Biodegradation Studies of Polyhydroxybutyrate and Polyhydroxybutyrate-co-Polyhydroxyvalerate Films in Soil
Abstract
1. Introduction
| PHAs | Crystallinity (%) | Melting Point (°C) | Tensile Strength (MPa) | Elongation at Break (%) | Ref. |
|---|---|---|---|---|---|
| PHB | 60–80 | 170–180 | 35–50 | 3–5 | [21,23] |
| PHBV | 39–69 | 102–157 | 22–36 | 8–10 | [36] |
| P4HB | 57 | 60 | 50 | 1000 | [37,38] |
| PHO | 30 | 62 | 6–10 | 300–450 | [36] |
| PHN * | 60 | 63 | 15 | 1317 | [39,40] |
2. Results and Discussion
2.1. Initial Observations
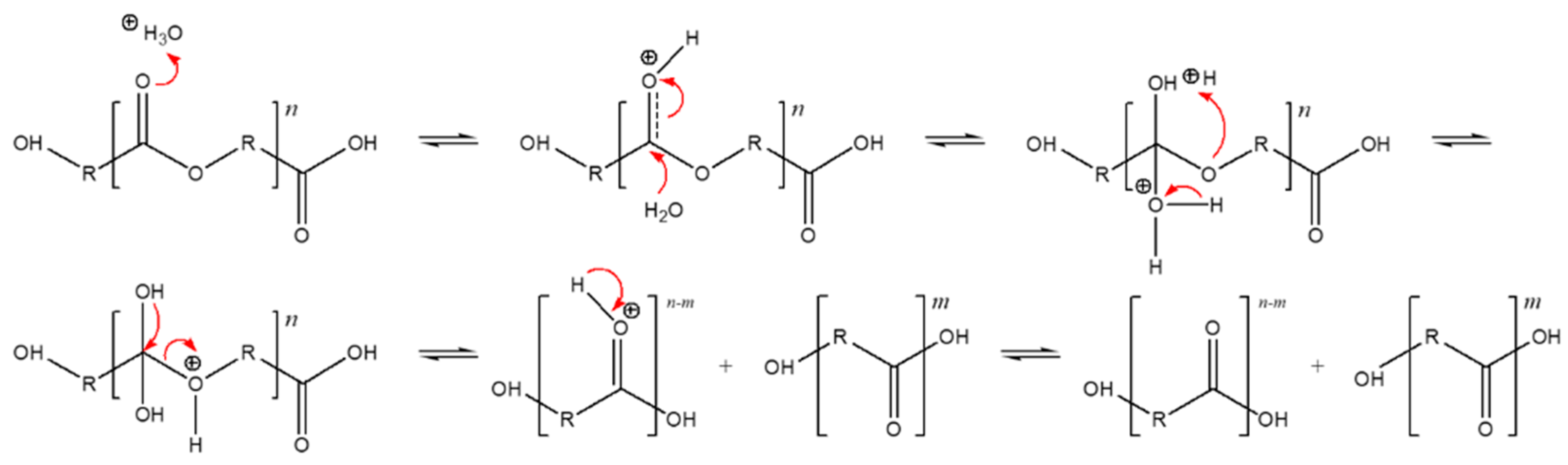
2.2. Chemical Analysis
2.3. Thermal Properties
2.4. Mechanical Properties
2.5. Molecular Weight Analysis
3. Materials and Methods
3.1. Materials
3.2. PHB Film Preparation
3.3. Soil Degradation
3.4. Fourier Transform Infrared Spectroscopy (FT-IR)
3.5. Tensile Testing
3.6. Differential Scanning Calorimetry
3.7. Size Exclusion Chromatography
3.8. Density Functional Theory
4. Conclusions
Supplementary Materials
Author Contributions
Funding
Institutional Review Board Statement
Informed Consent Statement
Data Availability Statement
Acknowledgments
Conflicts of Interest
References
- Global Plastic Waste Set to almost Triple by 2060, Says OECD. Available online: https://www.oecd.org/environment/global-plastic-waste-set-to-almost-triple-by-2060.htm (accessed on 23 October 2022).
- Jambeck, J.R.; Geyer, R.; Wilcox, C.; Siegler, T.R.; Perryman, M.; Andrady, A.; Narayan, R.; Law, K.L. Plastic waste inputs from land into the ocean. Science 2015, 347, 768–771. [Google Scholar] [CrossRef] [PubMed]
- Ragaert, K.; Delva, L.; Geem, K.V. Mechanical and chemical recycling of solid plastic waste. Waste Manag. 2017, 69, 24–58. [Google Scholar] [CrossRef] [PubMed]
- Hopewell, J.; Dvorak, R.; Kosior, E. Plastics recycling: Challenges and opportunities. Philos. Trans. R. Soc. Lond. B Biol. Sci. 2009, 364, 2115–2126. [Google Scholar] [CrossRef]
- Rochman, C.M.; Browne, M.A.; Halpern, B.S.; Hentschel, B.T.; Hoh, E.; Karapanagioti, H.K.; Rios-Mendoza, L.M.; Takada, H.; Teh, S.; Thompson, R.C. Classify plastic waste as hazardous. Nature 2013, 494, 169–171. [Google Scholar] [CrossRef]
- Geyer, R.; Jambeck, J.R.; Law, K.L. Production, use, and fate of all plastics ever made. Sci. Adv. 2017, 3, 1700782. [Google Scholar] [CrossRef] [PubMed]
- Garcia, J.M.; Robertson, M. The future of plastics recycling. Science 2017, 358, 870–872. [Google Scholar] [CrossRef]
- EPA: US Recycled Less Plastic in 2017. Available online: https://resource-recycling.com/plastics/2019/11/21/epa-us-recycled-less-plastic-in-2017 (accessed on 21 November 2022).
- Hale, R.C.; Seeley, M.E.; La Guardia, M.J.; Mai, L.; Zeng, E.Y.A. Global Perspective on Microplastics. J. Geophys. Res. Oceans 2020, 125, e2018JC014719. [Google Scholar] [CrossRef]
- Xanthos, D.; Walker, T.R. International policies to reduce plastic marine pollution from single-use plastics (plastic bags and microbeads): A review. Mar. Pollut. Bull. 2017, 118, 17–26. [Google Scholar] [CrossRef]
- Sharma, S.; Chatterjee, S. Microplastic pollution, a threat to marine ecosystem and human health: A short review. Environ. Sci. Pollut. Res. 2017, 24, 21530–21547. [Google Scholar] [CrossRef]
- Avio, C.G.; Gorbi, S.; Regoli, F. Plastics and microplastics in the oceans: From emerging pollutants to emerged threat. Mar. Environ. Res. 2017, 128, 2–11. [Google Scholar] [CrossRef]
- Li, W.C.; Tse, H.F.; Fok, L. Plastic waste in the marine environment: A review of sources, occurrence and effects. Sci. Total Environ. 2016, 566, 333–349. [Google Scholar] [CrossRef] [PubMed]
- Gross, R.A.; Kalra, B. Biodegradable Polymers for the Environment. Science 2002, 297, 803–807. [Google Scholar] [CrossRef] [PubMed]
- Zhong, Y.; Godwin, P.; Jin, Y.; Xiao, H. Biodegradable polymers and green-based antimicrobial packaging materials: A mini-review. Adv. Ind. Eng. Polym. Res. 2020, 3, 27–35. [Google Scholar] [CrossRef]
- Kovalcik, A.; Obruca, S.; Kalina, M.; Machovsky, M.; Enev, V.; Jakesova, M.; Sovkova, M.; Marova, I. Enzymatic hydrolysis of poly(3-hydroxybutyrate-co-3-hydroxyvalerate) scaffolds. Materials 2020, 13, 2992. [Google Scholar] [CrossRef]
- Luckachan, G.E.; Pillai, C.K.S. Biodegradable polymers—A review on recent trends and emerging perspectives. J. Polym. Environ. 2011, 19, 637–676. [Google Scholar] [CrossRef]
- Li, Z.; Yang, J.; Loh, X.J. Polyhydroxyalkanoates: Opening doors for a sustainable future. NPG Asia Mater. 2016, 8, 265. [Google Scholar] [CrossRef]
- Altaee, N.; El-Hiti, G.A.; Fahdil, A.; Sudesh, K.; Yousif, E. Biodegradation of different formulations of polyhydroxybutyrate films in soil. SpringerPlus 2016, 5, 762. [Google Scholar] [CrossRef]
- Roy, I.; Visakh, P. Polyhydroxyalkanoate (PHA) Based Blends, Composites and Nanocomposites; Royal Society of Chemistry: Cambridge, UK, 2014; Volume 30. [Google Scholar]
- Roohi; Zaheer, M.R.; Kuddus, M. PHB(poly-β-hydroxybutyrate)and its enzymatic degradation. Polym. Adv. Technol. 2018, 29, 30–40. [Google Scholar] [CrossRef]
- Pernicova, I.; Novachova, I.; Sedlacek, P.; Kourilova, X.; Kalina, M.; Kovalcik, A.; Koller, M.; Nebesarova, J.; Krzyzanek, V.; Hrubanova, K.; et al. Introducing the newly isolated bacterium Aneurinibacillus sp. H1 as an auspicious thermophilic producer of various polyhydrocyalkanoates (PHA) copolymers-1, Isolation and characterization of the bacterium. Polymers 2020, 12, 1235. [Google Scholar] [CrossRef]
- Sudesh, K.; Abe, H.; Doi, Y. Synthesis, structure and properties of polyhydroxyalkanoates: Biological polyesters. Prog. Polym. Sci. 2000, 25, 1503–1555. [Google Scholar] [CrossRef]
- Rivera-Briso, A.L.; Serrano-Aroca, A. Poly(3-hydroxybutyrate-co-3-hydroxyvalerate): Enhancement strategies for advanced applications. Polymers 2018, 10, 732. [Google Scholar] [CrossRef] [PubMed]
- Gutierrez-Wing, M.T.; Stevens, B.E.; Theegala, C.S.; Negulescu, I.I.; Rusch, K.A. Aerobic biodegradation of polyhydroxybutyrate in compost. Environ. Eng. Sci. 2011, 28, 477–488. [Google Scholar] [CrossRef]
- Rutkowska, M.; Krasowska, K.; Heimowska, A.; Adamus, G.; Sobota, M.; Musioł, M.; Janeczek, H.; Sikorska, W.; Krzan, A.; Žagar, E.; et al. Environmental degradation of blends of atactic poly[(R,S)-3-hydroxybutyrate] with natural PHBV in Baltic sea water and compost with activated sludge. J. Polym. Environ. 2008, 16, 183–191. [Google Scholar] [CrossRef]
- Yagi, H.; Ninomiya, F.; Funabashi, M.; Kunioka, M. Mesophilic anaerobic biodegradation test and analysis of eubacteria and archaea involved in anaerobic biodegradation of four specified biodegradable polyesters. Polym. Degrad. Stab. 2014, 110, 278–283. [Google Scholar] [CrossRef]
- Wang, G.-X.; Huang, D.; Ji, J.-H.; Volker, C.; Wurm, F.R. Seawater—Degradable polymers—Fighting the marine plastic pollution. Adv. Sci. 2021, 8, 2001121. [Google Scholar] [CrossRef]
- Weng, Y.X.; Jin, Y.-J.; Meng, Q.-Y.; Wang, L.; Zhang, M.; Wang, Y.-Z. Biodegradation behavior of poly(butylene adipate-co-terephthalate) (PBAT), poly(lactic acid) (PLA), and their blend under soil conditions. Polym. Test. 2013, 32, 918–926. [Google Scholar] [CrossRef]
- Kasuya, K.-i.; Takagi, K.-i.; Ishiwatari, S.-i.; Yoshida, Y.; Doi, Y. Biodegradability of various aliphatic polyesters in natural waters. Polym. Degrad. Stab. 1998, 59, 327–332. [Google Scholar] [CrossRef]
- Tokiwa, Y.; Calabia, B.P.; Ugwu, C.U.; Aiba, S. Biodegradability of Plastics. Int. J. Mol. Sci. 2009, 10, 3722–3742. [Google Scholar] [CrossRef] [PubMed]
- Haider, T.P.; Volker, C.; Kramm, J.; Landfester, K.; Wurm, F.R. Plastics of the future? The impact of biodegradable polymers on the environment and on society. Angew. Chem. Int. Ed. 2019, 58, 50–62. [Google Scholar] [CrossRef]
- Muthuraj, R.; Misra, M.; Mohanty, A.K. Hydrolytic degradation of biodegradable polyesters under simulated environmental conditions. J. Appl. Polym. Sci. 2015, 132, 42189. [Google Scholar] [CrossRef]
- Lee, K.M.; Gimore, D.F.; Huss, M.J. Fungal Degradation of the Bioplastic PHB (Poly-3-hydroxy-butyric acid). J. Polym. Environ. 2005, 13, 213–219. [Google Scholar] [CrossRef]
- Martinez-Tobon, D.I.; Gul, M.; Elias, A.L.; Sauvageau, D. Polyhydroxybutyrate (PHB) biodegradation using bacterial strains with demonstrated and predicted PHB depolymerase activity. Appl. Microbiol. Biotechnol. 2018, 103, 8049–8067. [Google Scholar] [CrossRef] [PubMed]
- Verhoogt, H.; Ramsay, B.A.; Favis, B.D. Polymer blends containing poly(3-hydroxyalkanoate)s. Polymer 1994, 35, 5155–5169. [Google Scholar] [CrossRef]
- Keridou, I.; Valle, L.J.; Funk, L.; Turon, P.; Yousef, I.; Franco, L.; Puiggali, J. Isothermal crystallization kinetics of poly(4-hydroxybutyrate) biopolymer. Materials 2019, 12, 2488. [Google Scholar] [CrossRef]
- Martin, D.P.; Williams, S.F. Medical applications of poly-4-hydroxybutyrate: A strong flexible absorbable biomaterial. Biochem. Eng. J. 2003, 16, 97–105. [Google Scholar] [CrossRef]
- Wang, Y.; Chung, A.; Chen, G.-Q. Synthesis of medium-chain-length polyhydroxyalkanoate homopolymers, random copolymers, and block copolymers by an engineered strain of Pseudomonas entomophila. Adv. Healthc. Mater. 2017, 6, 1601017. [Google Scholar] [CrossRef]
- Jiang, X.; Sun, Z.; Marchessault, R.H.; Ramsay, J.A.; Ramsay, B.A. Biosynthesis and properties of medium-chain-length polyhydroxyalkanoates with enriched content of the dominant monomer. Biomacromolecules 2012, 13, 2926–2932. [Google Scholar] [CrossRef]
- Rydz, J.; Sikorska, W.; Kyulavska, M.; Christova, D. Polyester-based (Bio)degradable polymers as environmentally friendly materials for sustainable development. Int. J. Mol. Sci. 2015, 16, 564–596. [Google Scholar] [CrossRef]
- Murthy, N.; Wilson, S.; Sy, J.C. Biodegradation of polymers. In Polymer Science: A Comprehensive Reference; Matyjaszewski, K., Moller, M., Eds.; Elsevier: Amsterdam, The Netherlands, 2012; pp. 547–560. [Google Scholar]
- Smith, B.C. The C-O bond, Part I: Introduction and the infrared spectroscopy of alcohols. Spectroscopy 2017, 32, 14–21. [Google Scholar]
- Lu, J.; Takahashi, A.; Ueda, S. 3-Hydroxybutyrate oligomer hydrolase and 3-hydroxybutyrate dehydrogenase participate in intracellular polyhydroxybutyrate and polyhydroxyvalerate degradation in Paracoccus denitrificans. Appl Environ Microbiol. 2014, 80, 986–993. [Google Scholar] [CrossRef]
- Sugiyama, A.; Kobayashi, T.; Shiraki, M.; Saito, T. Roles of Poly(3-Hydroxybutyrate) depolymerase and 3HB-oligomer hydrolase in bacterial PHB metabolism. Curr. Microbiol. 2004, 48, 424–427. [Google Scholar] [CrossRef] [PubMed]
- Sednickova, M.; Pekarova, S.; Kucharczyk, P.; Bockaj, J.; Janigova, I.; Kleinova, A.; Jochec-Moskova, D.; Omanikova, L.; Perdochova, D.; Koutny, M.; et al. Changes of physical properties of PLA-based blends during early stage of biodegradation in compost. Int. J. Biol. Macromol. 2018, 113, 434–442. [Google Scholar] [CrossRef] [PubMed]
- Mohapatra, S.; Sarkar, B.; Samantaray, D.P.; Daware, A.; Maity, S.; Pattnaik, S.; Bhattacharjee, S. Bioconversion of fish solid waste into PHB using Bacillus subtilis based submerged fermentation process. Environ. Technol. 2017, 38, 1291759. [Google Scholar] [CrossRef] [PubMed]
- Saranya, V.; Shenbagarathai, R. Production and characterization of PHA from recombinant E. coli harbouring phaC1 gene of indigenous Pseudomonas sp. LDC-5 using molasses. Braz. J. Microbiol. 2011, 42, 1109–1118. [Google Scholar] [CrossRef]
- Nair, A.M.; Annamalai, K.; Kannan, S.K.; Kuppusamy, S. Characterization of polyhydroxyalkanoates produced by Bacillus subtilis isolated from soil samples. Malaya J Biosci. 2013, 1, 8–12. [Google Scholar]
- Pantani, R.; Sorrentino, A. Influence of crystallinity on the biodegradation rate of injection-moulded poly(lactic acid) samples in controlled composting conditions. Polym. Degrad. Stab. 2013, 98, 1089–1096. [Google Scholar] [CrossRef]
- Santos, A.J.; Valentina, L.V.O.D.; Schulz, A.A.H.; Duarte, M.A.T. From obtaining to degradation of PHB: A literature review. Part II. Ing. Cienc. 2018, 14, 9. [Google Scholar] [CrossRef]
- Hakkarainen, M. Degradable Aliphatic Polyesters; Albertsson, A.-C., Ed.; Springer: Berlin/Heidelberg, Germany; New York, NY, USA, 2002; pp. 113–138. [Google Scholar]
- Rajan, K.P.; Thomas, S.P.; Gopanna, A.; Chavali, M. Polyhydroxybutyrate (PHB): A standout biopolymer for environmental sustainability. In Handbook of Ecomaterials; Martinez, L.M.T., Kharissova, O.V., Kharisov, B.I., Eds.; Springer International: New York, NY, USA, 2018; pp. 2–19. [Google Scholar]
- Farah, S.; Anderson, D.G.; Langer, R. Physical and mechanical properties of PLA, and their functions in widespread application—A comprehensive review. Adv. Drug Deliv. Rev. 2016, 107, 367–392. [Google Scholar] [CrossRef]
- Lunt, J. Large-scale production, properties and commercial applications of polylactic acid polymers. Polym. Degrad. Stab. 1997, 59, 145–152. [Google Scholar] [CrossRef]
- Henton, D.E.; Gruber, P.; Lunt, J.; Randall, J.; Mohanty, A.K.; Misra, M.; Drzal, L.T. Natural Fibers, Biopolymers, and Biocomposites; Taylor & Francis: Boca Raton, FL, USA, 2005; pp. 527–577. [Google Scholar]
- Garcia-Depraect, O.; Lebrero, R.; Rodriguez-Vega, S.; Bordel, S.; Santos-Beneit, F.; Martinez-Mendoza, L.J.; Borner, R.A.; Borner, T.; Munoz, R. Biodegradation of bioplastics under aerobic and anaerobic aqueous conditions: Kinetics, carbon fate and particle size effect. Bioresour. Technol. 2022, 344, 126265. [Google Scholar] [CrossRef] [PubMed]
- Lee, B.; Yun, D.; Lee, J.-S.; Park, C.H.; Kim, T.-H. Development of Highly Alkaline Stable OH−-Conductors Based on Imidazolium Cations with Various Substituents for Anion Exchange Membrane-Based Alkaline Fuel Cells. J. Phys. Chem. C 2019, 123, 13508–13518. [Google Scholar] [CrossRef]
- Becke, A.D. A multicenter numerical integration scheme for polyatomic molecules. J. Chem. Phys. 1988, 88, 2547–2553. [Google Scholar] [CrossRef]
- Lee, C.; Yang, W.; Parr, R.G. Development of the Colle-Salvetti correlation-energy formula into a functional of the electron density. Phys. Rev. B 1988, 37, 785–789. [Google Scholar] [CrossRef] [PubMed]
- Andzelm, J.; Kçlmel, C.; Klamt, A. Incorporation of solvent effects into density functional calculations of molecular energies and geometries. J. Chem. Phys. 1995, 103, 9312. [Google Scholar] [CrossRef]
- Klamt, A.; Schuurmann, G. COSMO: A New Approach to Dielectric Screening in Solvents with Explicit Expressions for the Screening Energy and its Gradient. J. Chem. Soc. Perkin Trans. 2 1993, 2, 799–805. [Google Scholar] [CrossRef]







| Conditions/ Aging Time | PHB | PHBV | |||
|---|---|---|---|---|---|
| Tensile Strength (MPa) | Elongation at Break (%) | Tensile Strength (MPa) | Elongation at Break (%) | ||
| 100% RH | 0 Day | 8.43 | 3.73 | 18.75 | 2.59 |
| 3 Days | 3.98 | 0.64 | 9.21 | 0.77 | |
| 7 Days | 3.84 | 0.52 | 1.18 | 0.70 | |
| 40% RH | 0 Day | 8.31 | 3.82 | 18.88 | 2.66 |
| 7 Day | 8.46 | 3.79 | 19.17 | 2.83 | |
| 22 Days | 8.51 | 3.16 | 19.06 | 2.71 | |
| 29 Days | 8.24 | 2.71 | 18.96 | 2.84 | |
| 43 Days | 7.89 | 2.52 | 19.02 | 2.56 | |
| Conditions/ Aging Time | PHB | PHBV | |||||||
|---|---|---|---|---|---|---|---|---|---|
| Mn (105 Da) * | Tm1 (°C) | Tm2 (°C) | Degree of Crystallinity (%) | Mn (105 Da) * | Tm1 (°C) | Tm2 (°C) | Degree of Crystallinity (%) | ||
| 100% RH | 0 Day | 2.95 | 174 | 154 | 70 | 1.89 | 155 | 143 | 42 |
| 3 Days | 1.43 | 168 | 148 | 21 | 1.40 | 153 | 144 | 38 | |
| 7 Days | 0.71 | 163 | 145 | 18 | 1.35 | 154 | 143 | 38 | |
| 40% RH | 0 Day | 2.95 | 174 | 154 | 70 | 1.89 | 155 | 143 | 42 |
| 7 Days | 2.45 | 174 | 155 | 49 | 1.88 | 155 | 143 | 42 | |
| 16 Days | 2.17 | 173 | 155 | 48 | 1.85 | 155 | 143 | 42 | |
| 22 Days | 1.99 | 174 | 155 | 49 | 1.72 | 156 | 143 | 42 | |
| 43 Days | 1.93 | 173 | 155 | 48 | 1.59 | 156 | 143 | 42 | |
Disclaimer/Publisher’s Note: The statements, opinions and data contained in all publications are solely those of the individual author(s) and contributor(s) and not of MDPI and/or the editor(s). MDPI and/or the editor(s) disclaim responsibility for any injury to people or property resulting from any ideas, methods, instructions or products referred to in the content. |
© 2023 by the authors. Licensee MDPI, Basel, Switzerland. This article is an open access article distributed under the terms and conditions of the Creative Commons Attribution (CC BY) license (https://creativecommons.org/licenses/by/4.0/).
Share and Cite
Kim, J.; Gupta, N.S.; Bezek, L.B.; Linn, J.; Bejagam, K.K.; Banerjee, S.; Dumont, J.H.; Nam, S.Y.; Kang, H.W.; Park, C.H.; et al. Biodegradation Studies of Polyhydroxybutyrate and Polyhydroxybutyrate-co-Polyhydroxyvalerate Films in Soil. Int. J. Mol. Sci. 2023, 24, 7638. https://doi.org/10.3390/ijms24087638
Kim J, Gupta NS, Bezek LB, Linn J, Bejagam KK, Banerjee S, Dumont JH, Nam SY, Kang HW, Park CH, et al. Biodegradation Studies of Polyhydroxybutyrate and Polyhydroxybutyrate-co-Polyhydroxyvalerate Films in Soil. International Journal of Molecular Sciences. 2023; 24(8):7638. https://doi.org/10.3390/ijms24087638
Chicago/Turabian StyleKim, Jihyeon, Nevin S. Gupta, Lindsey B. Bezek, Jacqueline Linn, Karteek K. Bejagam, Shounak Banerjee, Joseph H. Dumont, Sang Yong Nam, Hyun Woo Kang, Chi Hoon Park, and et al. 2023. "Biodegradation Studies of Polyhydroxybutyrate and Polyhydroxybutyrate-co-Polyhydroxyvalerate Films in Soil" International Journal of Molecular Sciences 24, no. 8: 7638. https://doi.org/10.3390/ijms24087638
APA StyleKim, J., Gupta, N. S., Bezek, L. B., Linn, J., Bejagam, K. K., Banerjee, S., Dumont, J. H., Nam, S. Y., Kang, H. W., Park, C. H., Pilania, G., Iverson, C. N., Marrone, B. L., & Lee, K.-S. (2023). Biodegradation Studies of Polyhydroxybutyrate and Polyhydroxybutyrate-co-Polyhydroxyvalerate Films in Soil. International Journal of Molecular Sciences, 24(8), 7638. https://doi.org/10.3390/ijms24087638

