Expression of Neurotrophins and Its Receptors During Fetal Development in the Human Cochlea
Abstract
1. Introduction
2. Results
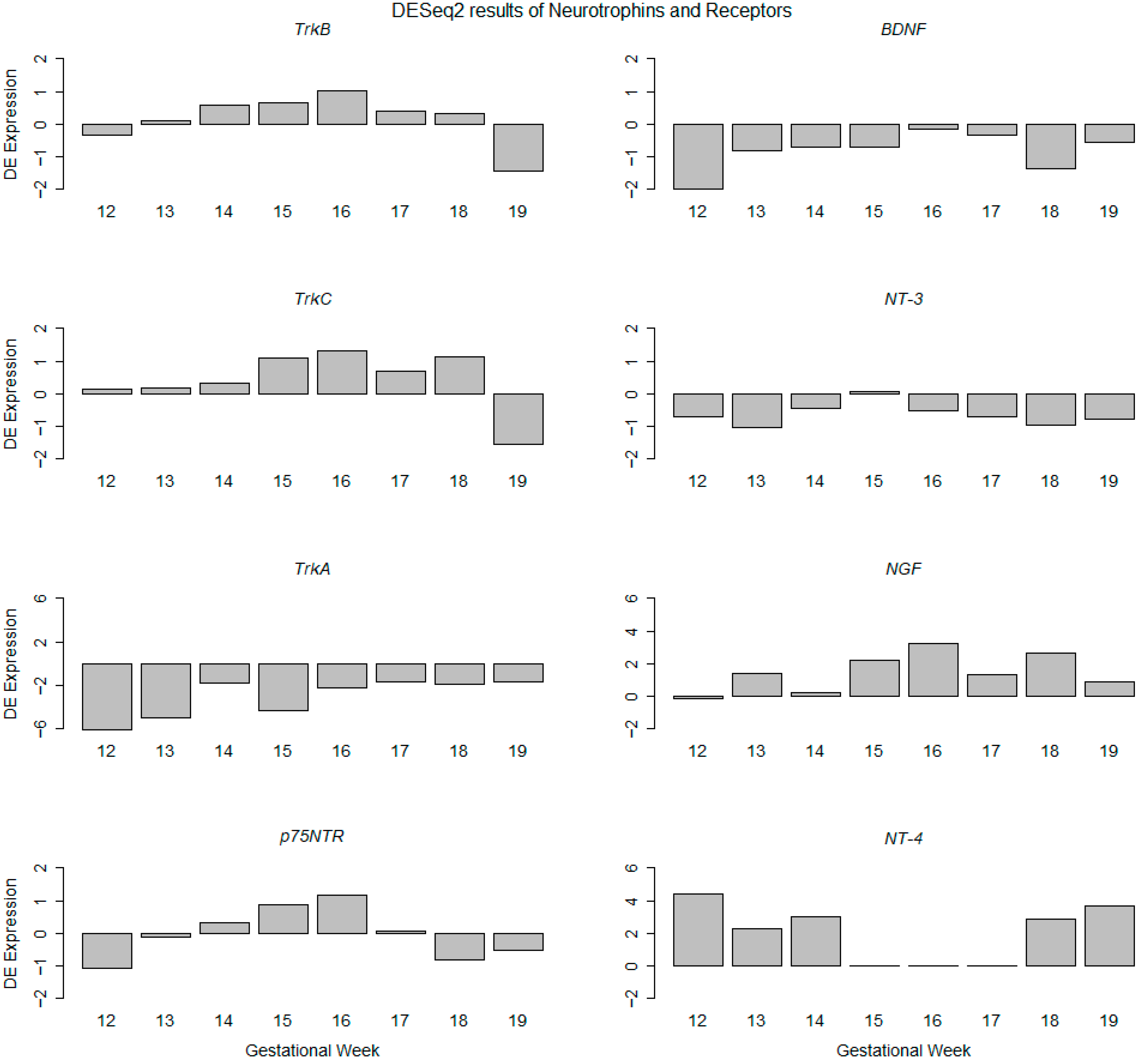
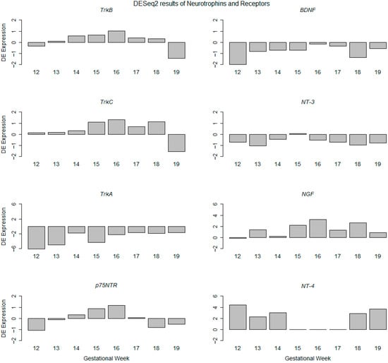
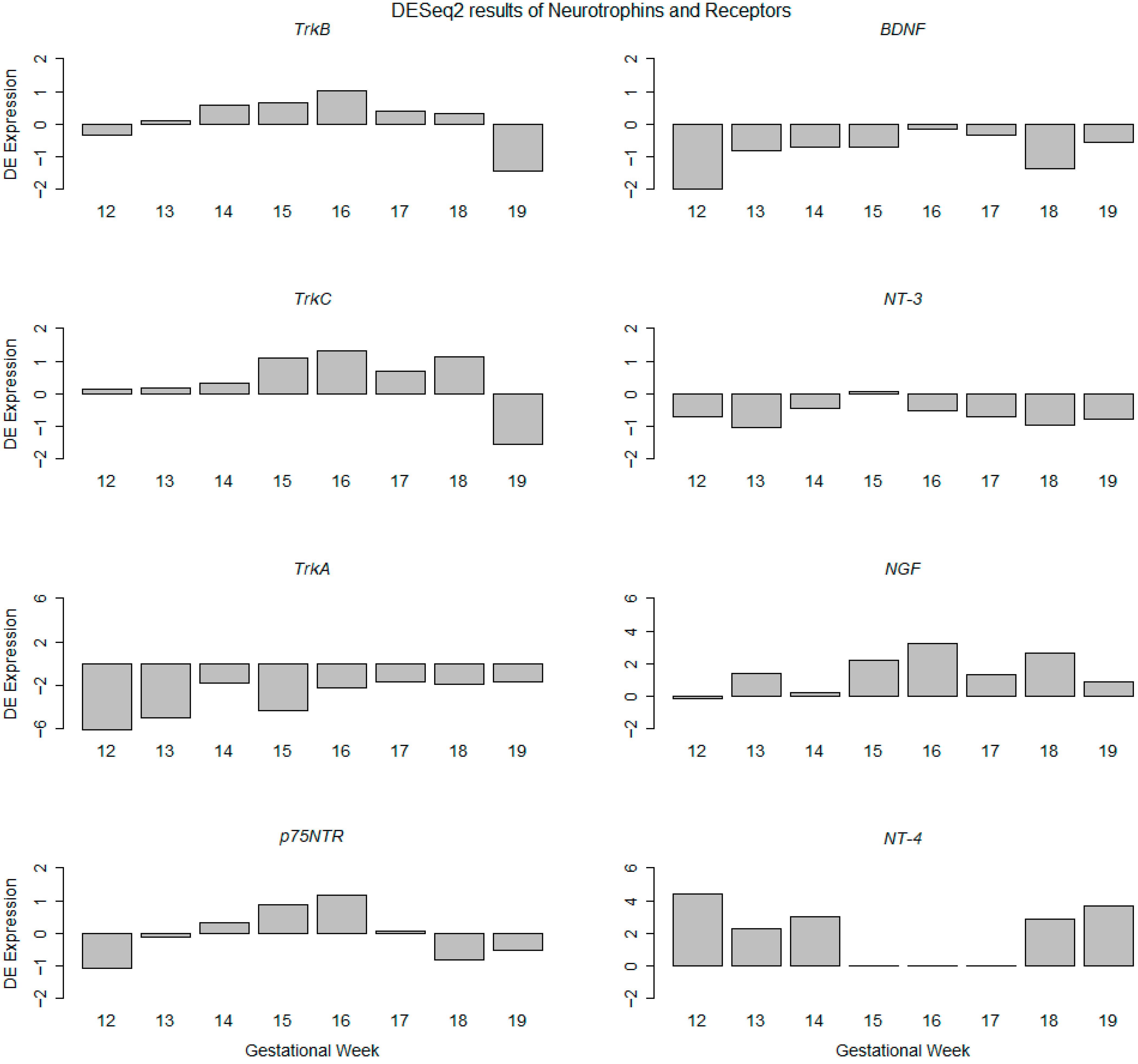
2.1. Expression of Neurotrophins and Neurotrophic Receptors with RNAseq Analysis
2.2. Expression Profile of BDNF in the Cochlea with In Situ Hybridization
2.3. Expression of BDNF, TrkB, TrkC, and p75NTR in the Spiral Ganglion
2.3.1. BDNF RNA in the Spiral Ganglion
2.3.2. Neurotrophic Receptor Immune Staining
2.4. Expression of BDNF, TrkB, TrkC, and p75NTR in the Sensory Epithelium
2.4.1. BDNF RNA Transcripts in the Sensory Epithelium
2.4.2. Receptor Immune Staining for the Sensory Epithelium
3. Discussion
4. Conclusions
5. Materials and Methods
5.1. Fetal Specimens and Ethical Approval
5.2. Tissue Preparation for Histology, Immunohistochemistry, and In Situ Hybridization on Paraffin Sections
5.3. Immunohistochemistry and Image Analysis
5.4. Riboprobe Synthesis for In Situ Hybridization
5.5. In Situ Hybridization and Image Analysis
5.6. RNA Extraction and Next-Generation Sequencing
Supplementary Materials
Author Contributions
Funding
Institutional Review Board Statement
Informed Consent Statement
Data Availability Statement
Acknowledgments
Conflicts of Interest
Abbreviations
References
- Chatterjee, S.; Kraus, P.; Lufkin, T. A symphony of inner ear developmental control genes. BMC Genet. 2010, 11, 68. [Google Scholar] [CrossRef] [PubMed]
- Whitfield, T.T. Development of the inner ear. Curr. Opin. Genet. Dev. 2015, 32, 112–118. [Google Scholar] [CrossRef] [PubMed]
- Basch, M.L.; Brown, R.M., 2nd; Jen, H.I.; Groves, A.K. Where hearing starts: The development of the mammalian cochlea. J. Anat. 2016, 228, 233–254. [Google Scholar] [CrossRef] [PubMed]
- Cohen, R.; Sprinzak, D. Mechanical forces shaping the development of the inner ear. Biophys. J. 2021, 120, 4142–4148. [Google Scholar] [CrossRef]
- Roccio, M.; Perny, M.; Ealy, M.; Widmer, H.R.; Heller, S.; Senn, P. Molecular characterization and prospective isolation of human fetal cochlear hair cell progenitors. Nat. Commun. 2018, 9, 4027. [Google Scholar] [CrossRef]
- Roccio, M.; Senn, P.; Heller, S. Novel insights into inner ear development and regeneration for targeted hearing loss therapies. Hear. Res. 2020, 397, 107859. [Google Scholar] [CrossRef]
- Bruska, M.; Ulatowska-Błaszyk, K.; Weglowski, M.; Woźniak, W.; Piotrowski, A. Differentiation of the facio-vestibulocochlear ganglionic complex in human embryos of developmental stages 13–15. Folia Morphol. 2009, 68, 167–173. [Google Scholar]
- Lim, R.; Brichta, A.M. Anatomical and physiological development of the human inner ear. Hear. Res. 2016, 338, 9–21. [Google Scholar] [CrossRef]
- Kelley, M.W. Cellular commitment and differentiation in the organ of Corti. Int. J. Dev. Biol. 2007, 51, 571–583. [Google Scholar] [CrossRef]
- Lavigne-Rebillard, M.; Bagger-Sjöbäck, D. Development of the human stria vascularis. Hear. Res. 1992, 64, 39–51. [Google Scholar] [CrossRef]
- Lavigne-Rebillard, M.; Pujol, R. Auditory hair cells in human fetuses: Synaptogenesis and ciliogenesis. J. Electron. Microsc. Tech. 1990, 15, 115–122. [Google Scholar] [CrossRef] [PubMed]
- Locher, H.; Frijns, J.H.; van Iperen, L.; de Groot, J.C.; Huisman, M.A.; Chuva de Sousa Lopes, S.M. Neurosensory development and cell fate determination in the human cochlea. Neural Dev. 2013, 8, 20. [Google Scholar] [CrossRef] [PubMed]
- Pechriggl, E.J.; Bitsche, M.; Glueckert, R.; Rask-Andersen, H.; Blumer, M.J.; Schrott-Fischer, A.; Fritsch, H. Development of the innervation of the human inner ear. Dev. Neurobiol. 2015, 75, 683–702. [Google Scholar] [CrossRef] [PubMed]
- Fritzsch, B.; Tessarollo, L.; Coppola, E.; Reichardt, L.F. Neurotrophins in the ear: Their roles in sensory neuron survival and fiber guidance. Prog. Brain Res. 2004, 146, 265–278. [Google Scholar] [CrossRef]
- Huang, E.J.; Reichardt, L.F. Neurotrophins: Roles in neuronal development and function. Annu. Rev. Neurosci. 2001, 24, 677–736. [Google Scholar] [CrossRef]
- Notaras, M.; van den Buuse, M. Brain-Derived Neurotrophic Factor (BDNF): Novel Insights into Regulation and Genetic Variation. Neuroscientist 2019, 25, 434–454. [Google Scholar] [CrossRef]
- Ramekers, D.; Versnel, H.; Grolman, W.; Klis, S.F. Neurotrophins and their role in the cochlea. Hear. Res. 2012, 288, 19–33. [Google Scholar] [CrossRef]
- Keefe, K.M.; Sheikh, I.S.; Smith, G.M. Targeting Neurotrophins to Specific Populations of Neurons: NGF, BDNF, and NT-3 and Their Relevance for Treatment of Spinal Cord Injury. Int. J. Mol. Sci. 2017, 18, 548. [Google Scholar] [CrossRef]
- Liu, W.; Kinnefors, A.; Boström, M.; Rask-Andersen, H. Expression of TrkB and BDNF in human cochlea-an immunohistochemical study. Cell Tissue Res. 2011, 345, 213–221. [Google Scholar] [CrossRef]
- Vega, J.A.; San José, I.; Cabo, R.; Rodriguez, S.; Represa, J. Trks and p75 genes are differentially expressed in the inner ear of human embryos. What may Trks and p75 null mutant mice suggest on human development? Neurosci. Lett. 1999, 272, 103–106. [Google Scholar] [CrossRef]
- Johnson Chacko, L.; Blumer, M.J.F.; Pechriggl, E.; Rask-Andersen, H.; Dietl, W.; Haim, A.; Fritsch, H.; Glueckert, R.; Dudas, J.; Schrott-Fischer, A. Role of BDNF and neurotrophic receptors in human inner ear development. Cell Tissue Res. 2017, 370, 347–363. [Google Scholar] [CrossRef] [PubMed]
- Zhou, X.F.; Li, H.Y. Roles of glial p75NTR in axonal regeneration. J. Neurosci. Res. 2007, 85, 1601–1605. [Google Scholar] [CrossRef] [PubMed]
- Fritzsch, B.; Barbacid, M.; Silos-Santiago, I. Nerve dependency of developing and mature sensory receptor cells. Ann. N. Y. Acad. Sci. 1998, 855, 14–27. [Google Scholar] [CrossRef] [PubMed]
- Fritzsch, B.; Beisel, K. Development and maintenance of ear innervation and function: Lessons from mutations in mouse and man. Am. J. Hum. Genet. 1998, 63, 1263–1270. [Google Scholar] [CrossRef][Green Version]
- Van de Heyning, P.; Távora-Vieira, D.; Mertens, G.; Van Rompaey, V.; Rajan, G.P.; Müller, J.; Hempel, J.M.; Leander, D.; Polterauer, D.; Marx, M.; et al. Towards a Unified Testing Framework for Single-Sided Deafness Studies: A Consensus Paper. Audiol. Neurotol. 2016, 21, 391–398. [Google Scholar] [CrossRef]
- Szobota, S.; Mathur, P.D.; Siegel, S.; Black, K.; Saragovi, H.U.; Foster, A.C. BDNF, NT-3 and Trk receptor agonist monoclonal antibodies promote neuron survival, neurite extension, and synapse restoration in rat cochlea ex vivo models relevant for hidden hearing loss. PLoS ONE 2019, 14, e0224022. [Google Scholar] [CrossRef]
- Schimmang, T.; Tan, J.; Müller, M.; Zimmermann, U.; Rohbock, K.; Kôpschall, I.; Limberger, A.; Minichiello, L.; Knipper, M. Lack of Bdnf and TrkB signalling in the postnatal cochlea leads to a spatial reshaping of innervation along the tonotopic axis and hearing loss. Development 2003, 130, 4741–4750. [Google Scholar] [CrossRef]
- Pujol, R.; Lavigne-Rebillard, M. Early stages of innervation and sensory cell differentiation in the human fetal organ of Corti. Acta Otolaryngol. Suppl. 1985, 423, 43–50. [Google Scholar] [CrossRef]
- Ida-Yonemochi, H.; Yamada, Y.; Yoshikawa, H.; Seo, K. Locally Produced BDNF Promotes Sclerotic Change in Alveolar Bone after Nerve Injury. PLoS ONE 2017, 12, e0169201. [Google Scholar] [CrossRef]
- Huber, L.J.; Chao, M.V. Mesenchymal and neuronal cell expression of the p75 neurotrophin receptor gene occur by different mechanisms. Dev. Biol. 1995, 167, 227–238. [Google Scholar] [CrossRef][Green Version]
- Crigler, L.; Robey, R.C.; Asawachaicharn, A.; Gaupp, D.; Phinney, D.G. Human mesenchymal stem cell subpopulations express a variety of neuro-regulatory molecules and promote neuronal cell survival and neuritogenesis. Exp. Neurol. 2006, 198, 54–64. [Google Scholar] [CrossRef] [PubMed]
- Park, E.J.; Truong, V.L.; Jeong, W.S.; Min, W.K. Brain-Derived Neurotrophic Factor (BDNF) Enhances Osteogenesis and May Improve Bone Microarchitecture in an Ovariectomized Rat Model. Cells 2024, 13, 518. [Google Scholar] [CrossRef] [PubMed]
- Tritsch, N.X.; Yi, E.; Gale, J.E.; Glowatzki, E.; Bergles, D.E. The origin of spontaneous activity in the developing auditory system. Nature 2007, 450, 50–55. [Google Scholar] [CrossRef] [PubMed]
- Bothwell, M. Functional interactions of neurotrophins and neurotrophin receptors. Annu. Rev. Neurosci. 1995, 18, 223–253. [Google Scholar] [CrossRef] [PubMed]
- Green, S.H.; Bailey, E.; Wang, Q.; Davis, R.L. The Trk A, B, C’s of neurotrophins in the cochlea. Anat. Rec. 2012, 295, 1877–1895. [Google Scholar] [CrossRef]
- Wiechers, B.; Gestwa, G.; Mack, A.; Carroll, P.; Zenner, H.P.; Knipper, M. A changing pattern of brain-derived neurotrophic factor expression correlates with the rearrangement of fibers during cochlear development of rats and mice. J. Neurosci. 1999, 19, 3033–3042. [Google Scholar] [CrossRef]
- Davis, R.L. Gradients of neurotrophins, ion channels, and tuning in the cochlea. Neuroscientist 2003, 9, 311–316. [Google Scholar] [CrossRef]
- Richard, C.; Courbon, G.; Laroche, N.; Prades, J.M.; Vico, L.; Malaval, L. Inner ear ossification and mineralization kinetics in human embryonic development-microtomographic and histomorphological study. Sci. Rep. 2017, 7, 4825. [Google Scholar] [CrossRef]
- Sacks, D.; Baxter, B.; Campbell, B.C.V.; Carpenter, J.S.; Cognard, C.; Dippel, D.; Eesa, M.; Fischer, U.; Hausegger, K.; Hirsch, J.A.; et al. Multisociety Consensus Quality Improvement Revised Consensus Statement for Endovascular Therapy of Acute Ischemic Stroke. Int. J. Stroke 2018, 13, 612–632. [Google Scholar] [CrossRef]
- Defourny, J.; Lallemend, F.; Malgrange, B. Structure and development of cochlear afferent innervation in mammals. Am. J. Physiol. Cell Physiol. 2011, 301, C750–C761. [Google Scholar] [CrossRef]
- Delacroix, L.; Malgrange, B. Cochlear afferent innervation development. Hear. Res. 2015, 330, 157–169. [Google Scholar] [CrossRef] [PubMed]
- Sundaresan, S.; Kong, J.H.; Fang, Q.; Salles, F.T.; Wangsawihardja, F.; Ricci, A.J.; Mustapha, M. Thyroid hormone is required for pruning, functioning and long-term maintenance of afferent inner hair cell synapses. Eur. J. Neurosci. 2016, 43, 148–161. [Google Scholar] [CrossRef] [PubMed][Green Version]
- Huang, L.C.; Thorne, P.R.; Housley, G.D.; Montgomery, J.M. Spatiotemporal definition of neurite outgrowth, refinement and retraction in the developing mouse cochlea. Development 2007, 134, 2925–2933. [Google Scholar] [CrossRef] [PubMed]
- Spoendlin, H.; Schrott, A. Quantitative evaluation of the human cochlear nerve. Acta Otolaryngol. Suppl. 1990, 470, 61–69, discussion 69–70. [Google Scholar] [CrossRef]
- Pirvola, U.; Arumäe, U.; Moshnyakov, M.; Palgi, J.; Saarma, M.; Ylikoski, J. Coordinated expression and function of neurotrophins and their receptors in the rat inner ear during target innervation. Hear. Res. 1994, 75, 131–144. [Google Scholar] [CrossRef]
- Minichiello, L.; Casagranda, F.; Tatche, R.S.; Stucky, C.L.; Postigo, A.; Lewin, G.R.; Davies, A.M.; Klein, R. Point mutation in trkB causes loss of NT4-dependent neurons without major effects on diverse BDNF responses. Neuron 1998, 21, 335–345. [Google Scholar] [CrossRef]
- Conover, J.C.; Erickson, J.T.; Katz, D.M.; Bianchi, L.M.; Poueymirou, W.T.; McClain, J.; Pan, L.; Helgren, M.; Ip, N.Y.; Boland, P.; et al. Neuronal deficits, not involving motor neurons, in mice lacking BDNF and/or NT4. Nature 1995, 375, 235–238. [Google Scholar] [CrossRef]
- Schecterson, L.C.; Bothwell, M. Neurotrophin and neurotrophin receptor mRNA expression in developing inner ear. Hear. Res. 1994, 73, 92–100. [Google Scholar] [CrossRef]
- Proenca, C.C.; Song, M.; Lee, F.S. Differential effects of BDNF and neurotrophin 4 (NT4) on endocytic sorting of TrkB receptors. J. Neurochem. 2016, 138, 397–406. [Google Scholar] [CrossRef]
- Johnson Chacko, L.; Lahlou, H.; Steinacher, C.; Assou, S.; Messat, Y.; Dudás, J.; Edge, A.; Crespo, B.; Crosier, M.; Sergi, C.; et al. Transcriptome-Wide Analysis Reveals a Role for Extracellular Matrix and Integrin Receptor Genes in Otic Neurosensory Differentiation from Human iPSCs. Int. J. Mol. Sci. 2021, 22, 10849. [Google Scholar] [CrossRef]
- Johnson Chacko, L.; Pechriggl, E.J.; Fritsch, H.; Rask-Andersen, H.; Blumer, M.J.; Schrott-Fischer, A.; Glueckert, R. Neurosensory Differentiation and Innervation Patterning in the Human Fetal Vestibular End Organs between the Gestational Weeks 8–12. Front. Neuroanat. 2016, 10, 111. [Google Scholar] [CrossRef] [PubMed]
- Ewels, P.A.; Peltzer, A.; Fillinger, S.; Patel, H.; Alneberg, J.; Wilm, A.; Garcia, M.U.; Di Tommaso, P.; Nahnsen, S. The nf-core framework for community-curated bioinformatics pipelines. Nat. Biotechnol. 2020, 38, 276–278. [Google Scholar] [CrossRef] [PubMed]
- Di Tommaso, P.; Chatzou, M.; Floden, E.W.; Barja, P.P.; Palumbo, E.; Notredame, C. Nextflow enables reproducible computational workflows. Nat. Biotechnol. 2017, 35, 316–319. [Google Scholar] [CrossRef] [PubMed]
- Dobin, A.; Davis, C.A.; Schlesinger, F.; Drenkow, J.; Zaleski, C.; Jha, S.; Batut, P.; Chaisson, M.; Gingeras, T.R. STAR: Ultrafast universal RNA-seq aligner. Bioinformatics 2013, 29, 15–21. [Google Scholar] [CrossRef]
- Li, B.; Dewey, C.N. RSEM: Accurate transcript quantification from RNA-Seq data with or without a reference genome. BMC Bioinform. 2011, 12, 323. [Google Scholar] [CrossRef]






| Marker | Gestational Week | ||||||||||
|---|---|---|---|---|---|---|---|---|---|---|---|
| Summary of Johnson et al., 2017 [21] | |||||||||||
| 09 | 10 | 11 | 12 | 13 | 14 | 15 | 16 | 17 | 18 | 19 | |
| BDNF | High concentration in early weeks, decreasing until GW12 SPG: in SGC and Schwann cells SE: intense in GER and LER and surrounding tissue | Restricted to SE and SPG SPG: higher concentration in SGC around SPG and in ItR of SGCs SE: weaker signal, restricted to apical and basal portion of GER, and intense in HC of LER | Increased expression at MT with GW15/16 and at GW17 in AT and decreased until GW18/19 SPG: faded in NF and Schwann cells SE: same pattern as in earlier weeks, at GW16, intensive in HC, supporting cells, DC phalangeal, and PC, decreased until GW18/19 with localization at apical portion of HCs and Kölliker’s organ | ||||||||
| TrkB/TrkC | SPG: TrkB intense in NF lining Schwann cells and SGC, TrkC in cytoplasm and NF of SPG SE: no visible staining | SPG: TrkC in NF of innervated OC and TrkB inside the SPG cytoplasm SE: TrkC in NF which innervate OC and TrkB in GER cells | SPG: local dissociation, TrkC visible around SPG, and TrkB present in SGC and Schwann cells SE: same staining of both Trks as in earlier weeks | ||||||||
| p75NTR | SPG: resides in Schwann cells and SGC SE: weak ItR between GER/LER region | SPG: intense in SG, Schwann cells, and putative fibrocytes around SPG SE: intensive in N; in later stages, also present in supporting cells underneath HC, DC, and PC | |||||||||
| RNAseq: NT-3, NT-4 NGF, (TrkA) | Data not available | TrkA: regarded as not important for cochlear development at this stage NT-3: upregulated at GW15 NT-4: upregulated in earlier (until 12) and later (GW18/19) stages NGF: upregulated around GW15/16 | |||||||||
| Developmental Steps [6,8,12,41,43] | Development/ elongation to coiled structure with apical–middle–basal turn SPG lies adjacent to the GER region Undifferentiated SE | Start of SPG projection to central/FMR and NF innervation to OC Start of HC development | Neurite outgrowth and extension HC innervation Finishing of SPG projection to modiolus/central region | Neurite outgrowth and extension HC innervation | OC development finished HC innervation finished Start of pruning | Neurite refinement and retraction (Pruning) | Onset of hearing | ||||
| BDNF Sense Sequence | ||||
| Query | 1 | GAGGACCAGAAAGTTCGGCCCAATGAAGAAAACAATAAGGACGCAGACTTGTACACGTCC | 60 | |
| |||||||||||||||||||||||||||||||||||||||||||||||||||||||||||| | ||||
| Sbjct | 857 | GAGGACCAGAAAGTTCGGCCCAATGAAGAAAACAATAAGGACGCAGACTTGTACACGTCC | 916 | |
| Query | 61 | AGGGTGATGCTCAGTAGTCAAGTGCCTTTGGAGCCTCCTCTTCTCTTTCTGCTGGAGGAA | 120 | |
| |||||||||||||||||||||||||||||||||||||||||||||||||||||||||||| | ||||
| Sbjct | 917 | AGGGTGATGCTCAGTAGTCAAGTGCCTTTGGAGCCTCCTCTTCTCTTTCTGCTGGAGGAA | 976 | |
| Query | 121 | TACAAAAATTACCTAGATGCTGCAAACATGTCCATGAGGGTCCGGCGCCACTCTGACCCT | 180 | |
| |||||||||||||||||||||||||||||||||||||||||||||||||||||||||||| | ||||
| Sbjct | 977 | TACAAAAATTACCTAGATGCTGCAAACATGTCCATGAGGGTCCGGCGCCACTCTGACCCT | 1036 | |
| Query | 181 | GCCCGCCGAGGGGAGCTGAGCGTGTGTGACAGTATTAGTGAGTGGGTAACGGCGGCAGAC | 240 | |
| |||||||||||||||||||||||||||||||||||||||||||||||||||||||||||| | ||||
| Sbjct | 1037 | GCCCGCCGAGGGGAGCTGAGCGTGTGTGACAGTATTAGTGAGTGGGTAACGGCGGCAGAC | 1096 | |
| Query | 241 | AAAAAGACTGCAGTGGACATGTCGGGCGGGACGGTCACAGTCCTTGAAAAGGTCCCTGTA | 300 | |
| |||||||||||||||||||||||||||||||||||||||||||||||||||||||||||| | ||||
| Sbjct | 1097 | AAAAAGACTGCAGTGGACATGTCGGGCGGGACGGTCACAGTCCTTGAAAAGGTCCCTGTA | 1156 | |
| Query | 301 | TCAAAAGGCCAACTGAAGCAATACTTCTACGAGACCAAGTGCAATCCCATGGGTTACACA | 360 | |
| |||||||||||||||||||||||||||||||||||||||||||||||||||||||||||| | ||||
| Sbjct | 1157 | TCAAAAGGCCAACTGAAGCAATACTTCTACGAGACCAAGTGCAATCCCATGGGTTACACA | 1216 | |
| Query | 361 | AAAGAAGGCTGCAGGGGCATAGACAAAAGGCATTGGAACTCCCAGTGCCGAACTACCCAG | 420 | |
| |||||||||||||||||||||||||||||||||||||||||||||||||||||||||||| | ||||
| Sbjct | 1217 | AAAGAAGGCTGCAGGGGCATAGACAAAAGGCATTGGAACTCCCAGTGCCGAACTACCCAG | 1276 | |
| Query | 421 | TCGTACGTGCGGGCCCTTACCATGGATAGCAAAAAGAGAATTGGCTG | 467 | |
| ||||||||||||||||||||||||||||||||||||||||||||||| | ||||
| Sbjct | 1277 | TCGTACGTGCGGGCCCTTACCATGGATAGCAAAAAGAGAATTGGCTG | 1323 | |
| BDNF Antisense Sequence | ||||
| Query | 1 | CCATGGTAAGGGCCCGCACGTACGACTGGGTAGTTCGGCACTGGGAGTTCCAATGCCTTT | 60 | |
| |||||||||||||||||||||||||||||||||||||||||||||||||||||||||||| | ||||
| Sbjct | 1301 | CCATGGTAAGGGCCCGCACGTACGACTGGGTAGTTCGGCACTGGGAGTTCCAATGCCTTT | 1242 | |
| Query | 61 | TGTCTATGCCCCTGCAGCCTTCTTTTGTGTAACCCATGGGATTGCACTTGGTCTCGTAGA | 120 | |
| |||||||||||||||||||||||||||||||||||||||||||||||||||||||||||| | ||||
| Sbjct | 1241 | TGTCTATGCCCCTGCAGCCTTCTTTTGTGTAACCCATGGGATTGCACTTGGTCTCGTAGA | 1182 | |
| Query | 121 | AGTATTGCTTCAGTTGGCCTTTTGATACAGGGACCTTTTCAAGGACTGTGACCGTCCCGC | 180 | |
| |||||||||||||||||||||||||||||||||||||||||||||||||||||||||||| | ||||
| Sbjct | 1181 | AGTATTGCTTCAGTTGGCCTTTTGATACAGGGACCTTTTCAAGGACTGTGACCGTCCCGC | 1122 | |
| Query | 181 | CCGACATGTCCACTGCAGTCTTTTTGTCTGCCGCCGTTACCCACTCACTAATACTGTCAC | 240 | |
| |||||||||||||||||||||||||||||||||||||||||||||||||||||||||||| | ||||
| Sbjct | 1121 | CCGACATGTCCACTGCAGTCTTTTTGTCTGCCGCCGTTACCCACTCACTAATACTGTCAC | 1062 | |
| Query | 241 | ACACGCTCAGCTCCCCTCGGCGGGCAGGGTCAGAGTGGCGCCGGACCCTCATGGACATGT | 300 | |
| |||||||||||||||||||||||||||||||||||||||||||||||||||||||||||| | ||||
| Sbjct | 1061 | ACACGCTCAGCTCCCCTCGGCGGGCAGGGTCAGAGTGGCGCCGGACCCTCATGGACATGT | 1002 | |
| Query | 301 | TTGCAGCATCTAGGTAATTTTTGTATTCCTCCAGCAGAAAGAGAAGAGGAGGCTCCAAAG | 360 | |
| |||||||||||||||||||||||||||||||||||||||||||||||||||||||||||| | ||||
| Sbjct | 1001 | TTGCAGCATCTAGGTAATTTTTGTATTCCTCCAGCAGAAAGAGAAGAGGAGGCTCCAAAG | 942 | |
| Query | 361 | GCACTTGACTACTGAGCATCACCCTGGACGTGTACAAGTCTGCGTCCTTATTGTTTTCTT | 420 | |
| |||||||||||||||||||||||||||||||||||||||||||||||||||||||||||| | ||||
| Sbjct | 941 | GCACTTGACTACTGAGCATCACCCTGGACGTGTACAAGTCTGCGTCCTTATTGTTTTCTT | 882 | |
| Query | 421 | CATTGGGCCGAACTTTCTGGTCCTCATCCAACAGCTCTTCTATCATGTGTTCGAA | 475 | |
| ||||||||||||||||||||||||||||||||||||||||||||| ||||||||| | ||||
| Sbjct | 881 | CATTGGGCCGAACTTTCTGGTCCTCATCCAACAGCTCTTCTATCACGTGTTCGAA | 827 | |
Disclaimer/Publisher’s Note: The statements, opinions and data contained in all publications are solely those of the individual author(s) and contributor(s) and not of MDPI and/or the editor(s). MDPI and/or the editor(s) disclaim responsibility for any injury to people or property resulting from any ideas, methods, instructions or products referred to in the content. |
© 2024 by the authors. Licensee MDPI, Basel, Switzerland. This article is an open access article distributed under the terms and conditions of the Creative Commons Attribution (CC BY) license (https://creativecommons.org/licenses/by/4.0/).
Share and Cite
Steinacher, C.; Nishio, S.-y.; Usami, S.-i.; Dudas, J.; Rieder, D.; Rask-Andersen, H.; Crespo, B.; Moreno, N.; Konschake, M.; Seifarth, C.; et al. Expression of Neurotrophins and Its Receptors During Fetal Development in the Human Cochlea. Int. J. Mol. Sci. 2024, 25, 13007. https://doi.org/10.3390/ijms252313007
Steinacher C, Nishio S-y, Usami S-i, Dudas J, Rieder D, Rask-Andersen H, Crespo B, Moreno N, Konschake M, Seifarth C, et al. Expression of Neurotrophins and Its Receptors During Fetal Development in the Human Cochlea. International Journal of Molecular Sciences. 2024; 25(23):13007. https://doi.org/10.3390/ijms252313007
Chicago/Turabian StyleSteinacher, Claudia, Shin-ya Nishio, Shin-ichi Usami, Jozsef Dudas, Dietmar Rieder, Helge Rask-Andersen, Berta Crespo, Nadjeda Moreno, Marko Konschake, Christof Seifarth, and et al. 2024. "Expression of Neurotrophins and Its Receptors During Fetal Development in the Human Cochlea" International Journal of Molecular Sciences 25, no. 23: 13007. https://doi.org/10.3390/ijms252313007
APA StyleSteinacher, C., Nishio, S.-y., Usami, S.-i., Dudas, J., Rieder, D., Rask-Andersen, H., Crespo, B., Moreno, N., Konschake, M., Seifarth, C., & Glueckert, R. (2024). Expression of Neurotrophins and Its Receptors During Fetal Development in the Human Cochlea. International Journal of Molecular Sciences, 25(23), 13007. https://doi.org/10.3390/ijms252313007

