Unveiling the Oxazolidine Character of Pseudoproline Derivatives by Automated Flow Peptide Chemistry
Abstract
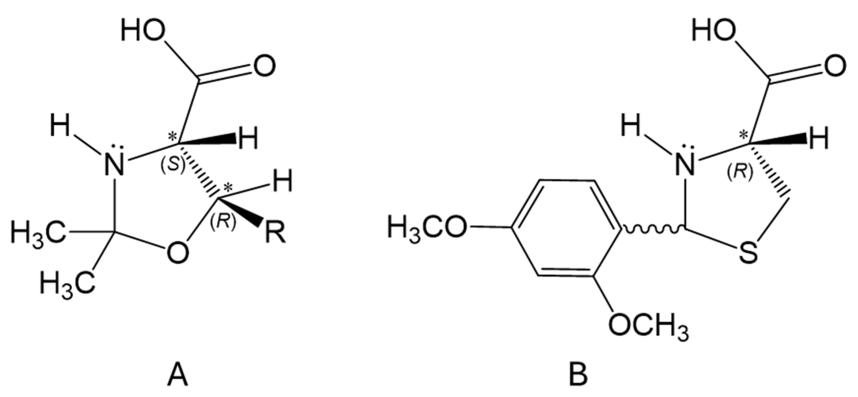
1. Introduction
2. Results
2.1. Working Hypothesis
2.2. The 5mer* Problem
2.3. The Formation of Asi
2.4. NMR Study of Asi Form of CLN
2.5. Set of Experiments on CLN-Asi Formation
3. Discussion
3.1. Explaining the Appearance of the 5mer*
- -
- Synthesis #1 suggests that an elevated temperature (80 °C) favors the formation of 5mer*; this formation can be slowed down (30% to 17%) by leaving the Fmoc group on the 5mer (#2).
- -
- The coupling and manual cleavage of Thr(ΨPro) reduces the formation of the 5mer* (30% to 2%) (respectively, #1–#3).
- -
- In synthesis #5, it is clearly seen that the Fmoc deprotection is somewhat promoted in the case of the Thr(ΨPro) moiety.
- -
- As it was shown in synthesis #6, thermal Fmoc deprotection can also occur in the case of common amino acids.
3.2. Explaining the Appearance of the CLN-Asi
- -
- Comparing the Asi by-product ratio of synthesis #7 with that of synthesis #8, we found that the oxazolidine ring of Thr(ΨPro) enhances Asi formation as 30% CLN-Asi is formed compared to the less than 1% observed when Thr(tBu) was used.
- -
- Synthesis #9 shows that a relatively high Asi formation requires the presence of the oxazolidine ring, Ser(ΨPro) or Thr(ΨPro), but is less sensitive to the -CH2-OH or CH(CH3)-OH side chain composition of the parent Ser or Thr residue. The observed Asi ratios are 30% and 74%, respectively. This significant difference (30% vs. 74%) can be explained by the more efficient coupling of the Ser(ΨPro) moiety [20,23], resulting in the elimination of the 9-mer in this case. This indicates that although almost all couplings are successful, the resulting peptide is entirely an Asi derivative.
- -
- Synthesis #10, with respect to #7, shows that the chirality of the side chain is unimportant since 30% Asi is obtained for the L stereoisomer and 29% for the D stereoisomer.
- -
- Synthesis #11 showed that Thr(ΨPro) catalyzes the formation of Asi only for the Asp derivative but not for Asn. The latter gave less than 1% Asi under identical reaction conditions.
- -
- Synthesis #12 shows that the steric hindrance of the Asp side chain protecting group is important as Asi formation is greatly reduced when Asp(Bno) is used in addition to Thr(ΨPro).
- -
- Syntheses #13–15 show that Asi formation is independent of the coupling reagents, although the length of the coupling cycle and the increased concentration of DIC/OxymaPure somewhat promote extensive Asi formation.
- -
- Using the Fmoc-L-Asp(tBu)-Thr(ΨPro)-OH dipeptide throughout our synthesis (#16) seems to suppress Asi formation, but we can identify four different products with the same mass.
- -
- Varying the final cleavage conditions of the crude polypeptide from resin does not affect Asi formation: it is independent of these conditions (#17 and #18).
- -
- However, adding more water to cleavage solution #18 or the basic hydrolysis of crude peptide #19 results in a mixture of peptides with the same mass but different retention times. According to the literature, this suggests that Asi can be hydrolyzed into four different products as D/L-α,β (iso)peptides. However, in our case, we observed at least five different products of the same MW, as shown in Figure 7.
4. Materials and Methods
4.1. UPLC-MS Conditions
4.2. Basic Hydrolysis of CLN
4.3. Purification of Asi and CLN Peptide
4.4. NMR Analysis
5. Conclusions
Supplementary Materials
Author Contributions
Funding
Institutional Review Board Statement
Informed Consent Statement
Data Availability Statement
Acknowledgments
Conflicts of Interest
References
- Haack, T.; Mutter, M. Serine derived oxazolidine as secondary structure disrupting, solubilizing building blocks in peptide synthesis. Tetrahedron Lett. 1992, 33, 1589–1592. [Google Scholar] [CrossRef]
- Wöhr, T.; Mutter, M. Pseudo-prolines in peptide synthesis: Direct insertion of serine and threonine derived oxazolidines in dipeptides. Tetrahedron Lett. 1995, 36, 3847–3848. [Google Scholar] [CrossRef]
- Wöhr, T.; Wahl, F.; Nefzi, A.; Rohwedder, B.; Sato, T.; Sun, X.; Mutter, M. Pseudo-prolines as a solubilizing, structure-disrupting protection technique in peptide synthesis. J. Am. Chem. Soc. 1996, 118, 9218–9227. [Google Scholar] [CrossRef]
- Sélambarom, J.; Smadja, J.; Thomas, O.; Parrot, I.; Martinez, J.; Pavia, A.A. A novel route to pseudoproline (ΨH,HPro)-containing dipeptides building blocks. Int. J. Pept. Res. Ther. 2005, 11, 267–270. [Google Scholar] [CrossRef]
- Van Lierop, B.J.; Jackson, W.R.; Robinson, A.J. 5,5-Dimethylproline dipeptides: An acid-stable class of pseudoproline. Tetrahedron 2010, 66, 5357–5366. [Google Scholar] [CrossRef]
- Boto, A.; González, C.C.; Hernández, D.; Romero-Estudillo, I.; Saavedra, C.J. Site-selective modification of peptide backbones. Org. Chem. Front. 2021, 8, 6720–6759. [Google Scholar] [CrossRef]
- Stephenson, R.C.; Clarke, S. Succinimide formation from aspartyl and asparaginyl peptides as a model for the spontaneous degradation of proteins. J. Biol. Chem. 1989, 264, 6164–6170. [Google Scholar] [CrossRef] [PubMed]
- Paradís-Bas, M.; Tulla-Puche, J.; Albericio, F. The road to the synthesis of ‘difficult peptides’. Chem. Soc. Rev. 2016, 45, 631–654. [Google Scholar] [CrossRef]
- Coin, I.; Beyermann, M.; Bienert, M. Solid-phase peptide synthesis: From standard procedures to the synthesis of difficult sequences. Nat. Protoc. 2007, 2, 3247–3256. [Google Scholar] [CrossRef]
- Subirós-Funosas, R.; El-Faham, A.; Albericio, F. Aspartimide formation in peptide chemistry: Occurrence, prevention strategies and the role of N-hydroxylamines. Tetrahedron 2011, 67, 8595–8606. [Google Scholar] [CrossRef]
- Cardona, V.; Eberle, I.; Barthélémy, S.; Beythien, J.; Doerner, B.; Schneeberger, P.; Keyte, J.; White, P.D. Application of Dmb-dipeptides in the Fmoc SPPS of difficult and aspartimide-prone sequences. Int. J. Pept. Res. Ther. 2008, 14, 285–292. [Google Scholar] [CrossRef]
- Abdel-Aal, A.B.M.; Papageorgiou, G.; Raz, R.; Quibell, M.; Burlina, F.; Offer, J. A backbone amide protecting group for overcoming difficult sequences and suppressing aspartimide formation. J. Pept. Sci. 2016, 22, 360–367. [Google Scholar] [CrossRef] [PubMed]
- Neumann, K.; Farnung, J.; Baldauf, S.; Bode, J.W. Prevention of aspartimide formation during peptide synthesis using cyanosulfurylides as carboxylic acid-protecting groups. Nat. Commun. 2020, 11, 982. [Google Scholar] [CrossRef] [PubMed]
- Ruczyński, J.; Lewandowska, B.; Mucha, P.; Rekowski, P. Problem of aspartimide formation in Fmoc-based solid-phase peptide synthesis using Dmab group to protect side chain of aspartic acid. J. Pept. Sci. 2008, 14, 335–341. [Google Scholar] [CrossRef] [PubMed]
- Samson, D.; Rentsch, D.; Minuth, M.; Meier, T.; Loidl, G. The aspartimide problem persists: Fluorenylmethyloxycarbonyl-solid-phase peptide synthesis (Fmoc-SPPS) chain termination due to formation of N-terminal piperazine-2,5-diones. J. Pept. Sci. 2019, 25, e3193. [Google Scholar] [CrossRef] [PubMed]
- Láng, A.; Jákli, I.; Enyedi, K.N.; Mezo, G.; Menyhárd, D.K.; Perczel, A. Off-pathway 3D-structure provides protection against spontaneous Asn/Asp isomerization: Shielding proteins Achilles heel. Q. Rev. Biophys. 2020, 53, e2. [Google Scholar] [CrossRef] [PubMed]
- Bodanszky, M.; Kwei, J.Z. Side reactions in peptide synthesis. VII. Sequence dependence in the formation of aminosuccinyl derivatives from beta-benzyl-aspartyl peptides. Int. J. Pept. Protein Res. 1978, 12, 69–74. [Google Scholar] [CrossRef] [PubMed]
- Kasim, J.K.; Kavianina, I.; Ng, J.; Harris, P.W.R.; Birch, N.P.; Brimble, M.A. Efficient synthesis and characterisation of the amyloid beta peptide, Aβ1–42, using a double linker system. Org. Biomol. Chem. 2019, 17, 30–34. [Google Scholar] [CrossRef] [PubMed]
- Senko, D.A.; Timofeev, N.D.; Kasheverov, I.E.; Ivanov, I.A. Scope and limitations of pseudoprolines as individual amino acids in peptide synthesis. Amino Acids 2021, 53, 665–671. [Google Scholar] [CrossRef]
- Manne, S.R.; Rustler, K.; Bruckdorfer, T.; de la Torre, B.G.; Albericio, F. Incorporation of pseudoproline monomer (Fmoc-Thr[ψMe,Mepro]–OH) facilitates efficient solid-phase synthesis of difficult peptides. Tetrahedron Lett. 2023, 115, 154301. [Google Scholar] [CrossRef]
- Manne, S.R.; Chakraborty, A.; Rustler, K.; Bruckdorfer, T.; de la Torre, B.G.; Albericio, F. Solid-phase synthesis of an ‘inaccessible’ hGH-derived peptide using a pseudoproline monomer and SIT-protection for cysteine. ACS Omega 2022, 7, 28487–28492. [Google Scholar] [CrossRef] [PubMed]
- Szaniszló, S.; Ferentzi, K.; Perczel, A.; Farkas, V. Improved acylation of pseudoproline: Masked threonine in flow peptide chemistry. Org. Process Res. Dev. 2023, 27, 1053–1060. [Google Scholar] [CrossRef]
- Farkas, V.; Ferentzi, K.; Horváti, K.; Perczel, A. Cost-effective flow peptide synthesis: Metamorphosis of HPLC. Org. Process Res. Dev. 2021, 25, 182–191. [Google Scholar] [CrossRef]
- Ferentzi, K.; Nagy-Fazekas, D.; Farkas, V.; Perczel, A. Synthesis of small protein domains by automated flow chemistry. React. Chem. Eng. 2024, 9, 58–69. [Google Scholar] [CrossRef]
- Honda, S.; Yamasaki, K.; Sawada, Y.; Morii, H. 10 Residue folded peptide designed by segment statistics. Structure 2004, 12, 1507–1518. [Google Scholar] [CrossRef] [PubMed]
- Honda, S.; Akiba, T.; Kato, Y.S.; Sawada, Y.; Sekijima, M.; Ishimura, M.; Ooishi, A.; Watanabe, H.; Odahara, T.; Harata, K. Crystal structure of a ten-amino acid protein. J. Am. Chem. Soc. 2008, 130, 15327–15331. [Google Scholar] [CrossRef] [PubMed]
- Canle, M.; Lawley, A.; Mcmanus, E.C.; More O’ferrall, R.A. Rate and equilibrium constants for oxazolidine and thiazolidine ring-opening reactions. Pure Appl. Chem. 1996, 68, 813–818. [Google Scholar] [CrossRef][Green Version]
- Juhász, M.; Fülöp, F.; Pihlaja, K. Substituent effects on the gas-phase ring-chain tautomerism of 3,4,5,6-tetrahydro-2H-1,3-oxazines. Rapid Commun. Mass Spectrom. 2007, 21, 3701–3710. [Google Scholar] [CrossRef]
- McDonagh, A.F.; Smith, H.E. Ring-chain tautomerism of derivatives of o-hydroxybenzylamine with aldehydes and ketones. The nuclear magnetic resonance spectra of immonium ions. J. Org. Chem. 1968, 33, 8–12. [Google Scholar] [CrossRef]
- McDonagh, A.F.; Smith, H.E. Ring–chain tautomerism of derivatives of o-hydroxybenzylamine with aromatic aldehydes. Chem. Commun. 1966, 12, 374. [Google Scholar] [CrossRef]
- Höck, S.; Marti, R.; Riedl, R.; Simeunovice, M. Thermal cleavage of the Fmoc protection group. Chimia 2010, 64, 200. [Google Scholar] [CrossRef] [PubMed]
- Simon, M.D.; Heider, P.L.; Adamo, A.; Vinogradov, A.A.; Mong, S.K.; Li, X.; Berger, T.; Policarpo, R.L.; Zhang, C.; Zou, Y.; et al. Rapid flow-based peptide synthesis. ChemBioChem 2014, 15, 713–720. [Google Scholar] [CrossRef] [PubMed]
- Quartararo, A.J.; Gates, Z.P.; Somsen, B.A.; Hartrampf, N.; Ye, X.; Shimada, A.; Kajihara, Y.; Ottmann, C.; Pentelute, B.L. Ultra-large chemical libraries for the discovery of high-affinity peptide binders. Nat. Commun. 2020, 11, 3183. [Google Scholar] [CrossRef] [PubMed]








| Name | Sequence | Retention Time (min) | Mass [M+H]+ (m/z) |
|---|---|---|---|
| CLN | H-IFDPDT GTWI-NH2 | 4.99 | 1163.56 |
| 9mer | H-IFDPT GTWI-NH2 | 5.37 | 1048.54 |
| 5mer* | H-*TGTWI-NH2 | 4.11 | 616.34 |
| CLN-Asi | H-IFDPDAsiT GTWI-NH2 | 4.93 + 5.30 | 1145.55 |
| CLN-Piperidide | H-IFDPDPipT GTWI-NH2 | 5.79 + 6.00 + 6.20 | 1230.64 |
| N# | 5mer % | 5mer* % | 5mer-Fmoc % | Synthetic Cond. a | Reaction Cond. b |
|---|---|---|---|---|---|
| 1 | 62 | 30 | - | SPF | 80 °C/2 h |
| 2 | 60 | 17 | 2/2 | SPF | 80 °C/2 h |
| 3 | 75 | 2 | - | Manual | r.t./2 h |
| 4 | - | - | >99 | Manual | r.t./2 h |
| 5 | 88 | <1 | <1 | SPF | r.t./2 h |
| 6 | >95 | - | <1 | SPF | 80 °C/2 h |
| N# | Variations in Sequence | CLN. % | Asi % | 9mer % | 5mer* % | Synthetic Protocols b | Cleavage Cond. c |
|---|---|---|---|---|---|---|---|
| 7 | H-IFDPDT(ΨPro) a GTWI-NH2 | 8 | 30 | 45 | 4 | a | A |
| 8 | H-IFDPDT(tBu)GTWI-NH2 | 86 | <1 | <1 | - | a | A |
| 9 | H-IFDPDS(ΨPro)GTWI-NH2 | - | 74 d | - | 4 | a | A |
| 10 | H-IFDPdT(ΨPro)GTWI-NH2 | 14 | 29 | 38 | 7 | a | A |
| 11 | H-IFDPNT(ΨPro)GTWI-NH2 | 78 | <1 | ~1 | 3 | a | A |
| 12 | H-IFDPD(Bno)T(ΨPro)GTWI-NH2 | 73 | <1 | 16 | 4 | a | A |
| 13 | H-IFDPDT(ΨPro)GTWI-NH2 | 10 | 19 | 28 | 5 | a (HATU/DIPEA) | A |
| 14 | H-IFDPDT(ΨPro)GTWI-NH2 | 8 | 63 d | <1 | 3 | b | A |
| 15 | H-IFDPDT(ΨPro)GTWI-NH2 | 8 | 65 d | <1 | 6 | c | A |
| 16 | H-IFDPDT(ΨPro)GTWI-NH2 | 78 d | - | - | - | a | A |
| 17 | H-IFDPDT(ΨPro)GTWI-NH2 | 11 | 21 | 40 | 7 | a | B |
| 18 | H-IFDPDT(ΨPro)GTWI-NH2 | 31 d | 50 d | - | 3 | a | C |
| 19 | H-IFDPDT(ΨPro)GTWI-NH2 | 69 d | - | 13 | 3 | a | A e |
Disclaimer/Publisher’s Note: The statements, opinions and data contained in all publications are solely those of the individual author(s) and contributor(s) and not of MDPI and/or the editor(s). MDPI and/or the editor(s) disclaim responsibility for any injury to people or property resulting from any ideas, methods, instructions or products referred to in the content. |
© 2024 by the authors. Licensee MDPI, Basel, Switzerland. This article is an open access article distributed under the terms and conditions of the Creative Commons Attribution (CC BY) license (https://creativecommons.org/licenses/by/4.0/).
Share and Cite
Szaniszló, S.; Csámpai, A.; Horváth, D.; Tomecz, R.; Farkas, V.; Perczel, A. Unveiling the Oxazolidine Character of Pseudoproline Derivatives by Automated Flow Peptide Chemistry. Int. J. Mol. Sci. 2024, 25, 4150. https://doi.org/10.3390/ijms25084150
Szaniszló S, Csámpai A, Horváth D, Tomecz R, Farkas V, Perczel A. Unveiling the Oxazolidine Character of Pseudoproline Derivatives by Automated Flow Peptide Chemistry. International Journal of Molecular Sciences. 2024; 25(8):4150. https://doi.org/10.3390/ijms25084150
Chicago/Turabian StyleSzaniszló, Szebasztián, Antal Csámpai, Dániel Horváth, Richárd Tomecz, Viktor Farkas, and András Perczel. 2024. "Unveiling the Oxazolidine Character of Pseudoproline Derivatives by Automated Flow Peptide Chemistry" International Journal of Molecular Sciences 25, no. 8: 4150. https://doi.org/10.3390/ijms25084150
APA StyleSzaniszló, S., Csámpai, A., Horváth, D., Tomecz, R., Farkas, V., & Perczel, A. (2024). Unveiling the Oxazolidine Character of Pseudoproline Derivatives by Automated Flow Peptide Chemistry. International Journal of Molecular Sciences, 25(8), 4150. https://doi.org/10.3390/ijms25084150

