Dynamics of the Ligand Excited States Relaxation in Novel β-Diketonates of Non-Luminescent Trivalent Metal Ions
Abstract
1. Introduction
2. Results
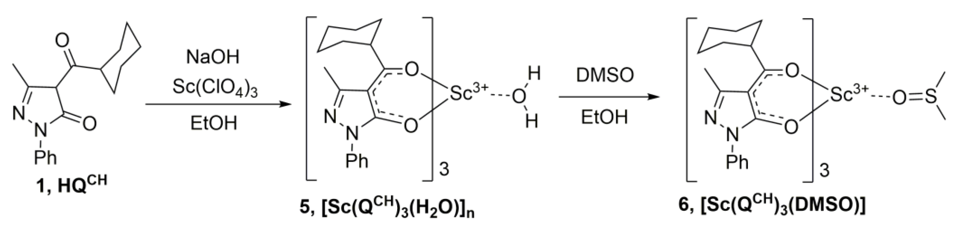
2.1. Synthesis of Complexes
2.2. Single-Crystal X-ray Structures
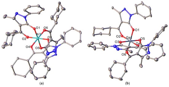
2.2.1. Complexes with p-Metals
2.2.2. Complexes with Rare Earth Elements
2.3. Spectroscopic Studies
3. Discussion
4. Materials and Methods
5. Conclusions
Supplementary Materials
Author Contributions
Funding
Institutional Review Board Statement
Informed Consent Statement
Data Availability Statement
Conflicts of Interest
References
- Kido, J.; Kimura, M.; Nagai, K. Multilayer White Light-Emitting Organic Electroluminescent Device. Science 1995, 267, 1332–1334. [Google Scholar] [CrossRef] [PubMed]
- D’Andrade, B.W.; Thompson, M.E.; Forrest, S.R. Controlling Exciton Diffusion in Multilayer White Phosphorescent Organic Light Emitting Devices. Adv. Mater. 2002, 14, 147–151. [Google Scholar] [CrossRef]
- Zhou, N.; Wang, S.; Xiao, Y.; Li, X. Double light-emitting layer implementing three-color emission: Using DCJTB lightly doping in Alq3 as red-green emitting layer and APEAn1N as blue-green emitting layer. J. Lumin. 2018, 196, 40–49. [Google Scholar] [CrossRef]
- Miao, Y.; Du, X.; Wang, H.; Liu, H.; Jia, H.; Xu, B.; Hao, Y.; Liu, X.; Li, W.; Huang, W. Simplified phosphorescent organic light-emitting devices using heavy doping with an Ir complex as an emitter. RSC Adv. 2015, 5, 4261–4265. [Google Scholar] [CrossRef]
- Taidakov, I.; Ambrozevich, S.; Saifutyarov, R.; Lyssenko, K.; Avetisov, R.; Mozhevitina, E.; Khomyakov, A.; Khrizanforov, M.; Budnikova, Y.; Avetissov, I. New Pt(II) complex with extra pure green emission for OLED application: Synthesis, crystal structure and spectral properties. J. Organomet. Chem. 2018, 867, 253–260. [Google Scholar] [CrossRef]
- Li, G.; Congrave, D.G.; Zhu, D.; Su, Z.; Bryce, M.R. Recent advances in luminescent dinuclear iridium (III) complexes and their application in organic electroluminescent devices. Polyhedron 2018, 140, 146–157. [Google Scholar] [CrossRef]
- Hackney, H.E.; Perepichka, D.F. Recent advances in room temperature phosphorescence of crystalline boron containing organic compounds: Nanoscience: Special Issue Dedicated to Professor Paul S. Weiss. Aggregate 2022, 3, e123. [Google Scholar] [CrossRef]
- Gierschner, J.; Shi, J.; Milián-Medina, B.; Roca-Sanjuán, D.; Varghese, S.; Park, S. Luminescence in Crystalline Organic Materials: From Molecules to Molecular Solids. Adv. Opt. Mater. 2021, 9, 2002251. [Google Scholar] [CrossRef]
- Ma, K.; Chen, W.; Jiao, T.; Jin, X.; Sang, Y.; Yang, D.; Zhou, J.; Liu, M.; Duan, P. Boosting the circularly polarized luminescence of small organic molecules via multi-dimensional morphology control. Chem. Sci. 2019, 10, 6821–6827. [Google Scholar] [CrossRef]
- Metlin, M.T.; Goryachii, D.O.; Aminev, D.F.; Datskevich, N.P.; Korshunov, V.M.; Metlina, D.A.; Pavlov, A.A.; Mikhalchenko, L.V.; Kiskin, M.A.; Garaeva, V.V.; et al. Bright Yb3+ complexes for efficient pure near-infrared OLEDs. Dye. Pigment. 2021, 195, 109701. [Google Scholar] [CrossRef]
- Korshunov, V.M.; Ambrozevich, S.A.; Taydakov, I.V.; Vashchenko, A.A.; Goriachiy, D.O.; Selyukov, A.S.; Dmitrienko, A.O. Novel β-diketonate complexes of Eu3+ bearing pyrazole moiety for bright photo- and electroluminescence. Dye. Pigment. 2019, 163, 291–299. [Google Scholar] [CrossRef]
- Wu, K.; Zhang, T.; Wang, Z.; Wang, L.; Zhan, L.; Gong, S.; Zhong, C.; Lu, Z.-H.; Zhang, S.; Yang, C. De Novo Design of Excited-State Intramolecular Proton Transfer Emitters via a Thermally Activated Delayed Fluorescence Channel. J. Am. Chem. Soc. 2018, 140, 8877–8886. [Google Scholar] [CrossRef]
- Vitukhnovsky, A.G.; Ambrozevich, S.A.; Korshunov, V.M.; Taydakov, I.V.; Metlin, M.T.; Selyukov, A.S. Effect of Bonding Scandium (III) ion to 1,3-Diketones on Their Luminescent Properties. J. Russ. Laser Res. 2018, 39, 165–169. [Google Scholar] [CrossRef]
- Verma, P.K.; Steinbacher, A.; Koch, F.; Nuernberger, P.; Brixner, T. Monitoring ultrafast intramolecular proton transfer processes in an unsymmetric β-diketone. Phys. Chem. Chem. Phys. 2015, 17, 8459–8466. [Google Scholar] [CrossRef] [PubMed]
- Vitukhnovsky, A.G.; Ambrozevich, S.A.; Korshunov, V.M.; Taydakov, I.V.; Lyssenko, K.A.; Metlin, M.T.; Selyukov, A.S. Luminescent properties of complexes based on scandium (III) β-diketonates. J. Lumin. 2018, 201, 509–519. [Google Scholar] [CrossRef]
- Thejokalyani, N.; Dhoble, S.J. Novel approaches for energy efficient solid state lighting by RGB organic light emitting diodes—A review. Renew. Sustain. Energy Rev. 2014, 32, 448–467. [Google Scholar] [CrossRef]
- Zinna, F.; Pasini, M.; Galeotti, F.; Botta, C.; Di Bari, L.; Giovanella, U. Design of Lanthanide-Based OLEDs with Remarkable Circularly Polarized Electroluminescence. Adv. Funct. Mater. 2017, 27, 1603719. [Google Scholar] [CrossRef]
- Bochkov, M.A.; Vitukhnovsky, A.G.; Taidakov, I.V.; Vashchenko, A.A.; Katsaba, A.V.; Ambrozevich, S.A.; Brunkov, P.N. Optimization of carrier mobility in luminescence layers based on europium β-diketonates in hybrid light-emitting structures. Semiconductors 2014, 48, 369–372. [Google Scholar] [CrossRef]
- Nehra, K.; Dalal, A.; Hooda, A.; Bhagwan, S.; Saini, R.K.; Mari, B.; Kumar, S.; Singh, D. Lanthanides β-diketonate complexes as energy-efficient emissive materials: A review. J. Mol. Struct. 2022, 1249, 131531. [Google Scholar] [CrossRef]
- Binnemans, K. Lanthanide-Based Luminescent Hybrid Materials. Chem. Rev. 2009, 109, 4283–4374. [Google Scholar] [CrossRef]
- Ho, C.-L.; Wong, W.-Y. Metal-containing polymers: Facile tuning of photophysical traits and emerging applications in organic electronics and photonics. Coord. Chem. Rev. 2011, 255, 2469–2502. [Google Scholar] [CrossRef]
- Carlotto, S.; Babetto, L.; Bortolus, M.; Carlotto, A.; Rancan, M.; Bottaro, G.; Armelao, L.; Carbonera, D.; Casarin, M. Nature of the Ligand-Centered Triplet State in Gd3+ β-Diketonate Complexes as Revealed by Time-Resolved EPR Spectroscopy and DFT Calculations. Inorg. Chem. 2021, 60, 15141–15150. [Google Scholar] [CrossRef] [PubMed]
- Kitagawa, Y.; Tsurui, M.; Hasegawa, Y. Bright red emission with high color purity from Eu (III) complexes with π-conjugated polycyclic aromatic ligands and their sensing applications. RSC Adv. 2022, 12, 810–821. [Google Scholar] [CrossRef] [PubMed]
- Korshunov, V.M.; Tsorieva, A.V.; Gontcharenko, V.E.; Zanizdra, S.R.; Metlin, M.T.; Polikovskiy, T.A.; Taydakov, I.V. Photophysical Properties of Eu3+ β-Diketonates with Extended π-Conjugation in the Aromatic Moiety. Inorganics 2022, 11, 15. [Google Scholar] [CrossRef]
- Balzani, V.; Ceroni, P.; Juris, A. Photochemistry and Photophysics: Concepts, Research, Applications; Wiley-VCH: Weinheim, Germany, 2014; ISBN 978-3-527-33479-7. [Google Scholar]
- Marchetti, F.; Pettinari, C.; Pettinari, R. Acylpyrazolone ligands: Synthesis, structures, metal coordination chemistry and applications. Coord. Chem. Rev. 2005, 249, 2909–2945. [Google Scholar] [CrossRef]
- Belousov, Y.A.; Drozdov, A.A. Lanthanide acylpyrazolonates: Synthesis, properties and structural features. Russ. Chem. Rev. 2012, 81, 1159–1169. [Google Scholar] [CrossRef]
- Marchetti, F.; Pettinari, R.; Pettinari, C. Recent advances in acylpyrazolone metal complexes and their potential applications. Coord. Chem. Rev. 2015, 303, 1–31. [Google Scholar] [CrossRef]
- Taydakov, I.V.; Belousov, Y.A.; Lyssenko, K.A.; Varaksina, E.; Drozdov, A.A.; Marchetti, F.; Pettinari, R.; Pettinari, C. Synthesis, phosphorescence and luminescence properties of novel europium and gadolinium tris-acylpyrazolonate complexes. Inorganica. Chim. Acta 2020, 502, 119279. [Google Scholar] [CrossRef]
- Zhang, D.; Shi, M.; Liu, Z.; Li, F.; Yi, T.; Huang, C. Luminescence Modulation of a Terbium Complex with Anions and Its Application as a Reagent. Eur. J. Inorg. Chem. 2006, 2006, 2277–2284. [Google Scholar] [CrossRef]
- Xin, H.; Shi, M.; Gao, X.C.; Huang, Y.Y.; Gong, Z.L.; Nie, D.B.; Cao, H.; Bian, Z.Q.; Li, F.Y.; Huang, C.H. The Effect of Different Neutral Ligands on Photoluminescence and Electroluminescence Properties of Ternary Terbium Complexes. J. Phys. Chem. B 2004, 108, 10796–10800. [Google Scholar] [CrossRef]
- Shen, L.; Shi, M.; Li, F.; Zhang, D.; Li, X.; Shi, E.; Yi, T.; Du, Y.; Huang, C. Polyaryl Ether Dendrimer with a 4-Phenylacetyl-5-pyrazolone-based Terbium (III) Complex as Core: Synthesis and Photopysical Properties. Inorg. Chem. 2006, 45, 6188–6197. [Google Scholar] [CrossRef]
- Liu, J.; Shi, Q.; He, Y.; Fu, G.; Li, W.; Miao, T.; Lü, X. Single-molecule white-light of tris-pyrazolonate-Dy3+ complexes. Inorg. Chem. Commun. 2019, 109, 107573. [Google Scholar] [CrossRef]
- Li, X.-L.; Li, J.; Zhu, C.; Han, B.; Liu, Y.; Yin, Z.; Li, F.; Liu, C.-M. An intense luminescent Dy (III) single-ion magnet with the acylpyrazolonate ligand showing two slow magnetic relaxation processes. New J. Chem. 2018, 42, 16992–16998. [Google Scholar] [CrossRef]
- Zhang, Z.; Yu, C.; Liu, L.; Li, H.; He, Y.; Lü, X.; Wong, W.-K.; Jones, R.A. Efficient near-infrared (NIR) luminescent PMMA-supported hybrid materials doped with tris-β-diketonate Ln3+ complex (Ln = Nd or Yb). J. Photochem. Photobiol. Chem. 2016, 314, 104–113. [Google Scholar] [CrossRef]
- Pettinari, C.; Marchetti, F.; Pettinari, R.; Drozdov, A.; Troyanov, S.; Voloshin, A.I.; Shavaleev, N.M. Synthesis, structure and luminescence properties of new rare earth metal complexes with 1-phenyl-3-methyl-4-acylpyrazol-5-ones. J. Chem. Soc. Dalton Trans. 2002, 1409–1415. [Google Scholar] [CrossRef]
- Bünzli, J.-C.G.; Eliseeva, S.V. Basics of Lanthanide Photophysics. In Lanthanide Luminescence; Hänninen, P., Härmä, H., Eds.; Springer Series on Fluorescence; Springer: Berlin/Heidelberg, Germany, 2010; Volume 7, pp. 1–45. ISBN 978-3-642-21022-8. [Google Scholar]
- Berrones-Reyes, J.C.; Vidyasagar, C.C.; Muñoz Flores, B.M.; Jiménez-Pérez, V.M. Luminescent molecules of main group elements: Recent advances on synthesis, properties and their application on fluorescent bioimaging (FBI). J. Lumin. 2018, 195, 290–313. [Google Scholar] [CrossRef]
- Lewis, G.N.; Kasha, M. Phosphorescence and the Triplet State. J. Am. Chem. Soc. 1944, 66, 2100–2116. [Google Scholar] [CrossRef]
- Johnson, D.W.; Xu, J.; Saalfrank, R.W.; Raymond, K.N. Self-Assembly of a Three-Dimensional [Ga6(L2)6] Metal-Ligand “Cylinder”. Angew. Chem. Int. Ed. 1999, 38, 2882–2885. [Google Scholar] [CrossRef]
- Singh, D.; Nishal, V.; Bhagwan, S.; Saini, R.K.; Singh, I. Electroluminescent materials: Metal complexes of 8-hydroxyquinoline—A review. Mater. Des. 2018, 156, 215–228. [Google Scholar] [CrossRef]
- Belousov, Y.A.; Korshunov, V.M.; Metlin, M.T.; Metlina, D.A.; Kiskin, M.A.; Aminev, D.F.; Datskevich, N.P.; Drozdov, A.A.; Pettinari, C.; Marchetti, F.; et al. Towards bright dysprosium emitters: Single and combined effects of environmental symmetry, deuteration, and gadolinium dilution. Dye. Pigment. 2022, 199, 110078. [Google Scholar] [CrossRef]
- Belousov, Y.A.; Metlin, M.T.; Metlina, D.A.; Kiskin, M.A.; Yakushev, I.A.; Polikovskiy, T.A.; Taydakov, I.V.; Drozdov, A.A.; Marchetti, F.; Pettinari, C. Self-Assembly of a Two-Dimensional Coordination Polymer Based on Silver and Lanthanide Tetrakis-Acylpyrazolonates: An Efficient New Strategy for Suppressing Ligand-to-Metal Charge Transfer Quenching of Europium Luminescence. Polymers 2023, 15, 867. [Google Scholar] [CrossRef] [PubMed]
- Jou, J.-H.; Hsieh, C.-Y.; Tseng, J.-R.; Peng, S.-H.; Jou, Y.-C.; Hong, J.H.; Shen, S.-M.; Tang, M.-C.; Chen, P.-C.; Lin, C.-H. Candle Light-Style Organic Light-Emitting Diodes. Adv. Funct. Mater. 2013, 23, 2750–2757. [Google Scholar] [CrossRef]
- Singh, Y.P.; Rai, A.K. Synthesis and Characterisation of 4-Acyl-3-methyl-2-pyrazolin-5-one Complexes of Aluminium. Synth. React. Inorg. Met.-Org. Chem. 1982, 12, 85–102. [Google Scholar] [CrossRef]
- Bhomia, J.; Sharma, J.; Singh, Y. Synthesis and characterization of asymmetric dinuclear aluminum compounds containing sterically hindered heterocyclic β-diketones. Main Group Met. Chem. 2016, 39, 151–155. [Google Scholar] [CrossRef]
- Okafor, E.C. The Metal Complexes of Heterocyclic β-Diketones and their Derivatives, Part VIII Synthesis, Structure, Proton NMR and Infrared Spectral Studies of the Complexes of Al (III), Fe (III), Co (III), Rh (III), In (III), and Zr (IV) with l-Phenyl-3-methyl-4-trifluoroacetyl-pyrazolone-5 (HPMTFP). Z. Nat. B 1981, 36, 213–217. [Google Scholar] [CrossRef]
- Tayeb, A.; Goetz-Grandmont, G.J.; Brunette, J.P. Analytical and spectroscopic study of indium extraction with 1,10-Bis(1-phenyl-3-methyl-5-hydroxy-4-pyrazolyl)-1,10-decanedione and its mixtures with Tri-n-octylphosphine oxide. Mon. Chem. 1991, 122, 453–466. [Google Scholar] [CrossRef]
- Morales, R.; Nekimken, H.; Bartholdi, C.S.; Cunningham, P.T. Spectral studies of heterocyclic β-diketonates of actinide, lanthanide, and transition metals. Spectrochim. Acta Part Mol. Spectrosc. 1988, 44, 165–169. [Google Scholar] [CrossRef]
- Akama, Y.; Sawada, T.; Ueda, T. Thermal and spectroscopic studies of scandium complex of 1-phenyl-3-methyl-4-benzoyl-5-pyrazolone. J. Mol. Struct. 2005, 750, 44–50. [Google Scholar] [CrossRef]
- Pettinari, C.; Marchetti, F.; Pettinari, R.; Natanti, P.; Drozdov, A.; Semenov, S.; Troyanov, S.I.; Zolin, V. Syntheses, spectroscopic characterization and X-ray structural studies of lanthanide complexes with adamantyl substituted 4-acylpyrazol-5-one. Inorg. Chim. Acta 2006, 359, 4063–4070. [Google Scholar] [CrossRef]
- Pettinari, C.; Marchetti, F.; Pettinari, R.; Drozdov, A.; Semenov, S.; Troyanov, S.I.; Zolin, V. A new rare-earth metal acylpyrazolonate containing the Zundel ion stabilized by strong hydrogen bonding. Inorg. Chem. Commun. 2006, 9, 634–637. [Google Scholar] [CrossRef]
- Wasserberg, D. (Dorothee) Triplet States—Triplet Fates:Phosphorescence and Energy Transfer in Functional Molecules; Technische Universiteit Eindhoven: Eindhoven, The Netherlands, 2006. [Google Scholar] [CrossRef]
- Xiong, Y.; Zhao, Z.; Zhao, W.; Ma, H.; Peng, Q.; He, Z.; Zhang, X.; Chen, Y.; He, X.; Lam, J.W.Y.; et al. Designing Efficient and Ultralong Pure Organic Room-Temperature Phosphorescent Materials by Structural Isomerism. Angew. Chem. 2018, 130, 8129–8133. [Google Scholar] [CrossRef]
- Hamzehpoor, E.; Perepichka, D.F. Crystal Engineering of Room Temperature Phosphorescence in Organic Solids. Angew. Chem. 2020, 132, 10063–10067. [Google Scholar] [CrossRef]
- Sheldrick, G.M. Crystal structure refinement with SHELXL. Acta. Crystallogr. Sect. C Struct. Chem. 2015, C71, 3–8. [Google Scholar] [CrossRef]
- Sheldrick, G.M. SHELXT—Integrated space-group and crystal-structure determination. Acta. Crystallogr. Sect. Found. Adv. 2015, A71, 3–8. [Google Scholar] [CrossRef] [PubMed]
- Dolomanov, O.V.; Bourhis, L.J.; Gildea, R.J.; Howard, J.A.K.; Puschmann, H. OLEX2: A complete structure solution, refinement and analysis program. J. Appl. Crystallogr. 2009, 42, 339–341. [Google Scholar] [CrossRef]












| Parameter | [Al(QCH)3] | [Ga(QCH)3] | [In(QCH)3] |
|---|---|---|---|
| Molecular Formula | C51H56AlN6O6 | C51H56GaN6O6 | C51H56InN6O6 |
| M | 875.99 | 918.73 | 964.84 |
| Temperature, K | 100(2) | 110(2) | 100(2) |
| System | Monoclinic | Monoclinic | Triclinic |
| Space group | P21/c | P21/c | P-1 |
| a, Å | 17.9838(8) | 17.865(4) | 13.2087(14) |
| b, Å | 13.0521(6) | 12.918(3) | 20.270(2) |
| c, Å | 19.8671(9) | 20.037(4) | 20.561(3) |
| α, deg. | 90 | 90 | 110.542(5) |
| β, deg. | 92.303(2) | 92.95(3) | 93.380(5) |
| γ, deg. | 90 | 90 | 108.234(4) |
| V, Å3 | 4659.6(4) | 4618.3(16) | 4807.3(10) |
| Z | 4 | 4 | 4 |
| ρcalc, g/cm3 | 1.249 | 1.321 | 1.333 |
| μ(MoKα), mm−1 | 0.100 | 0.653 | 0.546 |
| F(000) | 1860 | 1932 | 2008 |
| θmin–θmax, deg. | 1.87–25.00 | 2.04–26.00 | 1.64–26.00 |
| Number of measured reflections | 32,091 | 31,594 | 54,548 |
| Number of unique reflections (Rint) | 8200 (0.0742) | 9059 (0.0633) | 18,843 (0.0792) |
| Number of reflections with I > 2σ(I) | 5427 | 6154 | 13,863 |
| Number of refined parameters | 568 | 556 | 1159 |
| R-factors (I > 2σ(I)) | R1 = 0.1117, ωR2 = 0.2928 | R1 = 0.1049, ωR2 = 0.2757 | R1 = 0.0627, ωR2 = 0.1397 |
| R-factors (all reflections) | R1 = 0.1499, ωR2 = 0.3274 | R1 = 0.1414, ωR2 = 0.3028 | R1 = 0.0914, ωR2 = 0.1566 |
| GOOF | 1.026 | 1.052 | 1.021 |
| Δρmax/Δρmin, e/Å3 | 1.534/−0.557 | 1.743/−0.941 | 1.999/−0.883 |
| Parameter | [Sc(QCH)3(DMSO)] | [La(QCH)3(H2O) (EtOH)]∙(EtOH) | [Gd(QCH)3(H2O)] | [Lu(QCH)3(DMSO)] |
|---|---|---|---|---|
| Molecular Formula | C53H63ScSN6O7 | C55H71LaN6O9 | C51H59GdN6O7 | C53H63LuSN6O7 |
| M | 973.11 | 1099.09 | 1025.29 | 1103.12 |
| Temperature, K | 293(2) | 296(2) | 110(2) | 293(2) |
| System | Triclinic | Monoclinic | Triclinic | Triclinic |
| Space group | P-1 | C2/c | P-1 | P-1 |
| a, Å | 12.8644(8) | 18.4623(13) | 9.8233(8) | 12.9949(13) |
| b, Å | 14.7619(9) | 21.8926(16) | 13.9771(11) | 14.8199(14) |
| c, Å | 15.1365(12) | 27.0312(18) | 18.7740(14) | 15.271(2) |
| α, deg. | 105.270(3) | 90 | 76.367(3) | 105.903(4) |
| β, deg. | 113.938(2) | 103.774(2) | 81.709(4) | 113.978(4) |
| γ, deg. | 90.810(2) | 90 | 77.638(3) | 90.267(3) |
| V, Å3 | 2510.5(3) | 10,611.5(13) | 2435.0(3) | 2561.7(5) |
| Z | 2 | 8 | 2 | 2 |
| ρcalc, g/cm3 | 1.287 | 1.376 | 1.398 | 1.430 |
| μ(MoKα), mm−1 | 0.246 | 0.866 | 1.418 | 2.024 |
| F(000) | 1032 | 4576 | 1054 | 1132 |
| θmin–θmax, deg. | 2.40–28.28 | 2.27–26.02 | 1.69–28.00 | 2.10–28.28 |
| Number of measured reflections | 27,067 | 41,943 | 40,875 | 25,256 |
| Number of unique reflections (Rint) | 12,396 (0.0951) | 10,447 (0.1536) | 11,740 (0.1026) | 12,647 (0.0283) |
| Number of reflections with I > 2σ(I) | 6081 | 6198 | 9736 | 11,216 |
| Number of refined parameters | 618 | 631 | 592 | 618 |
| R-factors (I > 2σ(I)) | R1 = 0.0857, ωR2 = 0.1572 | R1 = 0.0924, ωR2 = 0.2088 | R1 = 0.0496, ωR2 = 0.1040 | R1 = 0.0291, ωR2 = 0.0550 |
| R-factors (all reflections) | R1 = 0.1775, ωR2 = 0.1934 | R1 = 0.1543, ωR2 = 0.2415 | R1 = 0.0640, ωR2 = 0.1094 | R1 = 0.0365, ωR2 = 0.0576 |
| GOOF | 1.000 | 1.018 | 1.026 | 1.020 |
| Δρmax/Δρmin, e/Å3 | 0.415/−0.698 | 1.078/−2.214 | 2.177/−1.416 | 0.618/−0.670 |
| Compound | λabs | λem | λexc | E(S1) × 103 | E(T1) × 103 | Energy Gap × 103 | τobs | Φ |
|---|---|---|---|---|---|---|---|---|
| nm | nm | nm | cm−1 | cm−1 | cm−1 | ns | % | |
| HQCH | 267 | 530 | 361 | 26.0 | 22.1 | 3.9 | 7.4 ± 0.1 | 0.5 ± 0.1 |
| Sc | 271 | 430 | 338 | 27.3 | 22.7 | 4.5 | 2.7 ± 0.1 6.3 ± 0.1 | 10.6 ± 0.1 |
| La | 269 | 436 | 339 | 27.4 | 23.6 | 3.8 | 3.4 ± 0.1 8.7 ± 0.1 | 19.5 ± 0.1 |
| Gd | 265 | 490 | 343 | 27.7 | 23.6 | 4.1 | (22.3 ± 0.2) × 103 (36.5 ± 0.3) × 103 | 19.0 ± 0.1 |
| Lu | 276 | 428 | 323 | 28.0 | 23.7 | 4.3 | 1.7 ± 0.1 4.1 ± 0.1 | 6.5 ± 0.1 |
| Al | 277 | 458 | 345 | 27.6 | 23.7 | 3.8 | 9.8 ± 0.1 | 16.9 ± 0.1 |
| Ga | 278 | 463 | 342 | 27.0 | 23.5 | 3.5 | 6.3 ± 0.1 | 6.6 ± 0.1 |
| In | 278 | 464 | 340 | 27.6 | 23.6 | 4.0 | 4.2 ± 0.1 | 3.0 ± 0.1 |
| Compound | krad × 107 | knrad × 108 | a kisc × 107 | b kisc × 107 |
|---|---|---|---|---|
| HQCH | 0.1 | 1.4 | 13.4 | 13.3 |
| Al | 1.7 | 1.0 | 8.5 | 6.3 |
| Ga | 1.0 | 1.6 | 14.8 | 8.6 |
| In | 0.7 | 2.4 | 23.3 | 8.9 |
| Gd | - | - | 12.5 | 13.8 |
Disclaimer/Publisher’s Note: The statements, opinions and data contained in all publications are solely those of the individual author(s) and contributor(s) and not of MDPI and/or the editor(s). MDPI and/or the editor(s) disclaim responsibility for any injury to people or property resulting from any ideas, methods, instructions or products referred to in the content. |
© 2023 by the authors. Licensee MDPI, Basel, Switzerland. This article is an open access article distributed under the terms and conditions of the Creative Commons Attribution (CC BY) license (https://creativecommons.org/licenses/by/4.0/).
Share and Cite
Polikovskiy, T.; Korshunov, V.; Gontcharenko, V.; Kiskin, M.; Belousov, Y.; Pettinari, C.; Taydakov, I. Dynamics of the Ligand Excited States Relaxation in Novel β-Diketonates of Non-Luminescent Trivalent Metal Ions. Int. J. Mol. Sci. 2023, 24, 8131. https://doi.org/10.3390/ijms24098131
Polikovskiy T, Korshunov V, Gontcharenko V, Kiskin M, Belousov Y, Pettinari C, Taydakov I. Dynamics of the Ligand Excited States Relaxation in Novel β-Diketonates of Non-Luminescent Trivalent Metal Ions. International Journal of Molecular Sciences. 2023; 24(9):8131. https://doi.org/10.3390/ijms24098131
Chicago/Turabian StylePolikovskiy, Trofim, Vladislav Korshunov, Victoria Gontcharenko, Mikhail Kiskin, Yuriy Belousov, Claudio Pettinari, and Ilya Taydakov. 2023. "Dynamics of the Ligand Excited States Relaxation in Novel β-Diketonates of Non-Luminescent Trivalent Metal Ions" International Journal of Molecular Sciences 24, no. 9: 8131. https://doi.org/10.3390/ijms24098131
APA StylePolikovskiy, T., Korshunov, V., Gontcharenko, V., Kiskin, M., Belousov, Y., Pettinari, C., & Taydakov, I. (2023). Dynamics of the Ligand Excited States Relaxation in Novel β-Diketonates of Non-Luminescent Trivalent Metal Ions. International Journal of Molecular Sciences, 24(9), 8131. https://doi.org/10.3390/ijms24098131

