Temperature Effects on Expression Levels of hsp Genes in Eggs and Second-Stage Juveniles of Meloidogyne hapla Chitwood, 1949
Abstract
1. Introduction
2. Results
2.1. Identification of hsp Genes in the Meloidogyne hapla Genome
2.2. Expression Profiling of hsp Genes
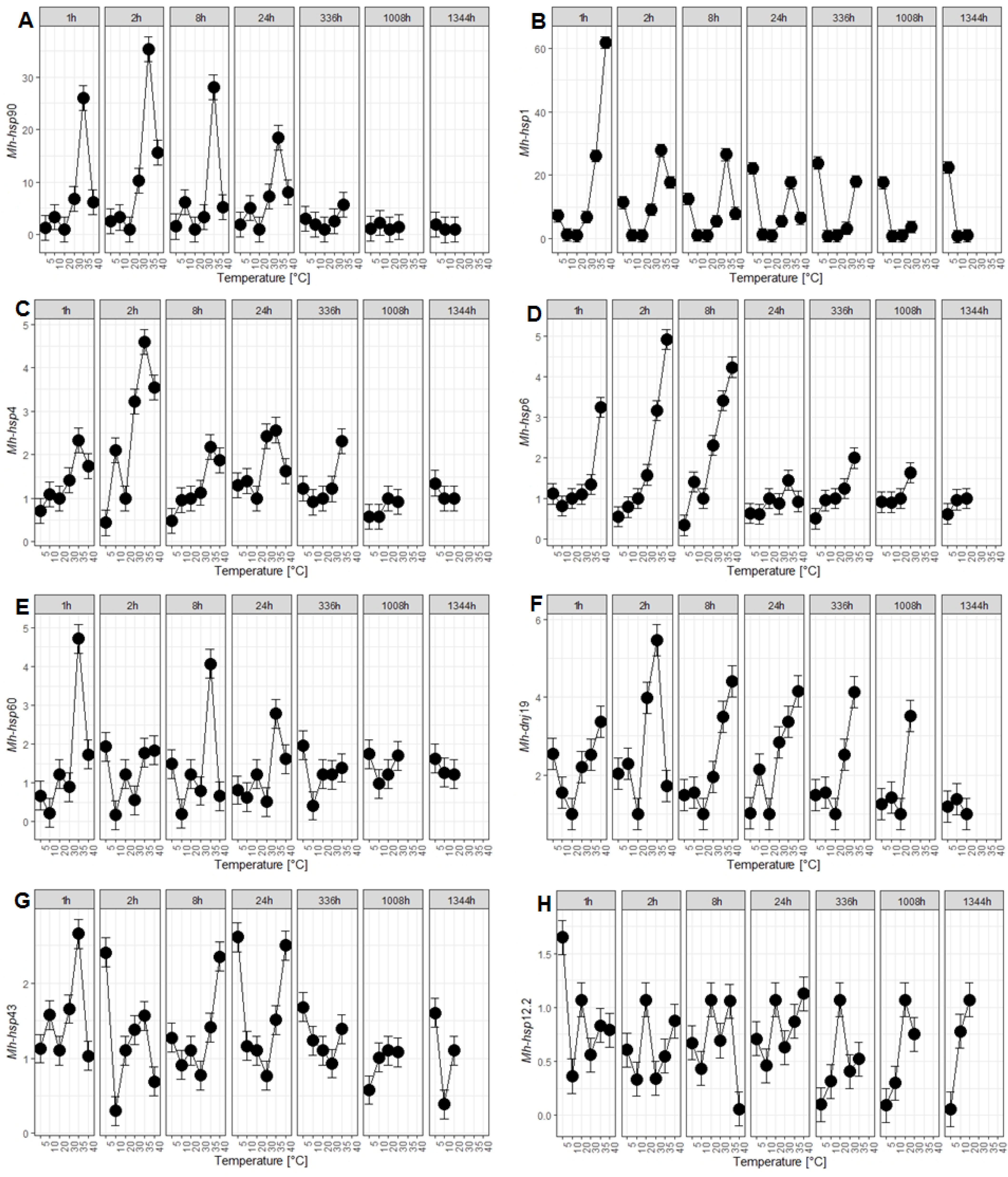
2.3. Response of hsp Genes to Heat Stress
2.4. Response of hsp Genes to Cold Stress
3. Discussion
4. Materials and Methods
4.1. Meloidogyne hapla Culture
4.2. Heat and Cold Stress
4.3. Data Analyses
5. Conclusions
Supplementary Materials
Author Contributions
Funding
Institutional Review Board Statement
Informed Consent Statement
Data Availability Statement
Acknowledgments
Conflicts of Interest
References
- Wu, X.; Zhu, X.; Wang, Y.; Liu, X.; Chen, L.; Duan, Y. The cold tolerance of the northern root-knot nematode, Meloidogyne hapla. PLoS ONE 2018, 13, e0190531. [Google Scholar] [CrossRef] [PubMed]
- Giné, A.; López-Gómez, M.; Vela, M.D.; Ornat, C.; Talavera, M.; Verdejo-Lucas, S.; Sorribas, F.J. Thermal requirements and population dynamics of root-knot nematodes on cucumber and yield losses under protected cultivation. Plant Pathol. 2014, 63, 1446–1453. [Google Scholar] [CrossRef]
- Zhao, Y.L.; Wang, D.Y. Formation and regulation of adaptive response in nematode Caenorhabditis elegans. Oxid. Med. Cell. Longev. 2012, 2012, 564093. [Google Scholar] [CrossRef] [PubMed]
- Weinstein, D.J.; Allen, S.E.; Lau, M.C.Y.; Erasmus, M.; Asalone, K.C.; Walters-Conte, K.; Deikus, G.; Sebra, R.; Borgonie, G.; Van Heerden, E.; et al. The genome of a subterrestrial nematode reveals adaptations to heat. Nat. Commun. 2019, 10, 5268. [Google Scholar] [CrossRef] [PubMed]
- Fanelli, E.; Troccoli, A.; Tarasco, E.; De Luca, F. Molecular characterization and functional analysis of the Hb-hsp90-1 gene in relation to temperature changes in Heterorhabditis bacteriophora. Front. Physiol. 2021, 12, 615653. [Google Scholar] [CrossRef] [PubMed]
- Manière, X.; Krisko, A.; Pellay, F.X.; Di Meglio, J.M.; Hersend, P.; Matic, I. High transcript levels of heat-shock genes are associated with sorter lifespan of Caenorhabditis elegans. Exp. Gerontol. 2014, 60, 12–17. [Google Scholar] [CrossRef]
- Richter, K. daf-41/p23: A small protein heating up lifespan regulation. PLoS Genet. 2015, 11, e1005188. [Google Scholar] [CrossRef] [PubMed]
- Jiang, S.; Jiang, C.P.; Cao, P.; Liu, Y.H.; Gao, C.H.; Yi-Xi, X. Sonneradon a extends lifespan of Caenorhabditis elegans by modulating mitochondrial and IIS signaling pathways. Mar. Drugs 2022, 20, 59. [Google Scholar] [CrossRef] [PubMed]
- Li, W.H.; Shi, Y.C.; Chang, C.H.; Huang, C.W.; Liao, V.H.C. Selenite protects Caenorhabditis elegans from oxidative stress via DAF-16 and TRXR-1. Mol. Nutr. Food Res. 2014, 58, 863–874. [Google Scholar] [CrossRef]
- Chen, W.; Lin, H.R.; Wei, C.M.; Luo, X.H.; Sun, M.L.; Yang, Z.Z.; Chen, X.Y.; Wang, H.B. Echinacoside, a phenylethanoid glycoside from Cistanche deserticola, extends lifespan of Caenorhabditis elegans and protects from Ab-induced toxicity. Biogerontology 2018, 19, 47–65. [Google Scholar] [CrossRef]
- Govindan, S.; Amirthalingam, M.; Duraisamy, K.; Govindhan, T.; Sundararaj, N.; Palanisamy, S. Phytochemicals-induced hormesis protects Caenorhabditis elegans against α-synuclein protein aggregation and stress through modulating HSF-1 and SKN-1/Nrf2 signaling pathways. Biomed. Pharmacother. 2018, 102, 812–822. [Google Scholar] [CrossRef] [PubMed]
- Cranfield, C.G.; Dawe, A.; Karloukovski, V.; Dunin–Borkowski, R.E.; de Pomerai, D.; Dobson, J. Biogenic magnetite in the nematode Caenorhabditis elegans. Proc. R. Soc. Ser. B 2004, 271, S436–S439. [Google Scholar] [CrossRef]
- Huang, G.S.; Yeh, L.K.; Chen, Y.C. Nanoparticle-enhanced magnetic field induces apoptosis in nematodes. NSTI-Nanotech 2008, 2, 497–500. [Google Scholar]
- Dawe, A.S.; Nylund, R.; Leszczynski, D.; Kuster, N.; Reader, T.; De Pomerai, D.I. Continuous wave and simulated GSM exposure at 1.8 W/kg and 1.8 GHz do not induce hsp16-1 heat-shock gene expression in Caenorhabditis elegans. Bioelectromagnetics 2008, 29, 92–99. [Google Scholar] [CrossRef]
- Bolz, D.D.; Tenor, J.L.; Aballay, A. A conserved PMK-1/p38 MAPK is required in Caenorhabditis elegans tissue-specific immune response to Yersinia pestis infection. JBC 2010, 285, 10832–10840. [Google Scholar] [CrossRef]
- Prithika, U.; Deepa, V.; Balamurugan, K. External induction of heat shock stimulates the immune response and longevity of Caenorhabditis elegans towards pathogen exposure. Innate Immun. 2016, 22, 466–478. [Google Scholar] [CrossRef] [PubMed]
- Eckl, J.; Sima, S.; Marcus, K.; Lindemann, C.; Richter, K. Hsp90-downregulation influences the heat-shock response, innate immune response and onset of oocyte development in nematodes. PLoS ONE 2017, 12, e0186386. [Google Scholar] [CrossRef]
- Avila, D.S.; Benedetto, A.; Au, C.; Bornhorst, J.; Aschner, M. Involvement of heat shock proteins on Mn-induced toxicity in Caenorhabditis elegans. BMC Pharmacol. Toxicol. 2016, 17, 54. [Google Scholar] [CrossRef]
- Ezemaduka, A.N.; Wang, Y.; Li, X. Expression of CeHSP17 protein in response to heat shock and heavy metal ions. J. Nematol. 2017, 49, 334–340. [Google Scholar]
- Li, Y.; Guan, S.; Liu, C.; Chen, X.; Zhu, Y.; Xie, Y.; Wang, J.; Ji, X.; Li, L.; Li, Z.; et al. Neuroprotective effects of Coptis chinensis Franch polysaccharide on amyloid-beta (Aβ)-induced toxicity in a transgenic Caenorhabditis elegans model of Alzheimer’s disease (AD). Int. J. Biol. Macromol. 2018, 113, 991–995. [Google Scholar] [CrossRef]
- Huang, Y.; Sterken, M.G.; Van Zwet, K.; Van Sluijs, L.; Pijlman, G.P.; Kamanga, J.E. Heat stress reduces the susceptibility of Caenorhabditis elegans to orsay virus infection. Genes 2021, 12, 1161. [Google Scholar] [CrossRef] [PubMed]
- Pagliuso, D.C.; Bodas, D.M.; Pasquinelli, A.E. Recovery from heat shock requires themicroRNA pathway in Caenorhabditis elegans. PLoS Genet. 2021, 17, e1009734. [Google Scholar] [CrossRef] [PubMed]
- Zhang, Q.Y.; Ji, Y.T.; Wang, P.; Xie, H.; Kong, H.H.; Qu, C.Q. Paeoniflorin protects Caenorhabditis elegans from heat stress. Cur. Top. Nutraceutical Res. 2022, 20, 43–50. [Google Scholar] [CrossRef] [PubMed]
- De Luca, F.; Di Vito, M.; Fanelli, E.; Reyes, A.; Greco, N.; De Giorgi, C. Characterization of the heat shock protein 90 gene in the plant parasitic nematode Meloidogyne artiellia and its expression as related to different developmental stages and temperature. Gene 2009, 440, 16–22. [Google Scholar] [CrossRef] [PubMed]
- Bai, C.; Duan, Y.; Chen, L.; Liu, Y.; Zheng, Y.; Wang, Y.; Zhu, X. Gene cloning and gene expression of Hsp90 from Meloidogyne incognita under the temperature and heavy metal stress. Int. J. Agric. Biol. 2014, 16, 451–460. [Google Scholar]
- Kundu, A.; Dutta, A.; Mandal, A.; Negi, L.; Malik, M.; Puramchatwad, R.; Antil, J.; Singh, A.; Rao, U.; Saha, S.; et al. A comprehensive in vitro and in silico analysis of nematicidal action of essential oils. Front. Plant Sci. 2021, 11, 614143. [Google Scholar] [CrossRef] [PubMed]
- Dobosz, R.; Flis, Ł.; Bocianowski, J.; Malewski, T. Effect of Vicia sativa L. on motility, mortality and expression levels of hsp genes in J2 stage of Meloidogyne hapla. J. Nematol. 2023, 55, 1–17. [Google Scholar] [CrossRef] [PubMed]
- Wu, X.; Yu, H.; Yang, R.; Zhou, Y.; Zhu, X.; Wang, Y.; Liu, X.; Fan, H.; Chen, L.; Duan, Y. Evaluation of suitable reference genes for gene expression analysis in the northern root-knot nematode; Meloidogyne hapla. PLoS ONE 2019, 14, e0218610. [Google Scholar] [CrossRef] [PubMed]
- Opperman, C.H.; Bird, D.M.; Williamson, V.M.; Rokhsar, D.S.; Burke, M.; Cohn, J.; Cromer, J.; Diener, S.; Gajan, J.; Graham, S.; et al. Sequence and genetic map of Meloidogyne hapla: A compact nematode genome for plant parasitism. Proc. Natl. Acad. Sci. USA 2008, 105, 14802–14807. [Google Scholar] [CrossRef]
- WormBase ParaSite (version WS285). Available online: https://parasite.wormbase.org/index.html (accessed on 1 March 2022).
- Feder, M.E.; Hofmann, G.E. Heat-shock proteins, molecular chaperones, and the stress response: Evolutionary and ecological physiology. Annu. Rev. Physiol. 1999, 61, 243–282. [Google Scholar] [CrossRef]
- Vrain, T.C.; Barker, K.R. Influence of low temperature on development of Meloidogyne incognita and Meloidogyne hapla eggs in egg masses. J. Nematol. 1978, 10, 311–313. [Google Scholar] [PubMed]
- Charchar, J.M.; Santo, G.S. Effect of temperature on the embryogenic development and hatching of Meloidogyne chitwoodi races 1 and 2 and M. hapla. Nematol. Bras. 2001, 25, 71–77. [Google Scholar]
- Gulyas, L.; Powell, J.R. Cold shock induces a terminal investment reproductive response in C. elegans. Sci. Rep. 2022, 12, 1338. [Google Scholar] [CrossRef] [PubMed]
- Thomason, I.J.; Lear, B. Rate of reproduction of Meloidogyne spp. as influenced by soil temperature. Phytopathology 1961, 51, 520–524. [Google Scholar]
- Kinloch, R.A.; Allen, M.W. Interaction of Meloidogyne hapla and M. javanica infecting tomato. J. Nematol. 1972, 4, 7–16. [Google Scholar] [PubMed]
- Treinin, M.; Shliar, J.; Jiang, H.; Powell-Coffman, J.A.; Bromberg, Z.; Horowitz, M. HIF-1 is required for heat acclimation in the nematode Caenorhabditis elegans. Physiol. Genom. 2003, 14, 17–24. [Google Scholar] [CrossRef] [PubMed]
- Inserra, R.N.; Griffin, G.D.; Sisson, D.V. Effects of temperature and root leachates on embryogenic development and hatching of Meloidogyne chitwoodi and M. hapla. J. Nematol. 1983, 15, 123–127. [Google Scholar]
- Hartl, F.U.; Bracher, A.; Hayer-Hartl, M. Molecular chaperones in protein folding and proteostasis. Nature 2011, 475, 324–332. [Google Scholar] [CrossRef] [PubMed]
- den Akker, S.E.-V.; Laetsch, D.R.; Thorpe, P.; Lilley, J.C.; Danchin, E.G.J.; Da Rocha, M.; Rancurel, C.; Holroyd, N.E.; Cotton, J.A.; Szitenberg, A.; et al. The genome of the yellow potato cyst nematode, Globodera rostochiensis, reveals insights into the basis of parasitism and virulence. Genome Biol. 2016, 17, 124. [Google Scholar] [CrossRef]
- Jones, L.M.; Eves-Van den Akker, S.; Van-Oosten Hawle, P.; Atkinson, H.J.; Urwin, P.E. Duplication of hsp-110 is implicated in differential success of Globodera species under climate change. Mol. Biol. Evol. 2018, 35, 2401–2413. [Google Scholar] [CrossRef]
- Cymerys, J.; Niemiałtowski, M. Heat shock proteins—A molecular perpetual motion machine. Postępy Biol. Komórki 2004, 31, 332–339. (In Polish) [Google Scholar]
- Zhang, H.; Zhou, Q.; Yang, Y.; Chen, X.; Yan, B.; Du, A. Characterization of heat shock protein 70 gene from Haemonchus contortus and its expression and promoter analysis in Caenorhabditis elegans. Parasitology 2013, 140, 683–694. [Google Scholar] [CrossRef] [PubMed]
- Snutch, T.P.; Heschl, M.F.P.; Baillie, D.L. The Caenorhabditis elegans hsp70 genefamily: A molecular genetic characterization. Gene 1988, 64, 241–255. [Google Scholar] [CrossRef] [PubMed]
- Morley, J.F.; Morimoto, R.I. Regulation of longevity in Caenorhabditis elegans by heat shock factor and molecular chaperones. Mol. Biol. Cell 2004, 15, 657–664. [Google Scholar] [CrossRef]
- Craig, E.A. Hsp70 at the membrane: Driving protein translocation. BMC Biol. 2018, 16, 11. [Google Scholar] [CrossRef] [PubMed]
- Papsdorf, K.; Sima, S.; Schmauder, L.; Peter, S.; Renner, L.; Hoffelner, P.; Richter, K. Head-bent resistant Hsc70 variants show reduced Hsp40 affinity and altered protein folding activity. Sci. Rep. 2019, 9, 11955. [Google Scholar] [CrossRef] [PubMed]
- Papsdorf, K.; Sacherl, J.; Richter, K. The balanced regulation of Hsc70 by DNJ-13 and UNC-23 is required for muscle functionality. J. Biol. Chem. 2014, 289, 25250–25261. [Google Scholar] [CrossRef] [PubMed]
- Shen, X.; Ellis, R.E.; Lee, K.; Liu, C.Y.; Yang, K.; Solomon, A.; Yoshida, H.; Morimoto, R.; Kurnit, D.M.; Mori, K.; et al. Complementary signaling pathways regulate the unfolded protein response and are required for C. elegans development. Cell 2001, 107, 893–903. [Google Scholar] [CrossRef] [PubMed]
- Yoneda, T.; Benedetti, C.; Urano, F.; Clark, S.G.; Harding, H.P.; Ron, D. Compartment-specific perturbation of protein handling activates genes encoding mitochondrial chaperones. J. Cell Sci. 2004, 117, 4055–4066. [Google Scholar] [CrossRef]
- Rodrigues, A.J.; Neves-Carvalho, A.; Teixeira-Castro, A.; Rokka, A.; Corthals, G.; Logarinho, E.; Maciel, P. Absence of ataxin-3 leads to enhanced stress response in C. elegans. PLoS ONE 2011, 6, e18512. [Google Scholar] [CrossRef]
- Dues, D.J.; Andrews, E.K.; Schaar, C.E.; Bergsma, A.L.; Senchuk, M.M.; Van Raamsdonk, J.M. Aging causes decreased resistance to multiple stresses and a failure to activate specific stress response pathways. Aging 2016, 8, 777–795. [Google Scholar] [CrossRef] [PubMed]
- Labbadia, J.; Morimoto, R.I. Repression of the heat shock response is a programmed event at the onset of reproduction. Mol. Cell 2015, 59, 639–650. [Google Scholar] [CrossRef] [PubMed]
- Labbadia, J.; Brielmann, R.M.; Neto, M.F.; Lin, Y.F.; Haynes, C.M.; Morimoto, R.I. Mitochondrial stress restores the heat shock response and prevents proteostasis collapse during aging. Cell Rep. 2017, 21, 1481–1494. [Google Scholar] [CrossRef]
- Kammenga, J.E.; Arts, M.S.J.; Oude-Breuil, W.J.M. HSP60 as a potential biomarker of toxic stress in the nematode Plectus acuminatus. Arch. Environ. Contam. Toxicol. 1998, 34, 253–258. [Google Scholar] [CrossRef] [PubMed]
- Lu, M.; Tan, L.; Zhou, X.G.; Yang, Z.L.; Zhu, Q.; Chen, J.N.; Luo, H.R.; Wu, G.S. Tectochrysin increases stress resistance and extends the lifespan of Caenorhabditis elegans via FOXO/DAF-16. Biogerontology 2020, 21, 669–682. [Google Scholar] [CrossRef]
- Shi, L.; Yu, X.T.; Li, H.; Wu, G.S.; Luo, H.R. D-chiro-inositol increases antioxidant capacity and longevity of Caenorhabditis elegans via activating Nrf-2/SKN-1 and FOXO/DAF-16. Exp. Gerontol. 2023, 175, 112145. [Google Scholar] [CrossRef] [PubMed]
- Kirstein, J.; Arnsburg, K.; Scior, A.; Szlachcic, A.; Guilbride, D.L.; Morimoto, R.I.; Bukau, B.; Nillegoda, N.B. In vivo properties of the disaggregase function of J-proteins and Hsc70 in Caenorhabditis elegans stress and aging. Aging Cell 2017, 16, 1414–1424. [Google Scholar] [CrossRef] [PubMed]
- Fu, R.; Huang, Z.; Li, H.; Zhu, Y.; Zhang, H. A hemidesmosome-to-cytoplasm translocation of small Heat Shock Proteins provides immediate protection against heat stress. Cell Rep. 2020, 33, 108410. [Google Scholar] [CrossRef]
- Wang, F.; Li, D.; Chen, Q.; Ma, L. Genome-wide survey and characterization of the small heat shock protein gene family in Bursaphelenchus xylophilus. Gene 2016, 579, 153–161. [Google Scholar] [CrossRef]
- Sánchez-Blanco, A.; Rodríguez-Matellán, A.G.; Reis-Sobreiro, M.; Sáenz-Narciso, B.; Cabello, J.; Mohler, W.A.; Mollinedo, F. Caenorhabditis elegans as a platform to study the mechanism of action of synthetic antitumor lipids. Cell Cycle 2014, 13, 3375–3389. [Google Scholar] [CrossRef]
- Douglas, P.M.; Baird, N.A.; Simic, M.S.; Uhlein, S.; McCormick, M.A.; Wolff, S.C.; Kennedy, B.K.; Dillin, A. Heterotypic signals from neural HSF-1 separate thermotolerance from longevity. Cell Rep. 2015, 12, 1196–1204. [Google Scholar] [CrossRef] [PubMed]
- Krause, M. Structural and Functional Characterization of Small Heat Shock Proteins of the Nematode Caenorhabditis elegans. Ph.D. Thesis, Department Chemie Lehrstuhl für Biotechnologie, Technische Universität, München, Germany, 2013. Available online: https://mediatum.ub.tum.de/doc/1172984/1172984.pdf (accessed on 2 February 2024).
- Lourenço-Tessutti, I.T.; Souza Junior, J.D.; Martins-de-Sa, D.; Viana, A.A.B.; Carneiro, R.M.D.G.; Togawa, R.C.; de Almeida-Engler, J.; Batista, J.A.N.; Silva, M.C.M.; Fragoso, R.R.; et al. Knock-down of heat-shock protein 90 and isocitrate lyase gene expression reduced root-knot nematode reproduction. Phytopathology 2015, 105, 628–637. [Google Scholar] [CrossRef] [PubMed]
- Vrain, T.C.; Barker, K.R.; Holtzman, I.G. Influence of low temperature on rate of development of Meloidogyne incognita and Meloidogyne hapla larvae. J. Nematol. 1978, 10, 166–171. [Google Scholar] [PubMed]
- Curtis, R.H.; Robinson, A.F.; Perry, R.N. Hatch and host location. In Root-Knot Nematodes, 1st ed.; Perry, R.N., Moens, M., Starr, J.L., Eds.; CABI: Wallingford, UK, 2009; pp. 139–162. [Google Scholar]
- Sharon, E.; Spiegel, Y. Glycoprotein characterization of the gelatinous matrix in the root-knot nematode Meloidogyne javanica. J. Nematol. 1993, 25, 585–589. [Google Scholar] [PubMed]
- Ben-Zvi, A.; Miller, E.A.; Morimoto, R.I. Collapse of proteostasis represents an early molecular event in Caenorhabditis elegans aging. Proc. Natl. Acad. Sci. USA 2009, 106, 14914–14919. [Google Scholar] [CrossRef] [PubMed]
- Karssen, G. The Plant Parasitic Nematode Genus Meloidogyne Göldi, 1892 (Tylenchida) in Europe, 1st ed.; Koninklijke Brill NY: Leiden, The Netherlands, 2002; pp. 25–52. [Google Scholar]
- Petersen, D.J.; Vrain, T.C. Rapid identification of Meloidogyne chitwoodi, M. hapla and M. fallax using PCR primers to amplify their ribosomal intergenic spacer. Fundam. Appl. Nematol. 1996, 19, 601–605. [Google Scholar]
- Evans, A.A.F.; Perry, R.N. Survival mechanisms. In Root-Knot Nematodes, 1st ed.; Perry, R.N., Moens, M., Starr, J.L., Eds.; CABI: Wallingford, UK, 2009; pp. 201–220. [Google Scholar]
- Díaz-Manzano, F.E.; Olmo, R.; Cabrera, J.; Barcala, M.; Escobar, C.; Fenoll, C. Long-term in vitro system for maintenance and amplification of root-knot nematodes in Cucumis sativus roots. Front. Plant Sci. 2016, 7, 124. [Google Scholar] [CrossRef] [PubMed]
- Bird, A.F.; Wallace, H.R. The influence of temperature on Meloidogyne hapla and Meloidogyne javanica. Nematologica 1965, 11, 581–589. [Google Scholar]
- Tournayre, J.; Reichstadt, M.; Parry, L.; Fafournoux, P.; Jousse, C. “Do my qPCR calculation”; a web tool. Bioinformation 2019, 15, 369–372. [Google Scholar] [CrossRef]
- Biecek, P. Data Analysis with R. Linear Models with Fixed, Random and Mixed Effects; PWN: Warszawa, Polska, 2013; pp. 1–316. (In Polish) [Google Scholar]
- R Core Team. R: A languague and Environment for Statistical Computing; R foundation for statistical computing: Vienna, Austria, 2022; Available online: https://www.R-project.org/ (accessed on 5 May 2023).
- Burnham, K.P.; Anderson, D.R. Model Selection and Multimodel Inference: A Practical Information-Theoretic Approach; Springer Science Business Media: New York, NY, USA, 2002; pp. 1–485. [Google Scholar]
- Wickham, H.; Averick, M.; Bryan, J.; Chang, W.; D’Agostino McGowan, L.; Romain, F.; Grolemund, G.; Hayes, A.; Henry, L.; Hester, J.; et al. Welcome to the tidyverse. JOSS 2019, 4, 1686. [Google Scholar] [CrossRef]



| Hsp Family | Gene C. elegans | Gene M. hapla | M. hapla Gene Location on Contig |
|---|---|---|---|
| Hsp70 | hsp4 (WBGene00002008) | Mh-hsp4 (MhA1_Contig349.frz3.gene2) | 4430–7369 |
| Hsp70 | hsp6 (WBGene00002010) | Mh-hsp6 (MhA1_Contig349.frz3.gene2) | 1610–3014 |
| Hsp40 | dnj19 (WBGene00001037) | Mh-dnj19 (MhA1_Contig579.frz3.gene6) | 18539–19790 |
| sHsps | hsp12.2 (WBGene00002011) | Mh-hsp12.2 (MhA1_Contig609.frz3.gene18) | 43098–43583 |
| Heat Shock Protein Gene | Heat Stress | Cold Stress | ||
|---|---|---|---|---|
| Egg Stage | J2 Stage | Egg Stage | J2 Stage | |
| Mh-hsp90 | + | + | − | − |
| Mh-hsp1 | + | + | − | + |
| Mh-hsp4 | + | + | − | − |
| Mh-hsp6 | + | + | − | − |
| Mh-hsp60 | + | + | + | + |
| Mh-dnj19 | + | + | + | + |
| Mh-hsp43 | + | + | − | + |
| Mh-hsp12.2 | + | − | + | + |
Disclaimer/Publisher’s Note: The statements, opinions and data contained in all publications are solely those of the individual author(s) and contributor(s) and not of MDPI and/or the editor(s). MDPI and/or the editor(s) disclaim responsibility for any injury to people or property resulting from any ideas, methods, instructions or products referred to in the content. |
© 2024 by the authors. Licensee MDPI, Basel, Switzerland. This article is an open access article distributed under the terms and conditions of the Creative Commons Attribution (CC BY) license (https://creativecommons.org/licenses/by/4.0/).
Share and Cite
Flis, Ł.; Malewski, T.; Dobosz, R. Temperature Effects on Expression Levels of hsp Genes in Eggs and Second-Stage Juveniles of Meloidogyne hapla Chitwood, 1949. Int. J. Mol. Sci. 2024, 25, 4867. https://doi.org/10.3390/ijms25094867
Flis Ł, Malewski T, Dobosz R. Temperature Effects on Expression Levels of hsp Genes in Eggs and Second-Stage Juveniles of Meloidogyne hapla Chitwood, 1949. International Journal of Molecular Sciences. 2024; 25(9):4867. https://doi.org/10.3390/ijms25094867
Chicago/Turabian StyleFlis, Łukasz, Tadeusz Malewski, and Renata Dobosz. 2024. "Temperature Effects on Expression Levels of hsp Genes in Eggs and Second-Stage Juveniles of Meloidogyne hapla Chitwood, 1949" International Journal of Molecular Sciences 25, no. 9: 4867. https://doi.org/10.3390/ijms25094867
APA StyleFlis, Ł., Malewski, T., & Dobosz, R. (2024). Temperature Effects on Expression Levels of hsp Genes in Eggs and Second-Stage Juveniles of Meloidogyne hapla Chitwood, 1949. International Journal of Molecular Sciences, 25(9), 4867. https://doi.org/10.3390/ijms25094867

