Stereochemical Study of the Super Large Tetrakis Alkaloid Alasmontamine A by Means of an Advanced Computational NMR
Abstract
1. Introduction
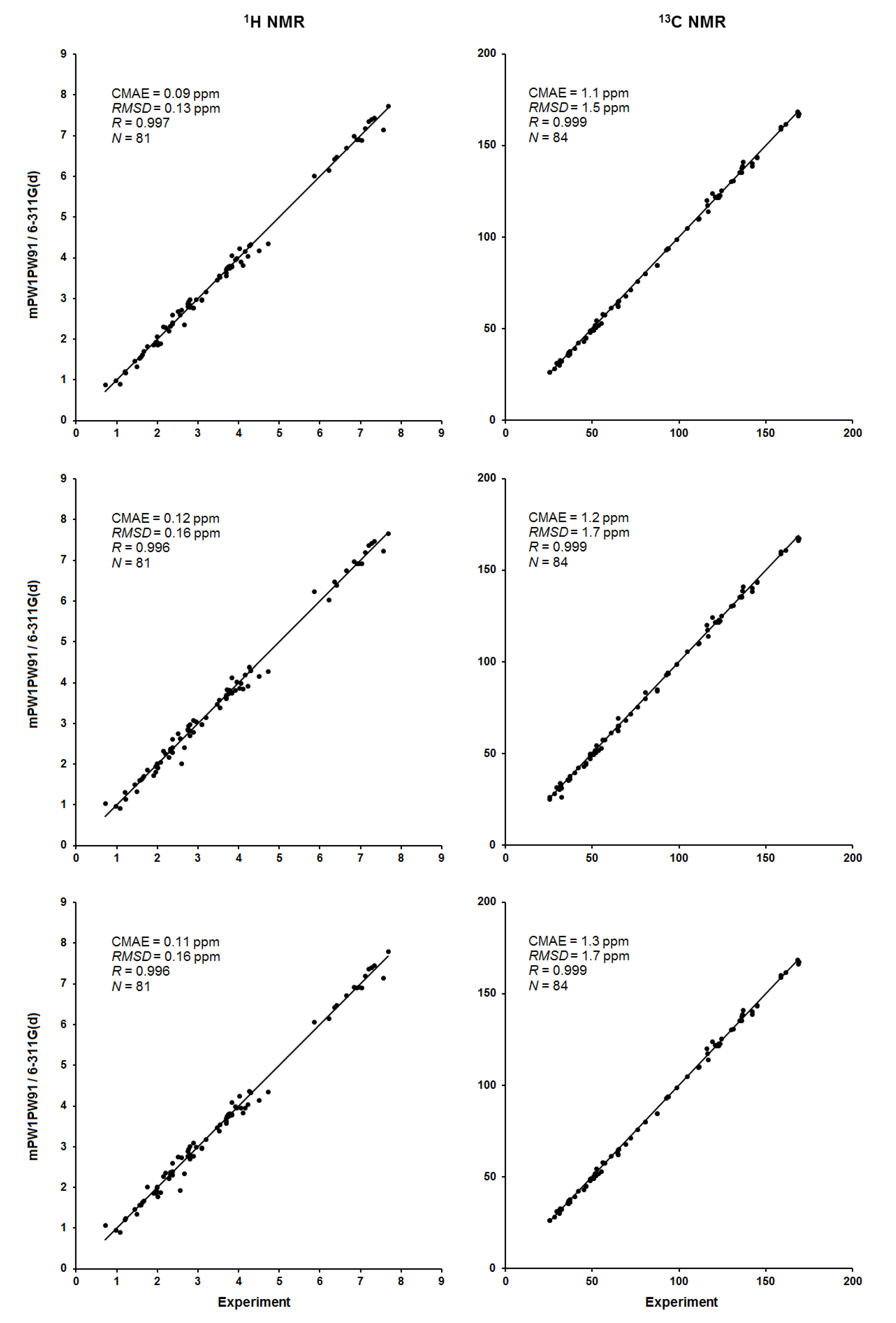
2. Results and Discussion
3. Materials and Methods
3.1. Conformational Search and Geometry Optimization
3.2. Calculation of Chemical Shifts
3.3. Topological Analysis
3.4. Estimation of Probability Distribution of Diastereomers
4. Conclusions
Supplementary Materials
Author Contributions
Funding
Institutional Review Board Statement
Informed Consent Statement
Data Availability Statement
Acknowledgments
Conflicts of Interest
Abbreviations
| BCP | Bond Critical Point |
| CMAE | Corrected Mean Absolute Error |
| COSY | COrrelated SpectroscopY |
| DFT | Density Functional Theory |
| HMBC | Heteronuclear Multiple Bond Correlation |
| HOHAHA | HOmonuclear HArtmann–HAhn spectroscopy |
| HSQC | Heteronuclear Single Quantum Coherence |
| IEF-PCM | Equation Formalism Polarizable Continuum Model |
| IUPAC | International Union of Pure and Applied Chemistry |
| MAE | Mean Absolute Error |
| NCMAE | Normalized Corrected Mean Absolute Error |
| NMR | Nuclear Magnetic Resonance |
| NOESY | Nuclear Overhauser Effect SpectroscopY |
| NRMSD | Normalized Root-Mean-Square Deviation |
| PES | Potential Energy Surface |
| PBE | Perdew–Burke–Ernzerhof (functional) |
| QTAIM | Atoms in Molecules |
| RMSD | Root-Mean-Square Deviation: A Quantum Theory |
References
- Sauer, S.P.A. Molecular Electromagnetism. A Computational Chemistry Approach; University Press: Oxford, UK, 2012; 322p. [Google Scholar]
- Jensen, F. Introduction to Computational Chemistry; John Wiley and Sons Ltd.: Chichester, UK, 2007; 624p. [Google Scholar]
- Semenov, V.A.; Krivdin, L.B. Computational NMR of natural products. Russ. Chem. Rev. 2022, 91, RCR5027. [Google Scholar] [CrossRef]
- Semenov, V.A.; Krivdin, L.B. DFT computational schemes for 1H and 13C-NMR chemical shifts of natural products, exemplified by strychnine. Magn. Reson. Chem. 2020, 58, 56–64. [Google Scholar] [CrossRef] [PubMed]
- Semenov, V.A.; Samultsev, D.O.; Krivdin, L.B. 1H and 13C-NMR spectra of Strychnos alkaloids: Selected NMR updates. Int. J. Quant. Chem. 2020, 120, e26348. [Google Scholar] [CrossRef]
- Semenov, V.A.; Krivdin, L.B. Combined Computational NMR and Molecular Docking Scrutiny of Potential Natural SARS-CoV-2 Mpro Inhibitors. J. Phys. Chem. B 2022, 126, 2173–2187. [Google Scholar] [CrossRef] [PubMed]
- Semenov, V.A.; Krivdin, L.B. Computational 1H and 13C NMR of strychnobaillonine: On the way to larger molecules calculated at lower computational costs. Magn. Reson. Chem. 2021, 59, 108–116. [Google Scholar] [CrossRef]
- Semenov, V.A.; Krivdin, L.B. Computational 1H and 13C NMR of the trimeric monoterpenoid indole alkaloid strychnohexamine: Selected spectral updates. Magn. Reson. Chem. 2021, 59, 691–700. [Google Scholar] [CrossRef]
- Semenov, V.A.; Krivdin, L.B. Benchmark DFT calculations of 13C NMR chemical shifts of the natural antimalarial compounds with a new basis set 3z-S. Int. J. Quant. Chem. 2021, 120, e26639. [Google Scholar]
- Semenov, V.A.; Krivdin, L.B. Computational NMR of natural products: On the way to super large molecules exemplified with alasmontamine A. Magn. Reson. Chem. 2022, 60, 515–524. [Google Scholar] [CrossRef]
- Hirasawa, Y.; Miyama, S.; Hosoya, T.; Koyama, K.; Rahman, A.; Kusumawati, I.; Zaini, N.C.; Morita, H. Alasmontamine A, A first tetrakis monoterpene indole alkaloid from Tabernaemontana elegans Org. Lett. 2009, 11, 5718–5721. [Google Scholar]
- Smith, S.G.; Goodman, J.M. Assigning stereochemistry to single diastereoisomers by GIAO NMR calculation: The DP4 Probability. J. Am. Chem. Soc. 2010, 132, 12946–12959. [Google Scholar] [CrossRef]
- Grimblat, N.; Zanardi, M.M.; Sarotti, A.M. Beyond DP4: An Improved Probability for the Stereochemical Assignment of Isomeric Compounds using Quantum Chemical Calculations of NMR Shifts. J. Org. Chem. 2015, 80, 12526–12534. [Google Scholar] [CrossRef]
- Grimblat, N.; Gavín, J.A.; Daranas, A.H.; Sarotti, A.M. Combining the power of J coupling and DP4 analysis on stereochemical assignments: The J-DP4 methods. Org. Lett. 2019, 21, 4003–4007. [Google Scholar] [CrossRef]
- Sarotti, A.M. Successful combination of computationally inexpensive GIAO 13C NMR calculations and artificial neural network pattern recognition: A new strategy for simple and rapid detection of structural misassignments. Org. Biomol. Chem. 2013, 11, 4847–4859. [Google Scholar] [CrossRef]
- Zanardi, M.M.; Sarotti, A.M. GIAO C−H COSY simulations merged with artificial neural networks pattern recognition analysis. Pushing the structural validation a step forward. J. Org. Chem. 2015, 80, 9371–9378. [Google Scholar]
- Howarth, A.; Ermanis, K.; Goodman, J.M. DP4-AI automated NMR data analysis: Straight from spectrometer to structure. Chem. Sci. 2020, 11, 4351–4359. [Google Scholar] [CrossRef]
- Marcarino, M.O.; Zanardi, M.M.; Cicetti, S.; Sarotti, A.M. NMR Calculations with Quantum Methods: Development of New Tools for Structural Elucidation and Beyond. Acc. Chem. Res. 2020, 53, 1922–1932. [Google Scholar] [CrossRef]
- Costa, F.L.P.; de Albuquerque, A.C.F.; Fiorot, R.G.; Lião, L.M.; Martorano, L.H.; Mota, G.V.S.; Valverde, A.L.; Carneiro, J.W.M.; dos Santos Junior, F.M. Structural characterisation of natural products by means of quantum chemical calculations of NMR parameters: New insights. Org. Chem. Front. 2021, 8, 2019–2058. [Google Scholar] [CrossRef]
- Hoffmann, F.; Li, D.-W.; Sebastiani, D.; Brüschweiler, R. Improved Quantum Chemical NMR Chemical Shift Prediction of Metabolites in Aqueous Solution toward the Validation of Unknowns. J. Phys. Chem. A 2017, 121, 3071–3078. [Google Scholar] [CrossRef]
- Latypov, S.K.; Polyancev, F.M.; Yakhvarov, D.G.; Sinyashin, O.G. Quantum chemical calculations of 31P NMR chemical shifts: Scopes and limitations. Phys. Chem. Chem. Phys. 2015, 17, 6976–6987. [Google Scholar] [CrossRef]
- Semenov, V.A.; Krivdin, L.B. Simple and Versatile Scheme for the Stereochemical Identification of Natural Products and Diverse Organic Compounds with Multiple Asymmetric Centers. J. Phys. Chem. A 2021, 125, 10359–10372. [Google Scholar] [CrossRef]
- Grimblat, N.; Sarotti, A.M. Computational Chemistry to the Rescue: Modern Toolboxes for the Assignment of Complex Molecules by GIAO NMR Calculations. Chem. Eur. J. 2016, 22, 12246–12261. [Google Scholar] [CrossRef] [PubMed]
- Hehre, W.; Klunzinger, P.; Deppmeier, B.; Driessen, A.; Uchida, N.; Hashimoto, M.; Fukushi, E.; Takata., Y. Efficient Protocol for Accurately Calculating 13C Chemical Shifts of Conformationally Flexible Natural Products: Scope, Assessment, and Limitations. J. Nat. Prod. 2019, 82, 2299–2306. [Google Scholar] [CrossRef] [PubMed]
- Bader, R.F.W. Atoms in Molecules: A Quantum Theory; Clarendon Press: Oxford, UK, 1994; 456p. [Google Scholar]
- Schrödinger Release 2018-1: Maestro; Schrödinger, LLC.: New York, NY, USA, 2018. Available online: https://www.schrodinger.com/freemaestro (accessed on 8 March 2023).
- Frisch, M.J.; Trucks, G.W.; Schlegel, H.B.; Scuseria, G.E.; Robb, M.A.; Cheeseman, J.R.; Scalmani, G.; Barone, V.; Mennucci, B. GAUSSIAN 09, Revision, C.01; Gaussian, Inc.: Wallingford, CT, USA, 2009; Available online: http://www.gaussian.com (accessed on 8 March 2023).
- Tomasi, J.; Mennucci, B.; Cancès, E. The IEF version of the PCM solvation method: An overview of a new method addressed to study molecular solutes at the QM ab initio level. Theochem 1999, 464, 211–226. [Google Scholar] [CrossRef]
- Tomasi, J.; Mennucci, B.; Cammi, R. Quantum mechanical continuum solvation models. Chem. Rev. 2005, 105, 2999–3093. [Google Scholar] [CrossRef]
- Adamo, C.; Barone, V. Exchange functionals with improved long-range behavior and adiabatic connection methods without adjustable parameters: The mPW and mPW1PW models. J. Chem. Phys. 1998, 108, 664–675. [Google Scholar] [CrossRef]
- Frisch, M.J.; Pople, J.A.; Binkley, J.S. Self-consistent molecular orbital methods 25. Supplementary functions for Gaussian basis sets. J. Chem. Phys. 1984, 80, 3265–3269. [Google Scholar]
- Harris, R.K.; Becker, E.D.; Cabral de Menezes, S.M.; Granger, P.; Hoffman, R.E.; Zilm, K.W. Further conventions for NMR shielding and chemical shifts (IUPAC Recommendations 2008). Pure Appl. Chem. 2008, 80, 59–84. [Google Scholar] [CrossRef]
- Keith, T.A. AIMAll (Version 19.10.12); TK Gristmill Software: Overland Park, KS, USA, 2019; Available online: http://aim.tkgristmill.com (accessed on 8 March 2023).
- Cuadrado, C.; Daranas, A.H.; Sarotti, A.M. May the Force (Field) Be with You: On the Importance of Conformational Searches in the Prediction of NMR Chemical Shifts. Mar. Drugs 2022, 20, 699. [Google Scholar] [CrossRef]














| Nucleus | 0 | 15′ | 15‴ | Exp. |
|---|---|---|---|---|
| 1H NMR | ||||
| H-3α | 3.97 (0.29) | 4.00 (0.26) | 3.98 (0.28) | 4.26 |
| H-9 | 7.15 (0.41) | 7.24 (0.32) | 7.15 (0.41) | 7.56 |
| H-18α | 4.06 (−0.23) | 4.12 (−0.29) | 4.09 (−0.26) | 3.83 |
| H-21 | 4.18 (0.31) | 4.17 (0.32) | 4.15 (0.34) | 4.49 |
| H-17″β | 2.36 (0.30) | 2.41 (0.25) | 2.35 (0.31) | 2.66 |
| H-23″α | 4.36 (0.37) | 4.29 (0.44) | 4.36 (0.37) | 4.73 |
| 13C NMR | ||||
| C-11′ | 114.2 (2.3) | 114.0 (2.5) | 114.1 (2.4) | 116.5 |
| C-21′ | 62.6 (2.1) | 69.7 (−5.0) | 62.6 (2.1) | 64.7 |
| C-22′ | 31.5 (−2.2) | 32.1 (−2.8) | 31.8 (−2.5) | 29.3 |
| C-15″ | 84.6 (2.5) | 84.3 (2.8) | 84.5 (2.6) | 87.1 |
| C-22″ | 166.5 (2.1) | 166.5 (2.1) | 166.5 (2.1) | 168.6 |
| C-7‴ | 58.1 (−2.1) | 58.4 (−2.4) | 57.8 (−1.8) | 56.0 |
| C-8‴ | 137.8 (−1.9) | 138.1 (−2.2) | 135.8 (0.1) | 135.9 |
| C-9‴ | 120.0 (−4.1) | 119.7 (−3.8) | 120.2 (−4.3) | 115.9 |
| C-11‴ | 124.1 (−5.2) | 121.7 (−2.8) | 124.2 (−5.3) | 118.9 |
| C-12‴ | 138.7 (3.3) | 138.1 (3.9) | 138.3 (3.7) | 142.0 |
| C-13‴ | 141.2 (−4.3) | 140.7 (−3.8) | 141.2 (−4.3) | 136.9 |
| C-21‴ | 62.3 (2.4) | 62.3 (2.4) | 69.5 (−4.8) | 64.7 |
| C-23‴ | 43.1 (2.1) | 43.0 (2.2) | 43.2 (2.0) | 45.2 |
Disclaimer/Publisher’s Note: The statements, opinions and data contained in all publications are solely those of the individual author(s) and contributor(s) and not of MDPI and/or the editor(s). MDPI and/or the editor(s) disclaim responsibility for any injury to people or property resulting from any ideas, methods, instructions or products referred to in the content. |
© 2023 by the authors. Licensee MDPI, Basel, Switzerland. This article is an open access article distributed under the terms and conditions of the Creative Commons Attribution (CC BY) license (https://creativecommons.org/licenses/by/4.0/).
Share and Cite
Semenov, V.A.; Krivdin, L.B. Stereochemical Study of the Super Large Tetrakis Alkaloid Alasmontamine A by Means of an Advanced Computational NMR. Int. J. Mol. Sci. 2023, 24, 5572. https://doi.org/10.3390/ijms24065572
Semenov VA, Krivdin LB. Stereochemical Study of the Super Large Tetrakis Alkaloid Alasmontamine A by Means of an Advanced Computational NMR. International Journal of Molecular Sciences. 2023; 24(6):5572. https://doi.org/10.3390/ijms24065572
Chicago/Turabian StyleSemenov, Valentin A., and Leonid B. Krivdin. 2023. "Stereochemical Study of the Super Large Tetrakis Alkaloid Alasmontamine A by Means of an Advanced Computational NMR" International Journal of Molecular Sciences 24, no. 6: 5572. https://doi.org/10.3390/ijms24065572
APA StyleSemenov, V. A., & Krivdin, L. B. (2023). Stereochemical Study of the Super Large Tetrakis Alkaloid Alasmontamine A by Means of an Advanced Computational NMR. International Journal of Molecular Sciences, 24(6), 5572. https://doi.org/10.3390/ijms24065572

