A Unique Expression Profile Responding to Powdery Mildew in Wild Emmer Wheat D430
Abstract
1. Introduction
2. Results
2.1. Evaluation and Genetic Analysis of Powdery Mildew Resistance in D430
2.2. BSR-Seq Analysis Revealed High-Quality Sequence Data
2.3. Confirmation of Candidate Interval in D430
2.4. Discovery and Classification of DEGs
2.5. DEG Enrichment Analyses of GO and KEGG Pathway
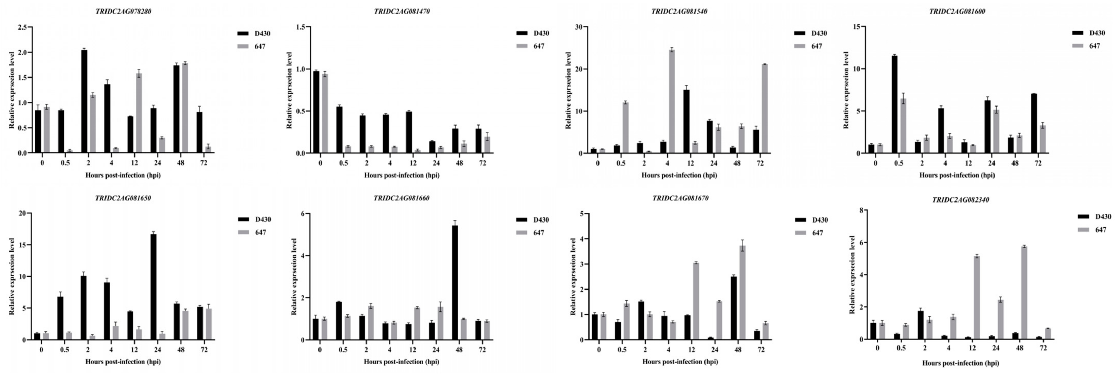
2.6. Verification of Disease-Resistance-Related Genes by qRT-PCR in D430
3. Discussion
4. Materials and Methods
4.1. Plant Materials
4.2. Genetic Analysis
4.3. RNA Extraction and Sequencing Library Preparation for BSR-Seq
4.4. Sequencing and Data Analysis
4.5. Gene Mapping
4.6. Gene Cloning and Sequence Alignment
4.7. Differential Expression Gene Analysis, Functional Annotation, and Enrichment Analysis of the DEGs
4.8. Sample Preparation and qRT-PCR
5. Conclusions
Author Contributions
Funding
Institutional Review Board Statement
Informed Consent Statement
Data Availability Statement
Conflicts of Interest
References
- Li, H.; Zhou, Y.; Xin, W.; Wei, Y.; Zhang, J.; Guo, L. Wheat breeding in northern China: Achievements and technical advances. Crop J. 2019, 7, 718–729. [Google Scholar] [CrossRef]
- Singh, R.P.; Singh, P.K.; Rutkoski, J.; Hodson, D.P.; He, X.; Jørgensen, L.N.; Hovmøller, S.M.; Huerta-Espino, J. Disease impact on wheat yield potential and prospects of genetic control. Annu. Rev. Phytopathol. 2016, 54, 303–322. [Google Scholar] [CrossRef] [PubMed]
- Qian, Z.; Han, G.; Yu, N.; Liu, C.; Han, R.; Jameson, P.; Wang, J.; Zhao, Y.; Xiao, B.; Liu, R.; et al. Fine mapping of the powdery mildew resistance gene PmXQ-0508 in bread wheat. Crop J. 2024, 12, 1176–1184. [Google Scholar] [CrossRef]
- Li, Y.; Wei, Z.; Sela, H.; Govta, L.; Klymiuk, V.; Roychowdhury, R.; Chawla, H.S.; Ens, J.; Wiebe, K.; Bocharova, V.; et al. Long-read genome sequencing accelerated the cloning of Pm69 by resolving the complexity of a rapidly evolving resistance gene cluster in wheat. Plant Commun. 2024, 5, 100646. [Google Scholar] [CrossRef]
- Wang, B.; Meng, T.; Xiao, B.; Yu, T.; Yue, T.; Jin, Y.; Ma, P. Fighting wheat powdery mildew: From genes to fields. Theor. Appl. Genet. 2023, 136, 196. [Google Scholar] [CrossRef]
- Rong, J.; Millet, E.; Manisterski, J.; Feldman, M. A new powdery mildew resistance gene: Introgression from wild emmer into common wheat and RFLP-based mapping. Euphytica 2000, 115, 121–126. [Google Scholar] [CrossRef]
- Hua, W.; Liu, Z.; Zhu, J.; Xie, C.; Yang, T.; Zhou, Y.; Duan, X.; Sun, Q.; Liu, Z. Identification and genetic mapping of pm42, a new recessive wheat powdery mildew resistance gene derived from wild emmer (Triticum turgidum var. dicoccoides). Theor. Appl. Genet. 2009, 119, 223–230. [Google Scholar] [CrossRef]
- Blanco, A.; Gadaleta, A.; Cenci, A.; Carluccio, A.V.; Abdelbacki, A.M.; Simeone, R. Molecular mapping of the novel powdery mildew resistance gene Pm36 introgressed from Triticum turgidum var. dicoccoides in durum wheat. Theor. Appl. Genet. 2008, 117, 135–142. [Google Scholar] [CrossRef]
- Wang, Z.; Cui, Y.; Chen, Y.; Zhang, D.; Liang, Y.; Zhang, D.; Wu, Q.; Xie, J.; Ouyang, S.; Li, D.; et al. Comparative genetic mapping and genomic region collinearity analysis of the powdery mildew resistance gene Pm41. Theor. Appl. Genet. 2014, 127, 1741–1751. [Google Scholar] [CrossRef]
- Zhang, D.; Zhu, K.; Dong, L.; Liang, Y.; Li, G.; Fang, T.; Guo, G.; Wu, Q.; Xie, J.; Chen, Y.; et al. Wheat powdery mildew resistance gene Pm64 derived from wild emmer (Triticum turgidum var. dicoccoides) is tightly linked in repulsion with stripe rust resistance gene Yr5. Crop J. 2019, 7, 761–770. [Google Scholar] [CrossRef]
- Yin, H.; Fang, X.; Li, P.; Yang, Y.; Hao, Y.; Liang, X.; Bo, C.; Ni, F.; Ma, X.; Du, X.; et al. Genetic mapping of a novel powdery mildew resistance gene in wild emmer wheat from “Evolution Canyon” in Mt. Carmel Israel. Theor. Appl. Genet. 2021, 134, 909–921. [Google Scholar] [CrossRef] [PubMed]
- Pankievicz, V.C.S.; Camilios-Neto, D.; Bonato, P.; Balsanelli, E.; Tadra-Sfeir, M.Z.; Faoro, H.; Chubatsu, L.S.; Donatti, L.; Passetti, F.; Monteiro, R.A.; et al. RNA-seq transcriptional profiling of Herbaspirillum seropedicae colonizing wheat (Triticum aestivum) roots. Plant Mol. Biol. 2016, 90, 589–603. [Google Scholar] [CrossRef] [PubMed]
- Pearce, S.; Vazquez-Gross, H.; Herin, S.Y.; Hane, D.; Wang, Y.; Gu, Y.; Dubcovsky, J. WheatExp: An RNA-seq expression database for polyploid wheat. BMC Plant Biol. 2015, 15, 299. [Google Scholar] [CrossRef]
- Wu, L.; Zhu, T.; He, H.; Cao, X.; Li, H.; Xu, H.; Jia, M.; Zhang, L.; Song, J.; Mirzaghaderi, G.; et al. Genetic dissection of the powdery mildew resistance in wheat breeding line LS5082 using BSR-Seq. Crop J. 2022, 10, 1120–1130. [Google Scholar] [CrossRef]
- Jin, Y.; Han, G.; Zhang, W.; Bu, B.; Zhao, Y.; Wang, J.; Liu, R.; Yang, H.; Xu, H.; Ma, P.; et al. Evaluation and genetic dissection of the powdery mildew resistance in 558 wheat accessions. New Crops. 2024, 1, 100018. [Google Scholar] [CrossRef]
- Zhu, T.; Wu, L.; He, H.; Song, J.; Jia, M.; Liu, L.; Wang, X.; Han, R.; Niu, L.; Du, W.; et al. Bulked Segregant RNA-Seq reveals distinct expression profiling in Chinese wheat cultivar Jimai 23 responding to powdery mildew. Front. Genet. 2020, 11, 474. [Google Scholar] [CrossRef]
- Qian, Z.; Liu, R.; Liu, X.; Qie, Y.; Wang, J.; Yin, Y.; Xin, Q.; Yu, N.; Zhang, J.; Li, Y.; et al. Bulked segregant RNA-seq reveals complex resistance expression profile to powdery mildew in wild emmer wheat W762. Front. Plant Sci. 2024, 15, 1387427. [Google Scholar] [CrossRef]
- Xu, J.; Shi, S.; Wang, Z.; Ren, H.; Wang, Y.; Li, C. Identification of FHB resistance genes in wheat cultivar Xinong 979 by transcriptome sequencing. J. Triticeae Crops 2020, 40, 665–675. [Google Scholar]
- Dadkhodaie, N.A.; Karaoglou, H.; Wellings, C.R.; Park, R.F. Mapping genes Lr53 and Yr35 on the short arm of chromosome 6B of common wheat with microsatellite markers and studies of their association with Lr36. Theor. Appl. Genet. 2011, 122, 479–487. [Google Scholar] [CrossRef]
- Kolmer, J.A.; Bernardo, A.; Bai, G.; Hayden, M.J.; Anderson, J.A. Thatcher wheat line RL6149 carries Lr64 and a second leaf rust resistance gene on chromosome 1DS. Theor. Appl. Genet. 2019, 132, 2809–2814. [Google Scholar] [CrossRef]
- Murphy, L.R.; Santra, D.; Kidwell, K.; Yan, G.; Chen, X.; Campbell, K.G. Linkage maps of wheat stripe rust resistance genes Yr5 and Yr15 for use in marker-assisted selection. Crop Sci. 2009, 49, 1786–1790. [Google Scholar] [CrossRef]
- Xu, B.; Shen, T.; Chen, H.; Li, H.; Rehman, S.U.; Lyu, S.; Hua, L.; Wang, G.; Zhang, C.; Li, K.; et al. Mapping and characterization of rust resistance genes Lr53 and Yr35 introgressed from Aegilops species. Theor. Appl. Genet. 2024, 137, 113. [Google Scholar] [CrossRef] [PubMed]
- Uauy, C.; Brevis, J.C.; Chen, X.; Khan, I.; Jackson, L.; Chicaiza, O.; Distelfeld, A.; Fahima, T.; Dubcovsky, J. High-temperature adult-plant (HTAP) stripe rust resistance gene Yr36 from Triticum turgidum ssp. dicoccoides is closely linked to the grain protein content locus Gpc-B1. Theor. Appl. Genet. 2005, 112, 97–105. [Google Scholar] [CrossRef]
- Peng, J.H.; Fahima, T.; Röder, M.S.; Li, Y.C.; Dahan, A.; Grama, A.; Ronin, I.Y.; Korol, A.B.; Nevo, E. Microsatellite tagging of the stripe-rust resistance gene YrH52 derived from wild emmer wheat, Triticum dicoccoides, and suggestive negative crossover interference on chromosome 1B. Theor. Appl. Genet. 1999, 98, 862–872. [Google Scholar] [CrossRef]
- Sánchez-Martín, J.; Widrig, V.; Herren, G.; Wicker, T.; Zbinden, H.; Gronnier, J.; Spörri, L.; Praz, C.; Heuberger, M.; Kolodziej, M.C.; et al. Wheat Pm4 resistance to powdery mildew is controlled by alternative splice variants encoding chimeric proteins. Nat. Plants. 2021, 7, 327–341. [Google Scholar] [CrossRef]
- Hikichi, Y. Interactions between plant pathogenic bacteria and host plants during the establishment of susceptibility. J. Gen. Plant Pathol. 2016, 82, 326–331. [Google Scholar] [CrossRef]
- Braeken, K.; Daniels, R.; Ndayizeye, M.; Vanderleyden, J.; Michiels, J. Quorum sensing in bacteria-plant interactions. In Molecular Mechanisms of Plant and Microbe Coexistence; Springer: Berlin/Heidelberg, Germany, 2008; pp. 265–289. [Google Scholar]
- Siddiqui, Z.A.; Nesha, R.; Singh, N.; Alam, S. Interactions of plant-parasitic nematodes and plant-pathogenic bacteria. In Bacteria in Agrobiology: Plant Probiotics; Springer: Berlin/Heidelberg, Germany, 2012; pp. 251–267. [Google Scholar]
- Soto, M.; Nogales, J.; Pérez-Mendoza, D.; Gallegos, M.T.; Olivares, J.; Sanjuán, J. Pathogenic and mutualistic plant-bacteria interactions: Ever increasing similarities. Open Life Sci. 2011, 6, 911–917. [Google Scholar] [CrossRef]
- Jin, Y.; Shi, F.; Liu, W.; Fu, X.; Gu, T.; Han, G.; Shi, Z.; Sheng, Y.; Xu, H.; Li, L.; et al. Identification of resistant germplasm and detection of genes for resistance to powdery mildew and leaf rust from 2978 wheat accessions. Plant Dis. 2021, 105, 3900–3908. [Google Scholar] [CrossRef]
- Si, Q.; Zhang, X.; Duan, X.; Sheng, B.; Zhou, Y. On gene analysis and classifification of powdery mildew (Erysiphe graminis f. sp. tritici) resistant wheat varieties. Acta Phytopathol. Sin. 1992, 22, 349–355. [Google Scholar] [CrossRef]
- Dobin, A.; Davis, C.A.; Schlesinger, F.; Drenkow, J.; Zaleski, C.; Jha, S.; Batut, P.; Chaisson, M.; Gingeras, T.R. STAR: Ultrafast universal RNA-seq aligner. Bioinformatics 2013, 29, 15–21. [Google Scholar] [CrossRef]
- McKenna, A.; Hanna, M.; Banks, E.; Sivachenko, A.; Cibulskis, K.; Kernytsky, A.; Garimella, K.; Altshuler, D.; Gabriel, S.; Daly, M.; et al. The genome analysis toolkit: A MapReduce framework for analyzing next generation DNA sequencing data. Genome Res. 2010, 20, 1297–1303. [Google Scholar] [CrossRef]
- Xie, J.; Guo, G.; Wang, Y.; Hu, T.; Wang, L.; Li, J.; Qiu, D.; Li, Y.; Wu, Q.; Lu, P.; et al. A rare single nucleotide variant in Pm5e confers powdery mildew resistance in common wheat. New Phytol. 2020, 228, 1011–1026. [Google Scholar] [CrossRef] [PubMed]
- Sherman, B.T.; Hao, M.; Qiu, J.; Jiao, X.; Baseler, M.W.; Lane, H.C.; Imamichi, T.; Chang, W. DAVID: A web server for functional enrichment analysis and functional annotation of gene lists, (2021 update). Nucleic Acids Res. 2022, 50, W216–W221. [Google Scholar] [CrossRef] [PubMed]
- Bourras, S.; McNally, K.; Ben-David, R.; Parlange, F.; Roffler, S.; Praz, C.; Oberhaensli, S.; Menardo, F.; Stirnweis, D.; Frenkel, Z.; et al. Multiple avirulence loci and allele-specific effector recognition control the Pm3 race-specific resistance of wheat to powdery mildew. Plant Cell. 2015, 27, 2991–3012. [Google Scholar] [CrossRef] [PubMed]








| Parent and Cross | Generation | Observed Ratio | Expected Ratio | χ2 | p |
|---|---|---|---|---|---|
| D430 | RP | R:S = 10:0 | |||
| 647 | SP | R:S = 0:10 | |||
| D430 × 647 F1 | F1 | R:S = 10:0 | |||
| D430 × 647 F2 | F2 | R:S = 153:49 | 3:1 | 0.02 | 0.87 |
| D430 × 647 F2:3 | F2:3 | HR:Seg:HS = 47:106:49 | 1:2:1 | 0.53 | 0.76 |
Disclaimer/Publisher’s Note: The statements, opinions and data contained in all publications are solely those of the individual author(s) and contributor(s) and not of MDPI and/or the editor(s). MDPI and/or the editor(s) disclaim responsibility for any injury to people or property resulting from any ideas, methods, instructions or products referred to in the content. |
© 2024 by the authors. Licensee MDPI, Basel, Switzerland. This article is an open access article distributed under the terms and conditions of the Creative Commons Attribution (CC BY) license (https://creativecommons.org/licenses/by/4.0/).
Share and Cite
Dai, Y.; Yu, N.; Xu, H.; Liu, S.; Zhang, J.; Liu, R.; Li, J.; Li, Y.; Xiao, B.; Pan, G.; et al. A Unique Expression Profile Responding to Powdery Mildew in Wild Emmer Wheat D430. Int. J. Mol. Sci. 2025, 26, 242. https://doi.org/10.3390/ijms26010242
Dai Y, Yu N, Xu H, Liu S, Zhang J, Liu R, Li J, Li Y, Xiao B, Pan G, et al. A Unique Expression Profile Responding to Powdery Mildew in Wild Emmer Wheat D430. International Journal of Molecular Sciences. 2025; 26(1):242. https://doi.org/10.3390/ijms26010242
Chicago/Turabian StyleDai, Yintao, Ningning Yu, Hongxing Xu, Shaoqing Liu, Jiadong Zhang, Ruishan Liu, Jiatong Li, Yaoxue Li, Bei Xiao, Guantong Pan, and et al. 2025. "A Unique Expression Profile Responding to Powdery Mildew in Wild Emmer Wheat D430" International Journal of Molecular Sciences 26, no. 1: 242. https://doi.org/10.3390/ijms26010242
APA StyleDai, Y., Yu, N., Xu, H., Liu, S., Zhang, J., Liu, R., Li, J., Li, Y., Xiao, B., Pan, G., Li, D., Liu, C., Jin, Y., & Ma, P. (2025). A Unique Expression Profile Responding to Powdery Mildew in Wild Emmer Wheat D430. International Journal of Molecular Sciences, 26(1), 242. https://doi.org/10.3390/ijms26010242

