Serum Expression of miR-23a-3p and miR-424-5p Indicate Specific Polycystic Ovary Syndrome Phenotypes: A Pilot Study
Abstract
1. Introduction
2. Results
2.1. Clinical Characterization
2.1.1. PCOS in Comparison to Controls
2.1.2. Phenotype-Specific Comparison to Controls
2.2. Basic Expression of miRNA Candidates
- “Not detectable”
- “Expression at the detection limit”
- “Reliable detection of expression”.
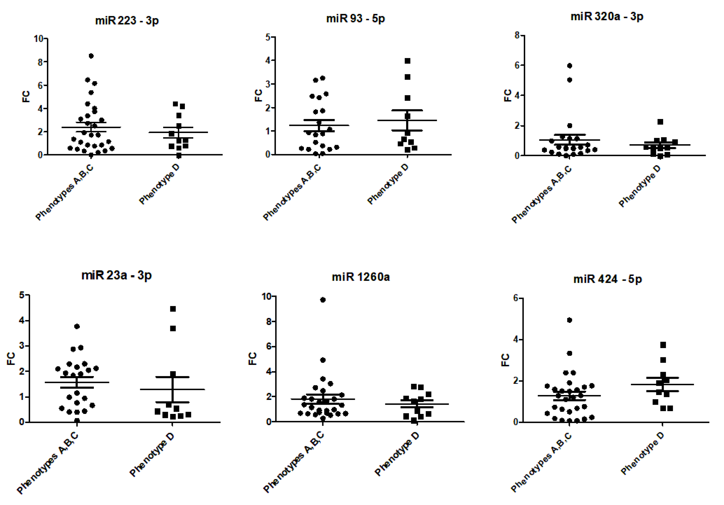
2.3. Phenotype-Specific miRNA Expression
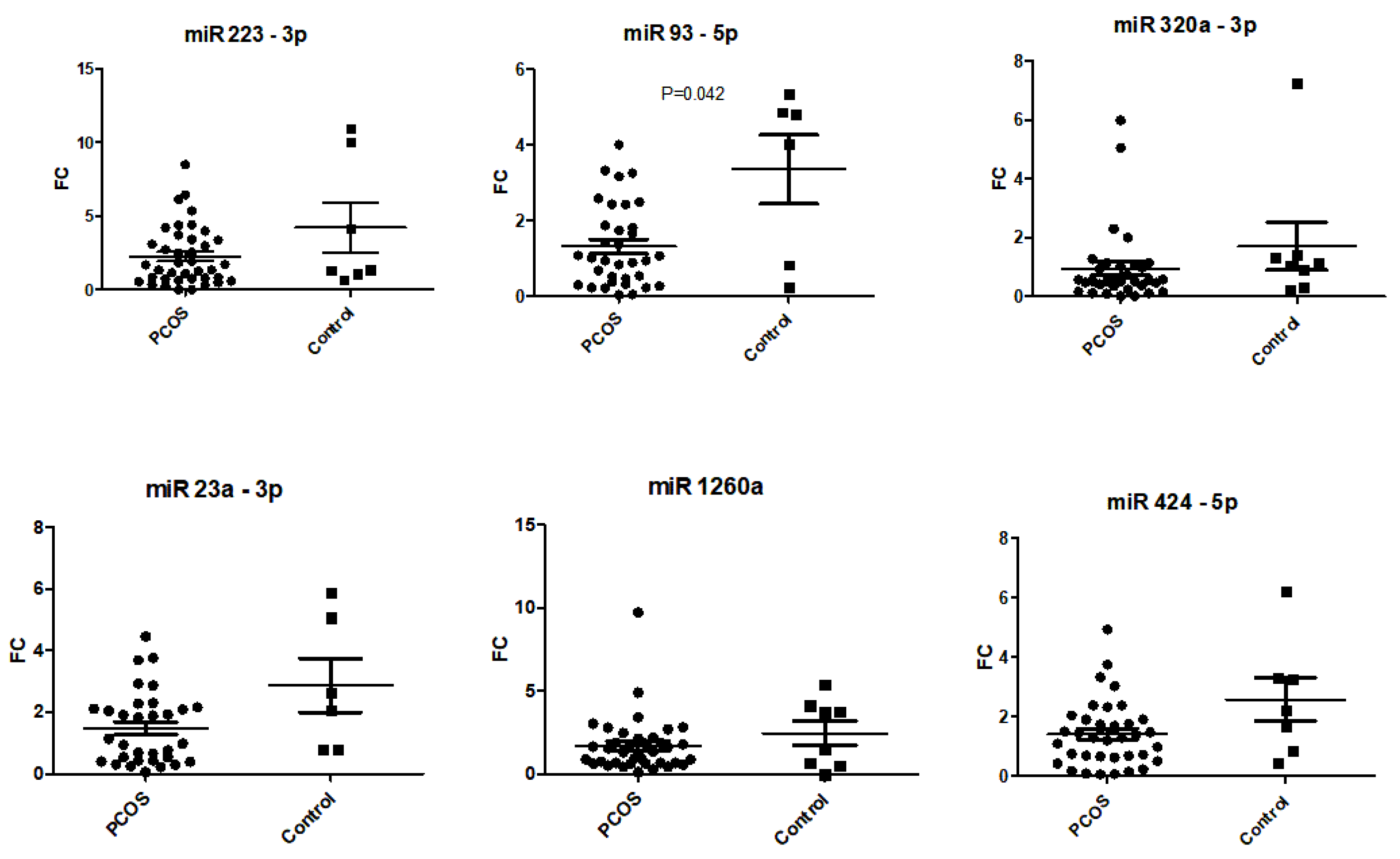
2.4. PCOS-Specific Expression Compared to Controls
2.5. Expression in Phenotypes with HA
3. Discussion
4. Materials and Methods
4.1. Study Design
4.2. Study Population
4.3. Laboratory Measurements
4.4. Selection of miRNAs
4.5. MiRNA Isolation and qPCR
4.6. qPCR Data Analysis
4.7. Statistical Analysis
Author Contributions
Funding
Institutional Review Board Statement
Informed Consent Statement
Data Availability Statement
Acknowledgments
Conflicts of Interest
References
- March, W.A.; Moore, V.M.; Willson, K.J.; Phillips, D.I.; Norman, R.J.; Davies, M.J. The prevalence of polycystic ovary syndrome in a community sample assessed under contrasting diagnostic criteria. Hum. Reprod. 2010, 25, 544–551. [Google Scholar] [CrossRef] [PubMed]
- Dumesic, D.A.; Oberfield, S.E.; Stener-Victorin, E.; Marshall, J.C.; Laven, J.S.; Legro, R.S. Scientific Statement on the Diagnostic Criteria; Epidemiology; Pathophysiology; and Molecular Genetics of Polycystic Ovary Syndrome. Endocr. Rev. 2015, 36, 487–525. [Google Scholar] [CrossRef] [PubMed]
- Wehr, E.; Gruber, H.J.; Giuliani, A.; Moller, R.; Pieber, T.R.; Obermayer-Pietsch, B. The lipid accumulation product is associated with impaired glucose tolerance in PCOS women. J. Clin. Endocrinol. Metab. 2011, 96, E986–E990. [Google Scholar] [CrossRef] [PubMed]
- Al-Hakeim, H.K. Correlation between Iron Status Parameters and Hormone Levels in Women with Polycystic Ovary Syndrome. Clin. Med. Insights Women’s Health 2012, 5, 1. [Google Scholar] [CrossRef]
- Teede, H.; Deeks, A.; Moran, L. Polycystic ovary syndrome: A complex condition with psychological; reproductive and metabolic manifestations that impacts on health across the lifespan. BMC Med. 2010, 8, 41. [Google Scholar] [CrossRef] [PubMed]
- Lindheim, L.; Bashir, M.; Münzker, J.; Trummer, C.; Zachhuber, V.; Leber, B.; Horvath, A.; Pieber, T.R.; Gorkiewicz, G.; Stadlbauer, V.; et al. Alterations in Gut Microbiome Composition and Barrier Function Are Associated with Reproductive and Metabolic Defects in Women with Polycystic Ovary Syndrome (PCOS): A Pilot Study. PLoS ONE 2017, 12, e0168390. [Google Scholar] [CrossRef]
- Borzan, V.; Lerchbaum, E.; Missbrenner, C.; Heijboer, A.C.; Goschnik, M.; Trummer, C.; Theiler-Schwetz, V.; Haudum, C.; Gumpold, R.; Schweighofer, N.; et al. Risk of Insulin Resistance and Metabolic Syndrome in Women with Hyperandrogenemia: A Comparison between PCOS Phenotypes and Beyond. J. Clin. Med. 2021, 10, 829. [Google Scholar] [CrossRef]
- Joham, A.E.; Norman, R.J.; Stener-Victorin, E.; Legro, R.S.; Franks, S.; Moran, L.J.; Boyle, J.; Teede, H.J. Polycystic ovary syndrome. Lancet Diabetes Endocrinol. 2022, 10, 668–680, Erratum in Lancet Diabetes Endocrinol. 2022, 10, e11. [Google Scholar] [CrossRef]
- Myers, S.H.; Russo, M.; Dinicola, S.; Forte, G.; Unfer, V. Questioning PCOS phenotypes for reclassification and tailored therapy. Trends Endocrinol. Metab. 2023, 34, 694–703. [Google Scholar] [CrossRef]
- Nisenblat, V.; Norman, R.J. Androgens and polycystic ovary syndrome. Curr. Opin. Endocrinol. Diabetes Obes. 2009, 16, 224–231. [Google Scholar] [CrossRef]
- Calcaterra, V.; Verduci, E.; Cena, H.; Magenes, V.C.; Todisco, C.F.; Tenuta, E.; Gregorio, C.; De Giuseppe, R.; Bosetti, A.; Di Profio, E.; et al. Polycystic Ovary Syndrome in Insulin-Resistant Adolescents with Obesity: The Role of Nutrition Therapy and Food Supplements as a Strategy to Protect Fertility. Nutrients 2021, 13, 1848. [Google Scholar] [CrossRef] [PubMed]
- Mirza, F.G.; Tahlak, M.A.; Rjeili, R.B.; Hazari, K.; Ennab, F.; Hodgman, C.; Khamis, A.H.; Atiomo, W. Polycystic Ovarian Syndrome (PCOS): Does the Challenge End at Conception? Int. J. Environ. Res. Public. Health 2022, 19, 14914. [Google Scholar] [CrossRef] [PubMed]
- Bremer, A.A.; Miller, W.L. The serine phosphorylation hypothesis of polycystic ovary syndrome: A unifying mechanism for hyperandrogenemia and insulin resistance. Fertil. Steril. 2008, 89, 1039–1048. [Google Scholar] [CrossRef] [PubMed]
- De Leo, V.; la Marca, A.; Petraglia, F. Insulin-lowering agents in the management of polycystic ovary syndrome. Endocr. Rev. 2003, 24, 633–667. [Google Scholar] [CrossRef] [PubMed]
- De Leo, V.; Musacchio, M.C.; Cappelli, V.; Massaro, M.G.; Morgante, G.; Petraglia, F. Genetic; hormonal and metabolic aspects of PCOS: An update. Reprod. Biol. Endocrinol. 2016, 14, 38. [Google Scholar] [CrossRef] [PubMed]
- Escobar-Morreale, H.F.; San Millán, J.L. Abdominal adiposity and the polycystic ovary syndrome. Trends Endocrinol. Metab. 2007, 18, 266–272. [Google Scholar] [CrossRef] [PubMed]
- Bartel, D.P. MicroRNAs: Genomics; biogenesis; mechanism; and function. Cell 2004, 116, 281–297. [Google Scholar] [CrossRef]
- Bartel, D.P. MicroRNAs: Target recognition and regulatory functions. Cell 2009, 136, 215–233. [Google Scholar] [CrossRef]
- Sohel, M.H. Extracellular/Circulating MicroRNAs: Release Mechanisms, Functions and Challenges. Achiev. Life Sci. 2016, 10, 175–186. [Google Scholar] [CrossRef]
- Agbu, P.; Carthew, R.W. MicroRNA-mediated regulation of glucose and lipid metabolism. Nat. Rev. Mol. Cell Biol. 2021, 22, 425–438. [Google Scholar] [CrossRef]
- Hill, M.; Tran, N. miRNA interplay: Mechanisms and consequences in cancer. Dis. Model. Mech. 2021, 14, dmm047662. [Google Scholar] [CrossRef] [PubMed]
- Butz, H.; Kinga, N.; Racz, K.; Patocs, A. Circulating miRNAs as biomarkers for endocrine disorders. J. Endocrinol. Investig. 2016, 39, 1–10. [Google Scholar] [CrossRef] [PubMed]
- Sørensen, A.E.; Wissing, M.L.; Salö, S.; Englund, A.L.; Dalgaard, L.T. MicroRNAs Related to Polycystic Ovary Syndrome (PCOS). Genes 2014, 5, 684–708. [Google Scholar] [CrossRef] [PubMed]
- Rottiers, V.; Näär, A.M. MicroRNAs in metabolism and metabolic disorders. Nat. Rev. Mol. Cell Biol. 2012, 13, 239–250, Erratum in Nat. Rev. Mol. Cell Biol. 2012, 13, 1. [Google Scholar] [CrossRef] [PubMed]
- Motahari Rad, H.; Mowla, S.J.; Ramazanali, F.; Rezazadeh Valojerdi, M. Characterization of altered microRNAs related to different phenotypes of polycystic ovarian syndrome (PCOS) in serum; follicular fluid; and cumulus cells. Taiwan J. Obstet. Gynecol. 2022, 61, 768–779. [Google Scholar] [CrossRef] [PubMed]
- Krentowska, A.; Ponikwicka-Tyszko, D.; Łebkowska, A.; Adamska, A.; Sztachelska, M.; Milewska, G.; Hryniewicka, J.; Wołczyński, S.; Kowalska, I. Serum expression levels of selected microRNAs and their association with glucose metabolism in young women with polycystic ovary syndrome. Pol. Arch. Intern. Med. 2024, 134, 16637. [Google Scholar] [CrossRef]
- Sirotkin, A.V.; Lauková, M.; Ovcharenko, D.; Brenaut, P.; Mlyncek, M. Identification of microRNAs controlling human ovarian cell proliferation and apoptosis. J. Cell Physiol. 2010, 223, 49–56. [Google Scholar] [CrossRef]
- Sang, Q.; Yao, Z.; Wang, H.; Feng, R.; Wang, H.; Zhao, X.; Xing, Q.; Jin, L.; He, L.; Wu, L.; et al. Identification of microRNAs in human follicular fluid: Characterization of microRNAs that govern steroidogenesis in vitro and are associated with polycystic ovary syndrome in vivo. J. Clin. Endocrinol. Metab. 2013, 98, 3068–3079. [Google Scholar] [CrossRef]
- Murri, M.; Insenser, M.; Fernández-Durán, E.; San-Millán, J.L.; Escobar-Morreale, H.F. Effects of polycystic ovary syndrome (PCOS); sex hormones; and obesity on circulating miRNA-21; miRNA-27b; miRNA-103; and miRNA-155 expression. J. Clin. Endocrinol. Metab. 2013, 98, E1835–E1844. [Google Scholar] [CrossRef]
- Chen, Y.H.; Heneidi, S.; Lee, J.M.; Layman, L.C.; Stepp, D.W.; Gamboa, G.M.; Chen, B.S.; Chazenbalk, G.; Azziz, R. miRNA-93 inhibits GLUT4 and is overexpressed in adipose tissue of polycystic ovary syndrome patients and women with insulin resistance. Diabetes 2013, 62, 2278–2286. [Google Scholar] [CrossRef]
- Chen, X.; Ba, Y.; Ma, L.; Cai, X.; Yin, Y.; Wang, K.; Guo, J.; Zhang, Y.; Chen, J.; Guo, X.; et al. Characterization of microRNAs in serum: A novel class of biomarkers for diagnosis of cancer and other diseases. Cell Res. 2008, 18, 997–1006. [Google Scholar] [CrossRef] [PubMed]
- Rashid, G.; Khan, N.A.; Elsori, D.; Youness, R.A.; Hassan, H.; Siwan, D.; Seth, N.; Kamal, M.A.; Rizvi, S.; Babker, A.M.; et al. miRNA expression in PCOS: Unveiling a paradigm shift toward biomarker discovery. Arch. Gynecol. Obstet. 2024. [Google Scholar] [CrossRef]
- Mu, L.; Sun, X.; Tu, M.; Zhang, D. Non-coding RNAs in polycystic ovary syndrome: A systematic review and meta-analysis. Reprod. Biol. Endocrinol. 2021, 19, 10. [Google Scholar] [CrossRef] [PubMed]
- De Nardo Maffazioli, G.; Baracat, E.C.; Soares, J.M.; Carvalho, K.C.; Maciel, G.A.R. Evaluation of circulating microRNA profiles in Brazilian women with polycystic ovary syndrome: A preliminary study. PLoS ONE 2022, 17, e0275031. [Google Scholar] [CrossRef] [PubMed]
- Naji, M.; Aleyasin, A.; Nekoonam, S.; Arefian, E.; Mahdian, R.; Amidi, F. Differential Expression of miR-93 and miR-21 in Granulosa Cells and Follicular Fluid of Polycystic Ovary Syndrome Associating with Different Phenotypes. Sci. Rep. 2017, 7, 14671. [Google Scholar] [CrossRef]
- Wu, H.L.; Heneidi, S.; Chuang, T.Y.; Diamond, M.P.; Layman, L.C.; Azziz, R.; Chen, Y.H. The expression of the miR-25/93/106b family of micro-RNAs in the adipose tissue of women with polycystic ovary syndrome. J. Clin. Endocrinol. Metab. 2014, 99, E2754–E2761. [Google Scholar] [CrossRef] [PubMed]
- Zhang, C.L.; Wang, H.; Yan, C.Y.; Gao, X.F.; Ling, X.J. Deregulation of RUNX2 by miR-320a deficiency impairs steroidogenesis in cumulus granulosa cells from polycystic ovary syndrome (PCOS) patients. Biochem. Biophys. Res. Commun. 2017, 482, 1469–1476. [Google Scholar] [CrossRef]
- Sørensen, A.E.; Wissing, M.L.; Englund, A.L.; Dalgaard, L.T. MicroRNA Species in Follicular Fluid Associating With Polycystic Ovary Syndrome and Related Intermediary Phenotypes. J. Clin. Endocrinol. Metab. 2016, 101, 1579–1589. [Google Scholar] [CrossRef]
- Butler, A.E.; Ramachandran, V.; Hayat, S.; Dargham, S.R.; Cunningham, T.C.; Benurwar, M.; Sathyapalan, T.; Najaf-Shoushtari, S.H.; Atkin, S.L. Expression of microRNA in follicular fluid in women with and without PCOS. Sci. Rep. 2019, 9, 16306. [Google Scholar] [CrossRef] [PubMed]
- Rusticus, S.A.; Lovato, C.Y. Impact of Sample Size and Variability on the Power and Type I Error Rates of Equivalence Tests: A Simulation Study. Pract. Assess. Res. Eval. 2019, 19, 11. [Google Scholar] [CrossRef]
- Wei, J.; Cheng, P.; Kong, M.; Zhang, L.; Liu, S.; Ning, B.; Huang, X. MicroRNA-23a-3p overexpression represses proliferation and accelerates apoptosis of granular cells in polycystic ovarian syndrome by targeting HMGA2. Gynecol. Endocrinol. 2023, 39, 2172155. [Google Scholar] [CrossRef] [PubMed]
- Das, M.; Djahanbakhch, O.; Hacihanefioglu, B.; Saridogan, E.; Ikram, M.; Ghali, L.; Raveendran, M.; Storey, A. Granulosa cell survival and proliferation are altered in polycystic ovary syndrome. J. Clin. Endocrinol. Metab. 2008, 93, 881–887. [Google Scholar] [CrossRef] [PubMed]
- Yuan, D.; Luo, J.; Sun, Y.; Hao, L.; Zheng, J.; Yang, Z. PCOS follicular fluid derived exosomal miR-424-5p induces granulosa cells senescence by targeting CDCA4 expression. Cell Signal. 2021, 85, 110030. [Google Scholar] [CrossRef] [PubMed]
- Jiang, L.; Huang, J.; Li, L.; Chen, Y.; Chen, X.; Zhao, X.; Yang, D. MicroRNA-93 promotes ovarian granulosa cells proliferation through targeting CDKN1A in polycystic ovarian syndrome. J. Clin. Endocrinol. Metab. 2015, 100, E729–E738. [Google Scholar] [CrossRef] [PubMed]
- Tan, W.; Dai, F.; Yang, D.; Deng, Z.; Gu, R.; Zhao, X.; Cheng, Y. MiR-93-5p promotes granulosa cell apoptosis and ferroptosis by the NF-kB signaling pathway in polycystic ovary syndrome. Front. Immunol. 2022, 13, 967151. [Google Scholar] [CrossRef] [PubMed]
- Sathyapalan, T.; David, R.; Gooderham, N.J.; Atkin, S.L. Increased expression of circulating miRNA-93 in women with polycystic ovary syndrome may represent a novel; non-invasive biomarker for diagnosis. Sci. Rep. 2015, 5, 16890. [Google Scholar] [CrossRef] [PubMed]
- Deswal, R.; Dang, A.S. Dissecting the role of micro-RNAs as a diagnostic marker for polycystic ovary syndrome: A systematic review and meta-analysis. Fertil. Steril. 2020, 113, 661–669.e2. [Google Scholar] [CrossRef] [PubMed]
- De Ronde, M.W.J.; Ruijter, J.M.; Lanfear, D.; Bayes-Genis, A.; Kok, M.G.M.; Creemers, E.E.; Pinto, Y.M.; Pinto-Sietsma, S.J. Practical data handling pipeline improves performance of qPCR-based circulating miRNA measurements. RNA 2017, 23, 811–821. [Google Scholar] [CrossRef]
- Rice, J.; Roberts, H.; Burton, J.; Pan, J.; States, V.; Rai, S.N.; Galandiuk, S. Assay reproducibility in clinical studies of plasma miRNA. PLoS ONE 2015, 10, e0121948. [Google Scholar] [CrossRef]
- Song, J.; Luo, S.; Li, S.W. miRNA-592 is downregulated and may target LHCGR in polycystic ovary syndrome patients. Reprod. Biol. 2015, 15, 229–237. [Google Scholar] [CrossRef]
- Xiong, W.; Lin, Y.; Xu, L.; Tamadon, A.; Zou, S.; Tian, F.; Shao, R.; Li, X.; Feng, Y. Circulatory microRNA 23a and microRNA 23b and polycystic ovary syndrome (PCOS): The effects of body mass index and sex hormones in an Eastern Han Chinese population. J. Ovarian Res. 2017, 10, 10. [Google Scholar] [CrossRef] [PubMed]
- Ding, C.F.; Chen, W.Q.; Zhu, Y.T.; Bo, Y.L.; Hu, H.M.; Zheng, R.H. Circulating microRNAs in patients with polycystic ovary syndrome. Hum. Fertil. 2015, 18, 22–29. [Google Scholar] [CrossRef]
- Song, D.K.; Sung, Y.A.; Lee, H. The Role of Serum MicroRNA-6767-5p as a Biomarker for the Diagnosis of Polycystic Ovary Syndrome. PLoS ONE 2016, 11, e0163756. [Google Scholar] [CrossRef] [PubMed]
- Rashad, N.M.; Ateya, M.A.; Saraya, Y.S.; Elnagar, W.M.; Helal, K.F.; Lashin, M.E.; Abdelrhman, A.A.; Alil, A.E.; Yousef, M.S. Association of miRNA - 320 expression level and its target gene endothelin-1 with the susceptibility and clinical features of polycystic ovary syndrome. J. Ovarian Res. 2019, 12, 39. [Google Scholar] [CrossRef] [PubMed]
- Sunderland, N.; Skroblin, P.; Barwari, T.; Huntley, R.P.; Lu, R.; Joshi, A.; Lovering, R.C.; Mayr, M. MicroRNA Biomarkers and Platelet Reactivity: The Clot Thickens. Circ. Res. 2017, 120, 418–435. [Google Scholar] [CrossRef] [PubMed]
- Mussbacher, M.; Schrottmaier, W.C.; Salzmann, M.; Brostjan, C.; Schmid, J.A.; Starlinger, P.; Assinger, A. Optimized plasma preparation is essential to monitor platelet-stored molecules in humans. PLoS ONE 2017, 12, e0188921. [Google Scholar] [CrossRef] [PubMed]
- Trummer, O.; Foessl, I.; Schweighofer, N.; Arifi, E.; Haudum, C.W.; Reintar, S.; Pilz, S.; Theiler-Schwetz, V.; Trummer, C.; Zirlik, A.; et al. Expression Profiles of miR-22-5p and miR-142-3p Indicate Hashimoto’s Disease and Are related to Thyroid Antibodies. Genes 2022, 13, 171. [Google Scholar] [CrossRef] [PubMed]
- Lerchbaum, E.; Schwetz, V.; Giuliani, A.; Pieber, T.R.; Obermayer-Pietsch, B. Opposing effects of dehydroepiandrosterone sulfate and free testosterone on metabolic phenotype in women with polycystic ovary syndrome. Fertil. Steril. 2012, 98, 1318–1325.e1. [Google Scholar] [CrossRef]
- Lerchbaum, E.; Schwetz, V.; Rabe, T.; Giuliani, A.; Obermayer-Pietsch, B. Hyperandrogenemia in polycystic ovary syndrome: Exploration of the role of free testosterone and androstenedione in metabolic phenotype. PLoS ONE 2014, 9, e108263. [Google Scholar] [CrossRef]
- Rotterdam ESHRE/ASRM-Sponsored PCOS consensus Workshop Group. Revised 2003 consensus on diagnostic criteria and long-term health risks related to polycystic ovary syndrome (PCOS). Hum. Reprod. 2004, 19, 41–47. [Google Scholar] [CrossRef]
- Teede, H.J.; Misso, M.L.; Boyle, J.A.; Garad, R.M.; McAllister, V.; Downes, L.; Gibson, M.; Hart, R.J.; Rombauts, L.; Moran, L.; et al. Translation and implementation of the Australian-led PCOS guideline: Clinical summary and translation resources from the International Evidence-based Guideline for the Assessment and Management of Polycystic Ovary Syndrome. Med. J. Aust. 2018, 209, S3–S8. [Google Scholar] [CrossRef] [PubMed]
- Butler, A.E.; Ramachandran, V.; Cunningham, T.K.; David, R.; Gooderham, N.J.; Benurwar, M.; Dargham, S.R.; Hayat, S.; Sathyapalan, T.; Najafi-Shoushtari, S.H.; et al. Increased MicroRNA Levels in Women With Polycystic Ovarian Syndrome but Without Insulin Resistance: A Pilot Prospective Study. Front. Endocrinol. 2020, 11, 571357. [Google Scholar] [CrossRef]
- Chuang, T.Y.; Wu, H.L.; Chen, C.C.; Gamboa, G.M.; Layman, L.C.; Diamond, M.P.; Azziz, R.; Chen, Y.H. MicroRNA-223 Expression is Upregulated in Insulin Resistant Human Adipose Tissue. J. Diabetes Res. 2015, 2015, 943659. [Google Scholar] [CrossRef] [PubMed]
- Arancio, W.; Calogero Amato, M.; Magliozzo, M.; Pizzolanti, G.; Vesco, R.; Giordano, C. Serum miRNAs in women affected by hyperandrogenic polycystic ovary syndrome: The potential role of miR-155 as a biomarker for monitoring the estroprogestinic treatment. Gynecol. Endocrinol. 2018, 34, 704–708. [Google Scholar] [CrossRef] [PubMed]
- Cirillo, F.; Catellani, C.; Lazzeroni, P.; Sartori, C.; Nicoli, A.; Amarri, S.; La Sala, G.B.; Street, M.E. MiRNAs Regulating Insulin Sensitivity Are Dysregulated in Polycystic Ovary Syndrome (PCOS) Ovaries and Are Associated With Markers of Inflammation and Insulin Sensitivity. Front. Endocrinol. 2019, 10, 879. [Google Scholar] [CrossRef] [PubMed]
- Livak, K.J.; Schmittgen, T.D. Analysis of relative gene expression data using real-time quantitative PCR and the 2(-Delta Delta C(T)) Method. Methods 2001, 25, 402–408. [Google Scholar] [CrossRef] [PubMed]
- Udesen, P.B.; Sørensen, A.E.; Svendsen, R.; Frisk, N.L.S.; Hess, A.L.; Aziz, M.; Wissing, M.L.M.; Englund, A.L.M.; Dalgaard, L.T. Circulating miRNAs in Women with Polycystic Ovary Syndrome: A Longitudinal Cohort Study. Cells 2023, 12, 983. [Google Scholar] [CrossRef]






| Characteristics | Control | PCOS A | PCOS B | PCOS C | PCOS D | PCOS (All Phenotypes) |
|---|---|---|---|---|---|---|
| Number | 8 | 11 | 10 | 11 | 11 | 43 |
| BMI (kg/m2) | 24.53 (±4.50) | 25.41 (±6.43) | 25.09 (±5.64) | 26.278 (±7.07) | 27.12 (±8.02) | 26.00 (±6.67) |
| Age (yr) | 29.15 (±3.57) | 26.42 (±3.86) | 29.74 (±3.91) | 27.61 (±3.63) | 27.51 (±3.05) | 27.78 (±3.69) |
| AMH (ng/mL) | 3.95 (±1.85) | 12.73 (±7.85) | 13.04 (±6.59) b | 7.18 (±6.03) | 9.96 (±5.63) | 10.57 (±6.70) d |
| LH (mIU/mL) | 5.34 (±4.37) | 11.32 (±7.14) | 15.05 (±11.09) | 9.45 (±8.78) | 8.70 (±5.01) | 11.04 (±8.30) c |
| FSH (mIU/mL) | 5.99 (±2.61) | 7.01 (±1.97) | 6.66 (±1.65) | 5.78 (±3.14) | 5.94 (±1.00) | 6.34 (±2.09) |
| LH/FSH Ratio | 0.90 (±0.52) | 1.57 (±0.83) | 2.27 (±1.41) | 1.90 (±2.10) | 1.46 (±0.78) | 1.79 (±1.37) c |
| SHBG (nmol/L) | 74.27 (±37.19) | 51.93 (±20.65) | 66.70 (±43.09) | 59.31 (±44.02) | 76.55 (±39.01) | 63.55 (±37.55) |
| DHEA (µg/mL) | 1.37 (±0.69) | 23.33 (±72.16) | 1.82 (±0.76) | 2.63 (±0.94) a | 1.24 (±0.39) | 7.38 (±36.47) |
| androstenedione (ng/mL) | 2.33 (±0.58) | 3.78 (±1.21) a | 4.68 (±1.72) a | 3.26 (±1.14) | 2.24 (±0.54) | 3.46 (±1.46) d |
| TT (ng/mL) | 0.22 (±0.14) | 0.59 (±0.22) b | 0.56 (±0.14) b | 0.46 (±0.15) b | 0.43 (±0.16) | 0.51 (±0.03) d |
| fTesto (pg/mL) | 1.19 (±0.44) | 2.99 (±1.30) b | 2.33 (±1.03) | 2.64 (±0.85) b | 1.67 (±0.57) | 2.41 (±1.06) d |
| Hirsutism (FGS) | 3.25 (±4.5) | 6.60 (±5.23) | 10.44 (±6.37) | 12.18 (±8.10) b | 1.11 (±1.45) | 7.79 (±7.14) d |
| PCOM | no | yes | no | yes | yes | no/yes |
| miRNA | Phenotype A (n = 11) | Phenotype B (n = 10) | Phenotype C (n = 11) | Phenotype D (n = 8) | p-Value |
|---|---|---|---|---|---|
| miR-223-3p | 0.51 ± 0.20 | 0.49 ± 0.16 | 0.56 ± 0.95 | 0.55 ± 0.19 | 0.385 |
| miR-93-5p | 0.93 ± 0.26 | 1.36 ± 0.37 | 0.92 ± 0.46 | 0.67 ± 0.41 | 0.847 |
| miR-320a-3p | 0.51 ± 0.20 | 0.49 ± 0.16 | 0.56 ± 0.95 | 0.55 ± 0.19 | 0.952 |
| miR-23a-3p | 1.16 ± 0.24 | 2.24 ± 0.27 | 0.95 ± 0.45 | 0.49 ± 0.49 | 0.041 |
| miR-1260a | 1.37 ± 0.19 | 1.43 ± 0.57 | 1.11 ± 1.10 | 1.66 ± 0.29 | 0.978 |
| miR-424-5p | 1.59 ± 0.18 | 1.30 ± 0.52 | 0.24 ± 0.36 | 1.69 ± 0.32 | 0.046 |
| miRNA | Women with PCOS (All Phenotypes) n = 43 | Controls n = 8 | p-Value |
|---|---|---|---|
| miR-223-3p | 1.71 ± 0.32 | 1.35 ± 1.68 | 0.335 |
| miR-93-5p | 0.93 ± 0.18 | 4.41 ± 0.91 | 0.042 |
| miR-320a-3p | 0.52 ± 0.23 | 1.08 ± 0.80 | 0.122 |
| miR-23a-3p | 0.69 ± 0.15 | 0.80 ± 0.42 | 0.940 |
| miR-1260a | 1.35 ± 0.27 | 2.62 ± 0.72 | 0.434 |
| miR-424-5p | 1.16 ± 0.12 | 0.88 ± 0.40 | 0.928 |
| miRNA | Target Sequence | References |
|---|---|---|
| hsa-miR-155-5p | UUAAUGCUAAUCGUGAUAGGGGUU | [23,29] |
| hsa-miR-223-3p | UGUCAGUUUGUCAAAUACCCCA | [63] |
| hsa-miR-29a-5p | ACUGAUUUCUUUUGGUGUUCAG | [47,52,64] |
| hsa-miR-93-5p | CAAAGUGCUGUUCGUGCAGGUAG | [46,47] |
| hsa-miR-320a-3p | AAAAGCUGGGUUGAGAGGGCGA | [47,54,65] |
| hsa-miR-592 | UUGUGUCAAUAUGCGAUGAUGU | [50] |
| hsa-miR-23a-3p | AUCACAUUGCCAGGGAUUUCC | [51] |
| hsa-miR-6767-5p | UCGCAGACAGGGACACAUGGAGA | [53] |
| hsa-miR-let-7b-3p | CUAUACAACCUACUGCCUUCCC | [62] |
| hsa-miR-1260a | AUCCCACCUCUGCCACCA | [62] |
| hsa-miR-424-5p | CAGCAGCAAUUCAUGUUUUGAA | [62] |
| hsa-miR-18b-5p | UAAGGUGCAUCUAGUGCAGUUAG | [62] |
Disclaimer/Publisher’s Note: The statements, opinions and data contained in all publications are solely those of the individual author(s) and contributor(s) and not of MDPI and/or the editor(s). MDPI and/or the editor(s) disclaim responsibility for any injury to people or property resulting from any ideas, methods, instructions or products referred to in the content. |
© 2024 by the authors. Licensee MDPI, Basel, Switzerland. This article is an open access article distributed under the terms and conditions of the Creative Commons Attribution (CC BY) license (https://creativecommons.org/licenses/by/4.0/).
Share and Cite
Trummer, O.; Hoeller, J.; Reintar, S.; Tandl, V.; Foessl, I.; Borzan, V.; Theiler-Schwetz, V.; Trummer, C.; Lerchbaum, E.; Obermayer-Pietsch, B. Serum Expression of miR-23a-3p and miR-424-5p Indicate Specific Polycystic Ovary Syndrome Phenotypes: A Pilot Study. Int. J. Mol. Sci. 2024, 25, 3205. https://doi.org/10.3390/ijms25063205
Trummer O, Hoeller J, Reintar S, Tandl V, Foessl I, Borzan V, Theiler-Schwetz V, Trummer C, Lerchbaum E, Obermayer-Pietsch B. Serum Expression of miR-23a-3p and miR-424-5p Indicate Specific Polycystic Ovary Syndrome Phenotypes: A Pilot Study. International Journal of Molecular Sciences. 2024; 25(6):3205. https://doi.org/10.3390/ijms25063205
Chicago/Turabian StyleTrummer, Olivia, Jonas Hoeller, Sharmaine Reintar, Veronika Tandl, Ines Foessl, Valentin Borzan, Verena Theiler-Schwetz, Christian Trummer, Elisabeth Lerchbaum, and Barbara Obermayer-Pietsch. 2024. "Serum Expression of miR-23a-3p and miR-424-5p Indicate Specific Polycystic Ovary Syndrome Phenotypes: A Pilot Study" International Journal of Molecular Sciences 25, no. 6: 3205. https://doi.org/10.3390/ijms25063205
APA StyleTrummer, O., Hoeller, J., Reintar, S., Tandl, V., Foessl, I., Borzan, V., Theiler-Schwetz, V., Trummer, C., Lerchbaum, E., & Obermayer-Pietsch, B. (2024). Serum Expression of miR-23a-3p and miR-424-5p Indicate Specific Polycystic Ovary Syndrome Phenotypes: A Pilot Study. International Journal of Molecular Sciences, 25(6), 3205. https://doi.org/10.3390/ijms25063205

