Altered Intracellular Signaling Associated with Dopamine D2 Receptor in the Prefrontal Cortex in Wistar Kyoto Rats
Abstract
1. Introduction
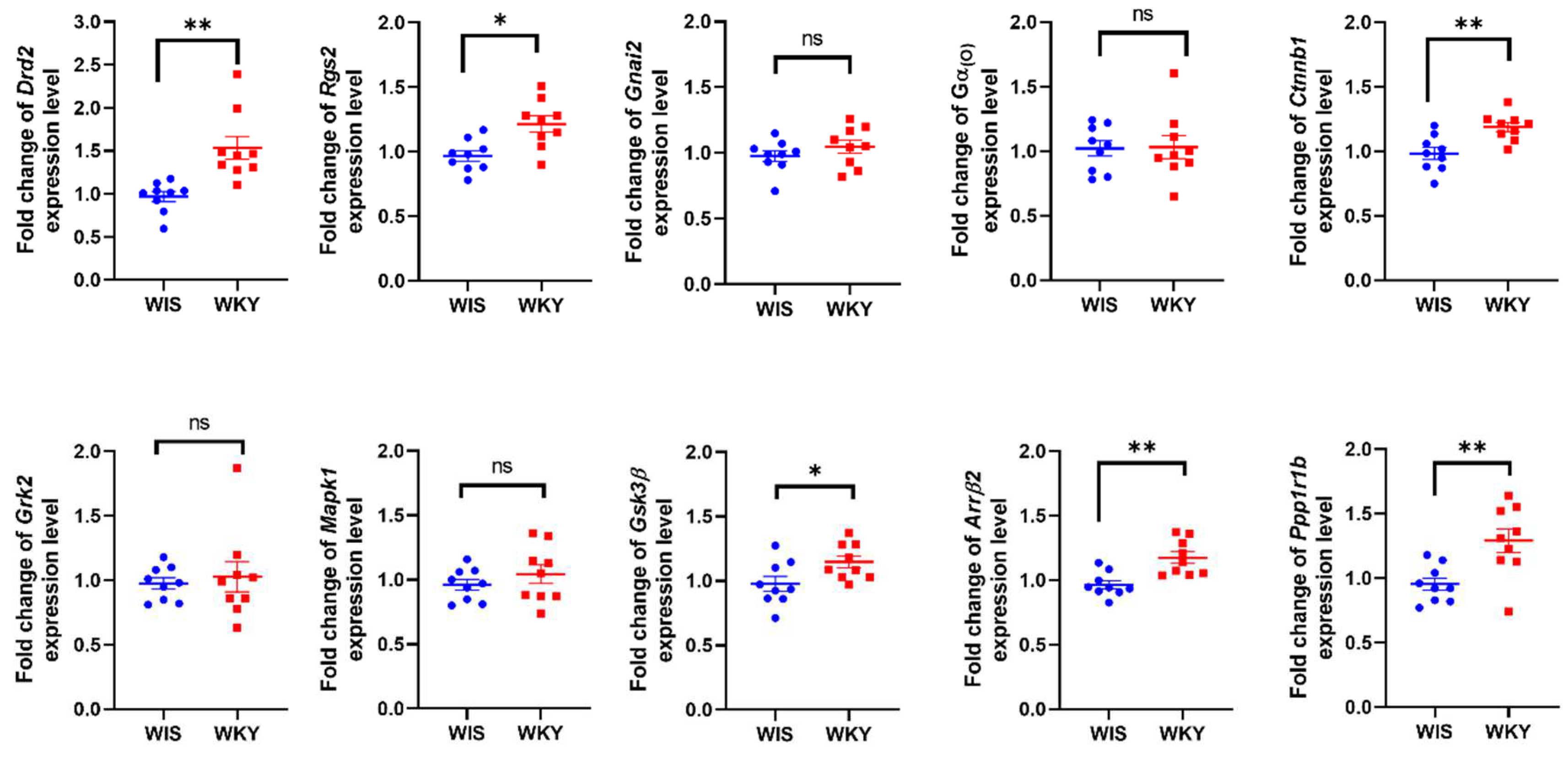
2. Results




3. Discussion
3.1. Rgs2 Is an Important Factor in the Regulation of Dopamine D2 Receptor Activity and Localization
3.2. The βarrestin2/AKT/Gsk-3β/β-catenin Signaling Pathway
3.3. Increased Expression of DARPP 32 in WKY
3.4. WKY Strain
4. Materials and Methods
4.1. Animals
4.2. Tissue Preparation
4.3. Isolation of mRNAs from the Prefrontal Cortex
4.4. Quantitative RT-PCR
4.5. Dopamine D2 Receptor Autoradiography
4.6. Analysis of the Autoradiographic Images
4.7. Statistical Analysis
5. Conclusions
Author Contributions
Funding
Institutional Review Board Statement
Informed Consent Statement
Data Availability Statement
Conflicts of Interest
References
- Lemos, J.; Zhang, G.; Walsh, T.; Kirby, L.G.; Akanwa, A.; Brooks-Kayal, A.; Beck, S.G. Stress-Hyperresponsive WKY Rats Demonstrate Depressed Dorsal Raphe Neuronal Excitability and Dysregulated CRF-Mediated Responses. Neuropsychopharmacology 2010, 36, 721–734. [Google Scholar] [CrossRef] [PubMed]
- Nam, H.; Clinton, S.M.; Jackson, N.L.; Kerman, I.A. Learned helplessness and social avoidance in the Wistar-Kyoto rat. Front. Behav. Neurosci. 2014, 8, 109. [Google Scholar] [CrossRef] [PubMed]
- Rittenhouse, P.A.; López-Rubalcava, C.; Stanwood, G.D.; Lucki, I. Amplified behavioral and endocrine responses to forced swim stress in the Wistar–Kyoto rat. Psychoneuroendocrinology 2002, 27, 303–318. [Google Scholar] [CrossRef] [PubMed]
- Rauhut, A.S.; Zentner, I.J.; Mardekian, S.K.; Tanenbaum, J.B. Wistar Kyoto and Wistar rats differ in the affective and locomotor effects of nicotine. Physiol. Behav. 2008, 93, 177–188. [Google Scholar] [CrossRef] [PubMed]
- Dennis, T.S.; Beck, K.D.; Cominski, T.P.; Bobzean, S.A.; Kuzhikandathil, E.V.; Servatius, R.J.; Perrotti, L.I. Exposure to morphine-associated cues increases mu opioid receptor mRNA expression in the nucleus accumbens of Wistar Kyoto rats. Behav. Brain Res. 2016, 313, 208–213. [Google Scholar] [CrossRef] [PubMed]
- Papp, M.; Gruca, P.; Lason, M.; Niemczyk, M.; Willner, P. The role of prefrontal cortex dopamine D2 and D3 receptors in the mechanism of action of venlafaxine and deep brain stimulation in animal models of treatment-responsive and treatment-resistant depression. J. Psychopharmacol. 2019, 33, 748–756. [Google Scholar] [CrossRef]
- Willner, P.; Gruca, P.; Lason, M.; Tota-Glowczyk, K.; Litwa, E.; Niemczyk, M.; Papp, M. Validation of chronic mild stress in the Wistar-Kyoto rat as an animal model of treatment-resistant depression. Behav. Pharmacol. 2019, 30, 239–250. [Google Scholar] [CrossRef] [PubMed]
- Aleksandrova, L.R.; Wang, Y.T.; Phillips, A.G. Evaluation of the Wistar-Kyoto rat model of depression and the role of synaptic plasticity in depression and antidepressant response. Neurosci. Biobehav. Rev. 2019, 105, 1–23, Erratum in Neurosci. Biobehav. Rev. 2020, 116, 162–163. [Google Scholar] [CrossRef]
- Papp, M.; Gruca, P.; Faron-Górecka, A.; Kusmider, M.; Willner, P. Genomic Screening of Wistar and Wistar-Kyoto Rats Exposed to Chronic Mild Stress and Deep Brain Stimulation of Prefrontal Cortex. Neuroscience 2019, 423, 66–75. [Google Scholar] [CrossRef]
- Getachew, B.; Hauser, S.R.; Taylor, R.E.; Tizabi, Y. Alcohol-induced depressive-like behavior is associated with cortical norepinephrine reduction. Pharmacol. Biochem. Behav. 2010, 96, 395–401. [Google Scholar] [CrossRef]
- Jiao, X.; Paré, W.P.; Tejani-Butt, S. Strain differences in the distribution of dopamine transporter sites in rat brain. Prog. Neuro-Psychopharmacol. Biol. Psychiatry 2003, 27, 913–919. [Google Scholar] [CrossRef] [PubMed]
- Novick, A.; Yaroslavsky, I.; Tejani-Butt, S. Strain differences in the expression of dopamine D1 receptors in Wistar–Kyoto (WKY) and Wistar rats. Life Sci. 2008, 83, 74–78. [Google Scholar] [CrossRef] [PubMed]
- Scholl, J.L.; Renner, K.J.; Forster, G.L.; Tejani-Butt, S. Central monoamine levels differ between rat strains used in studies of depressive behavior. Brain Res. 2010, 1355, 41–51. [Google Scholar] [CrossRef]
- Yaroslavsky, I.; Colletti, M.; Jiao, X.; Tejani-Butt, S. Strain differences in the distribution of dopamine (DA-2 and DA-3) receptor sites in rat brain. Life Sci. 2006, 79, 772–776. [Google Scholar] [CrossRef]
- De La Garza, R.; Mahoney, J. A distinct neurochemical profile in WKY rats at baseline and in response to acute stress: Implications for animal models of anxiety and depression. Brain Res. 2004, 1021, 209–218. [Google Scholar] [CrossRef] [PubMed]
- Willner, P. The mesolimbic dopamine system as a target for rapid antidepressant action. Int. Clin. Psychopharmacol. 1997, 12, S7–S14. [Google Scholar] [CrossRef] [PubMed]
- Beaulieu, J.-M.; Sotnikova, T.D.; Marion, S.; Lefkowitz, R.J.; Gainetdinov, R.R.; Caron, M.G. An Akt/β-Arrestin 2/PP2A Signaling Complex Mediates Dopaminergic Neurotransmission and Behavior. Cell 2005, 122, 261–273. [Google Scholar] [CrossRef]
- Dohlman, H.G.; Thorner, J. RGS Proteins and Signaling by Heterotrimeric G Proteins. J. Biol. Chem. 1997, 272, 3871–3874. [Google Scholar] [CrossRef]
- Beaulieu, J.-M.; Gainetdinov, R.R. The Physiology, Signaling, and Pharmacology of Dopamine Receptors. Pharmacol. Rev. 2011, 63, 182–217. [Google Scholar] [CrossRef]
- Dohlman, H.G. RGS proteins the early days. Prog. Mol. Biol. Transl. Sci. 2009, 86, 1–14. [Google Scholar] [CrossRef]
- Chasse, S.A.; Dohlman, H.G. RGS Proteins: G Protein-Coupled Receptors Meet Their Match. ASSAY Drug Dev. Technol. 2003, 1, 357–364. [Google Scholar] [CrossRef] [PubMed]
- Druey, K.M.; Kehrl, J.H. Inhibition of regulator of G protein signaling function by two mutant RGS4 proteins. Proc. Natl. Acad. Sci. USA 1997, 94, 12851–12856. [Google Scholar] [CrossRef]
- Masuho, I.; Xie, K.; Martemyanov, K.A. Macromolecular Composition Dictates Receptor and G Protein Selectivity of Regulator of G Protein Signaling (RGS) 7 and 9-2 Protein Complexes in Living Cells. J. Biol. Chem. 2013, 288, 25129–25142. [Google Scholar] [CrossRef]
- Luessen, D.J.; Hinshaw, T.P.; Sun, H.; Howlett, A.C.; Marrs, G.; McCool, B.A.; Chen, R. RGS2 modulates the activity and internalization of dopamine D2 receptors in neuroblastoma N2A cells. Neuropharmacology 2016, 110, 297–307. [Google Scholar] [CrossRef]
- Paxinos, G.; Watson, C. The Rat Brain in Stereotaxic Coordinates, 4th ed.; Academic Press: Cambridge, UK, 1998; ISBN 012547617. [Google Scholar]
- Nagasawa, M.; Ogino, Y.; Kurata, K.; Otsuka, T.; Yoshida, J.; Tomonaga, S.; Furuse, M. Hypothesis with abnormal amino acid metabolism in depression and stress vulnerability in Wistar Kyoto rats. Amino Acids 2012, 43, 2101–2111. [Google Scholar] [CrossRef] [PubMed]
- O’Brien, W.T.; Harper, A.D.; Jové, F.; Woodgett, J.R.; Maretto, S.; Piccolo, S.; Klein, P.S. Glycogen Synthase Kinase-3β Haploinsufficiency Mimics the Behavioral and Molecular Effects of Lithium. J. Neurosci. 2004, 24, 6791–6798. [Google Scholar] [CrossRef] [PubMed]
- Kaidanovich-Beilin, O.; Milman, A.; Weizman, A.; Pick, C.G.; Eldar-Finkelman, H. Rapid antidepressive-like activity of specific glycogen synthase kinase-3 inhibitor and its effect on β-catenin in mouse hippocampus. Biol. Psychiatry 2004, 55, 781–784. [Google Scholar] [CrossRef]
- Polter, A.; Beurel, E.; Yang, S.; Garner, R.; Song, L.; Miller, C.A.; Sweatt, J.D.; McMahon, L.; Bartolucci, A.A.; Li, X.; et al. Deficiency in the Inhibitory Serine-Phosphorylation of Glycogen Synthase Kinase-3 Increases Sensitivity to Mood Disturbances. Neuropsychopharmacology 2010, 35, 1761–1774. [Google Scholar] [CrossRef]
- Bauer, M.; Adli, M.; Ricken, R.; Severus, E.; Pilhatsch, M. Role of Lithium Augmentation in the Management of Major Depressive Disorder. CNS Drugs 2014, 28, 331–342. [Google Scholar] [CrossRef]
- Costemale-Lacoste, J.; Guilloux, J.; Gaillard, R. The role of GSK-3 in treatment-resistant depression and links with the pharmacological effects of lithium and ketamine: A review of the literature. L’encephale 2016, 42, 156–164. [Google Scholar] [CrossRef]
- Jope, R.S. Inhibition of glycogen synthase kinase-3: A potential therapeutic target of lithium. Clin. Neurosci. Res. 2004, 4, 171–179. [Google Scholar] [CrossRef]
- Jope, R.S. Lithium and GSK-3: One inhibitor, two inhibitory action, multiple outcomes. Trends Pharmacol. Sci. 2003, 24, 441–443. [Google Scholar] [CrossRef]
- Valvezan, A.J.; Klein, P.S. GSK-3 and Wnt Signaling in Neurogenesis and Bipolar Disorder. Front. Mol. Neurosci. 2012, 5, 1. [Google Scholar] [CrossRef]
- Chen, Y.C.; Tan, Q.R.; Dang, W.; Wang, H.N.; Zhang, R.B.; Li, Z.Y.; Lin, H.; Liu, R. The effect of citalopram on chronic stress-induced depressive-like behavior in rats through GSK3β/β-catenin activation in the medial prefrontal cortex. Brain Res. Bull. 2012, 88, 338–344. [Google Scholar] [CrossRef]
- Tritsch, N.X.; Sabatini, B.L. Dopaminergic Modulation of Synaptic Transmission in Cortex and Striatum. Neuron 2012, 76, 33–50. [Google Scholar] [CrossRef]
- Bertran-Gonzalez, J.; Bosch, C.; Maroteaux, M.; Matamales, M.; Hervé, D.; Valjent, E.; Girault, J.-A. Opposing Patterns of Signaling Activation in Dopamine D1and D2Receptor-Expressing Striatal Neurons in Response to Cocaine and Haloperidol. J. Neurosci. 2008, 28, 5671–5685. [Google Scholar] [CrossRef] [PubMed]
- Perreault, M.L.; Hasbi, A.; O’Dowd, B.F.; George, S.R. The Dopamine D1–D2 Receptor Heteromer in Striatal Medium Spiny Neurons: Evidence for a Third Distinct Neuronal Pathway in Basal Ganglia. Front. Neuroanat. 2011, 5, 31. [Google Scholar] [CrossRef] [PubMed]
- Li, Y.-C.; Kellendonk, C.; Simpson, E.H.; Kandel, E.R.; Gao, W.-J. D2 receptor overexpression in the striatum leads to a deficit in inhibitory transmission and dopamine sensitivity in mouse prefrontal cortex. Proc. Natl. Acad. Sci. USA 2011, 108, 12107–12112. [Google Scholar] [CrossRef] [PubMed]
- Wei, X.; Ma, T.; Cheng, Y.; Huang, C.C.; Wang, X.; Lu, J.; Wang, J. Dopamine D1 or D2 receptor-expressing neurons in the central nervous system. Addict. Biol. 2017, 23, 569–584. [Google Scholar] [CrossRef]
- Korlatowicz, A.; Pabian, P.; Solich, J.; Kolasa, M.; Latocha, K.; Dziedzicka-Wasylewska, M.; Faron-Górecka, A. Habenula as a Possible Target for Treatment-Resistant Depression Phenotype in Wistar Kyoto Rats. Mol. Neurobiol. 2022, 60, 643–654. [Google Scholar] [CrossRef]
- Miller, E.M.; Pomerleau, F.; Huettl, P.; Russell, V.A.; Gerhardt, G.A.; Glaser, P.E. The spontaneously hypertensive and Wistar Kyoto rat models of ADHD exhibit sub-regional differences in dopamine release and uptake in the striatum and nucleus accumbens. Neuropharmacology 2012, 63, 1327–1334. [Google Scholar] [CrossRef] [PubMed]
- Sagvolden, T.; Johansen, E.B.; Wøien, G.; Walaas, S.I.; Storm-Mathisen, J.; Bergersen, L.H.; Hvalby, Ø.; Jensen, V.; Aase, H.; Russell, V.A.; et al. The spontaneously hypertensive rat model of ADHD—The importance of selecting the appropriate reference strain. Neuropharmacology 2009, 57, 619–626. [Google Scholar] [CrossRef]
- Sagvolden, T.; DasBanerjee, T.; Zhang-James, Y.; Middleton, F.; Faraone, S. Behavioral and genetic evidence for a novel animal model of Attention-Deficit/Hyperactivity Disorder Predominantly Inattentive Subtype. Behav. Brain Funct. 2008, 4, 56. [Google Scholar] [CrossRef]
- Drolet, G.; Proulx, K.; Pearson, D.; Rochford, J.; Deschepper, C.F. Comparisons of Behavioral and Neurochemical Characteristics between WKY, WKHA, and Wistar Rat Strains. Neuropsychopharmacology 2002, 27, 400–409. [Google Scholar] [CrossRef] [PubMed]
- Roessner, V.; Sagvolden, T.; DasBanerjee, T.; Middleton, F.; Faraone, S.; Walaas, S.; Becker, A.; Rothenberger, A.; Bock, N. Methylphenidate normalizes elevated dopamine transporter densities in an animal model of the attention-deficit/hyperactivity disorder combined type, but not to the same extent in one of the attention-deficit/hyperactivity disorder inattentive type. Neuroscience 2010, 167, 1183–1191. [Google Scholar] [CrossRef] [PubMed]
- Sagvolden, T.; Johansen, E.B. Rat Models of ADHD. Behav. Neurosci. Atten. Deficit Hyperact. Disord. Its Treat. 2011, 9, 301–315. [Google Scholar] [CrossRef]
- Yen, Y.-C.; Gassen, N.C.; Zellner, A.; Rein, T.; Landgraf, R.; Wotjak, C.T.; Anderzhanova, E. Glycogen synthase kinase-3β inhibition in the medial prefrontal cortex mediates paradoxical amphetamine action in a mouse model of ADHD. Front. Behav. Neurosci. 2015, 9, 67. [Google Scholar] [CrossRef] [PubMed]
- Pfaffl, M.W. A new mathematical model for relative quantification in real-time RT-PCR. Nucleic Acids Res. 2001, 29, e45. [Google Scholar] [CrossRef]
- Faron-Górecka, A.; Szlachta, M.; Kolasa, M.; Solich, J.; Górecki, A.; Kuśmider, M.; Żurawek, D.; Dziedzicka-Wasylewska, M. Understanding GPCR dimerization. Methods Cell Biol. 2019, 149, 155–178. [Google Scholar] [CrossRef]

| Gene | Forward | Reverse |
|---|---|---|
| Drd2 | 5′AATGGGTCAGAAGGGAA3′ | 5′AGTGGGCAGGAGATGG3′ |
| Rgs2 | 5′GCGGAGAAAATGAAGCGGACA3′ | 5′TCTTGCCAGTTTTGGGCTTCCC3′ |
| Erk2 (Mapk1) | 5′CCTCAAGCCTTCCAACCTC3′ | 5′GCCCACAGACCAAATATCAATG3′ |
| Grk2 | 5′GCAGCACAAGACCAAAGACA3′ | 5′CAGTCCAGGGAACGAAAGAA3′ |
| Arrβ2 | 5′ACTTGGACAAAGTGGATCCT3′ | 5′GGGTCACAAACACTTTCCG3′ |
| β-catenin (Ctnnb1) | 5′TCCCAGTCCTTCACGCAAGAG3′ | 5′GTGGCAAGTTCCGCGTCATC3′ |
| Gsk-3β | 5′AGACCAATAACGCCGCTTCTGC3′ | 5′AACGTGACCAGTGTTGCTGAGTG3′ |
| Darp32 (Ppp1r1b) | 5′CATCACTGAAAGCTGTGCA3′ | 5′TAACTCGTCCTCTTCCTCC3′ |
| Gnai2 | 5′TTCAAGATGTTTGATGTGGG3′ | 5′GCTATCGAATAGCTTCATGC3′ |
| Gio (Gnao1) | 5′TTACAAAGGCCAAAGGTCAT3′ | 5′ AACAAGTTTTTCATCGATAC3′ |
Disclaimer/Publisher’s Note: The statements, opinions and data contained in all publications are solely those of the individual author(s) and contributor(s) and not of MDPI and/or the editor(s). MDPI and/or the editor(s) disclaim responsibility for any injury to people or property resulting from any ideas, methods, instructions or products referred to in the content. |
© 2023 by the authors. Licensee MDPI, Basel, Switzerland. This article is an open access article distributed under the terms and conditions of the Creative Commons Attribution (CC BY) license (https://creativecommons.org/licenses/by/4.0/).
Share and Cite
Korlatowicz, A.; Kolasa, M.; Pabian, P.; Solich, J.; Latocha, K.; Dziedzicka-Wasylewska, M.; Faron-Górecka, A. Altered Intracellular Signaling Associated with Dopamine D2 Receptor in the Prefrontal Cortex in Wistar Kyoto Rats. Int. J. Mol. Sci. 2023, 24, 5941. https://doi.org/10.3390/ijms24065941
Korlatowicz A, Kolasa M, Pabian P, Solich J, Latocha K, Dziedzicka-Wasylewska M, Faron-Górecka A. Altered Intracellular Signaling Associated with Dopamine D2 Receptor in the Prefrontal Cortex in Wistar Kyoto Rats. International Journal of Molecular Sciences. 2023; 24(6):5941. https://doi.org/10.3390/ijms24065941
Chicago/Turabian StyleKorlatowicz, Agata, Magdalena Kolasa, Paulina Pabian, Joanna Solich, Katarzyna Latocha, Marta Dziedzicka-Wasylewska, and Agata Faron-Górecka. 2023. "Altered Intracellular Signaling Associated with Dopamine D2 Receptor in the Prefrontal Cortex in Wistar Kyoto Rats" International Journal of Molecular Sciences 24, no. 6: 5941. https://doi.org/10.3390/ijms24065941
APA StyleKorlatowicz, A., Kolasa, M., Pabian, P., Solich, J., Latocha, K., Dziedzicka-Wasylewska, M., & Faron-Górecka, A. (2023). Altered Intracellular Signaling Associated with Dopamine D2 Receptor in the Prefrontal Cortex in Wistar Kyoto Rats. International Journal of Molecular Sciences, 24(6), 5941. https://doi.org/10.3390/ijms24065941

