Sustainable Secondary-Raw Materials, Natural Substances and Eco-Friendly Nanomaterial-Based Approaches for Improved Surface Performances: An Overview of What They Are and How They Work
Abstract
1. Introduction
2. Functional Protective Sustainable Coatings
- Material composition and porosity;
- Accidents, alterations, and previous restorations or treatments;
- Type of exposure (contaminants, climatic conditions, anthropological activities);
- Colonization via biological or microbiological agents.
- Hydrophobicity;
- Transpiration capabilities towards water vapors;
- UV-resistance;
- Chemical inertness;
- Strong resistance to harmful chemical agents;
- Lead to minimal alteration of the appearance of the coated product;
- Resistance to bacterial and mold colonization.
2.1. Anticorrosive Hybrid Nanostructured Coatings Doped with Green Corrosion Inhibitors
2.2. Eco-Friendly Approaches for Flame-Retardant Coatings Preparation
- Encouraging endothermic processes;
- Creating inert gases that reduce/dilute the air oxygen’s content;
- Producing an impermeable layer of protection;
- Introducing flame retardants that can scavenge and eliminate active radicals in the gas and condensed phases;
- Dehydrating, cyclizing, and cross-linking flame retardants and/or the polymer matrix to create a carbonaceous protective layer.
2.3. Hydrophobic and Water-Repellent Sustainable Coatings
2.3.1. Cultural Heritages Stones Protection
2.3.2. Functionalization Approaches for Textiles Surface Modification
2.4. Anti-Fouling and Fouling-Release Sustainable Coatings
2.4.1. Biocide-Free FR Sustainable Coatings
2.4.2. Eco-Friendly Biocide AF Coatings
3. Final Remarks and Future Perspectives
Author Contributions
Funding
Institutional Review Board Statement
Informed Consent Statement
Data Availability Statement
Acknowledgments
Conflicts of Interest
References
- Zhang, H.; Akhtar, F. Refractory Multicomponent Boron-Carbide High Entropy Oxidation-Protective Coating for Carbon-Carbon Composites. Surf. Coat. Technol. 2021, 425, 127697. [Google Scholar] [CrossRef]
- Awang, M.; Khalili, A.A.; Pedapati, S.R. A Review: Thin Protective Coating for Wear Protection in High-Temperature Application. Metals 2020, 10, 42. [Google Scholar] [CrossRef]
- Zhu, Q.; Chua, M.H.; Ong, P.J.; Cheng Lee, J.J.; Le Osmund Chin, K.; Wang, S.; Kai, D.; Ji, R.; Kong, J.; Dong, Z.; et al. Recent Advances in Nanotechnology-Based Functional Coatings for the Built Environment. Mater. Today Adv. 2022, 15, 100270. [Google Scholar] [CrossRef]
- Tejero-Martin, D.; Rezvani Rad, M.; McDonald, A.; Hussain, T. Beyond Traditional Coatings: A Review on Thermal-Sprayed Functional and Smart Coatings. J. Therm. Spray Technol. 2019, 28, 598–644. [Google Scholar] [CrossRef]
- Dhanyalayam, D.; Scrivano, L.; Parisi, O.I.; Sinicropi, M.S.; Fazio, A.; Saturnino, C.; Plutino, M.R.; Di Cristo, F.; Puoci, F.; Cappello, A.R.; et al. Biopolymeric Self-Assembled Nanoparticles for Enhanced Antibacterial Activity of Ag-Based Compounds. Int. J. Pharm. 2017, 517, 395–402. [Google Scholar] [CrossRef] [PubMed]
- Rebelo, P.; Costa-Rama, E.; Seguro, I.; Pacheco, J.G.; Nouws, H.P.A.; Cordeiro, M.N.D.S.; Delerue-Matos, C. Molecularly Imprinted Polymer-Based Electrochemical Sensors for Environmental Analysis. Biosens. Bioelectron. 2021, 172, 112719. [Google Scholar] [CrossRef]
- Trovato, V.; Sfameni, S.; Rando, G.; Rosace, G.; Libertino, S.; Ferri, A.; Plutino, M.R. A Review of Stimuli-Responsive Smart Materials for Wearable Technology in Healthcare: Retrospective, Perspective, and Prospective. Molecules 2022, 27, 5709. [Google Scholar] [CrossRef] [PubMed]
- Thiel, C.; Neumann, K.; Ludwar, F.; Rennings, A.; Doose, J.; Erni, D. Coating Damage Localization of Naval Vessels Using Artificial Neural Networks. Ocean Eng. 2019, 192, 106560. [Google Scholar] [CrossRef]
- Ielo, I.; Galletta, M.; Rando, G.; Sfameni, S.; Cardiano, P.; Sabatino, G.; Drommi, D.; Rosace, G.; Plutino, M.R. Design, Synthesis and Characterization of Hybrid Coatings Suitable for Geopolymeric-Based Supports for the Restoration of Cultural Heritage. IOP Conf. Ser. Mater. Sci. Eng. 2020, 777, 012003. [Google Scholar] [CrossRef]
- Krzak, J.; Szczurek, A.; Babiarczuk, B.; Gąsiorek, J.; Borak, B. Chapter 5—Sol–Gel Surface Functionalization Regardless of Form and Type of Substrate. In Micro and Nano Technologies; Elsevier: Amsterdam, The Netherlands, 2020; pp. 111–147. ISBN 978-0-12-821381-0. [Google Scholar]
- De Pasquale, G.; Sibona, S. Hybrid Materials Based on Polymers-Filled AM Steel Lattices with Energy Absorption Capabilities. Mech. Adv. Mater. Struct. 2022, 29, 2570–2580. [Google Scholar] [CrossRef]
- Tran, M.H.; Brilmayer, R.; Liu, L.; Zhuang, H.; Hess, C.; Andrieu-Brunsen, A.; Birkel, C.S. Synthesis of a Smart Hybrid MXene with Switchable Conductivity for Temperature Sensing. ACS Appl. Nano Mater. 2020, 3, 4069–4076. [Google Scholar] [CrossRef]
- Liras, M.; Barawi, M.; de la Peña O’Shea, V.A. Hybrid Materials Based on Conjugated Polymers and Inorganic Semiconductors as Photocatalysts: From Environmental to Energy Applications. Chem. Soc. Rev. 2019, 48, 5454–5487. [Google Scholar] [CrossRef] [PubMed]
- Ashraf, M.-T.; AlHammadi, A.A.; El-Sherbeeny, A.M.; Alhammadi, S.; Al Zoubi, W.; Ko, Y.G.; Abukhadra, M.R. Synthesis of Cellulose Fibers/Zeolite-A Nanocomposite as an Environmental Adsorbent for Organic and Inorganic Selenium Ions; Characterization and Advanced Equilibrium Studies. J. Mol. Liq. 2022, 360, 119573. [Google Scholar] [CrossRef]
- Rando, G.; Sfameni, S.; Galletta, M.; Drommi, D.; Cappello, S.; Plutino, M.R. Functional Nanohybrids and Nanocomposites Development for the Removal of Environmental Pollutants and Bioremediation. Molecules 2022, 27, 4856. [Google Scholar] [CrossRef]
- Ielo, I.; Iacopetta, D.; Saturnino, C.; Longo, P.; Galletta, M.; Drommi, D.; Rosace, G.; Sinicropi, M.S.; Plutino, M.R. Gold Derivatives Development as Prospective Anticancer Drugs for Breast Cancer Treatment. Appl. Sci. 2021, 11, 2089. [Google Scholar] [CrossRef]
- Saturnino, C.; Caruso, A.; Longo, P.; Capasso, A.; Pingitore, A.; Caroleo, M.C.; Cione, E.; Perri, M.; Nicolo, F.; Nardo, V.M.; et al. Crystallographic Study and Biological Evaluation of 1,4-Dimethyl-N-Alkylcarbazoles†. Curr. Top. Med. Chem. 2015, 15, 973–979. [Google Scholar]
- Iacopetta, D.; Catalano, A.; Ceramella, J.; Saturnino, C.; Salvagno, L.; Ielo, I.; Drommi, D.; Scali, E.; Plutino, M.R.; Rosace, G.; et al. The Different Facets of Triclocarban: A Review. Molecules 2021, 26, 2811. [Google Scholar] [CrossRef]
- Artesani, A.; Di Turo, F.; Zucchelli, M.; Traviglia, A. Recent Advances in Protective Coatings for Cultural Heritage–An Overview. Coatings 2020, 10, 217. [Google Scholar] [CrossRef]
- Chen, S.; Li, L.; Zhao, C.; Zheng, J. Surface Hydration: Principles and Applications toward Low-Fouling/Nonfouling Biomaterials. Polymer 2010, 51, 5283–5293. [Google Scholar] [CrossRef]
- Liu, Y.; Wang, X.; Qi, K.; Xin, J.H. Functionalization of Cotton with Carbon Nanotubes. J. Mater. Chem. 2008, 18, 3454. [Google Scholar] [CrossRef]
- Catauro, M.; Vecchio Ciprioti, S. Sol-Gel Synthesis and Characterization of Hybrid Materials for Biomedical Applications BT. In Thermodynamics and Biophysics of Biomedical Nanosystems: Applications and Practical Considerations; Demetzos, C., Pippa, N., Eds.; Springer: Singapore, 2019; pp. 445–475. ISBN 978-981-13-0989-2. [Google Scholar]
- Saturnino, C.; Popolo, A.; Ramunno, A.; Adesso, S.; Pecoraro, M.; Plutino, M.R.; Rizzato, S.; Albinati, A.; Marzocco, S.; Sala, M.; et al. Anti-Inflammatory, Antioxidant and Crystallographic Studies of N-Palmitoyl-Ethanol Amine (PEA) Derivatives. Molecules 2017, 22, 616. [Google Scholar] [CrossRef] [PubMed]
- Wei, H.; Wu, F.; Li, L.; Yang, X.; Xu, C.; Yu, P.; Ma, F.; Mao, L. Natural Leukocyte Membrane-Masked Microelectrodes with an Enhanced Antifouling Ability and Biocompatibility for In Vivo Electrochemical Sensing. Anal. Chem. 2020, 92, 11374–11379. [Google Scholar] [CrossRef]
- Sun, W.; Wu, T.; Wang, L.; Yang, Z.; Zhu, T.; Dong, C.; Liu, G. The Role of Graphene Loading on the Corrosion-Promotion Activity of Graphene/Epoxy Nanocomposite Coatings. Compos. Part B Eng. 2019, 173, 106916. [Google Scholar] [CrossRef]
- Mansfield, E.; Tyner, K.M.; Poling, C.M.; Blacklock, J.L. Determination of Nanoparticle Surface Coatings and Nanoparticle Purity Using Microscale Thermogravimetric Analysis. Anal. Chem. 2014, 86, 1478–1484. [Google Scholar] [CrossRef]
- Zheng, S.; Chen, H.; Tong, X.; Wang, Z.; Crittenden, J.C.; Huang, M. Integration of a Photo-Fenton Reaction and a Membrane Filtration Using CS/PAN@FeOOH/g-C3N4Electrospun Nanofibers: Synthesis, Characterization, Self-Cleaning Performance and Mechanism. Appl. Catal. B Environ. 2021, 281, 119519. [Google Scholar] [CrossRef]
- Ilyas, R.A.; Sapuan, S.M.; Bayraktar, E. Current Progress in Biopolymer-Based Bionanocomposites and Hybrid Materials. Polymers 2022, 14, 3479. [Google Scholar] [CrossRef]
- Lei, Q.; Guo, J.; Noureddine, A.; Wang, A.; Wuttke, S.; Brinker, C.J.; Zhu, W. Sol–Gel-Based Advanced Porous Silica Materials for Biomedical Applications. Adv. Funct. Mater. 2020, 30, 1909539. [Google Scholar] [CrossRef]
- Baino, F.; Fiume, E.; Miola, M.; Verné, E. Bioactive Sol-Gel Glasses: Processing, Properties, and Applications. Int. J. Appl. Ceram. Technol. 2018, 15, 841–860. [Google Scholar] [CrossRef]
- Sfameni, S.; Hadhri, M.; Rando, G.; Drommi, D.; Rosace, G.; Trovato, V.; Plutino, M.R. Inorganic Finishing for Textile Fabrics: Recent Advances in Wear-Resistant, UV Protection and Antimicrobial Treatments. Inorganics 2023, 11, 19. [Google Scholar] [CrossRef]
- Ben Chobba, M.; Weththimuni, M.L.; Messaoud, M.; Urzi, C.; Bouaziz, J.; De Leo, F.; Licchelli, M. Ag-TiO2/PDMS Nanocomposite Protective Coatings: Synthesis, Characterization, and Use as a Self-Cleaning and Antimicrobial Agent. Prog. Org. Coat. 2021, 158, 106342. [Google Scholar] [CrossRef]
- Huang, G.; Huo, L.; Jin, Y.; Yuan, S.; Zhao, R.; Zhao, J.; Li, Z.; Li, Y. Fluorine-Free Superhydrophobic PET Fabric with High Oil Flux for Oil–Water Separation. Prog. Org. Coat. 2022, 163, 106671. [Google Scholar] [CrossRef]
- Liu, C.; Xing, T.; Wei, B.; Chen, G. Synergistic Effects and Mechanism of Modified Silica Sol Flame Retardant Systems on Silk Fabric. Materials 2018, 11, 1842. [Google Scholar] [CrossRef] [PubMed]
- Rao, K.S.; El-Hami, K.; Kodaki, T.; Matsushige, K.; Makino, K. A Novel Method for Synthesis of Silica Nanoparticles. J. Colloid Interface Sci. 2005, 289, 125–131. [Google Scholar] [CrossRef] [PubMed]
- Pierre, A.C. Introduction to Sol-Gel Processing; Springer Nature: Berlin, Germany, 2020; ISBN 3030381447. [Google Scholar]
- Alexandru, M.; Cazacu, M.; Cristea, M.; Nistor, A.; Grigoras, C.; Simionescu, B.C. Poly(Siloxane-Urethane) Crosslinked Structures Obtained by Sol-Gel Technique. J. Polym. Sci. Part A Polym. Chem. 2011, 49, 1708–1718. [Google Scholar] [CrossRef]
- Elanany, M.; Selvam, P.; Yokosuka, T.; Takami, S.; Kubo, M.; Imamura, A.; Miyamoto, A. A Quantum Molecular Dynamics Simulation Study of the Initial Hydrolysis Step in Sol−Gel Process. J. Phys. Chem. B 2003, 107, 1518–1524. [Google Scholar] [CrossRef]
- Esposito, S. “Traditional” Sol-Gel Chemistry as a Powerful Tool for the Preparation of Supported Metal and Metal Oxide Catalysts. Materials 2019, 12, 668. [Google Scholar] [CrossRef]
- Nisticò, R.; Scalarone, D.; Magnacca, G. Sol-Gel Chemistry, Templating and Spin-Coating Deposition: A Combined Approach to Control in a Simple Way the Porosity of Inorganic Thin Films/Coatings. Microporous Mesoporous Mater. 2017, 248, 18–29. [Google Scholar] [CrossRef]
- Brinker, C.J.; Frye, G.C.; Hurd, A.J.; Ashley, C.S. Fundamentals of Sol-Gel Dip Coating. Thin Solid Films 1991, 201, 97–108. [Google Scholar] [CrossRef]
- Firdaus, C.M.; Rizam, M.S.B.S.; Rusop, M.; Hidayah, S.R. Characterization of ZnO and ZnO: TiO2 Thin Films Prepared by Sol-Gel Spray-Spin Coating Technique. Procedia Eng. 2012, 41, 1367–1373. [Google Scholar] [CrossRef]
- Butt, M.A. Thin-Film Coating Methods: A Successful Marriage of High-Quality and Cost-Effectiveness—A Brief Exploration. Coatings 2022, 12, 1115. [Google Scholar] [CrossRef]
- Wu, Q.; Qin, K.-X.; Gan, M.-X.; Xu, J.; Li, Z.-L.; Li, Z.-C. Recyclable Biomass-Derived Polyethylene-Like Materials as Functional Coatings for Commercial Fabrics: Toward Upcycling of Waste Textiles. ACS Sustain. Chem. Eng. 2022, 10, 17187–17197. [Google Scholar] [CrossRef]
- Vincenzo Omelan, M.C.; Lachmann, K.; Meyer, H.; Stieghan, A.-K.; Thomas, M. Bio-Based Thin Film Coatings Using Sustainable Materials. Procedia CIRP 2022, 110, 20–25. [Google Scholar] [CrossRef]
- Wang, J.; Qian, W.; He, Y.; Xiong, Y.; Song, P.; Wang, R.-M. Reutilization of Discarded Biomass for Preparing Functional Polymer Materials. Waste Manag. 2017, 65, 11–21. [Google Scholar] [CrossRef] [PubMed]
- Shamaei, L.; Khorshidi, B.; Islam, M.A.; Sadrzadeh, M. Industrial Waste Lignin as an Antifouling Coating for the Treatment of Oily Wastewater: Creating Wealth from Waste. J. Clean. Prod. 2020, 256, 120304. [Google Scholar] [CrossRef]
- Hincapié, I.; Künniger, T.; Hischier, R.; Cervellati, D.; Nowack, B.; Som, C. Nanoparticles in Facade Coatings: A Survey of Industrial Experts on Functional and Environmental Benefits and Challenges. J. Nanopart. Res. 2015, 17, 287. [Google Scholar] [CrossRef]
- Cunningham, M.F.; Campbell, J.D.; Fu, Z.; Bohling, J.; Leroux, J.G.; Mabee, W.; Robert, T. Future Green Chemistry and Sustainability Needs in Polymeric Coatings. Green Chem. 2019, 21, 4919–4926. [Google Scholar] [CrossRef]
- Wypych, G. Handbook of Material Weathering; Elsevier: Amsterdam, The Netherlands, 2018; ISBN 1927885329. [Google Scholar]
- Riahinezhad, M.; Hallman, M.; Masson, J.-F. Critical Review of Polymeric Building Envelope Materials: Degradation, Durability and Service Life Prediction. Buildings 2021, 11, 299. [Google Scholar] [CrossRef]
- McMullan, R. Environmental Science in Building; Bloomsbury Publishing: London, UK, 2017; ISBN 1137605456. [Google Scholar]
- Nguyen-Tri, P.; Tran, H.N.; Plamondon, C.O.; Tuduri, L.; Vo, D.-V.N.; Nanda, S.; Mishra, A.; Chao, H.-P.; Bajpai, A.K. Recent Progress in the Preparation, Properties and Applications of Superhydrophobic Nano-Based Coatings and Surfaces: A Review. Prog. Org. Coat. 2019, 132, 235–256. [Google Scholar] [CrossRef]
- Riaz, S.; Ashraf, M.; Hussain, T.; Hussain, M.T.; Rehman, A.; Javid, A.; Iqbal, K.; Basit, A.; Aziz, H. Functional Finishing and Coloration of Textiles with Nanomaterials. Color. Technol. 2018, 134, 327–346. [Google Scholar] [CrossRef]
- Rabajczyk, A.; Zielecka, M.; Małozięć, D. Hazards Resulting from the Burning Wood Impregnated with Selected Chemical Compounds. Appl. Sci. 2020, 10, 6093. [Google Scholar] [CrossRef]
- Shammas, N.K.; Wang, L.K. Sulfide Precipitation for Treatment of Metal Wastes. In Handbook of Advanced Industrial and Hazardous Wastes Management; CRC Press: Boca Raton, FL, USA, 2017; pp. 185–238. ISBN 1315117428. [Google Scholar]
- Sfameni, S.; Del Tedesco, A.; Rando, G.; Truant, F.; Visco, A.; Plutino, M.R. Waterborne Eco-Sustainable Sol–Gel Coatings Based on Phytic Acid Intercalated Graphene Oxide for Corrosion Protection of Metallic Surfaces. Int. J. Mol. Sci. 2022, 23, 12021. [Google Scholar] [PubMed]
- Liu, S.; Liu, L.; Guo, H.; Oguzie, E.E.; Li, Y.; Wang, F. Electrochemical Polymerization of Polyaniline-Reduced Graphene Oxide Composite Coating on 5083 Al Alloy: Role of Reduced Graphene Oxide. Electrochem. Commun. 2019, 98, 110–114. [Google Scholar] [CrossRef]
- Jaramillo, A.F.; Montoya, L.F.; Prabhakar, J.M.; Sanhueza, J.P.; Fernández, K.; Rohwerder, M.; Rojas, D.; Montalba, C.; Melendrez, M.F. Formulation of a Multifunctional Coating Based on Polyphenols Extracted from the Pine Radiata Bark and Functionalized Zinc Oxide Nanoparticles: Evaluation of Hydrophobic and Anticorrosive Properties. Prog. Org. Coat. 2019, 135, 191–204. [Google Scholar] [CrossRef]
- Karattu Veedu, K.; Peringattu Kalarikkal, T.; Jayakumar, N.; Gopalan, N.K. Anticorrosive Performance of Mangifera Indica L. Leaf Extract-Based Hybrid Coating on Steel. ACS Omega 2019, 4, 10176–10184. [Google Scholar] [CrossRef] [PubMed]
- Vahabi, H.; Jouyandeh, M.; Parpaite, T.; Saeb, M.R.; Ramakrishna, S. Coffee Wastes as Sustainable Flame Retardants for Polymer Materials. Coatings 2021, 11, 1021. [Google Scholar] [CrossRef]
- Attia, N.F.; Mohamed, A.; Hussein, A.; El-Demerdash, A.-G.M.; Kandil, S.H. Bio-Inspired One-Dimensional Based Textile Fabric Coating for Integrating High Flame Retardancy, Antibacterial, Toxic Gases Suppression, Antiviral and Reinforcement Properties. Polym. Degrad. Stab. 2022, 205, 110152. [Google Scholar] [CrossRef]
- Azadi, N.; Parsimehr, H.; Ershad-Langroudi, A. Cultural Heritage Protection via Hybrid Nanocomposite Coating. Plast. Rubber Compos. 2020, 49, 414–424. [Google Scholar] [CrossRef]
- Eyssautier-Chuine, S.; Calandra, I.; Vaillant-Gaveau, N.; Fronteau, G.; Thomachot-Schneider, C.; Hubert, J.; Pleck, J.; Gommeaux, M. A New Preventive Coating for Building Stones Mixing a Water Repellent and an Eco-Friendly Biocide. Prog. Org. Coat. 2018, 120, 132–142. [Google Scholar] [CrossRef]
- Zucchelli, M.; Mazzon, G.; Bertolacci, L.; Carzino, R.; Zendri, E.; Athanassiou, A. Stone Sustainable Protection and Preservation Using a Zein-Based Hydrophobic Coating. Prog. Org. Coat. 2021, 159, 106434. [Google Scholar] [CrossRef]
- Espanhol-Soares, M.; Costa, L.; Silva, M.R.A.; Soares Silva, F.; Ribeiro, L.M.S.; Gimenes, R. Super-Hydrophobic Coatings on Cotton Fabrics Using Sol–Gel Technique by Spray. J. Sol-Gel Sci. Technol. 2020, 95, 22–33. [Google Scholar] [CrossRef]
- Sfameni, S.; Lawnick, T.; Rando, G.; Visco, A.; Textor, T.; Plutino, M.R. Functional Silane-Based Nanohybrid Materials for the Development of Hydrophobic and Water-Based Stain Resistant Cotton Fabrics Coatings. Nanomaterials 2022, 12, 3404. [Google Scholar] [CrossRef] [PubMed]
- Lacruz, A.; Salvador, M.; Blanco, M.; Vidal, K.; Goitandia, A.M.; Martinková, L.; Kyselka, M.; de Ilarduya, A.M. Biobased Waterborne Polyurethane-Urea/SWCNT Nanocomposites for Hydrophobic and Electrically Conductive Textile Coatings. Polymers 2021, 13, 1624. [Google Scholar] [CrossRef]
- Bramhecha, I.; Sheikh, J. Development of Sustainable Citric Acid-Based Polyol To Synthesize Waterborne Polyurethane for Antibacterial and Breathable Waterproof Coating of Cotton Fabric. Ind. Eng. Chem. Res. 2019, 58, 21252–21261. [Google Scholar] [CrossRef]
- Sfameni, S.; Rando, G.; Galletta, M.; Ielo, I.; Brucale, M.; De Leo, F.; Cardiano, P.; Cappello, S.; Visco, A.; Trovato, V.; et al. Design and Development of Fluorinated and Biocide-Free Sol–Gel Based Hybrid Functional Coatings for Anti-Biofouling/Foul-Release Activity. Gels 2022, 8, 538. [Google Scholar] [CrossRef] [PubMed]
- Sfameni, S.; Rando, G.; Marchetta, A.; Scolaro, C.; Cappello, S.; Urzì, C.; Visco, A.; Plutino, M.R. Development of Eco-Friendly Hydrophobic and Fouling-Release Coatings for Blue-Growth Environmental Applications: Synthesis, Mechanical Characterization and Biological Activity. Gels 2022, 8, 528. [Google Scholar] [CrossRef] [PubMed]
- Li, B.; Ouyang, Y.; Haider, Z.; Zhu, Y.; Qiu, R.; Hu, S.; Niu, H.; Zhang, Y.; Chen, M. One-Step Electrochemical Deposition Leading to Superhydrophobic Matrix for Inhibiting Abiotic and Microbiologically Influenced Corrosion of Cu in Seawater Environment. Colloids Surf. A Physicochem. Eng. Asp. 2021, 616, 126337. [Google Scholar] [CrossRef]
- Deng, Y.; Xia, L.; Song, G.-L.; Zhao, Y.; Zhang, Y.; Xu, Y.; Zheng, D. Development of a Curcumin-Based Antifouling and Anticorrosion Sustainable Polybenzoxazine Resin Composite Coating. Compos. Part B Eng. 2021, 225, 109263. [Google Scholar] [CrossRef]
- Periyasamy, T.; Raorane, C.J.; Haldhar, R.; Asrafali, S.P.; Kim, S.-C. Development of Arbutin Based Sustainable Polybenzoxazine Resin for Antifouling and Anticorrosion of Low Carbon Steel. Prog. Org. Coat. 2022, 170, 106968. [Google Scholar] [CrossRef]
- Liu, Y.; Suo, X.; Wang, Z.; Gong, Y.; Wang, X.; Li, H. Developing Polyimide-Copper Antifouling Coatings with Capsule Structures for Sustainable Release of Copper. Mater. Des. 2017, 130, 285–293. [Google Scholar] [CrossRef]
- Ferreira, O.; Rijo, P.; Gomes, J.F.; Santos, R.; Monteiro, S.; Vilas-Boas, C.; Correia-da-Silva, M.; Almada, S.; Alves, L.G.; Bordado, J.C.; et al. Biofouling Inhibition with Grafted Econea Biocide: Toward a Nonreleasing Eco-Friendly Multiresistant Antifouling Coating. ACS Sustain. Chem. Eng. 2020, 8, 12–17. [Google Scholar] [CrossRef]
- Tonelli, M.; Perini, I.; Ridi, F.; Baglioni, P. Improving the Properties of Antifouling Hybrid Composites: The Use of Halloysites as Nano-Containers in Epoxy Coatings. Colloids Surf. A Physicochem. Eng. Asp. 2021, 623, 126779. [Google Scholar] [CrossRef]
- Marcus, P. Corrosion Mechanisms in Theory and Practice; CRC Press: Boca Raton, FL, USA, 2011; ISBN 1420094629. [Google Scholar]
- Gartner, N.; Kosec, T.; Legat, A. Monitoring the Corrosion of Steel in Concrete Exposed to a Marine Environment. Materials 2020, 13, 407. [Google Scholar] [CrossRef] [PubMed]
- Stansbury, E.E.; Buchanan, R.A. Fundamentals of Electrochemical Corrosion; ASM International: Novelty, OH, USA, 2000; ISBN 1615030670. [Google Scholar]
- Ianelli, R.F.; Saliba-Silva, A.M.; Takara, E.M.; Neto, J.G.; Souza, J.A.B.; Urano de Carvalho, E.F.; Durazzo, M. Nickel Electrodeposition in LEU Metal Foil Annular Targets to Produce Mo-99. Mater. Chem. Phys. 2022, 290, 126620. [Google Scholar] [CrossRef]
- Meng, Y.; Deng, J.; Ge, D.; Wu, J.; Sun, W.; Wang, R. Surface Textures Fabricated by Laser and Ultrasonic Rolling for Improving Tribological Properties of TiAlSiN Coatings. Tribol. Int. 2021, 164, 107248. [Google Scholar] [CrossRef]
- Pehkonen, S.O.; Yuan, S. Tailored Thin Coatings for Corrosion Inhibition Using a Molecular Approach; Academic Press: Cambridge, MA, USA, 2018; ISBN 0128135859. [Google Scholar]
- Ong, G.; Kasi, R.; Subramaniam, R. A Review on Plant Extracts as Natural Additives in Coating Applications. Prog. Org. Coat. 2021, 151, 106091. [Google Scholar] [CrossRef]
- Sfameni, S.; Truant, F.; Visco, A.; Plutino, M.R. Design and Development of Sustainable Nanotechnological Protective Systems in Surface Treatment. Ph.D. Thesis, University of Messina, Messina, Italy, 2022. Available online: https://hdl.handle.net/11570/3243553 (accessed on 11 February 2023).
- Cui, G.; Bi, Z.; Zhang, R.; Liu, J.; Yu, X.; Li, Z. A Comprehensive Review on Graphene-Based Anti-Corrosive Coatings. Chem. Eng. J. 2019, 373, 104–121. [Google Scholar] [CrossRef]
- Teng, S.; Gao, Y.; Cao, F.; Kong, D.; Zheng, X.; Ma, X.; Zhi, L. Zinc-Reduced Graphene Oxide for Enhanced Corrosion Protection of Zinc-Rich Epoxy Coatings. Prog. Org. Coat. 2018, 123, 185–189. [Google Scholar] [CrossRef]
- Bat, E.; Gündüz, G.; Kısakürek, D.; Akhmedov, İ.M. Synthesis and Characterization of Hyperbranched and Air Drying Fatty Acid Based Resins. Prog. Org. Coat. 2006, 55, 330–336. [Google Scholar] [CrossRef]
- Singh, A.P.; Suryanarayana, C.; Baloji Naik, R.; Gunasekaran, G. Development of Hyperbranched Polyester Polyol-Based Waterborne Anticorrosive Coating. J. Coat. Technol. Res. 2016, 13, 41–51. [Google Scholar] [CrossRef]
- Wang, G.; Wen, S.; Qian, S.; Wang, J.; Wang, C.; Chen, Y. Synthesis of Novel Nano Hyperbranched Polymer Resin and Its Corrosion Resistance in Coatings. Prog. Org. Coat. 2020, 140, 105496. [Google Scholar] [CrossRef]
- Payra, D.; Naito, M.; Fujii, Y.; Nagao, Y. Hydrophobized Plant Polyphenols: Self-Assembly and Promising Antibacterial, Adhesive, and Anticorrosion Coatings. Chem. Commun. 2016, 52, 312–315. [Google Scholar] [CrossRef] [PubMed]
- Dargahi, M.; Olsson, A.L.J.; Tufenkji, N.; Gaudreault, R. Green Technology: Tannin-Based Corrosion Inhibitor for Protection of Mild Steel. Corrosion 2015, 71, 1321–1329. [Google Scholar] [CrossRef] [PubMed]
- Khajali, F.; Slominski, B.A. Factors That Affect the Nutritive Value of Canola Meal for Poultry. Poult. Sci. 2012, 91, 2564–2575. [Google Scholar] [CrossRef]
- Nouailhas, H.; Aouf, C.; Le Guerneve, C.; Caillol, S.; Boutevin, B.; Fulcrand, H. Synthesis and Properties of Biobased Epoxy Resins. Part 1. Glycidylation of Flavonoids by Epichlorohydrin. J. Polym. Sci. Part A Polym. Chem. 2011, 49, 2261–2270. [Google Scholar] [CrossRef]
- Bloot, A.P.M.; Kalschne, D.L.; Amaral, J.A.S.; Baraldi, I.J.; Canan, C. A Review of Phytic Acid Sources, Obtention, and Applications. Food Rev. Int. 2021, 1–20. [Google Scholar] [CrossRef]
- Nita, L.E.; Chiriac, A.P.; Ghilan, A.; Rusu, A.G.; Tudorachi, N.; Timpu, D. Alginate Enriched with Phytic Acid for Hydrogels Preparation. Int. J. Biol. Macromol. 2021, 181, 561–571. [Google Scholar] [CrossRef] [PubMed]
- Chen, G.; Yuan, B.; Wang, Y.; Chen, X.; Huang, C.; Shang, S.; Tao, H.; Liu, J.; Sun, W.; Yang, P.; et al. Nacre-Biomimetic Graphene Oxide Paper Intercalated by Phytic Acid and Its Ultrafast Fire-Alarm Application. J. Colloid Interface Sci. 2020, 578, 412–421. [Google Scholar] [CrossRef]
- Handa, V.; Sharma, D.; Kaur, A.; Arya, S.K. Biotechnological Applications of Microbial Phytase and Phytic Acid in Food and Feed Industries. Biocatal. Agric. Biotechnol. 2020, 25, 101600. [Google Scholar] [CrossRef]
- Florea, R.M.; Carcea, I. Sustainable Anti-Corrosive Protection Technologies for Metal Products by Electrodeposition of HEA Layers. IOP Conf. Ser. Mater. Sci. Eng. 2019, 591, 12014. [Google Scholar] [CrossRef]
- Verma, C.; Ebenso, E.E.; Quraishi, M.A. Corrosion Inhibitors for Ferrous and Non-Ferrous Metals and Alloys in Ionic Sodium Chloride Solutions: A Review. J. Mol. Liq. 2017, 248, 927–942. [Google Scholar] [CrossRef]
- Visakh, P.M.; Yoshihiko, A. Flame Retardants: Polymer Blends, Composites and Nanocomposites; Springer: Berlin/Heidelberg, Germany, 2015; ISBN 3319034677. [Google Scholar]
- He, W.; Song, P.; Yu, B.; Fang, Z.; Wang, H. Flame Retardant Polymeric Nanocomposites through the Combination of Nanomaterials and Conventional Flame Retardants. Prog. Mater. Sci. 2020, 114, 100687. [Google Scholar] [CrossRef]
- Ielo, I.; Giacobello, F.; Sfameni, S.; Rando, G.; Galletta, M.; Trovato, V.; Rosace, G.; Plutino, M.R. Nanostructured Surface Finishing and Coatings: Functional Properties and Applications. Materials 2021, 14, 2733. [Google Scholar] [CrossRef] [PubMed]
- Vahabi, H.; Laoutid, F.; Mehrpouya, M.; Saeb, M.R.; Dubois, P. Flame Retardant Polymer Materials: An Update and the Future for 3D Printing Developments. Mater. Sci. Eng. R Rep. 2021, 144, 100604. [Google Scholar] [CrossRef]
- Zhao, S.; Chen, X.; Zhou, Y.; Zhao, B.; Hu, Q.; Chen, S.; Pan, K. Molecular Design of Reactive Flame Retardant for Preparing Biobased Flame Retardant Polyamide 56. Polym. Degrad. Stab. 2023, 207, 110212. [Google Scholar] [CrossRef]
- Alongi, J.; Ciobanu, M.; Malucelli, G. Sol–Gel Treatments for Enhancing Flame Retardancy and Thermal Stability of Cotton Fabrics: Optimisation of the Process and Evaluation of the Durability. Cellulose 2011, 18, 167–177. [Google Scholar] [CrossRef]
- Castellano, A.; Colleoni, C.; Iacono, G.; Mezzi, A.; Plutino, M.R.; Malucelli, G.; Rosace, G. Synthesis and Characterization of a Phosphorous/Nitrogen Based Sol-Gel Coating as a Novel Halogen- and Formaldehyde-Free Flame Retardant Finishing for Cotton Fabric. Polym. Degrad. Stab. 2019, 162, 148–159. [Google Scholar] [CrossRef]
- Vahabi, H.; Shabanian, M.; Aryanasab, F.; Mangin, R.; Laoutid, F.; Saeb, M.R. Inclusion of Modified Lignocellulose and Nano-Hydroxyapatite in Development of New Bio-Based Adjuvant Flame Retardant for Poly(Lactic Acid). Thermochim. Acta 2018, 666, 51–59. [Google Scholar] [CrossRef]
- Passauer, L. Thermal Characterization of Ammonium Starch Phosphate Carbamates for Potential Applications as Bio-Based Flame-Retardants. Carbohydr. Polym. 2019, 211, 69–74. [Google Scholar] [CrossRef]
- Alongi, J.; Carletto, R.A.; Bosco, F.; Carosio, F.; Di Blasio, A.; Cuttica, F.; Antonucci, V.; Giordano, M.; Malucelli, G. Caseins and Hydrophobins as Novel Green Flame Retardants for Cotton Fabrics. Polym. Degrad. Stab. 2014, 99, 111–117. [Google Scholar] [CrossRef]
- Basak, S.; Ali, S.W. Sustainable Fire Retardancy of Textiles Using Bio-Macromolecules. Polym. Degrad. Stab. 2016, 133, 47–64. [Google Scholar] [CrossRef]
- Danyliuk, N.; Tomaszewska, J.; Tatarchuk, T. Halloysite Nanotubes and Halloysite-Based Composites for Environmental and Biomedical Applications. J. Mol. Liq. 2020, 309, 113077. [Google Scholar] [CrossRef]
- Otitoju, T.A.; Ahmad, A.L.; Ooi, B.S. Recent Advances in Hydrophilic Modification and Performance of Polyethersulfone (PES) Membrane via Additive Blending. RSC Adv. 2018, 8, 22710–22728. [Google Scholar] [CrossRef] [PubMed]
- He, Y.; Xu, W.; Tang, R.; Zhang, C.; Yang, Q. PH-Responsive Nanovalves Based on Encapsulated Halloysite for the Controlled Release of a Corrosion Inhibitor in Epoxy Coating. RSC Adv. 2015, 5, 90609–90620. [Google Scholar] [CrossRef]
- Goda, E.S.; Yoon, K.R.; El-sayed, S.H.; Hong, S.E. Halloysite Nanotubes as Smart Flame Retardant and Economic Reinforcing Materials: A Review. Thermochim. Acta 2018, 669, 173–184. [Google Scholar] [CrossRef]
- Rando, G.; Sfameni, S.; Plutino, M.R. Development of Functional Hybrid Polymers and Gel Materials for Sustainable Membrane-Based Water Treatment Technology: How to Combine Greener and Cleaner Approaches. Gels 2023, 9, 9. [Google Scholar] [CrossRef] [PubMed]
- Boddula, R.; Ahamed, M.I.; Asiri, A.M. Polymers Coatings: Technology and Applications; John Wiley & Sons: Hoboken, NJ, USA, 2020; ISBN 1119654998. [Google Scholar]
- Cirisano, F.; Ferrari, M. Sustainable Materials for Liquid Repellent Coatings. Coatings 2021, 11, 1508. [Google Scholar] [CrossRef]
- PV, V.M.; Kudapa, V.K. Recent Developments in Usage of Fluorine-Free Nano Structured Materials in Oil-Water Separation: A Review. Surf. Interfaces 2021, 27, 101455. [Google Scholar] [CrossRef]
- Yang, Z.; Liu, X.; Tian, Y. Fabrication of Super-Hydrophobic Nickel Film on Copper Substrate with Improved Corrosion Inhibition by Electrodeposition Process. Colloids Surf. A Physicochem. Eng. Asp. 2019, 560, 205–212. [Google Scholar] [CrossRef]
- Deeksha, P.; Deepika, G.; Nishanthini, J.; Hikku, G.S.; Jeyasubramanian, K.; Murugesan, R. Super-Hydrophobicity: Mechanism, Fabrication and Its Application in Medical Implants to Prevent Biomaterial Associated Infections. J. Ind. Eng. Chem. 2020, 92, 1–17. [Google Scholar] [CrossRef]
- Sznajder-Katarzyńska, K.; Surma, M.; Cieślik, I. A Review of Perfluoroalkyl Acids (PFAAs) in Terms of Sources, Applications, Human Exposure, Dietary Intake, Toxicity, Legal Regulation, and Methods of Determination. J. Chem. 2019, 2019, 2717528. [Google Scholar] [CrossRef]
- Prontera, C.T.; Sico, G.; Montanino, M.; De Girolamo Del Mauro, A.; Tassini, P.; Maglione, M.G.; Minarini, C.; Manini, P. Sustainable, Fluorine-Free, Low Cost and Easily Processable Materials for Hydrophobic Coatings on Flexible Plastic Substrates. Materials 2019, 12, 2234. [Google Scholar] [CrossRef] [PubMed]
- Giacobello, F.; Ielo, I.; Belhamdi, H.; Plutino, M.R. Geopolymers and Functionalization Strategies for the Development of Sustainable Materials in Construction Industry and Cultural Heritage Applications: A Review. Materials 2022, 15, 1725. [Google Scholar] [CrossRef] [PubMed]
- Camuffo, D. Microclimate for Cultural Heritage: Measurement, Risk Assessment, Conservation, Restoration, and Maintenance of Indoor and Outdoor Monuments; Elsevier: Amsterdam, The Netherlands, 2019; ISBN 0444641076. [Google Scholar]
- Trovato, V.; Rosace, G.; Colleoni, C.; Sfameni, S.; Migani, V.; Plutino, M.R. Sol-Gel Based Coatings for the Protection of Cultural Heritage Textiles. IOP Conf. Ser. Mater. Sci. Eng. 2020, 777, 12007. [Google Scholar] [CrossRef]
- Fistos, T.; Fierascu, I.; Doni, M.; Chican, I.E.; Fierascu, R.C. A Short Overview of Recent Developments in the Application of Polymeric Materials for the Conservation of Stone Cultural Heritage Elements. Materials 2022, 15, 6294. [Google Scholar] [CrossRef]
- Wang, W.; Meng, Q.; Li, Q.; Liu, J.; Zhou, M.; Jin, Z.; Zhao, K. Chitosan Derivatives and Their Application in Biomedicine. Int. J. Mol. Sci. 2020, 21, 487. [Google Scholar] [CrossRef] [PubMed]
- Shahid-Ul-Islam; Shahid, M.; Mohammad, F. Green Chemistry Approaches to Develop Antimicrobial Textiles Based on Sustainable Biopolymers—A Review. Ind. Eng. Chem. Res. 2013, 52, 5245–5260. [Google Scholar] [CrossRef]
- Galiano, F.; Briceño, K.; Marino, T.; Molino, A.; Christensen, K.V.; Figoli, A. Advances in Biopolymer-Based Membrane Preparation and Applications. J. Memb. Sci. 2018, 564, 562–586. [Google Scholar] [CrossRef]
- Hu, J. Active Coatings for Smart Textiles; Woodhead Publishing: Sawston, UK, 2016; ISBN 0081002653. [Google Scholar]
- Ramasubramanian, B.; Sundarrajan, S.; Rao, R.P.; Reddy, M.V.; Chellappan, V.; Ramakrishna, S. Novel Low-Carbon Energy Solutions for Powering Emerging Wearables, Smart Textiles, and Medical Devices. Energy Environ. Sci. 2022, 15, 4928–4981. [Google Scholar] [CrossRef]
- Montazer, M.; Harifi, T. Nanofinishing of Textile Materials; Woodhead Publishing: Sawston, UK, 2018; ISBN 0081012500. [Google Scholar]
- AbouElmaaty, T.; Abdeldayem, S.A.; Ramadan, S.M.; Sayed-Ahmed, K.; Plutino, M.R. Coloration and Multi-Functionalization of Polypropylene Fabrics with Selenium Nanoparticles. Polymers 2021, 13, 2483. [Google Scholar] [CrossRef]
- Smith, W.C. Smart Textile Coatings and Laminates; Elsevier: Amsterdam, The Netherlands, 2010; ISBN 1845697782. [Google Scholar]
- Trovato, V.; Mezzi, A.; Brucale, M.; Abdeh, H.; Drommi, D.; Rosace, G.; Plutino, M.R. Sol-Gel Assisted Immobilization of Alizarin Red S on Polyester Fabrics for Developing Stimuli-Responsive Wearable Sensors. Polymers 2022, 14, 2788. [Google Scholar] [CrossRef]
- Jones, F.N.; Nichols, M.E.; Pappas, S.P. Organic Coatings: Science and Technology; John Wiley & Sons: Hoboken, NJ, USA, 2017; ISBN 111902689X. [Google Scholar]
- Müller, B.; Poth, U. Coatings Formulation. In Coatings Formulation; Vincentz Network: Hanover, Germany, 2017; ISBN 3748600267. [Google Scholar]
- Wang, S.; Xu, D.; Liu, Y.; Jiang, Z.; Zhu, P. Preparation and Mechanism of Phosphoramidate-Based Sol-Gel Coating for Flame-.Retardant Viscose Fabric. Polym. Degrad. Stab. 2021, 190, 109620. [Google Scholar] [CrossRef]
- Malucelli, G. Sol-Gel and Layer-by-Layer Coatings for Flame-Retardant Cotton Fabrics: Recent Advances. Coatings 2020, 10, 333. [Google Scholar] [CrossRef]
- Puoci, F.; Saturnino, C.; Trovato, V.; Iacopetta, D.; Piperopoulos, E.; Triolo, C.; Bonomo, M.G.; Drommi, D.; Parisi, O.I.; Milone, C.; et al. Sol-Gel Treatment of Textiles for the Entrapping of an Antioxidant/Anti-Inflammatory Molecule: Functional Coating Morphological Characterization and Drug Release Evaluation. Appl. Sci. 2020, 10, 2287. [Google Scholar] [CrossRef]
- Camlibel, N.O.; Arik, B. Sol–Gel Applications in Textile Finishing Processes. In Recent Applications in Sol-Gel Synthesis; IntechOpen Limited: London, UK, 2017; pp. 253–281. [Google Scholar]
- Abidi, N.; Hequet, E.; Tarimala, S.; Dai, L.L. Cotton Fabric Surface Modification for Improved UV Radiation Protection Using Sol–Gel Process. J. Appl. Polym. Sci. 2007, 104, 111–117. [Google Scholar] [CrossRef]
- Mahltig, B.; Textor, T. Combination of Silica Sol and Dyes on Textiles. J. Sol-Gel Sci. Technol. 2006, 39, 111–118. [Google Scholar] [CrossRef]
- Poli, R.; Colleoni, C.; Calvimontes, A.; Polášková, H.; Dutschk, V.; Rosace, G. Innovative Sol–Gel Route in Neutral Hydroalcoholic Condition to Obtain Antibacterial Cotton Finishing by Zinc Precursor. J. Sol-Gel Sci. Technol. 2015, 74, 151–160. [Google Scholar] [CrossRef]
- Periyasamy, A.P.; Venkataraman, M.; Kremenakova, D.; Militky, J.; Zhou, Y. Progress in Sol-Gel Technology for the Coatings of Fabrics. Materials 2020, 13, 1838. [Google Scholar] [CrossRef] [PubMed]
- Libertino, S.; Plutino, M.R.; Rosace, G. Design and Development of Wearable Sensing Nanomaterials for Smart Textiles. AIP Conf. Proc. 2018, 1990, 020016. [Google Scholar] [CrossRef]
- Kappes, R.S.; Urbainczyk, T.; Artz, U.; Textor, T.; Gutmann, J.S. Flame Retardants Based on Amino Silanes and Phenylphosphonic Acid. Polym. Degrad. Stab. 2016, 129, 168–179. [Google Scholar] [CrossRef]
- Sanchez, C.; Julián, B.; Belleville, P.; Popall, M. Applications of Hybrid Organic–Inorganic Nanocomposites. J. Mater. Chem. 2005, 15, 3559. [Google Scholar] [CrossRef]
- Deng, Y.; Peng, C.; Dai, M.; Lin, D.; Ali, I.; Alhewairini, S.S.; Zheng, X.; Chen, G.; Li, J.; Naz, I. Recent Development of Super-Wettable Materials and Their Applications in Oil-Water Separation. J. Clean. Prod. 2020, 266, 121624. [Google Scholar] [CrossRef]
- Zeng, Q.; Zhou, H.; Huang, J.; Guo, Z. Review on the Recent Development of Durable Superhydrophobic Materials for Practical Applications. Nanoscale 2021, 13, 11734–11764. [Google Scholar] [CrossRef]
- Amiri, S.; Rahimi, A. Hybrid Nanocomposite Coating by Sol–Gel Method: A Review. Iran. Polym. J. 2016, 25, 559–577. [Google Scholar] [CrossRef]
- Zhou, H.; Wang, H.; Niu, H.; Gestos, A.; Lin, T. Robust, Self-Healing Superamphiphobic Fabrics Prepared by Two-Step Coating of Fluoro-Containing Polymer, Fluoroalkyl Silane, and Modified Silica Nanoparticles. Adv. Funct. Mater. 2013, 23, 1664–1670. [Google Scholar] [CrossRef]
- Ferrero, F.; Periolatto, M. Application of Fluorinated Compounds to Cotton Fabrics via Sol–Gel. Appl. Surf. Sci. 2013, 275, 201–207. [Google Scholar] [CrossRef]
- Wang, Z.; Cousins, I.T.; Scheringer, M.; Hungerbühler, K. Fluorinated Alternatives to Long-Chain Perfluoroalkyl Carboxylic Acids (PFCAs), Perfluoroalkane Sulfonic Acids (PFSAs) and Their Potential Precursors. Environ. Int. 2013, 60, 242–248. [Google Scholar] [CrossRef]
- Yu, C.; Shi, K.; Ning, J.; Zheng, Z.; Yu, H.; Yang, Z.; Liu, J. Preparation and Application of Fluorine-Free Finishing Agent with Excellent Water Repellency for Cotton Fabric. Polymers 2021, 13, 2980. [Google Scholar] [CrossRef]
- Lei, H.; Xiong, M.; Xiao, J.; Zheng, L.; Zhu, Y.; Li, X.; Zhuang, Q.; Han, Z. Fluorine-Free Low Surface Energy Organic Coating for Anti-Stain Applications. Prog. Org. Coat. 2017, 103, 182–192. [Google Scholar] [CrossRef]
- Sfameni, S.; Lawnick, T.; Rando, G.; Visco, A.; Textor, T.; Plutino, M.R. Super-Hydrophobicity of Polyester Fabrics Driven by Functional Sustainable Fluorine-Free Silane-Based Coatings. Gels 2023, 9, 109. [Google Scholar] [CrossRef] [PubMed]
- Das, A.; Mahanwar, P. A Brief Discussion on Advances in Polyurethane Applications. Adv. Ind. Eng. Polym. Res. 2020, 3, 93–101. [Google Scholar] [CrossRef]
- Si, P.; Zhao, B. Water-Based Polyurethanes for Sustainable Advanced Manufacture. Can. J. Chem. Eng. 2021, 99, 1851–1869. [Google Scholar] [CrossRef]
- Li, Y.; Ning, C. Latest Research Progress of Marine Microbiological Corrosion and Bio-Fouling, and New Approaches of Marine Anti-Corrosion and Anti-Fouling. Bioact. Mater. 2019, 4, 189–195. [Google Scholar] [CrossRef] [PubMed]
- Zhang, X.; Brodus, D.; Hollimon, V.; Hu, H. A Brief Review of Recent Developments in the Designs That Prevent Bio-Fouling on Silicon and Silicon-Based Materials. Chem. Cent. J. 2017, 11, 18. [Google Scholar] [CrossRef]
- Hakim, M.L.; Nugroho, B.; Nurrohman, M.N.; Suastika, I.K.; Utama, I.K.A.P. Investigation of Fuel Consumption on an Operating Ship Due to Biofouling Growth and Quality of Anti-Fouling Coating. IOP Conf. Ser. Earth Environ. Sci. 2019, 339, 12037. [Google Scholar] [CrossRef]
- Selim, M.S.; Shenashen, M.A.; El-Safty, S.A.; Higazy, S.A.; Selim, M.M.; Isago, H.; Elmarakbi, A. Recent Progress in Marine Foul-Release Polymeric Nanocomposite Coatings. Prog. Mater. Sci. 2017, 87, 1–32. [Google Scholar] [CrossRef]
- Ali, A.; Jamil, M.I.; Jiang, J.; Shoaib, M.; Amin, B.U.; Luo, S.; Zhan, X.; Chen, F.; Zhang, Q. An Overview of Controlled-Biocide-Release Coating Based on Polymer Resin for Marine Antifouling Applications. J. Polym. Res. 2020, 27, 85. [Google Scholar] [CrossRef]
- Simovich, T.; Rosenhahn, A.; Lamb, R.N. Thermoregeneration of Plastrons on Superhydrophobic Coatings for Sustained Antifouling Properties. Adv. Eng. Mater. 2020, 22, 1900806. [Google Scholar] [CrossRef]
- Ielo, I.; Giacobello, F.; Castellano, A.; Sfameni, S.; Rando, G.; Plutino, M.R. Development of Antibacterial and Antifouling Innovative and Eco-Sustainable Sol–Gel Based Materials: From Marine Areas Protection to Healthcare Applications. Gels 2022, 8, 26. [Google Scholar]
- Maan, A.M.C.; Hofman, A.H.; de Vos, W.M.; Kamperman, M. Recent Developments and Practical Feasibility of Polymer-Based Antifouling Coatings. Adv. Funct. Mater. 2020, 30, 3–8. [Google Scholar] [CrossRef]
- Nurioglu, A.G.; Esteves, A.C.C.; De With, G. Non-Toxic, Non-Biocide-Release Antifouling Coatings Based on Molecular Structure Design for Marine Applications. J. Mater. Chem. B 2015, 3, 6547–6570. [Google Scholar] [CrossRef]
- Rosace, G.; Cardiano, P.; Urzì, C.; De Leo, F.; Galletta, M.; Ielo, I.; Plutino, M.R. Potential Roles of Fluorine-Containing Sol-Gel Coatings against Adhesion to Control Microbial Biofilm. IOP Conf. Ser. Mater. Sci. Eng. 2018, 459, 12021. [Google Scholar] [CrossRef]
- Lazzara, G.; Cavallaro, G.; Panchal, A.; Fakhrullin, R.; Stavitskaya, A.; Vinokurov, V.; Lvov, Y. An Assembly of Organic-Inorganic Composites Using Halloysite Clay Nanotubes. Curr. Opin. Colloid Interface Sci. 2018, 35, 42–50. [Google Scholar] [CrossRef]
- Yah, W.O.; Takahara, A.; Lvov, Y.M. Selective Modification of Halloysite Lumen with Octadecylphosphonic Acid: New Inorganic Tubular Micelle. J. Am. Chem. Soc. 2012, 134, 1853–1859. [Google Scholar] [CrossRef]
- Khatoon, N.; Chu, M.Q.; Zhou, C.H. Nanoclay-Based Drug Delivery Systems and Their Therapeutic Potentials. J. Mater. Chem. B 2020, 8, 7335–7351. [Google Scholar] [CrossRef] [PubMed]























| Functional Precursors | Deposition Approach | Coated Surface | Properties | Ref. |
|---|---|---|---|---|
| GPTMS 1, APTES 2, GO 3 and phytic acid | Film coating | AQ-36 aluminum and QD-36 carbon steel | Anticorrosive | [57] |
| Polyaniline and reduced GO | Electrodeposition | 5083 Al alloy | Anticorrosive | [58] |
| ZnO nanoparticles, APTES, Pinus radiata-derived tannin and epoxy resin | Spray coating | ASTM A36 steel plates | Hydrophobic, anticorrosive, self-healing | [59] |
| Mangifera indica L. leaf extract, amorphous silica and epoxy resin | Dip-coating | Carbon steel | Anticorrosive | [60] |
| Phosphite-treated coffee biowaste and epoxy resin | Film-casting | Glass substrate to peel off the final film | Flame retardant | [61] |
| Halloysite and rennet casein | Dip-pad-dry-cure | Cotton, polyester and blend of cotton and polyester | Flame retardant, antibacterial, antiviral | [62] |
| Methyl methacrylate, TMSM 4, TEOS 5, FOTCS 6 and TiO2 | Impregnation | Stone of a historical monument | Thermal, mechanical and weathering resistance, hydrophobicity and self-cleaning | [63] |
| Silane/siloxane emulsion, chitosan and AgNO3 | Spray-coating with airbrush | Building porous limestone | Water repellent and biocide | [64] |
| Zein solution | Spray coating | Sandstone | Water repellent | [65] |
| TEOS and citric acid | Spray coating/dry-curing | 90% cotton and 10% polyester fabrics | Hydrophobicity | [66] |
| GPTMS, Hexadecyltrimethoxysilane, Triethoxy(octyl)silane and Triethoxy(ethyl)silane | Dip-pad-dry-cure | Cotton fabrics | Water repellent, water-based anti-stain | [67] |
| SWCNT 7 and WPUD 8 | Knife-coating | Polyester fabrics | Hydrophobic and conductive | [68] |
| SFP 9, MDI 10 and PCL 11 | Knife on roller coating | Cotton fabrics | Antibacterial and breathable waterproof | [69] |
| GPTMS, APTES, F3 12 and F16 13 | Film coating | Glass plates | Hydrophobic and fouling-release | [70] |
| GPTMS and alkyl(trialkoxy)silanes | Film coating | Glass plates treated with a commercial primer and tie-coat | Hydrophobic and fouling-release | [71] |
| Fe-myristic acid compound | Electrodeposition | Cu metal | Superhydrophobic, bio-corrosion and bio-adhesion inhibition | [72] |
| Curcumin, APTES, paraformaldehyde and PEG 14 | Film coating | Carbon steel | Anticorrosive, inhibitor of microorganisms’ settlement, adhesion and growth | [73] |
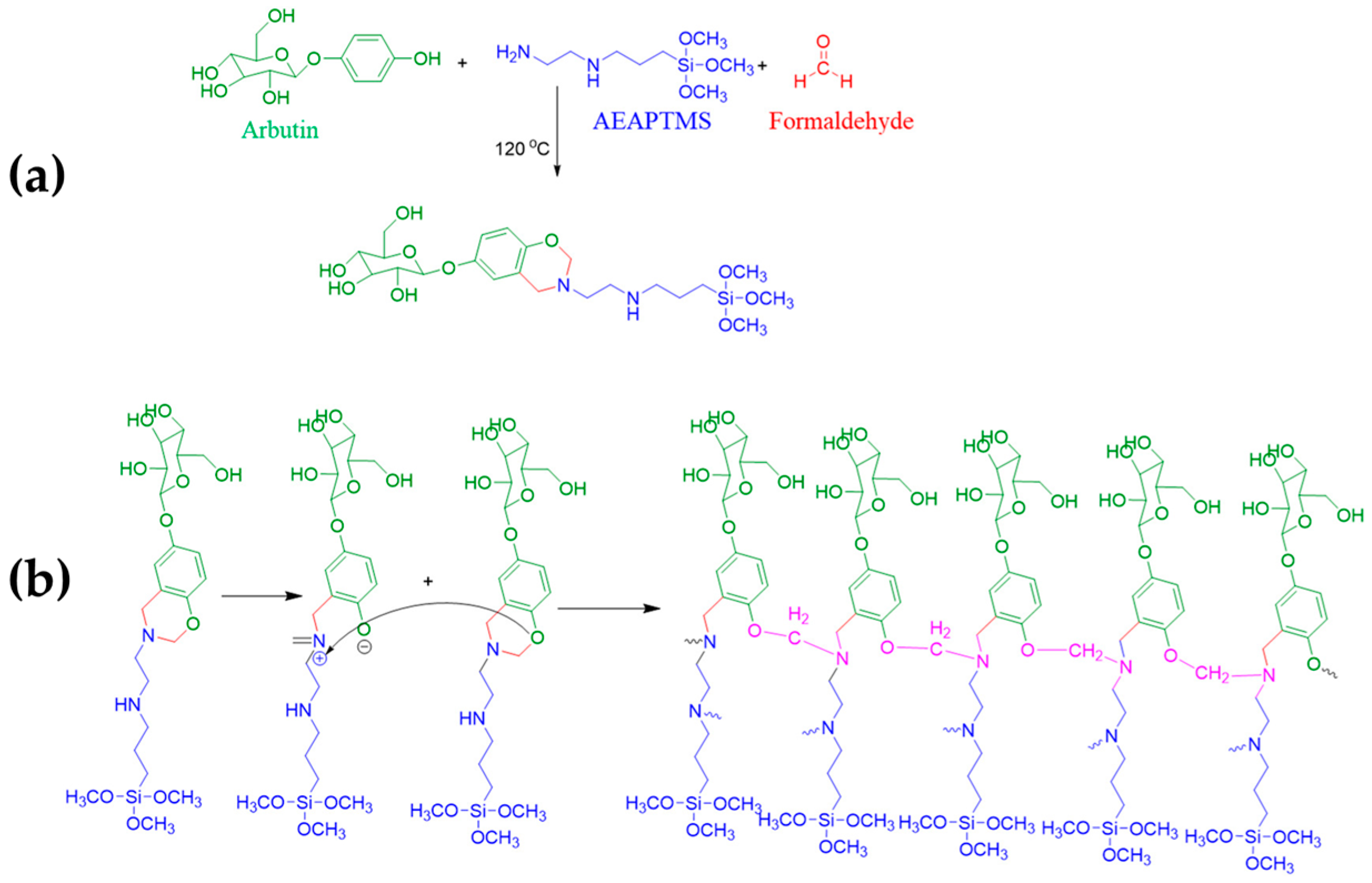
| Arbutin, AEAPTMS 15, paraformaldehyde and PEG | Dip coating | Low carbon steel | Anticorrosive and anti-biofouling adhesion | [74] |
| PMDA 16, ODA 17, Cu nanoparticles | Liquid flame spray | Carbon steel Q235 | Biocide-release antifouling | [75] |
| Econea, diisocyanate and PDMS 18 | Dip-coating | Acrylic prototypes | Antibacterial and bacteriostatic activity | [76] |
| Halloysite, sodium salicylate, N-(2,4,6-trichlorophenyl)maleimide and epoxy paint | Film coating | Plastic sheets | Biocide-release antifouling | [77] |
| Coating Strategy | Advantages | Disadvantages |
|---|---|---|
| Sol–gel |
|
|
| (Blended)polymers and resins |
|
|
| Bio-based systems |
|
|
| Secondary-raw materials |
|
|
| Eco-friendly nanomaterials |
|
|
Disclaimer/Publisher’s Note: The statements, opinions and data contained in all publications are solely those of the individual author(s) and contributor(s) and not of MDPI and/or the editor(s). MDPI and/or the editor(s) disclaim responsibility for any injury to people or property resulting from any ideas, methods, instructions or products referred to in the content. |
© 2023 by the authors. Licensee MDPI, Basel, Switzerland. This article is an open access article distributed under the terms and conditions of the Creative Commons Attribution (CC BY) license (https://creativecommons.org/licenses/by/4.0/).
Share and Cite
Sfameni, S.; Rando, G.; Plutino, M.R. Sustainable Secondary-Raw Materials, Natural Substances and Eco-Friendly Nanomaterial-Based Approaches for Improved Surface Performances: An Overview of What They Are and How They Work. Int. J. Mol. Sci. 2023, 24, 5472. https://doi.org/10.3390/ijms24065472
Sfameni S, Rando G, Plutino MR. Sustainable Secondary-Raw Materials, Natural Substances and Eco-Friendly Nanomaterial-Based Approaches for Improved Surface Performances: An Overview of What They Are and How They Work. International Journal of Molecular Sciences. 2023; 24(6):5472. https://doi.org/10.3390/ijms24065472
Chicago/Turabian StyleSfameni, Silvia, Giulia Rando, and Maria Rosaria Plutino. 2023. "Sustainable Secondary-Raw Materials, Natural Substances and Eco-Friendly Nanomaterial-Based Approaches for Improved Surface Performances: An Overview of What They Are and How They Work" International Journal of Molecular Sciences 24, no. 6: 5472. https://doi.org/10.3390/ijms24065472
APA StyleSfameni, S., Rando, G., & Plutino, M. R. (2023). Sustainable Secondary-Raw Materials, Natural Substances and Eco-Friendly Nanomaterial-Based Approaches for Improved Surface Performances: An Overview of What They Are and How They Work. International Journal of Molecular Sciences, 24(6), 5472. https://doi.org/10.3390/ijms24065472
