Microwave-Assisted Synthesis of 3-Hydroxy-2-oxindoles and Pilot Evaluation of Their Antiglaucomic Activity
Abstract
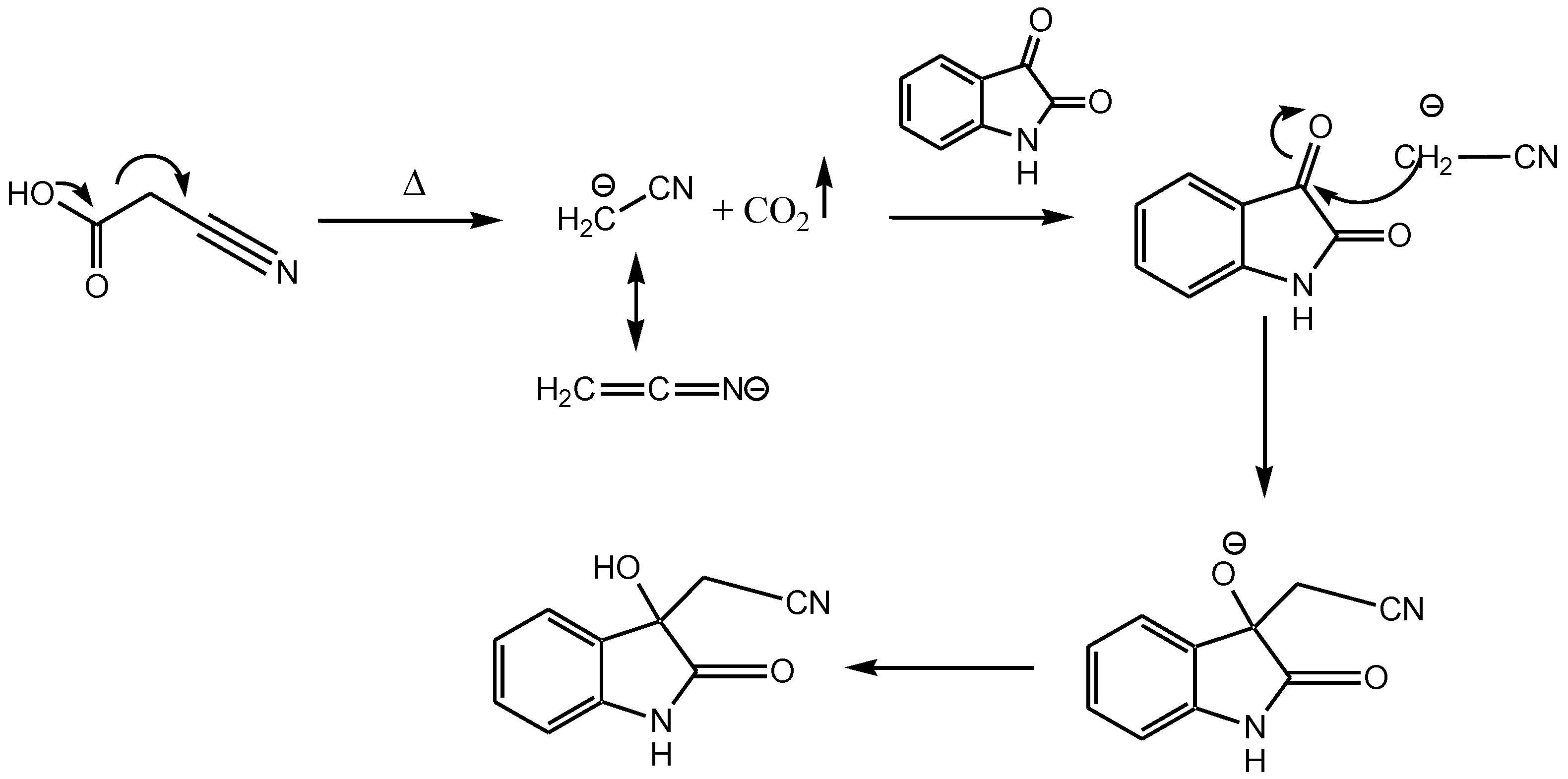
1. Introduction
2. Results and Discussion
3. Materials and Methods
3.1. Chemistry
3.1.1. General Procedure for Synthesis of (3-Hydroxy-2-oxo-2,3-dihydro-1H-indol-3-yl)acetonitriles and (3-Hydroxy-2-oxo-2,3-dihydro-1H-indol-3-yl)acetic Acids
3.1.2. Procedure for Synthesis of (3-Hydroxy-2-oxo-2,3-dihydro-1H-indol-3-yl)malonic Acid (X) [26]
3.2. In Vivo Testing
4. Conclusions
Supplementary Materials
Author Contributions
Funding
Institutional Review Board Statement
Informed Consent Statement
Conflicts of Interest
References
- Bourne, R.R.A.; Steinmetz, J.D.; Saylan, M.; Mersha, A.M.; Weldemariam, A.H.; Wondmeneh, T.G.; Sreeramareddy, C.T.; Pinheiro, M.; Yaseri, M.; Yu, C.; et al. Causes of blindness and vision impairment in 2020 and trends over 30 years, and prevalence of avoidable blindness in relation to VISION 2020: The Right to Sight: An analysis for the Global Burden of Disease Study. Lancet Glob. Health 2021, 9, e144–e160. [Google Scholar]
- Sun, Y.; Chen, A.; Zou, M.; Zhang, Y.; Jin, L.; Li, Y.; Zheng, D.; Jin, G.; Congdon, N. Time trends, associations and prevalence of blindness and vision loss due to glaucoma: An analysis of observational data from the Global Burden of Disease Study. BMJ Open 2022, 12, e053805. [Google Scholar] [CrossRef] [PubMed]
- Allison, K.; Patel, D.; Alabi, O. Epidemiology of Glaucoma: The Past, Present, and Predictions for the Future. Cureus 2020, 12, e11686. [Google Scholar] [CrossRef] [PubMed]
- Wu, X.; Yang, X.; Liang, Q.; Xue, X.; Huang, J.; Wang, J.; Xu, Y.; Tong, R.; Liu, M.; Zhou, Q.; et al. Drugs for the treatment of glaucoma: Targets, structure-activity relationships and clinical research. Eur. J. Med. Chem. 2021, 226, 113842. [Google Scholar] [PubMed]
- Patel, K.D.; Barrios Silva, L.; Park, Y.; Shakouri, T.; Keskin-Erdogan, Z.; Sawadkar, P.; Cho, K.J.; Knowles, J.C.; Chau, D.Y.S.; Kim, H.W. Recent advances in drug delivery systems for glaucoma treatment. Mater. Today Nano 2022, 18, 100178. [Google Scholar]
- Al-Hazmi, A.; Awad, A.; Zwaan, J.; Al-Mesfer, S.A.; Al-Jadaan, I.; Al-Mohammed, A. Correlation between surgical success rate and severity of congenital glaucoma. Br. J. Ophthalmol. 2005, 89, 449–453. [Google Scholar] [CrossRef]
- Doucette, L.P.; Walter, M.A. Prostaglandins in the eye: Function, expression, and roles in glaucoma. Ophthalmic Genet. 2017, 38, 108–116. [Google Scholar] [CrossRef]
- Stoner, A.; Harris, A.; Oddone, F.; Belamkar, A.; Verticchio Vercellin, A.C.; Shin, J.; Januleviciene, I.; Siesky, B. Topical carbonic anhydrase inhibitors and glaucoma in 2021: Where do we stand? Br. J. Ophthalmol. 2022, 106, 1332–1337. [Google Scholar] [CrossRef]
- Brooks, A.M.V.; Gillies, W.E. Ocular β-Blockers in Glaucoma Management: Clinical Pharmacological Aspects. Drugs Aging 1992, 2, 208–221. [Google Scholar] [CrossRef]
- Arthur, S.; Cantor, L.B. Update on the role of alpha-agonists in glaucoma management. Exp. Eye Res. 2011, 93, 271–283. [Google Scholar]
- Zimmerman, T.J.; Wheeler, T.M. Side Effects and Ways to Avoid Them. Ophthalmology 1982, 89, 76–80. [Google Scholar] [CrossRef] [PubMed]
- Al-Humimat, G.; Marashdeh, I.; Daradkeh, D.; Kooner, K. Investigational rho kinase inhibitors for the treatment of glaucoma. J. Exp. Pharmacol. 2021, 13, 197–212. [Google Scholar] [PubMed]
- Robert EMarquis Jess, T. Whitson Management of Glaucoma: Focus on Pharmacological Therapy. Drugs Aging 2005, 22, 1–21. [Google Scholar]
- Novack, G.D. Ophthalmic beta-blockers since timolol. Surv. Ophthalmol. 1987, 31, 307–327. [Google Scholar] [PubMed]
- Oksala, A.; Salminen, L. Tachyphylaxis in timolol therapy for chronic glaucoma. Klin. Monbl. Augenheilkd. 1980, 177, 451–454. [Google Scholar] [CrossRef]
- Law, S.K. Switching within glaucoma medication class. Curr. Opin. Ophthalmol. 2009, 20, 110–115. [Google Scholar] [CrossRef] [PubMed]
- Bucolo, C.; Leggio, G.M.; Drago, F.; Salomone, S. Dopamine outside the brain: The eye, cardiovascular system and endocrine pancreas. Pharmacol. Ther. 2019, 203, 107392. [Google Scholar]
- Leonardi, A.; Bucolo, C.; Drago, F.; Salomone, S.; Pignatello, R. Cationic solid lipid nanoparticles enhance ocular hypotensive effect of melatonin in rabbit. Int. J. Pharm. 2015, 478, 180–186. [Google Scholar] [CrossRef]
- Zaryanova, E.V.; Lozinskaya, N.A.; Beznos, O.V.; Volkova, M.S.; Chesnokova, N.B.; Zefirov, N.S. Oxindole-based intraocular pressure reducing agents. Bioorganic Med. Chem. Lett. 2017, 27, 3787–3793. [Google Scholar] [CrossRef]
- Chesnokova, N.B.; Beznos, O.V.; Lozinskaya, N.A.; Volkova, M.S.; Zaryanova, E.V.; Zefirov, N.A.; Grigoryev, A.V. Novel agonists of melatonin receptors as promising hypotensive and neuroprotective agents for therapy of glaucoma. Biomeditsinskaya Khimiya 2017, 63, 75–80. [Google Scholar] [CrossRef]
- Ardashirova, E.V.; Lozinskaya, N.A.; Sosonyuk, S.E.; Proskurnina, M.V.; Zefirov, N.S. MT3 Receptor Selective Ligands in the Treatment of Glaucoma: Achievements and Prospects. Int. J. Chem. Biomed. Sci. 2015, 1, 109–118. [Google Scholar]
- Volkova, M.S.; Jensen, K.C.; Lozinskaya, N.A.; Sosonyuk, S.E.; Proskurnina, M.V.; Mesecar, A.D.; Zefirov, N.S. Synthesis of novel MT3 receptor ligands via an unusual Knoevenagel condensation. Bioorganic Med. Chem. Lett. 2012, 22, 7578–7581. [Google Scholar] [CrossRef] [PubMed]
- Volkova, M.S.; Efremov, A.M.; Bezsonova, E.N.; Tsymliakov, M.D.; Maksutova, A.I.; Salykina, M.A.; Sosonyuk, S.E.; Shevtsova, E.F.; Lozinskaya, N.A. Synthesis of New 2,3-Dihydroindole Derivatives and Evaluation of Their Melatonin Receptor Binding Affinity. Molecules 2022, 27, 7462. [Google Scholar] [CrossRef]
- Brandão, P.; Burke, A.J. Recent advances in the asymmetric catalytic synthesis of chiral 3-hydroxy and 3-aminooxindoles and derivatives: Medicinally relevant compounds. Tetrahedron 2018, 74, 4927–4957. [Google Scholar] [CrossRef]
- Dwivedi, K.D.; Reddy, M.S.; Kumar, N.S.; Chowhan, L.R. Facile Synthesis of 3-Hydroxy Oxindole by a Decarboxylative Aldol Reaction of β-Ketoacid and Isatin in WERSA. ChemistrySelect 2019, 4, 8602–8605. [Google Scholar] [CrossRef]
- Gao, H.; Luo, Z.; Ge, P.; He, J.; Zhou, F.; Zheng, P.; Jiang, J. Direct Catalytic Asymmetric Synthesis of β-Hydroxy Acids from Malonic Acid. Org. Lett. 2015, 17, 5962–5965. [Google Scholar] [CrossRef]
- Chandran, R.; Tiwari, K.N. Krapcho Dealkoxycarbonylation Strategy of Ethyl Cyanoacetate for the Synthesis of 3-Hydroxy-3-cyanomethyl-2-oxindoles and 3,3′-Dicyanomethyl-2-oxindoles in a Reaction with Isatin. Synthesis 2020, 52, 2233–2240. [Google Scholar]






| R1, R2 | X | Yield, % (Microwave Irradiation) | Yield, % (Thermal Activation) | |
|---|---|---|---|---|
| 2a | 5-NO2 | CN | 77 | 98 |
| 3a | COOH | 86 | 87 | |
| 2b | 7-NO2 | CN | 67 | 76 |
| 3b | COOH | 97 | 93 | |
| 2c | 5-OCH3 | CN | 60 | 70 |
| 3c | COOH | 61 | 50 | |
| 2d | 5-OCH3, 4-NO2 | CN | 43 | 55 |
| 3d | COOH | 71 | 73 | |
| 2e | 5-OCH3, 7-NO2 | CN | 80 | 73 |
| 3e | COOH | 79 | 84 | |
| 2f | 5,7-NO2 | CN | 81 | 77 |
| 3f | COOH | 78 | 71 | |
| 2g | H | CN | 66 | 61 |
| 3g | COOH | 76 | 70 | |
| 2h | 5-Br | CN | 72 | 79 |
| 3h | COOH | 77 | 80 | |
| 2i | 1-Bn, 5-OMe | CN | 60 | - |
| 3i | COOH | 56 | - |
![]() | |||
| Malonic Acid: Isatin | Base | Solvent | Yield, % |
|---|---|---|---|
| 1:1 | Piperidine, 1.5 eq. | Dioxane | 50% 1 |
| 2.2:1 | Piperidine, 1.5 eq. | Dioxane | 76% |
| 2.2:1 | Piperidine, 1 eq. | Dioxane | 52% 1 |
| 2.2:1 | Et3N, 1.5 eq | Dioxane | 86% |
| 3:1 | 1.5 eq Et3N | Dioxane | 86% |
| 2.2:1 | 1.5 eq Et3N | EtOH | 34% |
| 2.2:1 | 1.5 eq Et3N | THF | 36% |
![]() | |||||
| n/n | X | R1 | R2 | R3 | ΔIOP, Torr |
|---|---|---|---|---|---|
| 2a | CN | NO2 | H | H | n/a 1 |
| 2b | CN | H | NO2 | H | n/a |
| 2c | CN | OCH3 | H | H | 3.88 |
| 2d | CN | OCH3 | 4-NO2 | H | n/a |
| 2e | CN | OCH3 | NO2 | H | n/a |
| 2f | CN | NO2 | NO2 | H | 1.13 |
| 2g | CN | H | H | H | n/a |
| 2h | CN | Br | H | H | 5.25 |
| 2i | CN | OCH3 | H | Bn | 5.60 |
| 3a | COOH | NO2 | H | H | n/a |
| 3b | COOH | H | NO2 | H | n/a |
| 3c | COOH | OCH3 | H | H | 4.6 |
| 3d | COOH | OCH3 | 4-NO2 | H | n/a |
| 3e | COOH | OCH3 | NO2 | H | n/a |
| 3f | COOH | NO2 | NO2 | H | n/a |
| 3g | COOH | H | H | H | 2.50 |
| 3h | COOH | Br | H | H | 2.40 |
| 3i | COOH | OCH3 | H | Bn | 3.00 |
| Melatonin | 2.71 | ||||
| Timolol | 3.50 | ||||
Disclaimer/Publisher’s Note: The statements, opinions and data contained in all publications are solely those of the individual author(s) and contributor(s) and not of MDPI and/or the editor(s). MDPI and/or the editor(s) disclaim responsibility for any injury to people or property resulting from any ideas, methods, instructions or products referred to in the content. |
© 2023 by the authors. Licensee MDPI, Basel, Switzerland. This article is an open access article distributed under the terms and conditions of the Creative Commons Attribution (CC BY) license (https://creativecommons.org/licenses/by/4.0/).
Share and Cite
Efremov, A.M.; Beznos, O.V.; Eremeev, R.O.; Chesnokova, N.B.; Milaeva, E.R.; Shevtsova, E.F.; Lozinskaya, N.A. Microwave-Assisted Synthesis of 3-Hydroxy-2-oxindoles and Pilot Evaluation of Their Antiglaucomic Activity. Int. J. Mol. Sci. 2023, 24, 5101. https://doi.org/10.3390/ijms24065101
Efremov AM, Beznos OV, Eremeev RO, Chesnokova NB, Milaeva ER, Shevtsova EF, Lozinskaya NA. Microwave-Assisted Synthesis of 3-Hydroxy-2-oxindoles and Pilot Evaluation of Their Antiglaucomic Activity. International Journal of Molecular Sciences. 2023; 24(6):5101. https://doi.org/10.3390/ijms24065101
Chicago/Turabian StyleEfremov, Alexander M., Olga V. Beznos, Roman O. Eremeev, Natalia B. Chesnokova, Elena R. Milaeva, Elena F. Shevtsova, and Natalia A. Lozinskaya. 2023. "Microwave-Assisted Synthesis of 3-Hydroxy-2-oxindoles and Pilot Evaluation of Their Antiglaucomic Activity" International Journal of Molecular Sciences 24, no. 6: 5101. https://doi.org/10.3390/ijms24065101
APA StyleEfremov, A. M., Beznos, O. V., Eremeev, R. O., Chesnokova, N. B., Milaeva, E. R., Shevtsova, E. F., & Lozinskaya, N. A. (2023). Microwave-Assisted Synthesis of 3-Hydroxy-2-oxindoles and Pilot Evaluation of Their Antiglaucomic Activity. International Journal of Molecular Sciences, 24(6), 5101. https://doi.org/10.3390/ijms24065101



