Pigment Diversity in Leaves of Caladium × hortulanum Birdsey and Transcriptomic and Metabolic Comparisons between Red and White Leaves
Abstract
1. Introduction
2. Results
2.1. Diversity Analysis of Chlorophyll and Anthocyanin of Cultivated Caladium Germplasms
2.2. Association Analysis of EST-SSR with Chlorophyll and Anthocyanin Content
2.3. Anthocyanin Metabolomics Analysis of ‘Lieyanxiongxin’ and Its White Leaf Mutant
2.4. Transcriptome Analysis of ‘Lieyanxiongxin’ and Its White Leaf Mutant
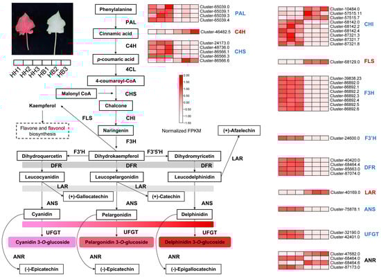
2.5. Analysis of Anthocyanin Biosynthesis Pathway and Identification of Transcription Factors
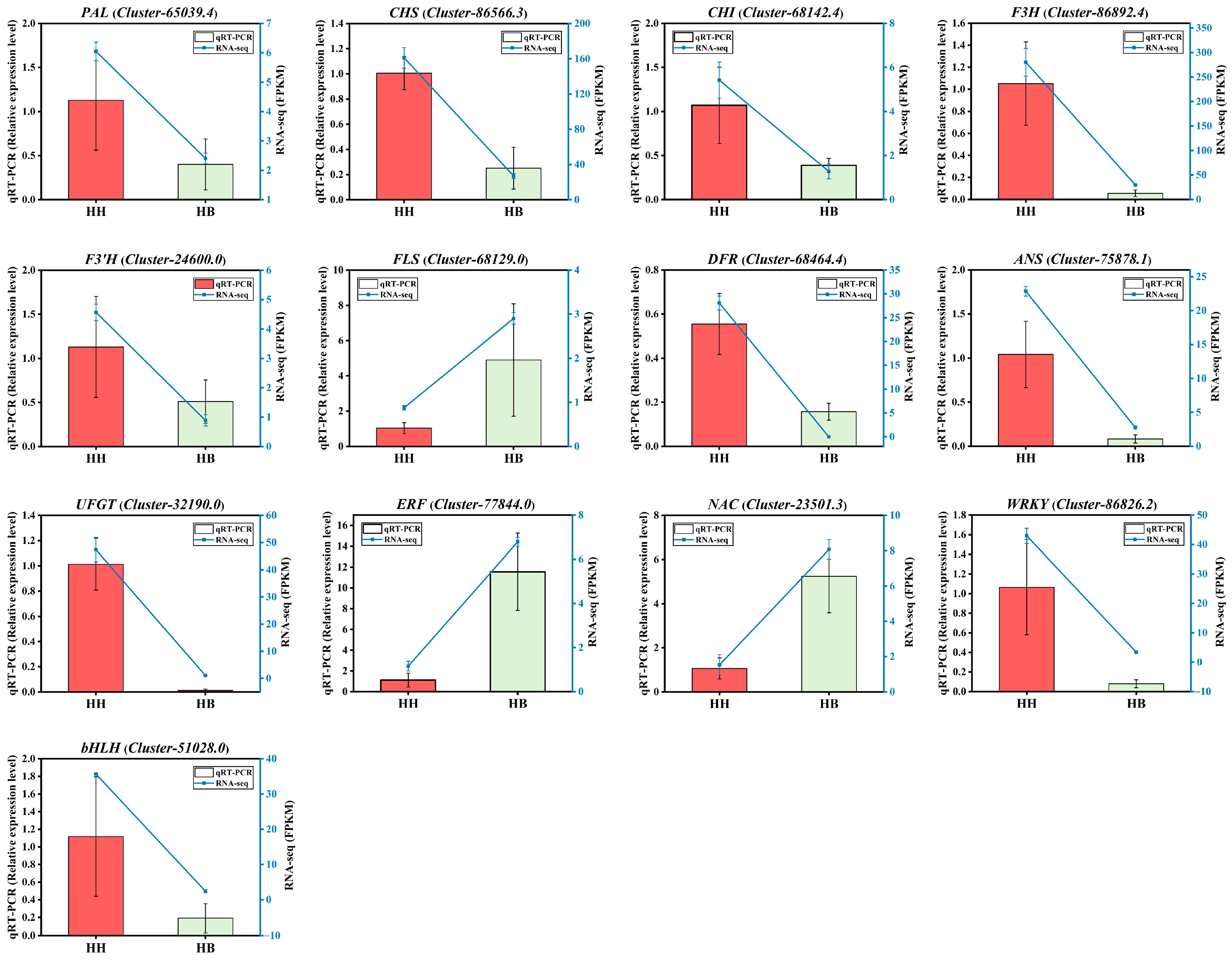
2.6. Quantitative Real-Time PCR (qRT-PCR) Analysis
3. Discussion
4. Materials and Methods
4.1. Plant Materials
4.2. Chlorophyll Measurement
4.3. Total Anthocyanin Measurement
4.4. Anthocyanin Metabolomics Analysis
4.5. Transcriptome Analysis
4.5.1. RNA Extraction, Quantification and Qualification
4.5.2. Transcriptome Sequencing
4.5.3. Assembly and Gene Annotation
4.6. qRT-PCR Analysis
4.7. Statistical Analysis
5. Conclusions
Supplementary Materials
Author Contributions
Funding
Institutional Review Board Statement
Informed Consent Statement
Data Availability Statement
Conflicts of Interest
References
- Zhao, M.-H.; Li, X.; Zhang, X.-X.; Zhang, H.; Zhao, X.-Y. Mutation Mechanism of Leaf Color in Plants: A Review. Forests 2020, 11, 851. [Google Scholar] [CrossRef]
- Tanaka, A.; Tanaka, R. Chlorophyll metabolism. Curr. Opin. Plant Biol. 2006, 9, 248–255. [Google Scholar] [CrossRef] [PubMed]
- Tanaka, Y.; Brugliera, F. Flower colour and cytochromes P450. Philos. Trans. R. Soc. B Biol. Sci. 2013, 368, 20120432. [Google Scholar] [CrossRef] [PubMed]
- Xie, Y.; Pei, N.; Hao, Z.; Shi, Z.; Chen, L.; Mai, B.; Liu, Q.; Luo, J.; Luo, M.; Sun, B. Juvenile Leaf Color Changes and Physiological Characteristics of Acer tutcheri (Aceraceae) during the Spring Season. Forests 2023, 14, 328. [Google Scholar] [CrossRef]
- Tang, Y.; Fang, Z.; Liu, M.; Zhao, D.; Tao, J. Color characteristics, pigment accumulation and biosynthetic analyses of leaf color variation in herbaceous peony (Paeonia lactiflora Pall.). 3 Biotech 2020, 10, 76. [Google Scholar] [CrossRef] [PubMed]
- Jin, S.; Rahim, M.A.; Afrin, K.S.; Park, J.; Kang, J.; Nou, I. Transcriptome profiling of two contrasting ornamental cabbage (Brassica oleracea var. acephala) lines provides insights into purple and white inner leaf pigmentation. BMC Genom. 2018, 19, 797. [Google Scholar] [CrossRef] [PubMed]
- Wang, L.; Wang, Q.; Fu, N.; Song, M.; Han, X.; Yang, Q.; Zhang, Y.; Tong, Z.; Zhang, J. Cyanidin-3-O-glucoside Contributes to Leaf Color Change by Regulating Two bHLH Transcription Factors in Phoebe bournei. Int. J. Mol. Sci. 2023, 24, 3829. [Google Scholar] [CrossRef]
- Cao, Z.; Sui, S.; Yang, Q.; Deng, Z. A single gene controls leaf background color in caladium (Araceae) and is tightly linked to genes for leaf main vein color, spotting and rugosity. Hortic. Res. 2017, 4, 16067. [Google Scholar] [CrossRef][Green Version]
- Hertogh, A.D.; Nard, M.L. The Physiology of Flower Bulbs; Elsevier: Amsterdam, The Netherlands, 1993. [Google Scholar]
- Cao, Z.; Sui, S.; Yang, Q.; Deng, Z. Inheritance of Rugose Leaf in Caladium and Genetic Relationships with Leaf Shape, Main Vein Color, and Leaf Spotting. J. Am. Soc. Hortic. Sci. 2016, 141, 527–534. [Google Scholar] [CrossRef]
- Deng, Z.; Harbaugh, B.K. Leaf Blotching in Caladium (Araceae) Is Under Simple Genetic Control and Tightly Linked to Vein Color. Hortscience 2009, 44, 40–43. [Google Scholar] [CrossRef]
- Deng, Z.; Goktepe, F.; Harbaugh, B.K. Inheritance of leaf spots and their genetic relationships with leaf shape and vein color in Caladium. J. Am. Soc. Hortic. Sci. 2008, 133, 78–83. [Google Scholar] [CrossRef]
- Liu, J.; Wu, Z.; Song, Z.; Deng, Z.; Zhong, R. Characteristics Separation of F1 Offspring from Caladium Cal.11 × Cal.22. Chinese J. Trop. Crop. 2017, 38, 792–796. (In Chinese) [Google Scholar]
- Zhou, Y.; Ye, Y.; Zhu, G.; Xu, Y.; Tan, J.; Liu, J. Diversity, classification, and EST-SSR-based association analysis of caladium ornamental traits. Physiol. Plant. 2023, 175, e13841. [Google Scholar] [CrossRef] [PubMed]
- Chen, J.-J.; Zhang, Y.-S.; Duan, J.-X.; Cao, Y.-M.; Cai, X.-D. Morphological, cytological, and pigment analysis of leaf color variants regenerated from long-term subcultured caladium callus. Vitr. Cell. Dev. Biol.-Plant 2021, 57, 60–71. [Google Scholar] [CrossRef]
- Deng, Z.; Goktepe, F.; Harbaugh, B.K.; Hu, J. Assessment of genetic diversity and relationships among caladium cultivars and species using molecular markers. J. Am. Soc. Hortic. Sci. 2007, 132, 219–229. [Google Scholar] [CrossRef]
- Cao, Z.; Deng, Z.; Mclaughlin, M. Interspecific Genome Size and Chromosome Number Variation Shed New Light on Species Classification and Evolution in Caladium. J. Am. Soc. Hortic. Sci. 2014, 139, 449–459. [Google Scholar] [CrossRef]
- Cai, X.; Cao, Z.; Xu, S.; Deng, Z. Induction, regeneration and characterization of tetraploids and variants in ‘Tapestry’ caladium. Plant Cell Tissue Organ Cult. 2015, 120, 689–700. [Google Scholar] [CrossRef]
- Cao, Z.; Deng, Z. Morphological, cytological and molecular marker analyses of ‘Tapestry’ caladium variants reveal diverse genetic changes and enable association of leaf coloration pattern loci with molecular markers. Plant Cell Tissue Organ Cult. 2020, 143, 363–375. [Google Scholar] [CrossRef]
- Zhou, Y.; Yin, M.; Abbas, F.; Sun, Y.; Gao, T.; Yan, F.; Li, X.; Yu, Y.; Yue, Y.; Yu, R.; et al. Classification and Association Analysis of Gerbera (Gerbera hybrida) Flower Color Traits. Front. Plant Sci. 2022, 12, 779288. [Google Scholar] [CrossRef]
- Lu, C.; Li, Y.; Wang, J.; Qu, J.; Chen, Y.; Chen, X.; Huang, H.; Dai, S. Flower color classification and correlation between color space values with pigments in potted multiflora chrysanthemum. Sci. Hortic.-Amst. 2021, 283, 110082. [Google Scholar] [CrossRef]
- Sun, Y.; Hu, P.; Jiang, Y.; Li, J.; Chang, J.; Zhang, H.; Shao, H.; Zhou, Y. Integrated Metabolome and Transcriptome Analysis of Petal Anthocyanin Accumulation Mechanism in Gloriosa superba ‘Rothschildiana’ during Different Flower Development Stages. Int. J. Mol. Sci. 2023, 24, 15034. [Google Scholar] [CrossRef] [PubMed]
- Chen, Y.; Niu, S.; Deng, X.; Song, Q.; He, L.; Bai, D.; He, Y. Genome-wide association study of leaf-related traits in tea plant in Guizhou based on genotyping-by-sequencing. BMC Plant Biol. 2023, 23, 196. [Google Scholar] [CrossRef]
- Zou, K.; Kim, K.; Kang, D.; Kim, M.; Ha, J.; Moon, J.; Jun, T. Genome-Wide Association Study of Leaf Chlorophyll Content Using High-Density SNP Array in Peanuts (Arachis hypogaea L.). Agronomy 2022, 12, 152. [Google Scholar] [CrossRef]
- Schulz, D.F.; Schott, R.T.; Voorrips, R.E.; Smulders, M.J.M.; Linde, M.; Debener, T. Genome-Wide Association Analysis of the Anthocyanin and Carotenoid Contents of Rose Petals. Front. Plant Sci. 2016, 7, 1798. [Google Scholar] [CrossRef] [PubMed]
- Wang, W.; Zhao, M.; Zhang, G.; Liu, Z.; Hua, Y.; Jia, X.; Song, J.; Ma, D.; Sun, J. Weedy Rice as a Novel Gene Resource: A Genome-Wide Association Study of Anthocyanin Biosynthesis and an Evaluation of Nutritional Quality. Front. Plant Sci. 2020, 11, 878. [Google Scholar] [CrossRef] [PubMed]
- Zheng, J.; Wu, H.; Zhu, H.; Huang, C.; Liu, C.; Chang, Y.; Kong, Z.; Zhou, Z.; Wang, G.; Lin, Y.; et al. Determining factors, regulation system, and domestication of anthocyanin biosynthesis in rice leaves. New Phytol. 2019, 223, 705–721. [Google Scholar] [CrossRef] [PubMed]
- Shin, D.; Lee, S.; Kim, T.; Lee, J.; Park, J.; Lee, J.; Lee, J.Y.; Cho, L.; Choi, J.Y.; Lee, W.; et al. Natural variations at the Stay-Green gene promoter control lifespan and yield in rice cultivars. Nat. Commun. 2020, 11, 2819. [Google Scholar] [CrossRef]
- Lim, S.E.; Sa, K.J.; Lee, J.K. Bulk segregant analysis identifies SSR markers associated with leaf- and seed-related traits in Perilla crop (Perilla frutescens L.). Genes Genom. 2021, 43, 323–332. [Google Scholar] [CrossRef]
- Chen, M. Chlorophyll Modifications and Their Spectral Extension in Oxygenic Photosynthesis. Annu. Rev. Biochem. 2014, 83, 317–340. [Google Scholar] [CrossRef]
- Sun, X.; Du, Z.; Ren, J.; Amombo, E.; Hu, T.; Fu, J. Association of SSR markers with functional traits from heat stress in diverse tall fescue accessions. BMC Plant Biol. 2015, 15, 116. [Google Scholar] [CrossRef]
- Nakamura, N.; Fukuchi-Mizutani, M.; Miyazaki, K.; Suzuki, K.; Tanaka, Y. RNAi suppression of the anthocyanidin synthase gene in Torenia hybrida yields white flowers with higher frequency and better stability than antisense and sense suppression. Plant Biotechnol. 2006, 23, 13–17. [Google Scholar] [CrossRef]
- Wang, C.K.; Chen, P.Y.; Wang, H.M.; To, K.Y. Cosuppression of Tobacco Chalcone Synthase Using Petunia Chalcone Synthase Constructs Results in White Flowers. Bot. Stud. 2006, 47, 71–82. [Google Scholar]
- Nakatsuka, T.; Mishiba, K.; Abe, Y.; Kubota, A.; Kakizaki, Y.; Yamamura, S.; Nishihara, M. Flower color modification of gentian plants by RNAi-mediated gene silencing. Plant Biotechnol. 2008, 25, 61–68. [Google Scholar] [CrossRef]
- Ohno, S.; Hosokawa, M.; Kojima, M.; Kitamura, Y.; Hoshino, A.; Tatsuzawa, F.; Doi, M.; Yazawa, S. Simultaneous post-transcriptional gene silencing of two different chalcone synthase genes resulting in pure white flowers in the octoploid dahlia. Planta 2011, 234, 945–958. [Google Scholar] [CrossRef] [PubMed]
- Deng, J.; Su, M.; Zhang, X.; Liu, X.; Damaris, R.N.; Lv, S.; Yang, P. Proteomic and metabolomic analyses showing the differentially accumulation of NnUFGT2 is involved in the petal red-white bicolor pigmentation in lotus (Nelumbo nucifera). Plant Physiol. Biochem. 2023, 198, 107675. [Google Scholar] [CrossRef] [PubMed]
- Chen, L.; Hu, B.; Qin, Y.; Hu, G.; Zhao, J. Advance of the negative regulation of anthocyanin biosynthesis by MYB transcription factors. Plant Physiol. Biochem. 2019, 136, 178–187. [Google Scholar] [CrossRef] [PubMed]
- Yan, H.; Pei, X.; Zhang, H.; Li, X.; Zhang, X.; Zhao, M.; Chiang, V.L.; Sederoff, R.R.; Zhao, X. MYB-Mediated Regulation of Anthocyanin Biosynthesis. Int. J. Mol. Sci. 2021, 22, 3103. [Google Scholar] [CrossRef]
- Wang, J.; Gu, X.; Dong, Y.; Wang, T.; Sun, Q.; Fu, S.; Yang, Y.; Huang, J.; Liang, C.; Xie, X.; et al. Advances in the endogenous and exogenous regulation of anthocyanins-the key to color change in eudicots. Crit. Rev. Plant Sci. 2023, 42, 217–238. [Google Scholar] [CrossRef]
- LaFountain, A.M.; Yuan, Y.W. Repressors of anthocyanin biosynthesis. New Phytol. 2021, 231, 933–949. [Google Scholar] [CrossRef]
- Zhao, G.; Xiang, F.; Zhang, S.; Song, J.; Li, X.; Song, L.; Zhai, R.; Yang, C.; Wang, Z.; Ma, F.; et al. PbLAC4-like, activated by PbMYB26, related to the degradation of anthocyanin during color fading in pear. BMC Plant Biol. 2021, 21, 469. [Google Scholar] [CrossRef]
- Zuo, X.; Miao, C.; Li, M.; Gu, L.; Yang, X.; Song, C.; Li, M.; Du, J.; Xie, C.; Liu, X.; et al. Purple Rehmannia: Investigation of the activation of R2R3-MYB transcription factors involved in anthocyanin biosynthesis. Physiol. Plant. 2023, 175, e13920. [Google Scholar] [CrossRef] [PubMed]
- Ma, B.; Wu, J.; Shi, T.; Yang, Y.; Wang, W.; Zheng, Y.; Su, S.; Yao, Y.; Xue, W.; Porth, I.; et al. Lilac (Syringa oblata) genome provides insights into its evolution and molecular mechanism of petal color change. Commun. Biol. 2022, 5, 686. [Google Scholar] [CrossRef] [PubMed]
- Xie, Y.; Liu, Y.; Ma, M.; Zhou, Q.; Zhao, Y.; Zhao, B.; Wang, B.; Wei, H.; Wang, H. Arabidopsis FHY3 and FAR1 integrate light and strigolactone signaling to regulate branching. Nat. Commun. 2020, 11, 1955. [Google Scholar] [CrossRef] [PubMed]
- Arnon, D.I. Copper Enzymes in Isolated Chloroplasts. Polyphenoloxidase in Beta vulgaris. Plant Physiol. 1949, 24, PMC437905. [Google Scholar] [CrossRef] [PubMed]
- Grabherr, M.G.; Haas, B.J.; Yassour, M.; Levin, J.Z.; Thompson, D.A.; Amit, I.; Adiconis, X.; Fan, L.; Raychowdhury, R.; Zeng, Q.; et al. Trinity: Reconstructing a full-length transcriptome without a genome from RNA-Seq data. Nat. Biotechnol. 2011, 29, 644–652. [Google Scholar] [CrossRef] [PubMed]
- Love, M.I.; Huber, W.; Anders, S. Moderated estimation of fold change and dispersion for RNA-seq data with DESeq2. Genome Biol. 2014, 15, 550. [Google Scholar] [CrossRef] [PubMed]
- Zheng, Y.; Jiao, C.; Sun, H.; Rosli, H.G.; Pombo, M.A.; Zhang, P.; Banf, M.; Dai, X.; Martin, G.B.; Giovannoni, J.J.; et al. iTAK: A Program for Genome-wide Prediction and Classification of Plant Transcription Factors, Transcriptional Regulators, and Protein Kinases. Mol. Plant 2016, 9, 1667–1670. [Google Scholar] [CrossRef]
- Livak, K.J.; Schmittgen, T.D. Analysis of relative gene expression data using real-time quantitative PCR and the 2(-Delta Delta C(T)) Method. Methods 2001, 25, 402–408. [Google Scholar] [CrossRef]
- R Core Team R: A Language and Environment for Statistical Computing; R Foundation for Statistical Computing: Vienna, Austria, 2023; Available online: https://www.R-project.org/ (accessed on 6 May 2023).
- Oksanen, J.; Simpson, G.; Blanchet, F.; Kindt, R.; Legendre, P.; Minchin, P.R.; O’Hara, R.B.; Solymos, P.; Stevens, M.H.H.; Szoecs, E.; et al. Vegan: Community Ecology Package. R Package Version 2.6-4. 2022. Available online: https://CRAN.R-project.org/package=vegan (accessed on 10 May 2023).
- Wei, T.; Simko, V. R Package ‘Corrplot’: Visualization of a Correlation Matrix (Version 0.92). 2021. Available online: https://github.com/taiyun/corrplot (accessed on 15 May 2023).
- Bradbury, P.J.; Zhang, Z.; Kroon, D.E.; Casstevens, T.M.; Ramdoss, Y.; Buckler, E.S. TASSEL: Software for association mapping of complex traits in diverse samples. Bioinformatics 2007, 23, 2633–2635. [Google Scholar] [CrossRef]
- Thevenot, E.A.; Roux, A.; Xu, Y.; Ezan, E.; Junot, C. Analysis of the human adult urinary metabolome variations with age, body mass index and gender by implementing a comprehensive workflow for univariate and OPLS statistical analyses. J. Proteome Res. 2015, 14, 3322–3335. [Google Scholar] [CrossRef]
- Lê Cao, K.; González, I.; Dejean, S. integrOmics: An R package to unravel relationships between two omics data sets. Brief. Bioinform. 2009, 25, 2855–2856. [Google Scholar] [CrossRef]









Disclaimer/Publisher’s Note: The statements, opinions and data contained in all publications are solely those of the individual author(s) and contributor(s) and not of MDPI and/or the editor(s). MDPI and/or the editor(s) disclaim responsibility for any injury to people or property resulting from any ideas, methods, instructions or products referred to in the content. |
© 2024 by the authors. Licensee MDPI, Basel, Switzerland. This article is an open access article distributed under the terms and conditions of the Creative Commons Attribution (CC BY) license (https://creativecommons.org/licenses/by/4.0/).
Share and Cite
Zhou, Y.; Xu, Y.; Zhu, G.-F.; Tan, J.; Lin, J.; Huang, L.; Ye, Y.; Liu, J. Pigment Diversity in Leaves of Caladium × hortulanum Birdsey and Transcriptomic and Metabolic Comparisons between Red and White Leaves. Int. J. Mol. Sci. 2024, 25, 605. https://doi.org/10.3390/ijms25010605
Zhou Y, Xu Y, Zhu G-F, Tan J, Lin J, Huang L, Ye Y, Liu J. Pigment Diversity in Leaves of Caladium × hortulanum Birdsey and Transcriptomic and Metabolic Comparisons between Red and White Leaves. International Journal of Molecular Sciences. 2024; 25(1):605. https://doi.org/10.3390/ijms25010605
Chicago/Turabian StyleZhou, Yiwei, Yechun Xu, Gen-Fa Zhu, Jianjun Tan, Jingyi Lin, Lishan Huang, Yuanjun Ye, and Jinmei Liu. 2024. "Pigment Diversity in Leaves of Caladium × hortulanum Birdsey and Transcriptomic and Metabolic Comparisons between Red and White Leaves" International Journal of Molecular Sciences 25, no. 1: 605. https://doi.org/10.3390/ijms25010605
APA StyleZhou, Y., Xu, Y., Zhu, G.-F., Tan, J., Lin, J., Huang, L., Ye, Y., & Liu, J. (2024). Pigment Diversity in Leaves of Caladium × hortulanum Birdsey and Transcriptomic and Metabolic Comparisons between Red and White Leaves. International Journal of Molecular Sciences, 25(1), 605. https://doi.org/10.3390/ijms25010605

