Local Liver Irradiation Concurrently Versus Sequentially with Cabozantinib on the Pharmacokinetics and Biodistribution in Rats
Abstract
1. Introduction
2. Results
2.1. Method of Validation for Linearity, Recovery, Precision, Accuracy and Stability
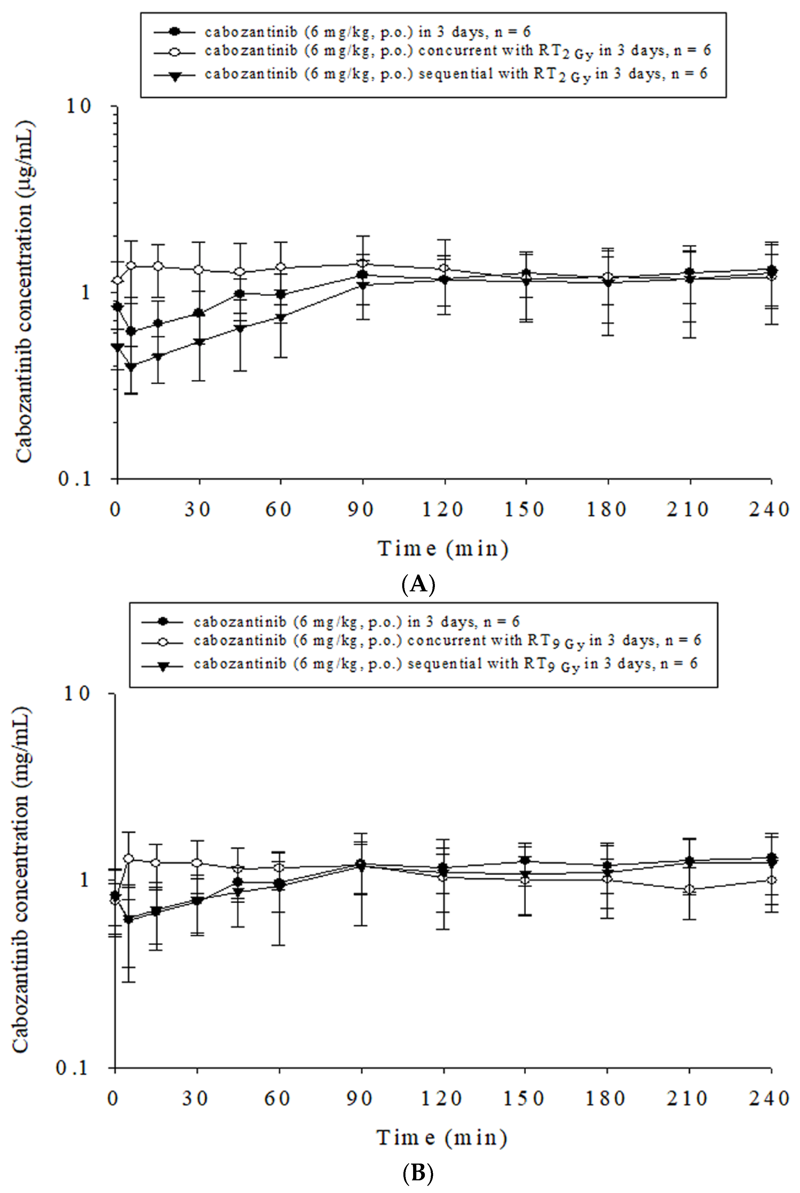
2.2. Neither RT2Gy nor RT9Gy Modulated the AUC of Cabozantinib in the Plasma of Freely Moving Rats
2.3. Organ Distribution According to Different RT and Lenvatinib Regimens
3. Discussion
4. Materials and Methods
4.1. Chemicals and Reagents
4.2. High-Performance Liquid Chromatography-Ultraviolet (HPLC-UV)
4.3. Method Validation: Calibration Curve
4.4. Method validation: Precision, Accuracy and Recovery
4.5. Experimental Animals and Drug Administration
4.5.1. Animals and Sample Preparation
4.5.2. Irradiation Technique
4.5.3. Drug Delivery with RT under Different Time Schedules and Doses
4.5.4. Sample Preparation
4.5.5. Organ Distribution
4.5.6. Organ Samples
4.6. Pharmacokinetics and Data Analysis
4.7. Calculations and Data Analysis
5. Conclusions
Author Contributions
Funding
Institutional Review Board Statement
Informed Consent Statement
Data Availability Statement
Acknowledgments
Conflicts of Interest
References
- Sung, H.; Ferlay, J.; Siegel, R.L.; Laversanne, M.; Soerjomataram, I.; Jemal, A.; Bray, F. Global cancer statistics 2020: GLOBOCAN estimates of incidence and mortality worldwide for 36 cancers in 185 countries. CA Cancer J. Clin. 2021, 71, 209–249. [Google Scholar] [CrossRef] [PubMed]
- Llovet, J.M.; Ricci, S.; Mazzaferro, V.; Hilgard, P.; Gane, E.; Blanc, J.F.; de Oliveira, A.C.; Santoro, A.; Raoul, J.L.; Forner, A.; et al. Sorafenib in advanced hepatocellular carcinoma. N. Engl. J. Med. 2008, 359, 378–390. [Google Scholar] [CrossRef]
- Cheng, A.L.; Kang, Y.K.; Chen, Z.; Tsao, C.J.; Qin, S.; Kim, J.S.; Luo, R.; Feng, J.; Ye, S.; Yang, T.S.; et al. Efficacy and safety of sorafenib in patients in the Asia-Pacific region with advanced hepatocellular carcinoma: A phase III randomised, double-blind, placebo-controlled trial. Lancet Oncol. 2009, 10, 25–34. [Google Scholar] [CrossRef]
- Bruix, J.; Qin, S.; Merle, P.; Granito, A.; Huang, Y.H.; Bodoky, G.; Pracht, M.; Yokosuka, O.; Rosmorduc, O.; Breder, V.; et al. Regorafenib for patients with hepatocellular carcinoma who progressed on sorafenib treatment (RESORCE): A randomised, double-blind, placebo-controlled, phase 3 trial. Lancet 2017, 389, 56–66. [Google Scholar] [CrossRef] [PubMed]
- Liu, L.; Cao, Y.; Chen, C.; Zhang, X.; McNabola, A.; Wilkie, D.; Wilhelm, S.; Lynch, M.; Carter, C. Sorafenib blocks the RAF/MEK/ERK pathway, inhibits tumor angiogenesis, and induces tumor cell apoptosis in hepatocellular carcinoma model PLC/PRF/5. Cancer Res. 2006, 66, 11851–11858. [Google Scholar] [CrossRef]
- Wilhelm, S.; Carter, C.; Lynch, M.; Lowinger, T.; Dumas, J.; Smith, R.A.; Schwartz, B.; Simantov, R.; Kelley, S. Discovery and development of sorafenib: A multikinase inhibitor for treating cancer. Nat. Rev. Drug Discov. 2006, 5, 835–844. [Google Scholar] [CrossRef]
- Kudo, M.; Finn, R.S.; Qin, S.; Han, K.H.; Ikeda, K.; Piscaglia, F.; Baron, A.; Park, J.W.; Han, G.; Jassem, J.; et al. Lenvatinib versus sorafenib in first-line treatment of patients with unresectable hepatocellular carcinoma: A randomised phase 3 non-inferiority trial. Lancet 2018, 391, 1163–1173. [Google Scholar] [CrossRef]
- Matsui, J.; Funahashi, Y.; Uenaka, T.; Watanabe, T.; Tsuruoka, A.; Asada, M. Multi-kinase inhibitor E7080 suppresses lymph node and lung metastases of human mammary breast tumor MDA-MB-231 via inhibition of vascular endothelial growth factor-receptor (VEGF-R) 2 and VEGF-R3 kinase. Clin. Cancer Res. 2008, 14, 5459–5465. [Google Scholar] [CrossRef]
- Yamamoto, Y.; Matsui, J.; Matsushima, T.; Obaishi, H.; Miyazaki, K.; Nakamura, K.; Tohyama, O.; Semba, T.; Yamaguchi, A.; Hoshi, S.S.; et al. Lenvatinib, an angiogenesis inhibitor targeting VEGFR/FGFR, shows broad antitumor activity in human tumor xenograft models associated with microvessel density and pericyte coverage. Vasc. Cell 2014, 6, 18. [Google Scholar] [CrossRef] [PubMed]
- Abou-Alfa, G.K.; Meyer, T.; Cheng, A.L.; El-Khoueiry, A.B.; Rimassa, L.; Ryoo, B.Y.; Cicin, I.; Merle, P.; Chen, Y.; Park, J.W.; et al. Cabozantinib in Patients with Advanced and Progressing Hepatocellular Carcinoma. N. Engl. J. Med. 2018, 379, 54–63. [Google Scholar] [CrossRef]
- Yakes, F.M.; Chen, J.; Tan, J.; Yamaguchi, K.; Shi, Y.; Yu, P.; Qian, F.; Chu, F.; Bentzien, F.; Cancilla, B.; et al. Cabozantinib (XL184), a novel MET and VEGFR2 inhibitor, simultaneously suppresses metastasis, angiogenesis, and tumor growth. Mol. Cancer Ther. 2011, 10, 2298–2308. [Google Scholar] [CrossRef] [PubMed]
- Potters, L.; Kavanagh, B.; Galvin, J.M.; Hevezi, J.M.; Janjan, N.A.; Larson, D.A.; Mehta, M.P.; Ryu, S.; Steinberg, M.; Timmerman, R.; et al. American Society for Therapeutic Radiology and Oncology (ASTRO) and American College of Radiology (ACR) practice guideline for the performance of stereotactic body radiation therapy. Int. J. Radiat. Oncol. Biol. Phys. 2010, 76, 326–332. [Google Scholar] [CrossRef] [PubMed]
- Mukohara, T.; Civiello, G.; Davis, I.J.; Taffaro, M.L.; Christensen, J.; Fisher, D.E.; Johnson, B.E.; Janne, P.A. Inhibition of the met receptor in mesothelioma. Clin. Cancer Res. 2005, 11, 8122–8130. [Google Scholar] [CrossRef]
- Ou, W.B.; Corson, J.M.; Flynn, D.L.; Lu, W.P.; Wise, S.C.; Bueno, R.; Sugarbaker, D.J.; Fletcher, J.A. AXL regulates mesothelioma proliferation and invasiveness. Oncogene 2011, 30, 1643–1652. [Google Scholar] [CrossRef]
- Bergerot, P.; Lamb, P.; Wang, E.; Pal, S.K. Cabozantinib in Combination with Immunotherapy for Advanced Renal Cell Carcinoma and Urothelial Carcinoma: Rationale and Clinical Evidence. Mol. Cancer Ther. 2019, 18, 2185–2193. [Google Scholar] [CrossRef]
- Sukhatme, V.P.; Cao, X.M.; Chang, L.C.; Tsai-Morris, C.H.; Stamenkovich, D.; Ferreira, P.C.; Cohen, D.R.; Edwards, S.A.; Shows, T.B.; Curran, T.; et al. A zinc finger-encoding gene coregulated with c-fos during growth and differentiation, and after cellular depolarization. Cell 1988, 53, 37–43. [Google Scholar] [CrossRef] [PubMed]
- Datta, R.; Hallahan, D.E.; Kharbanda, S.M.; Rubin, E.; Sherman, M.L.; Huberman, E.; Weichselbaum, R.R.; Kufe, D.W. Involvement of reactive oxygen intermediates in the induction of c-jun gene transcription by ionizing radiation. Biochemistry 1992, 31, 8300–8306. [Google Scholar] [CrossRef] [PubMed]
- Eyries, M.; Collins, T.; Khachigian, L.M. Modulation of growth factor gene expression in vascular cells by oxidative stress. Endothel. J. Endothel. Cell Res. 2004, 11, 133–139. [Google Scholar] [CrossRef]
- Hsieh, C.H.; Chen, Y.J.; Tsai, T.H.; Wang, L.Y.; Tai, H.C.; Huang, H.L.; Huang, Y.C. Robust combination of liver stereotactic body radiotherapy modulates pharmacokinetics of sorafenib toward preferable parameters. Sci. Rep. 2020, 10, 9575. [Google Scholar] [CrossRef] [PubMed]
- Dawson, L.A.; Winter, K.A.; Knox, J.J.; Zhu, A.X.; Krishnan, S.; Guha, C.; Kachnic, L.A.; Gillin, M.T.; Hong, T.S.; Craig, T.; et al. NRG/RTOG 1112: Randomized phase III study of sorafenib vs. stereotactic body radiation therapy (SBRT) followed by sorafenib in hepatocellular carcinoma (HCC). J. Clin. Oncol. 2023, 41, 489. [Google Scholar] [CrossRef]
- Tsai, T.H.; Chen, Y.J.; Wang, L.Y.; Hsieh, C.H. Effect of Synchronous Versus Sequential Regimens on the Pharmacokinetics and Biodistribution of Regorafenib with Irradiation. Pharmaceutics 2021, 13, 386. [Google Scholar] [CrossRef]
- Tsai, T.H.; Chen, Y.J.; Wang, L.Y.; Hsieh, C.H. Impact of Local Liver Irradiation Concurrent Versus Sequential with Lenvatinib on Pharmacokinetics and Biodistribution. Cancers 2021, 13, 1598. [Google Scholar] [CrossRef] [PubMed]
- Nguyen, L.; Holland, J.; Miles, D.; Engel, C.; Benrimoh, N.; O’Reilly, T.; Lacy, S. Pharmacokinetic (PK) drug interaction studies of cabozantinib: Effect of CYP3A inducer rifampin and inhibitor ketoconazole on cabozantinib plasma PK and effect of cabozantinib on CYP2C8 probe substrate rosiglitazone plasma PK. J. Clin. Pharmacol. 2015, 55, 1012–1023. [Google Scholar] [CrossRef] [PubMed]
- Deng, S.; Solinas, A.; Calvisi, D.F. Cabozantinib for HCC Treatment, From Clinical Back to Experimental Models. Front. Oncol. 2021, 11, 756672. [Google Scholar] [CrossRef] [PubMed]
- Augustin, H.G.; Koh, G.Y.; Thurston, G.; Alitalo, K. Control of vascular morphogenesis and homeostasis through the angiopoietin-Tie system. Nat. Rev. Mol. Cell Biol. 2009, 10, 165–177. [Google Scholar] [CrossRef]
- Wilhelm, S.M.; Dumas, J.; Adnane, L.; Lynch, M.; Carter, C.A.; Schutz, G.; Thierauch, K.H.; Zopf, D. Regorafenib (BAY 73-4506): A new oral multikinase inhibitor of angiogenic, stromal and oncogenic receptor tyrosine kinases with potent preclinical antitumor activity. Int. J. Cancer 2011, 129, 245–255. [Google Scholar] [CrossRef]
- Zhou, L.; Liu, X.D.; Sun, M.; Zhang, X.; German, P.; Bai, S.; Ding, Z.; Tannir, N.; Wood, C.G.; Matin, S.F.; et al. Targeting MET and AXL overcomes resistance to sunitinib therapy in renal cell carcinoma. Oncogene 2016, 35, 2687–2697. [Google Scholar] [CrossRef]
- Bouattour, M.; Raymond, E.; Qin, S.; Cheng, A.L.; Stammberger, U.; Locatelli, G.; Faivre, S. Recent developments of c-Met as a therapeutic target in hepatocellular carcinoma. Hepatology 2018, 67, 1132–1149. [Google Scholar] [CrossRef]
- Mathew, A.S.; Atenafu, E.G.; Owen, D.; Maurino, C.; Brade, A.; Brierley, J.; Dinniwell, R.; Kim, J.; Cho, C.; Ringash, J.; et al. Long term outcomes of stereotactic body radiation therapy for hepatocellular carcinoma without macrovascular invasion. Eur. J. Cancer 2020, 134, 41–51. [Google Scholar] [CrossRef]
- Cheng, J.C.; Chou, C.H.; Kuo, M.L.; Hsieh, C.Y. Radiation-enhanced hepatocellular carcinoma cell invasion with MMP-9 expression through PI3K/Akt/NF-kappaB signal transduction pathway. Oncogene 2006, 25, 7009–7018. [Google Scholar] [CrossRef]
- Clemenson, C.; Chargari, C.; Liu, W.; Mondini, M.; Ferte, C.; Burbridge, M.F.; Cattan, V.; Jacquet-Bescond, A.; Deutsch, E. The MET/AXL/FGFR Inhibitor S49076 Impairs Aurora B Activity and Improves the Antitumor Efficacy of Radiotherapy. Mol. Cancer Ther. 2017, 16, 2107–2119. [Google Scholar] [CrossRef] [PubMed]
- Reppingen, N.; Helm, A.; Doleschal, L.; Durante, M.; Fournier, C. A Combination of Cabozantinib and Radiation Does Not Lead to an Improved Growth Control of Tumors in a Preclinical 4T1 Breast Cancer Model. Front. Oncol. 2021, 11, 788182. [Google Scholar] [CrossRef]
- Loo Gan, C.; Huang, J.; Pan, E.; Xie, W.; Schmidt, A.L.; Labaki, C.; Meza, L.; Bouchard, G.; Li, H.; Jackson-Spence, F.; et al. Real-world Practice Patterns and Safety of Concurrent Radiotherapy and Cabozantinib in Metastatic Renal Cell Carcinoma: Results from the International Metastatic Renal Cell Carcinoma Database Consortium. Eur. Urol. Oncol. 2022; in press. [Google Scholar] [CrossRef]
- Wang, M.; Kong, X.; Xie, Y.; He, C.; Wang, T.; Zhou, H. Role of TLR-4 in anti-beta2-glycoprotein I-induced activation of peritoneal macrophages and vascular endothelial cells in mice. Mol. Med. Rep. 2019, 19, 4353–4363. [Google Scholar] [PubMed]
- Li, X.; Ma, L.; Wei, Y.; Gu, J.; Liang, J.; Li, S.; Cui, Y.; Liu, R.; Huang, H.; Yang, C.; et al. Cabozantinib ameliorates lipopolysaccharide-induced lung inflammation and bleomycin--induced early pulmonary fibrosis in mice. Int. Immunopharmacol. 2021, 101, 108327. [Google Scholar] [CrossRef] [PubMed]
- Ipsen Pharma. Cabometyx Film-Coated Tablets: EU Summary of Product Characteristics. Available online: https://www.ema.europa.eu (accessed on 14 January 2019).
- Exelixis Inc. Cabometyx® (Cabozantinib) Tablets for Oral Use: US Prescribing Information. Available online: https://cabometyx.com/resources (accessed on 14 January 2019).
- Puccini, A.; Marin-Ramos, N.I.; Bergamo, F.; Schirripa, M.; Lonardi, S.; Lenz, H.J.; Loupakis, F.; Battaglin, F. Safety and Tolerability of c-MET Inhibitors in Cancer. Drug Saf. 2019, 42, 211–233. [Google Scholar] [CrossRef]
- Dovedi, S.J.; Adlard, A.L.; Lipowska-Bhalla, G.; McKenna, C.; Jones, S.; Cheadle, E.J.; Stratford, I.J.; Poon, E.; Morrow, M.; Stewart, R.; et al. Acquired resistance to fractionated radiotherapy can be overcome by concurrent PD-L1 blockade. Cancer Res. 2014, 74, 5458–5468. [Google Scholar] [CrossRef]
- Hodge, J.W.; Ardiani, A.; Farsaci, B.; Kwilas, A.R.; Gameiro, S.R. The tipping point for combination therapy: Cancer vaccines with radiation, chemotherapy, or targeted small molecule inhibitors. Semin. Oncol. 2012, 39, 323–339. [Google Scholar] [CrossRef]
- Tanaka, M.; Siemann, D.W. Therapeutic Targeting of the Gas6/Axl Signaling Pathway in Cancer. Int. J. Mol. Sci. 2021, 22, 9953. [Google Scholar] [CrossRef]
- Aguilera, T.A.; Rafat, M.; Castellini, L.; Shehade, H.; Kariolis, M.S.; Hui, A.B.; Stehr, H.; von Eyben, R.; Jiang, D.; Ellies, L.G.; et al. Reprogramming the immunological microenvironment through radiation and targeting Axl. Nat. Commun. 2016, 7, 13898. [Google Scholar] [CrossRef]
- Kwilas, A.R.; Ardiani, A.; Donahue, R.N.; Aftab, D.T.; Hodge, J.W. Dual effects of a targeted small-molecule inhibitor (cabozantinib) on immune-mediated killing of tumor cells and immune tumor microenvironment permissiveness when combined with a cancer vaccine. J. Transl. Med. 2014, 12, 294. [Google Scholar] [CrossRef]
- Santoni, M.; Iacovelli, R.; Colonna, V.; Klinz, S.; Mauri, G.; Nuti, M. Antitumor effects of the multi-target tyrosine kinase inhibitor cabozantinib: A comprehensive review of the preclinical evidence. Expert. Rev. Anticancer Ther. 2021, 21, 1029–1054. [Google Scholar] [CrossRef] [PubMed]
- Hou, W.; Ding, M.; Li, X.; Zhou, X.; Zhu, Q.; Varela-Ramirez, A.; Yi, C. Comparative evaluation of cardiovascular risks among nine FDA-approved VEGFR-TKIs in patients with solid tumors: A Bayesian network analysis of randomized controlled trials. J. Cancer Res. Clin. Oncol. 2021, 147, 2407–2420. [Google Scholar] [CrossRef]
- Alhussein, M.; Hotte, S.J.; Leong, D.P. Reversible Cabozantinib-Induced Cardiomyopathy. Can. J. Cardiol. 2019, 35, 544.e1–544.e2. [Google Scholar] [CrossRef]
- Ishiguchi, H.; Uchida, M.; Okamura, T.; Kobayashi, S.; Yano, M. Acute heart failure following the initiation of cabozantinib, a multikinase inhibitor: A case report. J. Cardiol. Cases 2022, 26, 217–220. [Google Scholar] [CrossRef] [PubMed]
- Buttar, C.; Lakhdar, S.; Nassar, M.; Landry, I.; Munira, M. Cabozantinib-Induced Severe Cardiac Dysfunction: A Case Report and a Systematic Review of the Literature. Cureus 2022, 14, e23740. [Google Scholar] [CrossRef] [PubMed]
- Zhao, H.; Nolley, R.; Chan, A.M.W.; Rankin, E.B.; Peehl, D.M. Cabozantinib inhibits tumor growth and metastasis of a patient-derived xenograft model of papillary renal cell carcinoma with MET mutation. Cancer Biol. Ther. 2017, 18, 863–871. [Google Scholar] [CrossRef] [PubMed]
- Bhardwaj, V.; Cascone, T.; Cortez, M.A.; Amini, A.; Evans, J.; Komaki, R.U.; Heymach, J.V.; Welsh, J.W. Modulation of c-Met signaling and cellular sensitivity to radiation: Potential implications for therapy. Cancer 2013, 119, 1768–1775. [Google Scholar] [CrossRef] [PubMed]
- Purdy, J.A. Dose to normal tissues outside the radiation therapy patient’s treated volume: A review of different radiation therapy techniques. Health Phys. 2008, 95, 666–676. [Google Scholar] [CrossRef] [PubMed]
- Dong, Y.; Shen, X.; He, M.; Wu, Z.; Zheng, Q.; Wang, Y.; Chen, Y.; Wu, S.; Cui, J.; Zeng, Z. Activation of the JNK-c-Jun pathway in response to irradiation facilitates Fas ligand secretion in hepatoma cells and increases hepatocyte injury. J. Exp. Clin. Cancer Res. 2016, 35, 114. [Google Scholar] [CrossRef]
- Hsu, C.H.; Huang, Y.H.; Lin, S.M.; Hsu, C. AXL and MET in Hepatocellular Carcinoma: A Systematic Literature Review. Liver Cancer 2022, 11, 94–112. [Google Scholar] [CrossRef]





| RT 2Gy | RT 9Gy | |||||
|---|---|---|---|---|---|---|
| PK Parameters | Unit | Cabozantinib 6 mg/kg (n = 6) | RT Concurrent with Cabozantinib 6 mg/kg (n = 6) | RT Sequential with Cabozantinib 6 mg/kg (n = 6) | RT Concurrent with Cabozantinib 6 mg/kg (n = 6) | RT Sequential with Cabozantinib 6 mg/kg (n = 6) |
| AUC0-T | min*µg/mL | 266.6 ± 70.6 | 306.2 ± 113 | 233.9 ± 92.5 | 257.6 ± 76.0 | 250.9 ± 101 |
| Tmax | min | 135.0 ± 94.4 | 36.67 ± 31.7 * | 185.0 ± 55.0 a | 38.33 ± 70.1 | 175.0 ± 66.9 |
| Cmax | µg/mL | 1.444 ± 0.44 | 1.599 ± 0.47 | 1.359 ± 0.54 | 1.372 ± 0.47 | 1.353 ± 0.49 |
| T1/2 | min | 1091 ± 362 | 555.4 ± 351 * | 336.5 ± 149 * | 449.0 ± 272 * | 1578 ± 1196 |
| Vss | mL/kg | 4831 ± 1307 | 3942 ± 1303 | 5668 ± 2220 | 4204 ± 1272 | 3153 ± 482 |
| Cl | mL/min/kg | 3.401 ± 1.54 | 6.695 ± 5.65 | 11.87 ± 0.74 ** | 8.766 ± 5.30 | 2.056 ± 1.77 |
| MRT | min | 1601 ± 517 | 824.4 ± 507 * | 543.3 ± 195 * | 674.6 ± 386 * | 2312 ± 1736 |
| RT 2Gy | RT 9Gy | ||||
|---|---|---|---|---|---|
| Organ | Cabozantinib 6 mg/kg (n = 6) | RT Concurrent with Cabozantinib 6 mg/kg (n = 6) | RT Sequential with Cabozantinib 6 mg/kg (n = 6) | RT Concurrent with Cabozantinib 6 mg/kg (n = 6) | RT Sequential with Cabozantinib 6 mg/kg (n = 6) |
| Heart | 0.14 ± 0.06 | 0.52 ± 0.39 * | 0.26 ± 0.11 * | 0.16 ± 0.05 | 0.29 ± 0.09 *b |
| Liver | 0.44 ± 0.19 | 0.39 ± 0.16 | 0.47 ± 0.18 | 0.28 ± 0.14 | 0.59 ± 0.24 b |
| Spleen | 0.12 ± 0.09 | 0.16 ± 0.03 | 0.16 ± 0.05 | 0.20 ± 0.07 | 0.16 ± 0.04 |
| Lung | 0.25 ± 0.05 | 0.40 ± 0.34 | 0.35 ± 0.19 | 0.16 ± 0.10 | 0.36 ± 0.08 *b |
| Kidney | 0.22 ± 0.06 | 0.17 ± 0.06 | 0.29 ± 0.09 a | 0.16 ± 0.07 | 0.30 ± 0.14 b |
| Brain | 0.00 ± 0.00 | 0.00 ± 0.00 | 0.00 ± 0.00 | 0.00 ± 0.00 | 0.00 ± 0.00 |
Disclaimer/Publisher’s Note: The statements, opinions and data contained in all publications are solely those of the individual author(s) and contributor(s) and not of MDPI and/or the editor(s). MDPI and/or the editor(s) disclaim responsibility for any injury to people or property resulting from any ideas, methods, instructions or products referred to in the content. |
© 2023 by the authors. Licensee MDPI, Basel, Switzerland. This article is an open access article distributed under the terms and conditions of the Creative Commons Attribution (CC BY) license (https://creativecommons.org/licenses/by/4.0/).
Share and Cite
Huang, Y.-C.; Hsieh, P.-Y.; Wang, L.-Y.; Tsai, T.-H.; Chen, Y.-J.; Hsieh, C.-H. Local Liver Irradiation Concurrently Versus Sequentially with Cabozantinib on the Pharmacokinetics and Biodistribution in Rats. Int. J. Mol. Sci. 2023, 24, 5849. https://doi.org/10.3390/ijms24065849
Huang Y-C, Hsieh P-Y, Wang L-Y, Tsai T-H, Chen Y-J, Hsieh C-H. Local Liver Irradiation Concurrently Versus Sequentially with Cabozantinib on the Pharmacokinetics and Biodistribution in Rats. International Journal of Molecular Sciences. 2023; 24(6):5849. https://doi.org/10.3390/ijms24065849
Chicago/Turabian StyleHuang, Yu-Chuen, Pei-Ying Hsieh, Li-Ying Wang, Tung-Hu Tsai, Yu-Jen Chen, and Chen-Hsi Hsieh. 2023. "Local Liver Irradiation Concurrently Versus Sequentially with Cabozantinib on the Pharmacokinetics and Biodistribution in Rats" International Journal of Molecular Sciences 24, no. 6: 5849. https://doi.org/10.3390/ijms24065849
APA StyleHuang, Y.-C., Hsieh, P.-Y., Wang, L.-Y., Tsai, T.-H., Chen, Y.-J., & Hsieh, C.-H. (2023). Local Liver Irradiation Concurrently Versus Sequentially with Cabozantinib on the Pharmacokinetics and Biodistribution in Rats. International Journal of Molecular Sciences, 24(6), 5849. https://doi.org/10.3390/ijms24065849

