser, S.; Jung, F.; Pietzsch, J. Human endothelial cell models in biomaterial research. Trends Biotechnol. 2017, 35, 265–277. [Google Scholar] [CrossRef]
- Chandel, S.; Kumaragurubaran, R.; Giri, H.; Dixit, M. Isolation and culture of human umbilical vein endothelial cells (HUVECs). Methods Mol. Biol. 2024, 2711, 147–162. [Google Scholar] [CrossRef] [PubMed]
- Baudin, B.; Bruneel, A.; Bosselut, N.; Vaubourdolle, M. A protocol for isolation and culture of human umbilical vein endothelial cells. Nat. Protoc. 2007, 2, 481–485. [Google Scholar] [CrossRef]
- Crampton, S.P.; Davis, J.; Hughes, C.C. Isolation of human umbilical vein endothelial cells (HUVEC). J. Vis. Exp. 2007, 3, 183. [Google Scholar] [CrossRef]
- Lei, J.; Peng, S.; Samuel, S.B.; Zhang, S.; Wu, Y.; Wang, P.; Li, Y.F.; Liu, H. A simple and biosafe method for isolation of human umbilical vein endothelial cells. Anal. Biochem. 2016, 508, 15–18. [Google Scholar] [CrossRef]
- Jiménez, N.; Krouwer, V.J.; Post, J.A. A new, rapid and reproducible method to obtain high quality endothelium in vitro. Cytotechnology 2013, 65, 1–14. [Google Scholar] [CrossRef] [PubMed]
- Ganguly, A.; Zhang, H.; Sharma, R.; Parsons, S.; Patel, K.D. Isolation of human umbilical vein endothelial cells and their use in the study of neutrophil transmigration under flow conditions. J. Vis. Exp. 2012, 66, e4032. [Google Scholar] [CrossRef]
- Addis, R.; Campesi, I.; Fois, M.; Capobianco, G.; Dessole, S.; Fenu, G.; Montella, A.; Cattaneo, M.G.; Vicentini, L.M.; Franconi, F. Human umbilical endothelial cells (HUVECs) have a sex: Characterisation of the phenotype of male and female cells. Biol. Sex Differ. 2014, 5, 18. [Google Scholar] [CrossRef]
- Kocherova, I.; Bryja, A.; Mozdziak, P.; Angelova Volponi, A.; Dyszkiewicz-Konwińska, M.; Piotrowska-Kempisty, H.; Antosik, P.; Bukowska, D.; Bruska, M.; Iżycki, D.; et al. Human Umbilical Vein Endothelial Cells (HUVECs) Co-Culture with Osteogenic Cells: From Molecular Communication to Engineering Prevascularised Bone Grafts. J. Clin. Med. 2019, 8, 1602. [Google Scholar] [CrossRef]
- McCloskey, M.C.; Zhang, V.Z.; Ahmad, S.D.; Walker, S.; Romanick, S.S.; Awad, H.A.; McGrath, J.L. Sourcing cells for in vitro models of human vascular barriers of inflammation. Front. Med. Technol. 2022, 4, 979768. [Google Scholar] [CrossRef] [PubMed]
- Boisen, L.; Drasbek, K.R.; Pedersen, A.S.; Kristensen, P. Evaluation of endothelial cell culture as a model system of vascular ageing. Exp. Gerontol. 2010, 45, 779–787. [Google Scholar] [CrossRef] [PubMed]
- Cao, Y.; Gong, Y.; Liu, L.; Zhou, Y.; Fang, X.; Zhang, C.; Li, Y.; Li, J. The use of human umbilical vein endothelial cells (HUVECs) as an in vitro model to assess the toxicity of nanoparticles to endothelium: A review. J. Appl. Toxicol. 2017, 37, 1359–1369. [Google Scholar] [CrossRef]
- Mayani, H. Biological differences between neonatal and adult human hematopoietic stem/progenitor cells. Stem Cells Dev. 2010, 19, 285–298. [Google Scholar] [CrossRef] [PubMed]
- Sun, H.; Pratt, R.E.; Dzau, V.J.; Hodgkinson, C.P. Neonatal and adult cardiac fibroblasts exhibit inherent differences in cardiac regenerative capacity. J. Biol. Chem. 2023, 299, 104694. [Google Scholar] [CrossRef] [PubMed]
- Legros, H.; Launay, S.; Roussel, B.D.; Marcou-Labarre, A.; Calbo, S.; Catteau, J.; Leroux, P.; Boyer, O.; Ali, C.; Marret, S.; et al. Newborn- and adult-derived brain microvascular endothelial cells show age-related differences in phenotype and glutamate-evoked protease release. J. Cereb. Blood Flow Metab. 2009, 29, 1146–1158. [Google Scholar] [CrossRef]
- Robertson, J.O.; Erzurum, S.C.; Asosingh, K. Pathological Roles for Endothelial Colony-Forming Cells in Neonatal and Adult Lung Disease. Am. J. Respir. Cell Mol. Biol. 2023, 68, 13–22. [Google Scholar] [CrossRef]
- Vermeulen, Z.; Mateiu, L.; Dugaucquier, L.; De Keulenaer, G.W.; Segers, V.F.M. Cardiac endothelial cell transcriptome in neonatal, adult, and remodeling hearts. Physiol. Genom. 2019, 51, 186–196. [Google Scholar] [CrossRef] [PubMed]
- Lecointre, M.; Hauchecorne, M.; Chaussivert, A.; Marret, S.; Leroux, P.; Jegou, S.; Leroux-Nicollet, I.; Gonzalez, B.J.; Henry, V.J. The efficiency of glutamate uptake differs between neonatal and adult cortical microvascular endothelial cells. J. Cereb. Blood Flow Metab. 2014, 34, 764–767. [Google Scholar] [CrossRef]
- Bertagnolli, M.; Xie, L.F.; Paquette, K.; He, Y.; Cloutier, A.; Fernandes, R.O.; Béland, C.; Sutherland, M.R.; Delfrate, J.; Curnier, D.; et al. Endothelial Colony-Forming Cells in Young Adults Born Preterm: A Novel Link Between Neonatal Complications and Adult Risks for Cardiovascular Disease. J. Am. Heart Assoc. 2018, 7, e009720. [Google Scholar] [CrossRef] [PubMed]
- Yu, Q.C.; Mergner, W.J.; Vigorito, R.D.; Resau, J.H. Postmortem viability and early changes in organ culture of human and rabbit aortic endothelial cells. Pathobiology 1990, 58, 138–145. [Google Scholar] [CrossRef]
- Minamino, T.; Miyauchi, H.; Yoshida, T.; Ishida, Y.; Yoshida, H.; Komuro, I. Endothelial cell senescence in human atherosclerosis: Role of telomere in endothelial dysfunction. Circulation 2002, 105, 1541–1544. [Google Scholar] [CrossRef]
- Morris, J.A.; Harrison, L.M.; Telford, D.R. Postmortem cerebrospinal fluid pleocytosis: A marker of inflammation or postmortem artifact? Int. J. Pediatr. 2012, 2012, 964074. [Google Scholar] [CrossRef]
- Özsoy, S.; Kaya, B.; Balandiz, H.; Akyol, M.; Özge, G.; Özmen, M.C.; Uysal, B.S. Postmortem Interval Estimation With Corneal Endothelial Cell Density. Am. J. Forensic Med. Pathol. 2022, 43, 147–152. [Google Scholar] [CrossRef]
- Roth, M.; Carlsson, R.; Buizza, C.; Enström, A.; Paul, G. Pericyte response to ischemic stroke precedes endothelial cell death and blood-brain barrier breakdown. J. Cereb. Blood Flow Metab. 2025, 45, 617–629. [Google Scholar] [CrossRef]
- Donadini, M.P.; Calcaterra, F.; Romualdi, E.; Ciceri, R.; Cancellara, A.; Lodigiani, C.; Bacci, M.; Della Bella, S.; Ageno, W.; Mavilio, D. The Link Between Venous and Arterial Thrombosis: Is There a Role for Endothelial Dysfunction? Cells 2025, 14, 144. [Google Scholar] [CrossRef] [PubMed]
- Delluc, A.; Lacut, K.; Rodger, M.A. Arterial and venous thrombosis: What’s the link? A narrative review. Thromb. Res. 2020, 191, 97–102. [Google Scholar] [CrossRef]
- Prandoni, P. Is there a link between venous and arterial thrombosis? A reappraisal. Intern. Emerg. Med. 2020, 15, 33–36. [Google Scholar] [CrossRef]
- Poredoš, P. Interrelationship between venous and arterial thrombosis. Int. Angiol. 2017, 36, 295–298. [Google Scholar] [CrossRef]
- Rinde, L.B.; Lind, C.; Småbrekke, B.; Njølstad, I.; Mathiesen, E.B.; Wilsgaard, T.; Løchen, M.L.; Hald, E.M.; Vik, A.; Braekkan, S.K.; et al. Impact of incident myocardial infarction on the risk of venous thromboembolism: The Tromso Study. J. Thromb. Haemost. 2016, 14, 1183–1191. [Google Scholar] [CrossRef]
- Riva, N.; Donadini, M.P.; Ageno, W. Epidemiology and pathophysiology of venous thromboembolism: Similarities with atherothrombosis and the role of inflammation. Thromb. Haemost. 2015, 113, 1176–1183. [Google Scholar] [CrossRef]
- Hu, M.; Gong, Z.; Yang, Y. Mendelian Randomization Study Does Not Support a Bidirectional Link between Atherosclerosis and Venous Thromboembolism. J. Atheroscler. Thromb. 2023, 30, 1265–1275. [Google Scholar] [CrossRef]
- Hald, E.M.; Lijfering, W.M.; Mathiesen, E.B.; Johnsen, S.H.; Løchen, M.L.; Njølstad, I.; Wilsgaard, T.; Rosendaal, F.R.; Brækkan, S.K.; Hansen, J.B. Carotid atherosclerosis predicts future myocardial infarction but not venous thromboembolism: The Tromso study. Arterioscler. Thromb. Vasc. Biol. 2014, 34, 226–230. [Google Scholar] [CrossRef] [PubMed]
- Libby, P.; Buring, J.E.; Badimon, L.; Hansson, G.K.; Deanfield, J.; Bittencourt, M.S.; Tokgözoğlu, L.; Lewis, E.F. Atherosclerosis. Nat. Rev. Dis. Primers 2019, 5, 56. [Google Scholar] [CrossRef] [PubMed]
- Vogel, B.; Claessen, B.E.; Arnold, S.V.; Chan, D.; Cohen, D.J.; Giannitsis, E.; Gibson, C.M.; Goto, S.; Katus, H.A.; Kerneis, M.; et al. ST-segment elevation myocardial infarction. Nat. Rev. Dis. Primers 2019, 5, 39. [Google Scholar] [CrossRef]
- Campbell, B.C.V.; De Silva, D.A.; Macleod, M.R.; Coutts, S.B.; Schwamm, L.H.; Davis, S.M.; Donnan, G.A. Ischaemic stroke. Nat. Rev. Dis. Primers 2019, 5, 70. [Google Scholar] [CrossRef] [PubMed]
- Wolberg, A.S.; Rosendaal, F.R.; Weitz, J.I.; Jaffer, I.H.; Agnelli, G.; Baglin, T.; Mackman, N. Venous thrombosis. Nat. Rev. Dis. Primers 2015, 1, 15006. [Google Scholar] [CrossRef]
- Huisman, M.V.; Barco, S.; Cannegieter, S.C.; Le Gal, G.; Konstantinides, S.V.; Reitsma, P.H.; Rodger, M.; Vonk Noordegraaf, A.; Klok, F.A. Pulmonary embolism. Nat. Rev. Dis. Primers 2018, 4, 18028. [Google Scholar] [CrossRef]
- Khorana, A.A.; Mackman, N.; Falanga, A.; Pabinger, I.; Noble, S.; Ageno, W.; Moik, F.; Lee, A.Y.Y. Cancer-associated venous thromboembolism. Nat. Rev. Dis. Primers 2022, 8, 11. [Google Scholar] [CrossRef] [PubMed]
- Ovcharenko, E.; Kutikhin, A.; Gruzdeva, O.; Kuzmina, A.; Slesareva, T.; Brusina, E.; Kudasheva, S.; Bondarenko, T.; Kuzmenko, S.; Osyaev, N.; et al. Cardiovascular and Renal Comorbidities Included into Neural Networks Predict the Outcome in COVID-19 Patients Admitted to an Intensive Care Unit: Three-Center, Cross-Validation, Age- and Sex-Matched Study. J. Cardiovasc. Dev. Dis. 2023, 10, 39. [Google Scholar] [CrossRef]
- Roberts, K.A.; Colley, L.; Agbaedeng, T.A.; Ellison-Hughes, G.M.; Ross, M.D. Vascular Manifestations of COVID-19—Thromboembolism and Microvascular Dysfunction. Front. Cardiovasc. Med. 2020, 7, 598400. [Google Scholar] [CrossRef]
- Guzik, T.J.; Mohiddin, S.A.; Dimarco, A.; Patel, V.; Savvatis, K.; Marelli-Berg, F.M.; Madhur, M.S.; Tomaszewski, M.; Maffia, P.; D’Acquisto, F.; et al. COVID-19 and the cardiovascular system: Implications for risk assessment, diagnosis, and treatment options. Cardiovasc. Res. 2020, 116, 1666–1687. [Google Scholar] [CrossRef] [PubMed]
- Lee, C.C.E.; Ali, K.; Connell, D.; Mordi, I.R.; George, J.; Lang, E.M.; Lang, C.C. COVID-19-Associated Cardiovascular Complications. Diseases 2021, 9, 47. [Google Scholar] [CrossRef]
- Kvernebo, K.; Wikslund, L.L.K.; Drezek, K.; Jaramillo, A.; Capone, L.; Helmy, M.; Zhao, Y.; Aguirre, A.; D’Alessandro, D. COVID-19 Patients Have Peripheral Microvascular Dysfunction and Tissue Hypoxia in Spite of Successful Treatment of Lung Failure: A Proof of Concept Study. Microcirculation 2025, 32, e70014. [Google Scholar] [CrossRef] [PubMed]
- Kutikhin, A.G.; Tupikin, A.E.; Matveeva, V.G.; Shishkova, D.K.; Antonova, L.V.; Kabilov, M.R.; Velikanova, E.A. Human Peripheral Blood-Derived Endothelial Colony-Forming Cells Are Highly Similar to Mature Vascular Endothelial Cells yet Demonstrate a Transitional Transcriptomic Signature. Cells 2020, 9, 876. [Google Scholar] [CrossRef]
- Shishkova, D.K.; Markova, V.E.; Markova, Y.O.; Velikanova, E.A.; Sinitskaya, A.V.; Sinitsky, M.Y.; Tyurina, A.E.; Stepanov, A.D.; Dyleva, Y.A.; Matveeva, V.G.; et al. Pathological effects of ionized calcium, calciprotein monomers and calciprotein particles on arterial endothelial cells. Complex Issues Cardiovasc. Dis. 2024, 13, 167–181. [Google Scholar] [CrossRef]












| ID | Primary Endothelial Cell Lines | Comorbid Conditions | |||||||||||
|---|---|---|---|---|---|---|---|---|---|---|---|---|---|
| HSaVEC | HITAEC | HMVEC | Gender | Age | AH | DL | OB | DM | CKD | COPD | CeVD | PAD | |
| 1 | + | − | − | male | 69 | + | + | + | + | + | − | − | − |
| 2 | + | + | − | female | 75 | + | + | + | + | + | − | − | − |
| 3 | − | + | − | male | 58 | + | − | − | + | + | − | + | − |
| 4 | + | + | + | male | 55 | + | − | + | − | + | − | − | − |
| 5 | − | − | − | male | 52 | + | − | + | − | − | + | − | − |
| 6 | + | + | + | female | 72 | + | − | − | − | + | − | + | − |
| 7 | − | − | − | female | 74 | + | + | − | − | − | − | − | − |
| 8 | − | − | − | male | 68 | + | − | + | − | + | − | − | − |
| 9 | − | − | − | female | 78 | + | − | − | − | − | − | − | − |
| 10 | + | + | + | female | 63 | − | + | + | + | + | + | + | − |
| 11 | + | + | − | male | 72 | + | − | − | − | + | − | − | − |
| 12 | − | + | − | male | 59 | + | − | − | − | + | − | + | − |
| 13 | + | − | − | male | 71 | + | − | + | + | + | − | − | − |
| 14 | + | + | − | male | 62 | + | + | + | + | − | − | + | − |
| 15 | + | + | − | male | 67 | + | − | − | − | − | + | − | − |
| 16 | + | − | − | male | 59 | + | − | − | − | − | − | − | + |
| 17 | − | − | − | male | 64 | + | − | − | − | + | − | − | − |
| 18 | + | + | + | female | 61 | + | + | − | + | − | − | − | − |
| 19 | + | − | − | male | 64 | + | + | + | − | − | − | − | − |
| 20 | + | + | − | male | 60 | + | − | − | − | + | − | + | + |
| 21 | + | − | − | male | 74 | + | + | − | − | − | − | − | − |
| 22 | + | + | + | male | 59 | + | − | − | − | − | − | − | − |
| 23 | − | − | − | male | 67 | + | − | − | − | − | − | − | + |
| 24 | + | − | − | male | 70 | + | + | − | − | + | − | − | − |
| 25 | + | + | − | male | 69 | + | − | − | + | + | − | − | − |
| 26 | − | − | − | male | 73 | + | − | − | − | − | − | − | − |
| 27 | − | + | − | female | 73 | + | − | + | + | − | − | − | − |
| 28 | + | + | − | male | 67 | + | − | − | − | + | − | + | + |
| 29 | + | − | − | female | 76 | + | + | − | + | + | − | + | + |
| 30 | − | − | − | male | 70 | + | − | − | + | − | − | − | + |
| 31 | + | − | − | male | 63 | + | − | − | − | + | − | − | − |
| 32 | + | + | − | male | 72 | + | + | + | − | + | − | + | − |
| 33 | + | + | + | female | 73 | + | − | − | + | − | − | − | − |
| 34 | − | − | − | male | 75 | + | − | − | − | − | − | − | − |
| 35 | − | + | − | male | 74 | + | − | − | − | − | − | − | − |
| 36 | − | − | − | male | 73 | + | − | − | − | − | + | − | + |
| 37 | − | − | − | male | 57 | + | − | + | − | + | − | − | − |
| 38 | + | + | + | male | 64 | + | + | − | + | + | − | + | − |
| 39 | + | − | − | male | 73 | + | + | − | − | − | − | − | − |
| 40 | − | − | − | male | 67 | + | − | − | + | + | − | − | + |
| n | 24 | 19 | 7 | 31 1 | 67.30 3 | 39 | 13 | 12 | 14 | 21 | 4 | 10 | 8 |
| % | 60.00 | 47.50 | 17.50 | 77.50 2 | ±6.51 4 | 97.50 | 32.50 | 30.00 | 35.00 | 52.50 | 10.00 | 25.00 | 20.00 |
| Endothelial Cell Line/ Cultural Feature | Human Saphenous Vein Endothelial Cells (HSaVEC) | Human Internal Thoracic Artery Endothelial Cells (HITAEC) | Human Microvascular Endothelial Cells (HMVEC) |
|---|---|---|---|
| Approximate number of ECs in the colony | From 12 to 15 | From 8 to 14 | From 7 to 10 |
| Approximate number of EC colonies per donor (in the T-25 flask) | From 15 to 17 | From 8 to 10 | From 3 to 5 |
| Approximate number of positive immunomagnetic separations required to obtain an EC colony with ≥99% purity | From 1 to 2 | From 3 to 4 | From 5 to 6 |
| Approximate number of days in culture (counted from the isolation) required for reaching confluence in T-25 flask | From 8 to 10 | From 10 to 12 | From 14 to 16 |
| Approximate number of days in culture (counted from the isolation) required for reaching confluence in T-75 flask (i.e., at the second passage) | From 14 to 16 | From 18 to 20 | From 24 to 26 |
| Gene | ΔCt, Arithmetic Mean | DPBS | TNF-α |
|---|---|---|---|
| ΔCt, Standard Deviation | |||
| Fold Change | |||
| p Value | |||
| ICAM1 | ΔCt, arithmetic mean | 0.1016 | 0.2756 |
| ΔCt, standard deviation | 0.1095 | 0.3524 | |
| Fold change | 1.00 | 2.71 | |
| p value | 1.000 | 0.001 | |
| IL6 | ΔCt, arithmetic mean | 0.0655 | 0.2345 |
| ΔCt, standard deviation | 0.1051 | 0.5619 | |
| Fold change | 1.00 | 3.58 | |
| p value | 1.000 | 0.002 | |
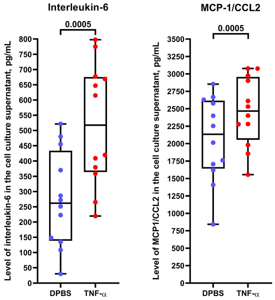
| CCL2 | ΔCt, arithmetic mean | 1.1670 | 2.6310 |
| ΔCt, standard deviation | 0.7389 | 1.9120 | |
| Fold change | 1.00 | 2.25 | |
| p value | 1.000 | 0.002 |
| Gene | Forward Primer | Reverse Primer |
|---|---|---|
| ICAM1 | 5′-TTGGGCATAGAGACCCCGTT-3′ | 5′-GCACATTGCTCAGTTCATACACC-3′ |
| IL6 | 5′-GGCACTGGCAGAAAACAACC-3′ | 5′-GCAAGTCTCCTCATTGAATCC-3′ |
| CCL2 | 5′-TTCTGTGCCTGCTGCTCATAG-3′ | 5′-AGGTGACTGGGGCATTGATTG-3′ |
| PECAM1 | 5′-AAGGAACAGGAGGGAGAGTATTA-3′ | 5′-GTATTTTGCTTCTGGGGACACT-3′ |
Disclaimer/Publisher’s Note: The statements, opinions and data contained in all publications are solely those of the individual author(s) and contributor(s) and not of MDPI and/or the editor(s). MDPI and/or the editor(s) disclaim responsibility for any injury to people or property resulting from any ideas, methods, instructions or products referred to in the content. |
© 2025 by the authors. Licensee MDPI, Basel, Switzerland. This article is an open access article distributed under the terms and conditions of the Creative Commons Attribution (CC BY) license (https://creativecommons.org/licenses/by/4.0/).
Share and Cite
Shishkova, D.; Yurieva, Y.; Frolov, A.; Matveeva, V.; Torgunakova, E.; Markova, V.; Lazebnaya, A.; Kutikhin, A. Isolation of Primary Human Saphenous Vein Endothelial Cells, Human Internal Thoracic Artery Endothelial Cells, and Human Adipose Tissue-Derived Microvascular Endothelial Cells from Patients Undergoing Coronary Artery Bypass Graft Surgery. Int. J. Mol. Sci. 2025, 26, 9217. https://doi.org/10.3390/ijms26189217
Shishkova D, Yurieva Y, Frolov A, Matveeva V, Torgunakova E, Markova V, Lazebnaya A, Kutikhin A. Isolation of Primary Human Saphenous Vein Endothelial Cells, Human Internal Thoracic Artery Endothelial Cells, and Human Adipose Tissue-Derived Microvascular Endothelial Cells from Patients Undergoing Coronary Artery Bypass Graft Surgery. International Journal of Molecular Sciences. 2025; 26(18):9217. https://doi.org/10.3390/ijms26189217
Chicago/Turabian StyleShishkova, Daria, Yulia Yurieva, Alexey Frolov, Vera Matveeva, Evgenia Torgunakova, Victoria Markova, Anastasia Lazebnaya, and Anton Kutikhin. 2025. "Isolation of Primary Human Saphenous Vein Endothelial Cells, Human Internal Thoracic Artery Endothelial Cells, and Human Adipose Tissue-Derived Microvascular Endothelial Cells from Patients Undergoing Coronary Artery Bypass Graft Surgery" International Journal of Molecular Sciences 26, no. 18: 9217. https://doi.org/10.3390/ijms26189217
APA StyleShishkova, D., Yurieva, Y., Frolov, A., Matveeva, V., Torgunakova, E., Markova, V., Lazebnaya, A., & Kutikhin, A. (2025). Isolation of Primary Human Saphenous Vein Endothelial Cells, Human Internal Thoracic Artery Endothelial Cells, and Human Adipose Tissue-Derived Microvascular Endothelial Cells from Patients Undergoing Coronary Artery Bypass Graft Surgery. International Journal of Molecular Sciences, 26(18), 9217. https://doi.org/10.3390/ijms26189217

