Potential Molecular Biomarkers of Preeclampsia—A Pilot Study
Abstract
1. Introduction
2. Results
2.1. Correlations of Biomarkers of Kidney Damage
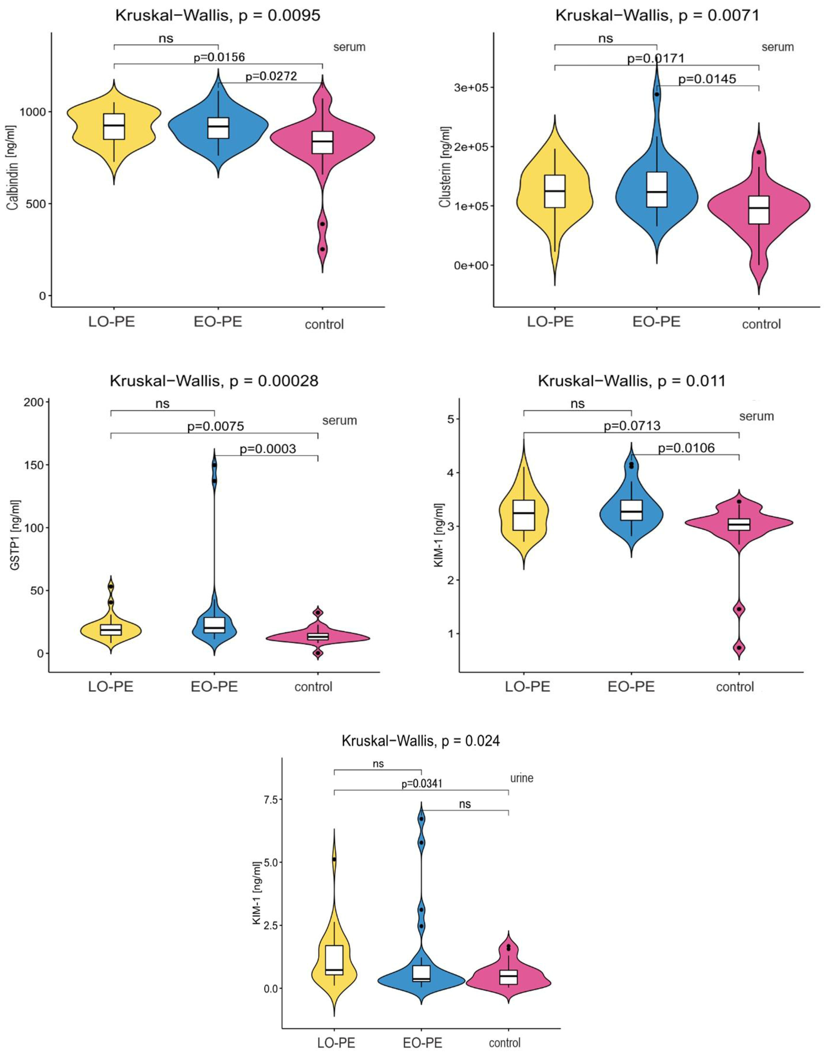
2.2. Predictive Value of Serum Concentrations of Analyzed Proteins for the Occurrence of Preeclampsia
3. Discussion
3.1. Calbindin
3.2. Clusterin
3.3. Glutathione Transferase Pi (GSTP1)
3.4. Interleukin 18 (IL-18)
3.5. Kidney Injury Molecule Type 1 (KIM-1)
3.6. Monocyte Chemotactic Protein 1 (MCP-1)
3.7. Study Limitations
4. Materials and Methods
4.1. Study Groups
- Signing the consent form;
- Singleton pregnancy;
- Caucasian race;
- Aged over 18;
- Occurrence of PE based on the ISSHP guidelines (the criterion of inclusion into the study group).
| Clinical Data of Patients | PE Group (N = 51) | Control Group (N = 25) | p |
|---|---|---|---|
| Age (years), mean ± SD | 29.55 ± 5.35 | 31.32 ± 4.11 | 0.1496 |
| Pre-pregnancy weight (kg), mean ± SD | 68.67 ± 13.32 | 63.40 ± 10.45 | 0.0877 |
| Weight at the end of pregnancy (kg), mean ± SD | 83.24 ± 15.78 | 77.04 ± 11.28 | 0.0838 |
| Difference in body weight (kg), mean ± SD | 14.57 ± 5.76 | 13.64 ± 3.25 | 0.3730 |
| BMI before pregnancy (kg/m2), mean ± SD | 25.22 ± 4.41 | 22.41 ± 3.32 | 0.0062 |
| BMI before pregnancy, n (%) | |||
| <18.5, underweight | 2 (3.9%) | 2 (8.0%) | 0.0038 * |
| 18.5–24.9, normal | 25 (49.0%) | 21 (84.0%) | |
| 25.0–29.9, overweight | 17 (33.3%) | 1 (4.0%) | |
| >30.0, obese | 7 (13.7%) | 1 (4.0%) | |
| BMI at the end of pregnancy (kg/m2), mean ± SD | 30.62 ± 5.07 | 27.24 ± 3.49 | 0.0011 |
| BMI difference (kg/m2), mean ± SD | 5.40 ± 2.05 | 4.83 ± 1.10 | 0.1163 |
| Systolic blood pressure (mmHg), mean ± SD | 171.70 ± 10.69 | 125.56 ± 7.48 | <0.0001 |
| Diastolic blood pressure (mmHg), mean ± SD | 105.18 ± 7.36 | 80.48 ± 4.81 | <0.0001 |
| Week of pregnancy termination, mean ± SD | 34 ± 3 | 39 ± 1 | <0.0001 |
| Days of pregnancy (gestation), mean ± SD | 242 ±19 | 275 ± 7 | <0.0001 |
| Number of births, n (%) | |||
| Primiparas | 39 (76.5%) | 15 (60.0%) | 0.2238 ** |
| Multiple births (2 to 6 pregnancies) | 12 (23.5%) | 10 (40.0%) | |
| Method of pregnancy termination, n (%) | |||
| Cesarean section | 49 (96.1%) | 10 (40.0%) | <0.0001 * |
| Spontaneous labor | 0 (0.0%) | 10 (40.0%) | |
| Vacuum extractor | 2 (3.9%) | 5 (20.0%) |
| Clinical Data of Patients | Control Group (N = 25) | EO-PE (N = 24) | LO-PE (N = 27) | p | p * |
|---|---|---|---|---|---|
| Age (years), mean ± SD | 31.32 ± 4.11 | 30.33 ± 5.35 | 28.85 ± 5.35 | 0.2040 | EO-PE vs. control 0.7679 LO-PE vs. control 0.1812 LO-PE vs. EO-PE 0.5412 |
| Height (cm), mean ± SD | 1.68 ± 0.06 | 1.64 ± 0.05 | 1.65 ± 0.06 | 0.0515 | EO-PE vs. control 0.0453 LO-PE vs. control 0.2247 LO-PE vs. EO-PE 0.6861 |
| Weight before pregnancy (kg), mean ± SD | 63.40 ± 10.45 | 67.96 ± 13.48 | 69.30 ± 13.41 | 0.2190 | EO-PE vs. control 0.4152 LO-PE vs. control 0.2141 LO-PE vs. EO-PE 0.9234 |
| Weight at the end of pregnancy (kg), mean ± SD | 77.04 ± 11.28 | 80.96 ± 15.25 | 85.26 ± 16.25 | 0.1300 | EO-PE vs. control 0.6119 LO-PE vs. control 0.1083 LO-PE vs. EO-PE 0.5419 |
| Weight difference (kg), mean ± SD | 13.64 ± 3.25 | 13.00 ± 4.54 | 15.96 ± 6.42 | 0.0847 | EO-PE vs. control 0.8942 LO-PE vs. control 0.2178 LO-PE vs. EO-PE 0.0915 |
| BMI before pregnancy (kg/m2), mean ± SD | 22.41 ± 3.32 | 25.27 ± 4.74 | 25.19 ± 4.19 | 0.0243 | EO-PE vs. control 0.0462 LO-PE vs. control 0.0460 LO-PE vs. EO-PE 0.9973 |
| BMI before pregnancy, n (%) | |||||
| <18.5, underweight | 2 (8.0%) | 0 (0.0%) | 2 (7.4%) | 0.0134 # | |
| 18.5–24.9, normal | 21 (84.0%) | 12 (50.0%) | 13 (48.2%) | ||
| 25.0–29.9, overweight | 1 (4.0%) | 8 (33.3%) | 9 (33.3%) | ||
| >30.0, obese | 1 (4.0%) | 4 (16.7%) | 3 (11.1%) | ||
| BMI at the end of pregnancy (kg/m2), mean ± SD | 27.24 ± 3.49 | 30.10 ± 5.42 | 31.08 ± 4.80 | 0.0113 | EO-PE vs. control 0.0837 LO-PE vs. control 0.0104 LO-PE vs. EO-PE 0.7327 |
| BMI difference (kg/m2), mean ± SD | 4.83 ± 1.10 | 4.84 ± 1.72 | 5.90 ± 2.21 | 0.0461 | EO-PE vs. control 0.9995 LO-PE vs. control 0.0775 LO-PE vs. EO-PE 0.0869 |
| Systolic blood pressure (mmHg), mean ± SD | 125.56 ± 7.48 | 174.91 ± 7.65 | 168.96 ± 12.20 | <0.0001 | EO-PE vs. control <0.0001 LO-PE vs. control <0.0001 LO-PE vs. EO-PE 0.0767 |
| Diastolic blood pressure (mmHg), mean ± SD | 80.48 ± 4.81 | 106.61 ± 6.20 | 103.96 ± 8.14 | <0.0001 | EO-PE vs. control <0.0001 LO-PE vs. control <0.0001 LO-PE vs. EO-PE 0.3382 |
| Daily urinary protein loss, mean ± SD | — | 3.41 ± 4.48 | 1.69 ± 2.53 | 0.1233 ^ | |
| Total protein in urine, mean ± SD | — | 5.62 ± 0.38 | 5.69 ± 0.44 | 0.6664 ^ | |
| Week of hypertension onset, mean ± SD | — | 28.21 ± 3.41 | 32.37 ± 2.39 | <0.0001 ^ | |
| Headache, n (%) | |||||
| Yes | 0 (0.0%) | 12 (48.0%) | 4 (15.4%) | 0.0002 # | |
| No | 25 (100.0%) | 13 (52.0%) | 22 (84.6%) | ||
| Number of past pregnancies, n (%) | |||||
| Primiparas | 15 (60.0%) | 17 (70.8%) | 22 (81.5%) | 0.2228 # | |
| Multiple births (2 to 6 pregnancies) | 10 (40.0%) | 7 (29.2%) | 5 (18.5%) | ||
| Method of pregnancy termination, n (%) | |||||
| Cesarean section | 10 (40.0%) | 24 (100.0%) | 25 (92.6%) | <0.0001 # | |
| Spontaneous labor | 10 (40.0%) | 0 (0.0%) | 0 (0.0%) | ||
| Vacuum extraction | 5 (20.0%) | 0 (0.0%) | 2 (7.4%) |
4.2. Samples
4.3. Methodology
4.3.1. Measurement of Protein Concentrations
4.3.2. Statistical Analyses
5. Conclusions
Author Contributions
Funding
Institutional Review Board Statement
Informed Consent Statement
Data Availability Statement
Conflicts of Interest
References
- Potential Biomarkers for Late-Onset and Term Preeclampsia: A Scoping Review—PMC. Available online: https://www.ncbi.nlm.nih.gov/pmc/articles/PMC10036383/ (accessed on 3 December 2023).
- Bahado-Singh, R.O.; Akolekar, R.; Mandal, R.; Dong, E.; Xia, J.; Kruger, M.; Wishart, D.S.; Nicolaides, K. First-Trimester Metabolomic Detection of Late-Onset Preeclampsia. Am. J. Obstet. Gynecol. 2013, 208, 58.e1–58.e7. [Google Scholar] [CrossRef] [PubMed]
- Fox, R.; Kitt, J.; Leeson, P.; Aye, C.Y.L.; Lewandowski, A.J. Preeclampsia: Risk Factors, Diagnosis, Management, and the Cardiovascular Impact on the Offspring. J. Clin. Med. 2019, 8, 1625. [Google Scholar] [CrossRef]
- Orabona, R.; Donzelli, C.M.; Falchetti, M.; Santoro, A.; Valcamonico, A.; Frusca, T. Placental Histological Patterns and Uterine Artery Doppler Velocimetry in Pregnancies Complicated by Early or Late Pre-Eclampsia. Ultrasound Obstet. Gynecol. 2016, 47, 580–585. [Google Scholar] [CrossRef]
- Von Dadelszen, P.; Payne, B.; Li, J.; Ansermino, J.M.; Pipkin, F.B.; Côté, A.-M.; Douglas, M.J.; Gruslin, A.; Hutcheon, J.A.; Joseph, K.S.; et al. Prediction of Adverse Maternal Outcomes in Pre-Eclampsia: Development and Validation of the fullPIERS Model. Lancet 2011, 377, 219–227. [Google Scholar] [CrossRef]
- Kim, Y.M.; Chaemsaithong, P.; Romero, R.; Shaman, M.; Kim, C.J.; Kim, J.-S.; Qureshi, F.; Jacques, S.M.; Ahmed, A.I.; Chaiworapongsa, T.; et al. The Frequency of Acute Atherosis in Normal Pregnancy and Preterm Labor, Preeclampsia, Small for Gestational Age, Fetal Death and Midtrimester Spontaneous Abortion. J. Matern. Fetal. Neonatal. Med. 2015, 28, 2001–2009. [Google Scholar] [CrossRef]
- Lekva, T.; Sugulle, M.; Moe, K.; Redman, C.; Dechend, R.; Staff, A.C. Multiplex Analysis of Circulating Maternal Cardiovascular Biomarkers Comparing Preeclampsia Subtypes. Hypertension 2020, 75, 1513–1522. [Google Scholar] [CrossRef]
- Ogge, G.; Chaiworapongsa, T.; Romero, R.; Hussein, Y.; Kusanovic, J.P.; Yeo, L.; Kim, C.J.; Hassan, S.S. Placental lesions associated with maternal underperfusion are more frequent in early-onset than in late-onset preeclampsia. J. Perinat. Med. 2011, 39, 641–652. [Google Scholar] [CrossRef]
- Powers, R.W.; Roberts, J.M.; Plymire, D.A.; Pucci, D.; Datwyler, S.A.; Laird, D.M.; Sogin, D.C.; Jeyabalan, A.; Hubel, C.A.; Gandley, R.E. Low Placental Growth Factor across Pregnancy Identifies a Subset of Women with Preterm Preeclampsia: Type 1 versus Type 2 Preeclampsia? Hypertension 2012, 60, 239–246. [Google Scholar] [CrossRef]
- Rana, S.; Schnettler, W.T.; Powe, C.; Wenger, J.; Salahuddin, S.; Cerdeira, A.S.; Verlohren, S.; Perschel, F.H.; Arany, Z.; Lim, K.-H.; et al. Clinical Characterization and Outcomes of Preeclampsia with Normal Angiogenic Profile. Hypertens. Pregnancy 2013, 32, 189–201. [Google Scholar] [CrossRef]
- Snydal, S. Major Changes in Diagnosis and Management of Preeclampsia. J. Midwifery Women’s Health 2014, 59, 596–605. [Google Scholar] [CrossRef]
- Brown, M.A.; Magee, L.A.; Kenny, L.C.; Karumanchi, S.A.; McCarthy, F.P.; Saito, S.; Hall, D.R.; Warren, C.E.; Adoyi, G.; Ishaku, S. Hypertensive Disorders of Pregnancy. Hypertension 2018, 72, 24–43. [Google Scholar] [CrossRef] [PubMed]
- Zeisler, H.; Llurba, E.; Chantraine, F.; Vatish, M.; Staff, A.C.; Sennström, M.; Olovsson, M.; Brennecke, S.P.; Stepan, H.; Allegranza, D.; et al. Predictive Value of the sFlt-1:PlGF Ratio in Women with Suspected Preeclampsia. N. Engl. J. Med. 2016, 374, 13–22. [Google Scholar] [CrossRef] [PubMed]
- MacDonald, T.M.; Walker, S.P.; Hannan, N.J.; Tong, S.; Kaitu’u-Lino, T.J. Clinical Tools and Biomarkers to Predict Preeclampsia. eBioMedicine 2022, 75, 103780. [Google Scholar] [CrossRef] [PubMed]
- Verlohren, S.; Dröge, L.-A. The Diagnostic Value of Angiogenic and Antiangiogenic Factors in Differential Diagnosis of Preeclampsia. Am. J. Obstet. Gynecol. 2022, 226, S1048–S1058. [Google Scholar] [CrossRef]
- Kuc, S.; Koster, M.P.H.; Pennings, J.L.A.; Hankemeier, T.; Berger, R.; Harms, A.C.; Dane, A.D.; Schielen, P.C.J.I.; Visser, G.H.A.; Vreeken, R.J. Metabolomics Profiling for Identification of Novel Potential Markers in Early Prediction of Preeclampsia. PLoS ONE 2014, 9, e98540. [Google Scholar] [CrossRef]
- Austdal, M.; Skråstad, R.B.; Gundersen, A.S.; Austgulen, R.; Iversen, A.-C.; Bathen, T.F. Metabolomic Biomarkers in Serum and Urine in Women with Preeclampsia. PLoS ONE 2014, 9, e91923. [Google Scholar] [CrossRef]
- Eltounali, S.A.; Moodley, J.; Naicker, T. Role of Kidney Biomarkers [Kidney Injury Molecule-1, Calbindin, Interleukin-18 and Monocyte Chemoattractant Protein-1] in HIV Associated Pre-Eclampsia. Hypertens. Pregnancy 2017, 36, 288–294. [Google Scholar] [CrossRef]
- Oztas, E.; Ozler, S.; Ersoy, A.O.; Iskender, C.T.; Sucak, A.; Ergin, M.; Uygur, D.; Danisman, N. Increased Levels of Serum Clusterin Is Associated with Intrauterine Growth Restriction and Adverse Pregnancy Outcomes in Preeclampsia. J. Perinat. Med. 2016, 44, 269–275. [Google Scholar] [CrossRef]
- Mlambo, Z.P.; Varaden, D.; Moodley, J.; Naicker, T. Are Concentrations of Clusterin and Beta-2-Glycoprotein I Dysregulated in HIV Associated Preeclampsia? Eur. J. Obstet. Gynecol. Reprod. Biol. 2020, 251, 1–7. [Google Scholar] [CrossRef]
- Lopez-Hernandez, Y.; Saldivar-Nava, J.A.; Garza-Veloz, I.; Delgado-Enciso, I.; Martinez-de-Villarreal, L.E.; Yahuaca-Mendoza, P.; Rodriguez-Sanchez, I.P.; Lopez-Gilibets, L.; Galvan-Tejada, J.I.; Galvan-Tejada, C.E.; et al. Nested Case-Control Study Reveals Increased Levels of Urinary Proteins from Human Kidney Toxicity Panels in Women Predicted to Develop Preeclampsia. Int. Urol. Nephrol. 2016, 48, 2051–2059. [Google Scholar] [CrossRef]
- Odun-Ayo, F.; Moodley, J.; Naicker, T. Urinary Clusterin and Glutathione-s-Transferase Levels in HIV Positive Normotensive and Preeclamptic Pregnancies. Hypertens. Pregnancy 2018, 37, 160–167. [Google Scholar] [CrossRef] [PubMed]
- Knapen, M.F.; Peters, W.H.; Mulder, T.P.; Merkus, H.M.; Jansen, J.B.; Steegers, E.A. Plasma Glutathione S-Transferase Pi 1-1 Measurements in the Study of Hemolysis in Hypertensive Disorders of Pregnancy. Hypertens. Pregnancy 1999, 18, 147–156. [Google Scholar] [CrossRef] [PubMed]
- Parveen, S.; Noor, N.; Moin, S.; Arshad, Z.; Banu, N. Oxidative Stress and Antioxidant Enzymes in Pre-Eclampsia. J. SAFOG 2014, 6, 5–7. [Google Scholar] [CrossRef]
- Lavanya, Y.R. Study of Oxidative Stress and Uric Acid in Pregnancy Induced Hypertension. Int. J. Biomed. Adv. Res. 2015, 6, 204. [Google Scholar] [CrossRef]
- Roes, E.M.; Raijmakers, M.T.M.; Roelofs, H.M.; Peters, W.H.; Steegers, E.A. Urinary GSTP1-1 Excretion Is Markedly Increased in Normotensive Pregnancy as Well as in Preeclampsia. J. Nephrol. 2005, 18, 405–408. [Google Scholar]
- Roland, L.; Gagné, A.; Bélanger, M.-C.; Boutet, M.; Julien, P.; Bilodeau, J.-F. Plasma Interleukin-18 (IL-18) Levels Are Correlated with Antioxidant Vitamin Coenzyme Q(10) in Preeclampsia. Acta Obstet. Gynecol. Scand. 2010, 89, 360–366. [Google Scholar] [CrossRef]
- Huang, X.; Huang, H.; Dong, M.; Yao, Q.; Wang, H. Serum and Placental Interleukin-18 Are Elevated in Preeclampsia. J. Reprod. Immunol. 2005, 65, 77–87. [Google Scholar] [CrossRef]
- Adams, K.M.; Mandel, L.S.; Guthrie, K.A.; Atkinson, M.W. Interleukin-18 in the Plasma of Women with Preeclampsia. Am. J. Obstet. Gynecol. 2003, 188, 1234–1237. [Google Scholar] [CrossRef]
- Xiao, J.; Niu, J.; Ye, X.; Yu, Q.; Gu, Y. Combined Biomarkers Evaluation for Diagnosing Kidney Injury in Preeclampsia. Hypertens. Pregnancy 2013, 32, 439–449. [Google Scholar] [CrossRef]
- Yang, Y.; Su, X.; Xu, W.; Zhou, R. Interleukin-18 and Interferon Gamma Levels in Preeclampsia: A Systematic Review and Meta-Analysis. Am. J. Reprod. Immunol. 2014, 72, 504–514. [Google Scholar] [CrossRef]
- Katabuchi, H.; Yih, S.; Ohba, T.; Matsui, K.; Takahashi, K.; Takeya, M.; Okamura, H. Characterization of Macrophages in the Decidual Atherotic Spiral Artery with Special Reference to the Cytology of Foam Cells. Med. Electron. Microsc. 2003, 36, 253–262. [Google Scholar] [CrossRef] [PubMed]
- Szarka, A.; Rigó, J.; Lázár, L.; Bekő, G.; Molvarec, A. Circulating Cytokines, Chemokines and Adhesion Molecules in Normal Pregnancy and Preeclampsia Determined by Multiplex Suspension Array. BMC Immunol. 2010, 11, 59. [Google Scholar] [CrossRef] [PubMed]
- Kattah, A. Preeclampsia and Kidney Disease: Deciphering Cause and Effect. Curr. Hypertens. Rep. 2020, 22, 91. [Google Scholar] [CrossRef] [PubMed]
- Matysiak, J.; Packi, K.; Klimczak, S.; Bukowska, P.; Matuszewska, E.; Klupczyńska-Gabryszak, A.; Bręborowicz, A.; Matysiak, J. Cytokine Profile in Childhood Asthma. J. Med. Sci. 2022, 91, e725. [Google Scholar] [CrossRef]
- Hemmingsen, C. Regulation of Renal Calbindin-D28K. Pharmacol. Toxicol. 2000, 87 (Suppl. 3), 5–30. [Google Scholar]
- Iida, T.; Fujinaka, H.; Xu, B.; Zhang, Y.; Magdeldin, S.; Nameta, M.; Liu, Z.; Yoshida, Y.; Yaoita, E.; Tomizawa, S.; et al. Decreased Urinary Calbindin 1 Levels in Proteinuric Rats and Humans with Distal Nephron Segment Injuries. Clin. Exp. Nephrol. 2014, 18, 432–443. [Google Scholar] [CrossRef]
- Jones, S.E.; Jomary, C. Clusterin. Int. J. Biochem. Cell Biol. 2002, 34, 427–431. [Google Scholar] [CrossRef]
- Watanabe, H.; Hamada, H.; Yamada, N.; Sohda, S.; Yamakawa-Kobayashi, K.; Yoshikawa, H.; Arinami, T. Proteome Analysis Reveals Elevated Serum Levels of Clusterin in Patients with Preeclampsia. Proteomics 2004, 4, 537–543. [Google Scholar] [CrossRef]
- Ichimura, T.; Bonventre, J.V.; Bailly, V.; Wei, H.; Hession, C.A.; Cate, R.L.; Sanicola, M. Kidney Injury Molecule-1 (KIM-1), a Putative Epithelial Cell Adhesion Molecule Containing a Novel Immunoglobulin Domain, Is up-Regulated in Renal Cells after Injury. J. Biol. Chem. 1998, 273, 4135–4142. [Google Scholar] [CrossRef]
- Ichimura, T.; Asseldonk, E.J.P.V.; Humphreys, B.D.; Gunaratnam, L.; Duffield, J.S.; Bonventre, J.V. Kidney Injury Molecule–1 Is a Phosphatidylserine Receptor That Confers a Phagocytic Phenotype on Epithelial Cells. J. Clin. Investig. 2008, 118, 1657–1668. [Google Scholar] [CrossRef]
- Salcedo, R.; Ponce, M.L.; Young, H.A.; Wasserman, K.; Ward, J.M.; Kleinman, H.K.; Oppenheim, J.J.; Murphy, W.J. Human Endothelial Cells Express CCR2 and Respond to MCP-1: Direct Role of MCP-1 in Angiogenesis and Tumor Progression. Blood 2000, 96, 34–40. [Google Scholar] [CrossRef] [PubMed]
- Murea, M.; Register, T.C.; Divers, J.; Bowden, D.W.; Carr, J.J.; Hightower, C.R.; Xu, J.; Smith, S.C.; Hruska, K.A.; Langefeld, C.D.; et al. Relationships between Serum MCP-1 and Subclinical Kidney Disease: African American-Diabetes Heart Study. BMC Nephrol. 2012, 13, 148. [Google Scholar] [CrossRef] [PubMed]
- Viedt, C.; Orth, S.R. Monocyte Chemoattractant Protein-1 (MCP-1) in the Kidney: Does It More than Simply Attract Monocytes? Nephrol. Dial. Transplant 2002, 17, 2043–2047. [Google Scholar] [CrossRef] [PubMed]



| Protein | N | Mean | SD | Median | Min. | Max. | 1 Q | 3 Q |
|---|---|---|---|---|---|---|---|---|
| Serum | ||||||||
| Calbindin (ng/mL) | 76 | 883.53 | 131.7 | 892.86 | 251.62 | 1113.75 | 835.7 | 967.7 |
| Clusterin (ng/mL) | 76 | 116,351.27 | 47,171.17 | 113,500.37 | 18.43 | 288,133.68 | 88,137.83 | 149,596.61 |
| GSTP1 (ng/mL) | 75 | 22 | 21.97 | 16.72 | 0.21 | 149.74 | 13.21 | 22.78 |
| IL-18 (ng/mL) | 76 | 2.58 | 0.49 | 2.55 | 0.75 | 4.74 | 2.35 | 2.75 |
| KIM-1 (ng/mL) | 76 | 3.17 | 0.48 | 3.14 | 0.74 | 4.16 | 2.93 | 3.37 |
| MCP-1 (ng/mL) | 75 | 0.98 | 0.22 | 0.96 | 0.37 | 1.5 | 0.81 | 1.12 |
| Urine | ||||||||
| Calbindin (ng/mL) | 56 | 257.67 | 234.62 | 187.31 | 6.32 | 948.38 | 81.68 | 328.56 |
| Clusterin (ng/mL) | 73 | 99.39 | 192.8 | 37.26 | 0.46 | 1180.83 | 10.75 | 88.15 |
| GSTP1 (ng/mL) | 70 | 70.18 | 134.18 | 23.72 | 0.03 | 951.25 | 5.89 | 77.53 |
| IL-18 (ng/mL) | 54 | 0.18 | 0.24 | 0.12 | 0.01 | 1.61 | 0.06 | 0.23 |
| KIM-1 (ng/mL) | 73 | 0.98 | 1.24 | 0.58 | 0.03 | 6.72 | 0.28 | 1.28 |
| MCP-1 (ng/mL) | 70 | 0.92 | 1.28 | 0.56 | 0.05 | 9.09 | 0.21 | 1.19 |
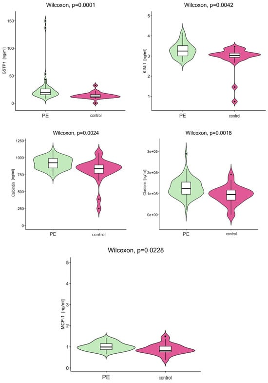
| Protein | PE Group (N = 51) | Control Group (N = 25) | p |
|---|---|---|---|
| Serum | |||
| Calbindin (ng/mL) | 925.12 (849.40–988.90) | 838.47 (772.11–892.86) | 0.0024 |
| Clusterin (ng/mL) | 124,693.50 (97,071.73–154,823.30) | 96,323.58 (69,449.51–116,498.70) | 0.0018 |
| GSTP1 (ng/mL) | 19.20 (15.67–26.03) | 13.08 (10.76–15.82) | 0.0001 |
| IL-18 (ng/mL) | 2.61 (2.35–2.75) | 2.41 (2.22–2.75) | 0.1942 |
| KIM-1 (ng/mL) | 3.25 (3.00–3.51) | 3.03 (2.93–3.14) | 0.0042 |
| MCP-1 (ng/mL) | 0.99 (0.87–1.15) | 0.84 (0.77–1.03) | 0.0228 |
| Urine | |||
| Calbindin (ng/mL) | 155.77 (85.26–291.17) | 264.94 (86.69–350.51) | 0.4938 |
| Clusterin (ng/mL) | 35.70 (14.49–84.69) | 39.52 (9.25–96.36) | 0.7867 |
| GSTP1 (ng/mL) | 24.23 (6.68–76.85) | 23.22 (5.32–89.70) | 0.7357 |
| IL-18 (ng/mL) | 0.12 (0.05–0.23) | 0.09 (0.06–0.20) | 0.8422 |
| KIM-1 (ng/mL) | 0.61 (0.32–1.60) | 0.48 (0.16–0.72) | 0.0782 |
| MCP-1 (ng/mL) | 0.61 (0.26–1.29) | 0.45 (0.18–0.71) | 0.2098 |
| Protein | EO-PE (N = 24) | LO-PE (N = 27) | Control Group | p | ||
|---|---|---|---|---|---|---|
| Serum | ||||||
| Calbindin (ng/mL) | 919.76 (854.86–967.75) | 925.12 (849.40–988.90) | 838.47 (772.11–892.86) | 0.0095 | ||
| Clusterin (ng/mL) | 123,330.50 (97,852.67–156,932.50) | 124,840.30 (97,071.73–151,855.10) | 96,323.58 (69,449.51–116,498.70) | 0.0071 | ||
| GSTP1 (ng/mL) | 20.15 (16.26–28.51) | 18.57 (14.50–22.78) | 13.08 (10.76–15.82) | 0.0003 | ||
| IL-18 (ng/mL) | 2.48 (2.32–2.65) | 2.61 (2.41–2.78) | 2.41 (2.22–2.75) | 0.1397 | ||
| KIM-1 (ng/mL) | 3.27 (3.11–3.49) | 3.25 (2.93–3.49) | 3.03 (2.93–3.14) | 0.0109 | ||
| MCP-1 (ng/mL) | 0.99 (0.85–1.15) | 1.03 (0.87–1.15) | 0.84 (0.77–1.03) | 0.0706 | ||
| Urine | ||||||
| Calbindin (ng/mL) | 177.84 (100.18–475.25) | 153.53 (78.48–249.23) | 264.94 (86.69–350.51) | 0.5449 | ||
| Clusterin (ng/mL) | 19.60 (6.86–80.59) | 40.64 (23.04–86.31) | 39.52 (9.25–96.36) | 0.2978 | ||
| GSTP1 (ng/mL) | 11.61 (4.51–98.92) | 35.38 (16.19–66.33) | 23.22 (5.32–89.70) | 0.5409 | ||
| IL-18 (ng/mL) | 0.10 (0.03–0.14) | 0.14 (0.07–0.28) | 0.09 (0.06–0.20) | 0.1929 | ||
| KIM-1 (ng/mL) | 0.37 (0.27–0.90) | 0.73 (0.54–1.69) | 0.48 (0.16–0.72) | 0.0235 | ||
| MCP-1 (ng/mL) | 0.47 (0.20–1.25) | 0.69 (0.36–1.29) | 0.45 (0.18–0.71) | 0.3325 | ||
| Serum | Urine | |||||
| p* | Control vs. EO-PE | Control vs. LO-PE | EO-PE vs. LO-PE | Control vs. EO-PE | Control vs. LO-PE | EO-PE vs. LO-PE |
| Calbindin | 0.0272 | 0.0156 | 0.8023 | 0.9635 | 0.9866 | 0.7831 |
| Clusterin | 0.0145 | 0.0171 | 0.7888 | 0.5949 | 0.6846 | 0.3768 |
| GSTP1 | 0.0003 | 0.0075 | 0.2596 | 0.7657 | 0.8771 | 0.8757 |
| IL-18 | 0.7364 | 0.1894 | 0.2696 | 0.4041 | 0.7191 | 0.2145 |
| KIM-1 | 0.0106 | 0.0713 | 0.3717 | 0.6349 | 0.0341 | 0.0730 |
| MCP-1 | 0.1430 | 0.0933 | 0.7632 | 0.5147 | 0.4184 | 0.8760 |
| Serum | ||||||
|---|---|---|---|---|---|---|
| Calbindin | Clusterin | GSTP1 | IL-18 | KIM-1 | MCP-1 | |
| Calbindin | — | Control: rho = 0.87 p < 0.001 | Control: rho = 0.36 p > 0.999 | Control: rho = 0.27 p > 0.999 | Control: rho = 0.41 p > 0.999 | Control: rho = 0.52 p < 0.001 |
| Clusterin | PE rho = 0.79 p < 0.001 | — | Control: rho = 0.39 p > 0.999 | Control: rho = 0.18 p > 0.999 | Control: rho = 0.24 p > 0.999 | Control: rho = 0.41 p > 0.999 |
| GSTP1 | PE rho = 0.41 p = 0.134 | PE rho = 0.49 p = 0.013 | — | Control: rho = 0.42 p > 0.999 | Control: rho = 0.24 p > 0.999 | Control: rho = 0.14 p > 0.999 |
| IL-18 | PE rho = 0.63 p < 0.001 | PE rho = 0.43 p = 0.101 | PE rho = 0.35 p = 0.620 | — | Control: rho = 0.72 p = 0.003 | Control: rho = 0.66 p = 0.023 |
| KIM-1 | PE rho = 0.72 p < 0.001 | PE rho = 0.58 p < 0.001 | PE rho = 0.39 p = 0.237 | PE rho = 0.60 p < 0.001 | — | Control: rho = 0.68 p = 0.014 |
| MCP-1 | PE rho = 0.63 p < 0.001 | PE rho = 0.58 p < 0.001 | PE rho = 0.24 p > 0.999 | PE rho = 0.61 p < 0.001 | PE rho = 0.47 p = 0.031 | — |
| Urine | ||||||
| Calbindin | Clusterin | GSTP1 | IL-18 | KIM-1 | MCP-1 | |
| Calbindin | — | Control: rho = 0.80 p = 0.004 | Control: rho = 0.71 p = 0.052 | Control: rho = 0.79 p = 0.017 | Control: rho = 0.79 p = 0.006 | Control: rho = 0.67 p = 0.131 |
| Clusterin | PE rho = 0.57 p = 0.012 | — | Control: rho = 0.83 p < 0.001 | Control: rho = 0.70 p = 0.124 | Control: rho = 0.89 p < 0.001 | Control: rho = 0.90 p < 0.001 |
| GSTP1 | PE rho = 0.29 p > 0.999 | PE rho = 0.69 p < 0.001 | — | Control: rho = 0.59 p = 0.737 | Control: rho = 0.88 p < 0.001 | Control: rho = 0.76 p = 0.002 |
| IL-18 | PE rho = 0.66 p = 0.001 | PE rho = 0.62 p = 0.002 | PE rho = 0.31 p > 0.999 | — | Control: rho = 0.65 p = 0.324 | Control: rho = 0.65 p = 0.325 |
| KIM-1 | PE rho = 0.67 p < 0.001 | PE rho = 0.81 p < 0.001 | PE rho = 0.48 p = 0.036 | PE rho = 0.68 p < 0.001 | — | Control: rho = 0.81 p < 0.001 |
| MCP-1 | PE rho = 0.68 p < 0.001 | PE rho = 0.75 p < 0.001 | PE rho = 0.47 p = 0.060 | PE rho = 0.67 p < 0.001 | PE rho = 0.76 p < 0.001 | — |
| Serum | ||||||
|---|---|---|---|---|---|---|
| Calbindin | Clusterin | GSTP1 | IL-18 | KIM-1 | MCP-1 | |
| Calbindin | — | LO-PE: rho = 0.68 p = 0.008 | LO-PE: rho = 0.29 p > 0.999 | LO-PE: rho = 0.63 p = 0.028 | LO-PE: rho = 0.72 p = 0.002 | LO-PE: rho = 0.69 p = 0.005 |
| Clusterin | EO-PE rho = 0.92 p < 0.001 | — | LO-PE: rho = 0.41 p > 0.999 | LO-PE: rho = 0.23 p > 0.999 | LO-PE: rho = 0.46 p = 0.960 | LO-PE: rho = 0.49 p = 0.608 |
| GSTP1 | EO-PE rho = 0.62 p = 0.070 | EO-PE rho = 0.62 p = 0.071 | — | LO-PE: rho = 0.28 p > 0.999 | LO-PE: rho = 0.32 p > 0.999 | LO-PE: rho = 0.19 p > 0.999 |
| IL-18 | EO-PE rho = 0.55 p = 0.332 | EO-PE rho = 0.60 p = 0.114 | EO-PE rho = 0.50 p = 0.655 | — | LO-PE: rho = 0.59 p = 0.086 | LO-PE: rho = 0.56 p = 0.171 |
| KIM-1 | EO-PE rho = 0.78 p < 0.001 | EO-PE rho = 0.74 p = 0.002 | EO-PE rho = 0.45 p = 0.352 | EO-PE rho = 0.68 p = 0.018 | — | LO-PE: rho = 0.30 p > 0.999 |
| MCP-1 | EO-PE rho = 0.54 p = 0.350 | EO-PE rho = 0.62 p = 0.085 | EO-PE rho = 0.33 p > 0.999 | EO-PE rho = 0.65 p = 0.035 | EO-PE rho = 0.61 p = 0.104 | — |
| Urine | ||||||
| Calbindin | Clusterin | GSTP1 | IL-18 | KIM-1 | MCP-1 | |
| Calbindin | — | LO-PE: rho = 0.35 p > 0.999 | LO-PE: rho = 0.18 p > 0.999 | LO-PE: rho = 0.68 p = 0.026 | LO-PE: rho = 0.68 p = 0.017 | LO-PE: rho = 0.56 p = 0.318 |
| Clusterin | EO-PE rho = 0.91 p < 0.001 | — | LO-PE: rho = 0.54 p = 0.242 | LO-PE: rho = 0.35 p > 0.999 | LO-PE: rho = 0.72 p = 0.002 | LO-PE: rho = 0.64 p = 0.023 |
| GSTP1 | EO-PE rho = 0.46 p > 0.999 | EO-PE rho = 0.79 p = 0.003 | — | LO-PE: rho = 0.05 p > 0.999 | LO-PE: rho = 0.37 p > 0.999 | LO-PE: rho = 0.38 p > 0.999 |
| IL-18 | EO-PE rho = 0.72 p = 0.707 | EO-PE rho = 0.87 p = 0.001 | EO-PE rho = 0.68 p = 0.401 | — | LO-PE: rho = 0.57 p = 0.323 | LO-PE: rho = 0.48 p > 0.999 |
| KIM-1 | EO-PE rho = 0.70 p = 0.332 | EO-PE rho = 0.84 p < 0.001 | EO-PE rho = 0.53 p = 0.859 | EO-PE rho = 0.80 p = 0.021 | — | LO-PE: rho = 0.68 p = 0.008 |
| MCP-1 | EO-PE rho = 0.89 p = 0.002 | EO-PE rho = 0.81 p < 0.001 | EO-PE rho = 0.43 p > 0.999 | EO-PE rho = 0.87 p = 0.002 | EO-PE rho = 0.84 p < 0.001 | — |
| Protein | AUC (95%PU) | SE | Cut-Off Point | Sensitivity | Specificity | p |
|---|---|---|---|---|---|---|
| Serum | ||||||
| Calbindin | 0.715 (0.588–0.843) | 0.065 | 909.017 | 0.840 | 0.549 | 0.0009 |
| Clusterin | 0.722 (0.600–0.845) | 0.063 | 121,362.837 | 0.880 | 0.549 | 0.0004 |
| GSTP1 | 0.779 (0.667–0.892) | 0.057 | 15.666 | 0.750 | 0.745 | 0.000001 |
| IL-18 | 0.592 (0.447–0.737) | 0.074 | 2.447 | 0.520 | 0.706 | 0.2128 |
| KIM-1 | 0.703 (0.585–0.821) | 0.060 | 3.218 | 0.800 | 0.569 | 0.0007 |
| MCP-1 | 0.664 (0.523–0.805) | 0.072 | 0.853 | 0.542 | 0.804 | 0.0225 |
| Urine | ||||||
| Calbindin | 0.558 (0.390–0.726) | 0.086 | 243.574 | 0.556 | 0.737 | 0.5010 |
| Clusterin | 0.480 (0.332–0.627) | 0.075 | 1.955 | 1.000 | 0.078 | 0.7855 |
| GSTP1 | 0.525 (0.376–0.675) | 0.076 | 34.525 | 0.696 | 0.468 | 0.7391 |
| IL-18 | 0.518 (0.350–0.686) | 0.086 | 0.091 | 0.500 | 0.632 | 0.8327 |
| KIM-1 | 0.631 (0.495–0.767) | 0.069 | 0.187 | 0.364 | 0.882 | 0.0593 |
| MCP-1 | 0.595 (0.450–0.740) | 0.074 | 0.731 | 0.773 | 0.417 | 0.1998 |
Disclaimer/Publisher’s Note: The statements, opinions and data contained in all publications are solely those of the individual author(s) and contributor(s) and not of MDPI and/or the editor(s). MDPI and/or the editor(s) disclaim responsibility for any injury to people or property resulting from any ideas, methods, instructions or products referred to in the content. |
© 2025 by the authors. Licensee MDPI, Basel, Switzerland. This article is an open access article distributed under the terms and conditions of the Creative Commons Attribution (CC BY) license (https://creativecommons.org/licenses/by/4.0/).
Share and Cite
Romała, A.; Matuszewska-Mach, E.; Markwitz, W.; Brązert, M.; Borysewicz, P.; Pietkiewicz, D.; Matysiak, J.; Drews, K.; Szpera, A. Potential Molecular Biomarkers of Preeclampsia—A Pilot Study. Int. J. Mol. Sci. 2025, 26, 6149. https://doi.org/10.3390/ijms26136149
Romała A, Matuszewska-Mach E, Markwitz W, Brązert M, Borysewicz P, Pietkiewicz D, Matysiak J, Drews K, Szpera A. Potential Molecular Biomarkers of Preeclampsia—A Pilot Study. International Journal of Molecular Sciences. 2025; 26(13):6149. https://doi.org/10.3390/ijms26136149
Chicago/Turabian StyleRomała, Anna, Eliza Matuszewska-Mach, Wiesław Markwitz, Maciej Brązert, Paulina Borysewicz, Dagmara Pietkiewicz, Jan Matysiak, Krzysztof Drews, and Agata Szpera. 2025. "Potential Molecular Biomarkers of Preeclampsia—A Pilot Study" International Journal of Molecular Sciences 26, no. 13: 6149. https://doi.org/10.3390/ijms26136149
APA StyleRomała, A., Matuszewska-Mach, E., Markwitz, W., Brązert, M., Borysewicz, P., Pietkiewicz, D., Matysiak, J., Drews, K., & Szpera, A. (2025). Potential Molecular Biomarkers of Preeclampsia—A Pilot Study. International Journal of Molecular Sciences, 26(13), 6149. https://doi.org/10.3390/ijms26136149

