Effect of In Vitro Gastrointestinal Digestion and Colonic Fermentation on the Stability of Polyphenols in Pistachio (Pistacia Vera L.)
Abstract
1. Introduction
2. Results and Discussion
2.1. Changes in Polyphenolic Contents of Pistachio after Simulated Gastrointestinal Digestion and Bioaccessibility
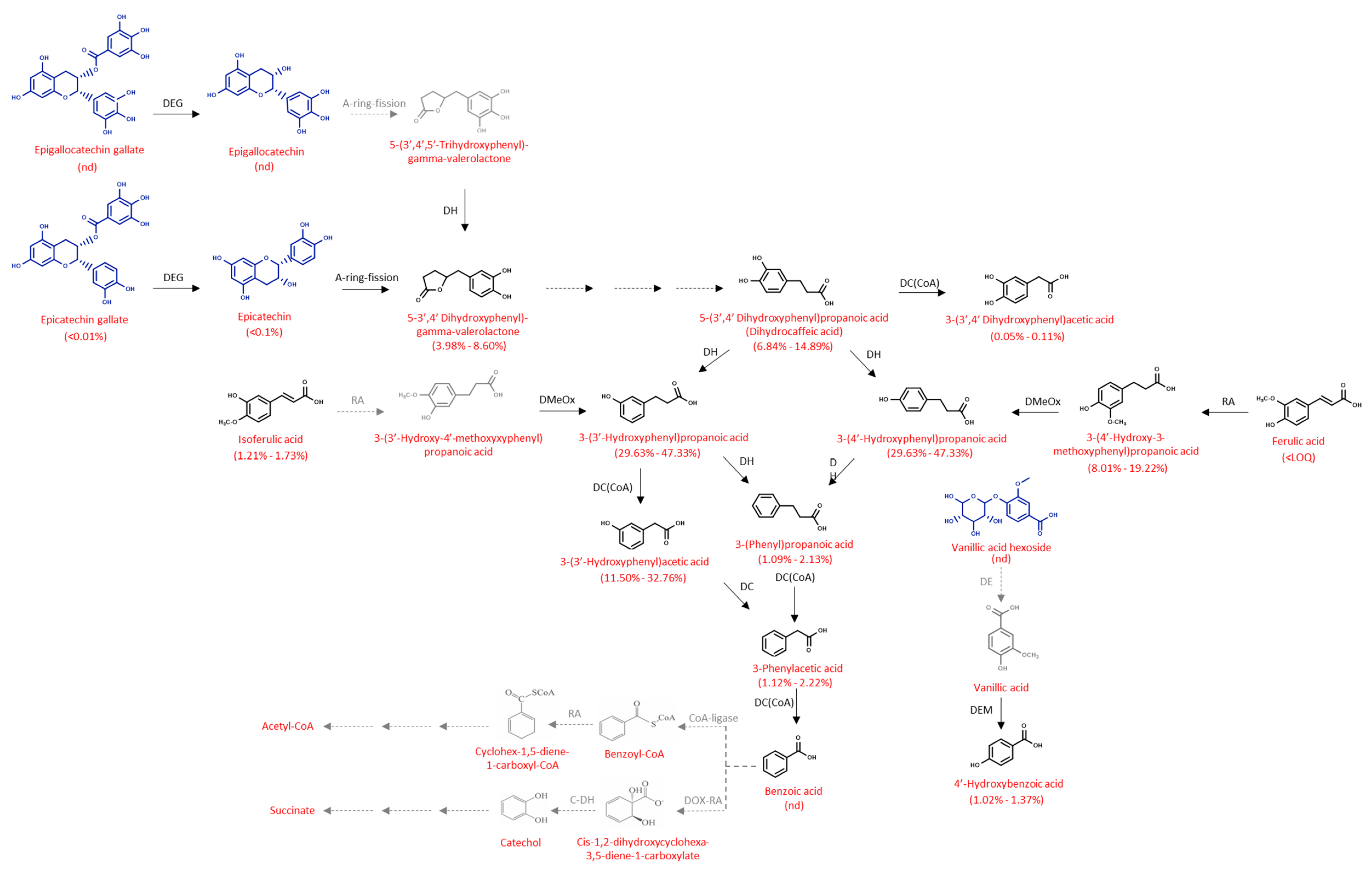
2.2. Evolution of Phenolic Compounds of Pistachios during Colonic Fermentation
3. Materials and Methods
3.1. Chemicals
3.2. Materials and Sample Preparation
3.3. In Vitro Gastrointestinal Digestion
3.4. In Vitro Colonic Fermentation
3.5. Extraction of Polyphenols
3.6. UHPLC-HRMS Analysis
3.7. Statistical Analysis
4. Conclusions
Supplementary Materials
Author Contributions
Funding
Institutional Review Board Statement
Informed Consent Statement
Data Availability Statement
Acknowledgments
Conflicts of Interest
References
- Food and Agriculture Organization of the United Nations (FAO). FAOSTAT 2020. Available online: https://www.fao.org/faostat/es/#data/QV (accessed on 19 May 2022).
- Ministerio de Agricultura, Pesca y Alimentación. Superficies y Producciones Anuales de Cultivos. Available online: https://www.mapa.gob.es/es/estadistica/temas/estadisticas-agrarias/agricultura/superficies-producciones-anuales-cultivos/ (accessed on 19 May 2022).
- Salas-Salvadó, J.; Casas-Agustench, P.; Salas-Huetos, A. Cultural and Historical Aspects of Mediterranean Nuts with Emphasis on Their Attributed Healthy and Nutritional Properties. Nutr. Metab. Cardiovasc. Dis. 2011, 21, S1–S6. [Google Scholar] [CrossRef] [PubMed]
- Yuan, W.; Zheng, B.; Li, T.; Liu, R.H. Quantification of Phytochemicals, Cellular Antioxidant Activities and Antiproliferative Activities of Raw and Roasted American Pistachios (Pistacia vera L.). Nutrients 2022, 14, 3002. [Google Scholar] [CrossRef]
- Terzo, S.; Baldassano, S.; Caldara, G.F.; Ferrantelli, V.; Lo Dico, G.; Mulè, F.; Amato, A. Health Benefits of Pistachios Consumption. Nat. Prod. Res. 2019, 33, 715–726. [Google Scholar] [CrossRef]
- Di Lorenzo, C.; Colombo, F.; Biella, S.; Stockley, C.; Restani, P. Polyphenols and Human Health: The Role of Bioavailability. Nutrients 2021, 13, 273. [Google Scholar] [CrossRef] [PubMed]
- Mandalari, G.; Barreca, D.; Gervasi, T.; Roussell, M.A.; Klein, B.; Feeney, M.J.; Carughi, A. Pistachio Nuts (Pistacia vera L.): Production, Nutrients, Bioactives and Novel Health Effects. Plants 2022, 11, 18. [Google Scholar] [CrossRef]
- Williamson, G.; Kay, C.D.; Crozier, A. The Bioavailability, Transport, and Bioactivity of Dietary Flavonoids: A Review from a Historical Perspective. Compr. Rev. Food Sci. Food Saf. 2018, 17, 1054–1112. [Google Scholar] [CrossRef]
- Mena, P.; Bresciani, L.; Brindani, N.; Ludwig, I.A.; Pereira-Caro, G.; Angelino, D.; Llorach, R.; Calani, L.; Brighenti, F.; Clifford, M.N.; et al. Phenyl-γ-valerolactones and phenylvaleric acids, the main colonic metabolites of flavan-3-ols: Synthesis, analysis, bioavailability, and bioactivity. Nat. Prod. Rep. 2019, 36, 714–752. [Google Scholar] [CrossRef] [PubMed]
- Sorrenti, V.; Fortinguerra, S.; Caudullo, G.; Buriani, A. Deciphering the Role of Polyphenols in Sports Performance: From Nutritional Genomics to the Gut Microbiota toward Phytonutritional Epigenomics. Nutrients 2020, 12, 1265. [Google Scholar] [CrossRef]
- Moreno-Ortega, A.; Pereira-Caro, G.; Ordóñez, J.L.O.; Moreno-Rojas, R.; Ortíz-Somovilla, V. Bioaccessibility of Bioactive Compounds of ‘Fresh Garlic’ and ‘Black Garlic’ through In Vitro Gastrointestinal Digestion. Foods 2020, 9, 1582. [Google Scholar] [CrossRef] [PubMed]
- Ordoñez-Díaz, J.L.; Moreno-Ortega, A.; Roldán-Guerra, F.J.; Ortíz-Somovilla, V.; Moreno-Rojas, J.M.; Pereira-Caro, G. In Vitro Gastrointestinal Digestion and Colonic Catabolism of Mango (Mangifera indica L.) Pulp Polyphenols. Foods 2020, 9, 1836. [Google Scholar] [CrossRef] [PubMed]
- Pereira-Caro, G.; Ordóñez-Díaz, J.L.; de Santiago, E.; Moreno-Ortega, A.; Cáceres-Jiménez, S.; Sánchez-Parra, M.; Roldán-Guerra, F.J.; Ortiz-Somovilla, V.; Moreno-Rojas, J.M. Antioxidant Activity and Bio-Accessibility of Polyphenols in Black Carrot (Daucus carota L. ssp. sativus var. atrorubens Alef.) and Two Derived Products during Simulated Gastrointestinal Digestion and Colonic Fermentation. Foods 2021, 10, 457. [Google Scholar] [CrossRef]
- Behgar, M.; Ghasemi, S.; Naserian, A.; Borzoie, A.; Fatollahi, H. Gamma radiation effects on phenolics, antioxidants activity and in vitro digestion of pistachio (Pistachia vera) hull. Radiat. Phys. Chem. 2011, 80, 963–967. [Google Scholar] [CrossRef]
- Mandalari, G.; Bisignano, C.; Filocamo, A.; Chessa, S.; Sarò, M.; Torre, G.; Faulks, R.M.; Dugo, P. Bioaccessibility of Pistachio Polyphenols, Xanthophylls, and Tocopherols during Simulated Human Digestion. Nutrition 2013, 29, 338–344. [Google Scholar] [CrossRef] [PubMed]
- Liu, Y.; Blumberg, J.B.; Chen, C.Y.O. Quantification and Bioaccessibility of California Pistachio Bioactives. J. Agric. Food Chem. 2014, 62, 1550–1556. [Google Scholar] [CrossRef]
- Dufoo-Hurtado, E.; Olvera-Bautista, R.; Wall-Medrano, A.; Loarca-Piña, G.; Campos-Vega, R. In vitro gastrointestinal digestion and simulated colonic fermentation of pistachio nuts determine the bioaccessibility and biosynthesis of chronobiotics. Food Funct. 2021, 12, 4921–4934. [Google Scholar] [CrossRef]
- Rocchetti, G.; Chiodelli, G.; Giuberti, G.; Lucini, L. Bioaccessibility of phenolic compounds following in vitro large intestine fermentation of nuts for human consumption. Food Chem. 2018, 245, 633–640. [Google Scholar] [CrossRef] [PubMed]
- Herbello-Hermelo, P.; Lamas, J.P.; Lores, M.; Domínguez-González, R.; Bermejo-Barrera, P.; Moreda-Piñeiro, A. Polyphenol bioavailability in nuts and seeds by an in vitro dialyzability approach. Food Chem. 2018, 254, 20–25. [Google Scholar] [CrossRef]
- Mena, P.; Dall’Asta, M.; Calani, L.; Brighenti, F.; Del Rio, D. Gastrointestinal Stability of Urolithins: An in Vitro Approach. Eur. J. Nutr. 2017, 56, 99–106. [Google Scholar] [CrossRef] [PubMed]
- Benzoate Degradation—Reference Pathway. Available online: https://www.genome.jp/pathway/map00362 (accessed on 1 March 2023).
- Yadav, M.; Lomash, A.; Kapoor, S.; Pandey, R.; Chauhan, N.S. Mapping of the benzoate metabolism by human gut microbiome indicates food-derived metagenome evolution. Sci. Rep. 2021, 11, 5561. [Google Scholar] [CrossRef]
- Rocchetti, G.; Bhumireddy, S.R.; Giuberti, G.; Mandal, R.; Lucini, L.; Wishart, D.S. Edible Nuts Deliver Polyphenols and Their Transformation Products to the Large Intestine: An in Vitro Fermentation Model Combining Targeted/Untargeted Metabolomics. Food Res. Int. 2019, 116, 786–794. [Google Scholar] [CrossRef]
- Calani, L.; Dall’Asta, M.; Derlindati, E.; Scazzina, F.; Bruni, R.; Del Rio, D. Colonic Metabolism of Polyphenols From Coffee, Green Tea, and Hazelnut Skins. J. Clin. Gastroenterol. 2012, 46, S95–S99. [Google Scholar] [CrossRef] [PubMed]
- Urpi-Sarda, M.; Garrido, I.; Monagas, M.; Gómez-Cordovés, C.; Medina-Remón, A.; Andres-Lacueva, C.; Bartolomé, B. Correction to Profile of Plasma and Urine Metabolites after the Intake of Almond [Prunus dulcis (Mill.) D.A. Webb] Polyphenols in Humans. J. Agric. Food Chem. 2009, 57, 11581–11582. [Google Scholar] [CrossRef]
- Hudthagosol, C.; Haddad, E.H.; McCarthy, K.; Wang, P.; Oda, K.; Sabaté, J. Pecans Acutely Increase Plasma Postprandial Antioxidant Capacity and Catechins and Decrease LDL Oxidation in Humans. J. Nutr. 2010, 141, 56–62. [Google Scholar] [CrossRef]
- Mocciaro, G.; Bresciani, L.; Tsiountsioura, M.; Martini, D.; Mena, P.; Charron, M.; Brighenti, F.; Bentley, S.; Harvey, M.; Collins, D.; et al. Dietary absorption profile, bioavailability of (poly)phenolic compounds, and acute modulation of vascular/endothelial function by hazelnut skin drink. J. Funct. Foods 2019, 63, 103576. [Google Scholar] [CrossRef]
- De Santiago, E.; Gill, C.I.R.; Carafa, I.; Tuohy, K.M.; De Peña, M.P.; Cid, C. Digestion and Colonic Fermentation of Raw and Cooked Opuntia Ficus-Indica Cladodes Impacts Bioaccessibility and Bioactivity. J. Agric. Food Chem. 2019, 67, 2490–2499. [Google Scholar] [CrossRef]


| Hydroxybenzoic Acids | Galloyl Derivatives | Hydroxycinnamic Acids | Flavones | Flavonols | Flavan-3-ols | Flavanones | Flavanols | Stilbenes | Total | |
|---|---|---|---|---|---|---|---|---|---|---|
| Aegina | ||||||||||
| BOD | 18.2 a | 0.1 a | 0.01 b | 0.08 b | 0.09 a | 3.1 a | 0.2 a | 0.02 c | 0.1 b | 21.9 a |
| AOD | 4.3 b | 0.08 b | 0.03 a | 0.03 c | 0.05 b | 1.6 b | 0.12 b | 0.02 cd | 0.3 a | 6.5 b |
| % | 24 | 69 | 325 | 44 | 54 | 52 | 63 | 87 | 275 | 30 |
| AGD | 1.6 c | 0.03 c | 0.01 b | 0.01 d | 0.03 cd | 0.4 c | 0.12 bc | 0.01 de | 0.08 c | 2.3 c |
| % | 9 | 26 | 82 | 15 | 31 | 14 | 61 | 60 | 75 | 10 |
| AID | 0.9 c | 0.02 cd | 0.00 c | 0.01 d | 0.02 d | 0.1 c | 0.09 bcd | 0.01 e | 0.06 c | 1.2 c |
| % | 5 | 15 | 34 | 11 | 26 | 4 | 47 | 45 | 56 | 6 |
| Golden Hills | ||||||||||
| BOD | 6.4 a | 0.11 a | 0.010 bc | 0.011 a | 0.044 a | 0.57 a | 0.03 a | 0.017 a | 0.04 b | 7.3 a |
| AOD | 1.3 b | 0.10 a | 0.070 a | 0.008 b | 0.028 b | 0.31 b | 0.023 b | 0.016 a | 0.1 a | 2.0 b |
| % | 21 | 90 | 729 | 70 | 63 | 54 | 81 | 93 | 268 | 27 |
| AGD | 0.6 b | 0.02 b | 0.021 b | 0.009 ab | 0.017 c | 0.09 c | 0.020 b | 0.01 b | 0.04 b | 0.8 bc |
| % | 9 | 16 | 219 | 81 | 38 | 16 | 72 | 54 | 103 | 11 |
| AID | 0. b | 0.02 b | 0.007 c | 0.009 ab | 0.013 c | 0.04 c | 0.020 b | 0.005 b | 0.03 b | 0.6 c |
| % | 7 | 20 | 76 | 79 | 30 | 6 | 72 | 33 | 86 | 8 |
| Kastel | ||||||||||
| BOD | 9.6 a | 0.14 a | 0.01 c | 0.05 a | 0.06 a | 1.1 a | 0.03 a | 0.017 a | 0.06 b | 11.1 a |
| AOD | 2.2 b | 0.11 b | 0.10 a | 0.02 b | 0.03 b | 0.6 b | 0.017 b | 0.017 a | 0.14 a | 3.2 b |
| % | 23 | 76 | 990 | 47 | 56 | 52 | 60 | 95 | 237 | 29 |
| AGD | 0.8 bc | 0.03 c | 0.02 b | 0.01 c | 0.01 c | 0.1 c | 0.014 b | 0.007 b | 0.04 c | 1.1 c |
| % | 8 | 18 | 210 | 20 | 23 | 10 | 46 | 43 | 70 | 10 |
| AID | 0.5 c | 0.01 d | 0.01 c | 0.01 c | 0.01 c | 0.04 c | 0.012 b | 0.005 c | 0.04 c | 0.6 c |
| % | 5 | 7 | 76 | 18 | 17 | 4 | 41 | 28 | 64 | 5 |
| Kerman | ||||||||||
| BOD | 5.5 a | 0.2 a | 0.09 b | 0.05 a | 0.07 a | 1.00 a | 0.04 a | 0.03 b | 0.06 b | 7.0 a |
| AOD | 2.4 b | 0.1 a | 0.040 a | 0.02 b | 0.05 b | 0.60 b | 0.03 ab | 0.04 a | 0.18 a | 3.5 b |
| % | 44 | 74 | 552 | 48 | 67 | 55 | 69 | 173 | 287 | 50 |
| AGD | 0.9 c | 0.04 b | 0.01 b | 0.01 b | 0.02 c | 0.16 c | 0.04 a | 0.02 bc | 0.06 b | 1.2 c |
| % | 16 | 24 | 117 | 25 | 32 | 16 | 87 | 81 | 95 | 18 |
| AID | 0.5 c | 0.02 b | 0.002 c | 0.01 b | 0.01 c | 0.04 d | 0.02 b | 0.01 c | 0.04 c | 0.6 d |
| % | 8 | 9 | 29 | 20 | 20 | 4 | 44 | 53 | 58 | 9 |
| Larnaka | ||||||||||
| BOD | 13.9 a | 0.13 a | 0.01 c | 0.12 a | 0.09 a | 3.7 a | 0.15 a | 0.01 c | 0.13 b | 18.2 a |
| AOD | 4.9 b | 0.10 b | 0.06 a | 0.03 b | 0.05 b | 1.8 b | 0.10 b | 0.04 a | 0.30 a | 7.4 b |
| % | 35 | 77 | 516 | 30 | 62 | 49 | 64 | 411 | 227 | 40 |
| AGD | 2.4 c | 0.04 c | 0.03 b | 0.01 b | 0.03 c | 0.5 c | 0.10 b | 0.02 b | 0.10 c | 3.2 c |
| % | 17 | 35 | 234 | 10 | 33 | 13 | 58 | 258 | 68 | 17 |
| AID | 1.3 c | 0.02 c | 0.01 d | 0.01 b | 0.03 c | 0.2 c | 0.10 b | 0.01 c | 0.10 c | 1.7 c |
| % | 9 | 17 | 57 | 7 | 33 | 5 | 66 | 136 | 64 | 9 |
| Sirora | ||||||||||
| BOD | 13.40 a | 0.12 a | 0.01 c | 0.10 a | 0.09 a | 1.6 a | 0.064 a | 0.015 b | 0.07 b | 15.5 a |
| AOD | 2.6 b | 0.10 a | 0.09 a | 0.06 b | 0.07 b | 1.2 b | 0.066 a | 0.030 a | 0.24 a | 4.4 b |
| % | 19 | 87 | 927 | 60 | 79 | 72 | 103 | 194 | 321 | 28 |
| AGD | 1.2 c | 0.03 b | 0.03 b | 0.02 c | 0.03 c | 0.3 c | 0.053 ab | 0.012 bc | 0.05 b | 1.6 c |
| % | 9 | 30 | 265 | 17 | 34 | 16 | 82 | 82 | 73 | 11 |
| AID | 0.8 c | 0.02 b | 0.01 c | 0.02 c | 0.03 c | 0.1 c | 0.050 b | 0.010 c | 0.04 b | 1.0 c |
| % | 6 | 18 | 108 | 15 | 32 | 6 | 77 | 63 | 56 | 7 |
| 3,4,5-Trihydroxybenzoic Acid | Benzene-1,2-diol | 3-Galloyl-quinic Acid | 3,4-Dihydroxy Benzoic Acid | Galloyl Shikimic Acid | 3,4-Dihydroxy-5-((3,4,5-trihydroxybenzoyloxy) Benzoic Acid | Methyl Gallic Acid I | Methyl Gallic Acid II | Vanillic Acid Hexoside | Ellagic Acid | Benzoic Acid I | Benzoic Acid II | Benzoic Acid III | Total | |
|---|---|---|---|---|---|---|---|---|---|---|---|---|---|---|
| Aegina | ||||||||||||||
| BOD | 0.25 ab | 0.084 ab | 0.003 a | 13.19 a | 0.013 a | 0.0390 a | 0.022 a | 0.008 a | 4.05 a | 0.006 b | 0.07 c | 0.42 a | 0.03 a | 18.18 a |
| AOD | 0.28 a | 0.096 a | 0.001 b | 0.17 b | 0.013 a | 0.0040 b | 0.004 b | 0.004 b | 3.19 a | 0.013 a | 0.31 a | 0.18 b | 0.01 b | 4.28 b |
| % | 111 | 115 | 19 | 1 | 99 | 9 | 19 | 55 | 79 | 203 | 470 | 43 | 40 | 24 |
| AGD | 0.29 a | 0.069 b | 0.001 b | 0.17 b | 0.011 a | 0.0010 b | 0.001 b | 0.002 c | 0.72 b | 0.013 a | 0.15 b | 0.14 b | 0.01 b | 1.58 bc |
| % | 116 | 83 | 22 | 1 | 85 | 2 | 5 | 21 | 18 | 212 | 226 | 33 | 49 | 9 |
| AID | 0.22 b | 0.030 c | 0.001 b | 0.08 b | 0.003 b | 0.0010 b | 0.001 b | 0.001 c | 0.34 b | 0.014 a | 0.09 c | 0.11 b | 0.01 b | 0.90 c |
| % | 88 | 36 | 25 | 1 | 20 | 1 | 4 | 14 | 8 | 214 | 148 | 25 | 46 | 5 |
| Golden Hills | ||||||||||||||
| BOD | 0.098 | 0.032 a | 0.005 a | 4.53 a | 0.004 a | 0.0060 a | 0.010 a | 0.005 a | 1.46 a | 0.004 b | 0.04 c | 0.22 a | 0.024 a | 6.43 a |
| AOD | 0.110 | 0.032 a | 0.003 b | 0.07 b | 0.002 b | 0.0004 b | 0.002 b | 0.001 b | 0.89 b | 0.013 a | 0.14 a | 0.06 b | 0.007 c | 1.33 b |
| % | 112 | 101 | 50 | 2 | 44 | 6 | 18 | 28 | 61 | 339 | 390 | 26 | 28 | 21 |
| AGD | 0.126 | 0.025 ab | 0.002 b | 0.05 b | 0.001 c | 0.0002 b | 0.001 b | 0.001 c | 0.19 c | 0.013 a | 0.08 b | 0.05 b | 0.008 b | 0.55 b |
| % | 128 | 80 | 44 | 1 | 30 | 4 | 7 | 15 | 13 | 340 | 227 | 22 | 34 | 9 |
| AID | 0.110 | 0.015 b | 0.001 c | 0.04 b | 0.001 d | nd | 0.001 b | 0.001 c | 0.13 c | 0.013 a | 0.09 b | 0.04 b | 0.008 b | 0.45 b |
| % | 112 | 48 | 11 | 1 | 13 | 5 | 12 | 9 | 347 | 252 | 20 | 32 | 7 | |
| Kastel | ||||||||||||||
| BOD | 0.13 ab | 0.051 a | 0.006 a | 6.12 a | 0.0042 a | 0.0090 a | 0.028 a | 0.007 a | 2.91 a | 0.004 b | 0.05 d | 0.27 a | 0.025 a | 9.62 a |
| AOD | 0.16 a | 0.055 a | 0.004 b | 0.10 b | 0.0021 b | 0.0007 b | 0.002 b | 0.002 b | 1.56 b | 0.013 a | 0.18 a | 0.07 b | 0.007 b | 2.17 b |
| % | 122 | 108 | 69 | 2 | 50 | 8 | 7 | 25 | 54 | 368 | 357 | 27 | 28 | 23 |
| AGD | 0.16 a | 0.038 b | 0.004 b | 0.09 b | 0.0017 c | 0.0003 b | 0.001 b | 0.001 c | 0.36 c | 0.013 a | 0.10 b | 0.04 b | 0.007 b | 0.82 bc |
| % | 116 | 75 | 71 | 2 | 40 | 3 | 2 | 12 | 12 | 368 | 205 | 16 | 29 | 8 |
| AID | 0.10 b | 0.017 c | 0.001 c | 0.03 b | 0.0004 d | 0.0002 b | 0.001 b | 0.001 c | 0.18 c | 0.013 a | 0.07 c | 0.05 b | 0.007 b | 0.47 c |
| % | 75 | 33 | 15 | 1 | 10 | 2 | 2 | 9 | 6 | 362 | 150 | 17 | 26 | 5 |
| Kerman | ||||||||||||||
| BOD | 0.12 bc | 0.019 c | 0.008 a | 2.74 a | 0.0040 a | 0.0104 a | 0.015 a | 0.006 a | 2.38 a | 0.004 b | 0.05 d | 0.16 a | 0.024 a | 5.53 a |
| AOD | 0.16 a | 0.028 a | 0.006 b | 0.05 b | 0.0019 b | 0.0005 b | 0.001 b | 0.001 b | 1.90 b | 0.013 a | 0.21 a | 0.05 b | 0.007 c | 2.43 b |
| % | 139 | 151 | 71 | 2 | 43 | 5 | 10 | 23 | 80 | 321 | 463 | 34 | 31 | 44 |
| AGD | 0.15 ab | 0.024 b | 0.005 b | 0.05 b | 0.0019 b | 0.0004 b | 0.001 b | 0.001 b | 0.43 c | 0.013 a | 0.12 b | 0.05 b | 0.009 b | 0.86 c |
| % | 131 | 127 | 57 | 2 | 43 | 4 | 4 | 14 | 18 | 333 | 262 | 32 | 40 | 16 |
| AID | 0.09 c | 0.015 d | 0.001 c | 0.02 b | 0.0004 c | nd | 0.001 b | 0.001 c | 0.18 c | 0.013 a | 0.09 c | 0.04 b | 0.007 c | 0.45 c |
| % | 75 | 78 | 11 | 1 | 9 | 3 | 12 | 7 | 320 | 199 | 24 | 29 | 8 | |
| Larnaka | ||||||||||||||
| BOD | 0.17 d | 0.055 c | 0.018 a | 7.60 a | 0.017 a | 0.0363 a | 0.035 a | 0.009 a | 5.53 a | 0.004 c | 0.08 d | 0.29 a | 0.025 a | 13.86 a |
| AOD | 0.52 a | 0.094 a | 0.015 a | 0.28 b | 0.019 a | 0.0022 b | 0.004 b | 0.005 b | 3.41 b | 0.018 ab | 0.34 a | 0.14 b | 0.010 c | 4.86 b |
| % | 314 | 17 | 82 | 4 | 110 | 6 | 13 | 50 | 62 | 441 | 454 | 48 | 38 | 35 |
| AGD | 0.46 b | 0.068 b | 0.014 a | 0.25 b | 0.017 a | 0.0005 b | 0.001 b | 0.002 c | 1.12 c | 0.020 a | 0.27 b | 0.11 b | 0.015 b | 2.35 c |
| % | 278 | 124 | 76 | 3 | 99 | 1 | 3 | 21 | 20 | 499 | 357 | 38 | 58 | 17 |
| AID | 0.25 c | 0.036 d | 0.003 b | 0.09 b | 0.004 b | 0.0003 b | 0.001 b | 0.002 c | 0.59 c | 0.015 b | 0.13 c | 0.11 b | 0.015 b | 1.25 c |
| % | 153 | 66 | 16 | 1 | 24 | 1 | 4 | 20 | 11 | 381 | 170 | 38 | 61 | 9 |
| Sirora | ||||||||||||||
| BOD | 0.19 c | 0.072 a | 0.027 a | 10.27 a | 0.011 a | 0.0394 a | 0.076 a | 0.012 a | 2.46 a | 0.005 b | 0.05 c | 0.19 a | 0.024 a | 13.42 a |
| AOD | 0.31 a | 0.079 a | 0.030 a | 0.16 b | 0.011 a | 0.0031 b | 0.006 b | 0.006 b | 1.70 b | 0.014 a | 0.19 a | 0.08 b | 0.008 c | 2.59 b |
| % | 159 | 109 | 110 | 2 | 97 | 8 | 8 | 47 | 69 | 257 | 413 | 42 | 33 | 19 |
| AGD | 0.30 a | 0.057 b | 0.032 a | 0.17 b | 0.010 a | 0.0009 b | 0.002 b | 0.003 c | 0.34 c | 0.015 a | 0.17 a | 0.05 b | 0.011 b | 1.15 c |
| % | 154 | 79 | 117 | 2 | 90 | 2 | 2 | 23 | 14 | 275 | 369 | 25 | 43 | 9 |
| AID | 0.26 b | 0.035 c | 0.007 b | 0.09 b | 0.002 b | 0.0003 b | 0.001 b | 0.001 c | 0.19 c | 0.016 a | 0.08 b | 0.06 b | 0.009 b | 0.76 c |
| % | 135 | 49 | 27 | 1 | 21 | 1 | 1 | 11 | 8 | 289 | 177 | 33 | 39 | 6 |
| Gallocatechin | Catechin | Epicatechin | Epigallo Catechin Gallate | Epi Catechin Gallate | Epiafzelechin3-Gallate | Afzelechin I | Afzelechin II | Afzelechin III | Total | |
|---|---|---|---|---|---|---|---|---|---|---|
| Aegina | ||||||||||
| BOD | 0.326 a | 0.271 a | 0.037 a | 2.41 a | 0.052 a | 0.008 a | 0.004 a | 0.004 a | 0.006 a | 3.12 a |
| AOD | 0.293 ab | 0.096 b | 0.025 a | 1.17 b | 0.027 b | 0.005 b | 0.001 b | 0.001 b | 0.002 c | 1.63 b |
| % | 90 | 36 | 67 | 49 | 51 | 67 | 27 | 27 | 34 | 52 |
| AGD | 0.184 b | 0.036 b | 0.006 b | 0.19 c | 0.006 c | 0.002 c | 0.001 c | 0.001 c | 0.004 b | 0.43 c |
| % | 57 | 13 | 16 | 8 | 12 | 22 | 24 | 24 | 61 | 14 |
| AID | 0.036 c | 0.013 b | 0.005 b | 0.06 c | 0.004 c | 0.002 c | 0.001 c | 0.001 c | 0.003 b | 0.13 c |
| % | 11 | 5 | 13 | 3 | 7 | 20 | 24 | 23 | 49 | 4 |
| Golden Hills | ||||||||||
| BOD | 0.056 a | 0.142 a | 0.075 a | 0.23 a | 0.038 a | 0.010 a | 0.004 a | 0.004 a | 0.006 a | 0.57 a |
| AOD | 0.051 a | 0.053 b | 0.032 b | 0.14 b | 0.022 b | 0.006 b | 0.001 b | 0.001 b | 0.002 c | 0.31 b |
| % | 91 | 38 | 44 | 60 | 57 | 57 | 25 | 26 | 27 | 54 |
| AGD | 0.026 b | 0.017 c | 0.008 c | 0.02 c | 0.005 c | 0.002 c | 0.001 c | 0.001 c | 0.003 b | 0.09 c |
| % | 46 | 12 | 10 | 11 | 13 | 19 | 24 | 24 | 41 | 16 |
| AID | 0.007 b | 0.007 c | 0.004 c | 0.01 c | 0.003 c | 0.002 c | Nd | 0.001 c | 0.002 bc | 0.04 c |
| % | 12 | 5 | 5 | 4 | 8 | 16 | 24 | 37 | 6 | |
| Kastel | ||||||||||
| BOD | 0.084 a | 0.251 a | 0.127 a | 0.56 a | 0.079 a | 0.016 a | 0.004 a | 0.004 a | 0.007 a | 1.13 a |
| AOD | 0.062 b | 0.078 b | 0.056 b | 0.32 b | 0.047 b | 0.009 b | 0.001 b | 0.001 b | 0.002 c | 0.58 b |
| % | 73 | 31 | 44 | 58 | 59 | 59 | 26 | 25 | 27 | 52 |
| AGD | 0.030 c | 0.019 c | 0.007 c | 0.04c | 0.008 c | 0.002 c | 0.001 c | 0.001 c | 0.003 b | 0.11 c |
| % | 36 | 8 | 6 | 7 | 10 | 16 | 24 | 23 | 44 | 10 |
| AID | 0.003 d | 0.005 c | 0.004 c | 0.02 c | 0.006 c | 0.002 c | 0.001 c | 0.001 c | 0.002 c | 0.04 c |
| % | 4 | 2 | 3 | 3 | 7 | 13 | 24 | 23 | 31 | 4 |
| Kerman | ||||||||||
| BOD | 0.120 a | 0.291 a | 0.177 a | 0.36 a | 0.055 a | 0.016 a | 0.004 a | 0.0039 a | 0.005 a | 1.03 a |
| AOD | 0.104 b | 0.080 b | 0.074 b | 0.27 b | 0.029 b | 0.010 b | 0.001 b | 0.0010 b | 0.001 c | 0.57 b |
| % | 87 | 27 | 42 | 75 | 52 | 63 | 25 | 25 | 29 | 55 |
| AGD | 0.052 c | 0.031 c | 0.013 c | 0.05 c | 0.008 c | 0.003 c | 0.001 c | 0.0009 c | 0.002 b | 0.16 c |
| % | 43 | 11 | 7 | 15 | 15 | 20 | 24 | 24 | 42 | 16 |
| AID | 0.006 d | 0.007 c | 0.005 c | 0.01 d | 0.003 c | 0.002 c | 0.001 c | 0.0009 c | 0.001 c | 0.04 d |
| % | 5 | 2 | 3 | 4 | 6 | 13 | 24 | 24 | 31 | 4 |
| Larnaka | ||||||||||
| BOD | 0.398 a | 0.625 a | 0.120 a | 2.44 a | 0.090 a | 0.012 a | 0.004 a | 0.0045 a | 0.008 a | 3.71 a |
| AOD | 0.257 b | 0.151 b | 0.034 b | 1.31 b | 0.042 b | 0.006 b | 0.001 b | 0.0012 b | 0.005 c | 1.81 b |
| % | 65 | 24 | 28 | 54 | 47 | 54 | 29 | 28 | 56 | 49 |
| AGD | 0.181 c | 0.070 c | 0.008 b | 0.20 c | 0.009 c | 0.002 c | 0.001 c | 0.0010 c | 0.006 b | 0.48 c |
| % | 45 | 11 | 7 | 8 | 9 | 17 | 25 | 23 | 74 | 13 |
| AID | 0.040 d | 0.027 d | 0.007 b | 0.09 c | 0.007 c | 0.002 c | 0.001 c | 0.0010 c | 0.006 b | 0.19 c |
| % | 10 | 4 | 6 | 4 | 7 | 18 | 25 | 23 | 74 | 5 |
| Sirora | ||||||||||
| BOD | 0.187 a | 0.275 a | 0.081 a | 0.97 a | 0.062 a | 0.017 a | 0.004 a | 0.004 a | 0.006 a | 1.60 a |
| AOD | 0.175 a | 0.105 b | 0.043 b | 0.77 b | 0.038 b | 0.013 b | 0.001 b | 0.001 b | 0.002 c | 1.15 b |
| % | 93 | 38 | 53 | 80 | 61 | 80 | 27 | 26 | 29 | 72 |
| AGD | 0.107 b | 0.032 bc | 0.006 c | 0.09 c | 0.006 c | 0.003 c | 0.001 c | 0.001 c | 0.002 bc | 0.25 c |
| % | 57 | 12 | 8 | 10 | 10 | 17 | 24 | 24 | 41 | 16 |
| AID | 0.027 c | 0.013 c | 0.005 c | 0.04 c | 0.003 c | 0.002 c | 0.001 c | 0.001 c | 0.003 b | 0.09 c |
| % | 14 | 5 | 6 | 4 | 6 | 14 | 23 | 23 | 50 | 6 |
| 3,4-DiOHPAA | 3,4-DiOHPPA | 4-OHBA | 3-PAA | 4OH3MeOHPPA | 4OH3MeOHCA | 3OH4MeOHCA | 3-PPA | 3-OHPAAC | 4-OHPPA | 3-OHPPA | 3,4DiOHPVL | Total | |
|---|---|---|---|---|---|---|---|---|---|---|---|---|---|
| Aegina | |||||||||||||
| 0 h | nd | nd | nd | nd | nd | nd | nd | nd | nd | nd | nd | nd | nd |
| 4 h | nd | nd | nd | nd | 0.38 d | nd | nd | nd | nd | nd | nd | nd | 0.38 d |
| 8 h | nd | nd | nd | nd | 0.69 b | nd | nd | nd | nd | nd | nd | nd | 0.69 d |
| 24 h | 0.15 ab | 23.10 b | 2.41 | 0.07 a | 0.98 a | <LOQ | 2.97 ab | 3.89 a | 20.19 cd | 32.90 a | 77.33 | 11.36 b | 175.36 ab |
| Golden Hills | |||||||||||||
| 0 h | nd | nd | nd | nd | nd | nd | nd | nd | nd | nd | nd | nd | nd |
| 4 h | nd | nd | nd | nd | 0.37 c | nd | nd | nd | nd | nd | nd | nd | 0.37 d |
| 8 h | nd | nd | nd | nd | 0.43 bc | nd | nd | nd | 0.50 e | nd | nd | nd | 0.93 d |
| 24 h | 0.10 b | 14.57 cd | 1.98 | 0.03 b | 1.24 a | <LOQ | 2.84 ab | 2.57 b | 55.90 ab | 19.29 b | 72.72 | 7.11 e | 178.35 ab |
| Kastel | |||||||||||||
| 0 h | nd | nd | nd | nd | nd | nd | nd | nd | nd | nd | nd | nd | nd |
| 4 h | nd | nd | nd | nd | 0.44 bc | nd | nd | nd | nd | nd | nd | nd | 0.44 d |
| 8 h | nd | nd | nd | nd | 0.58 bc | nd | nd | nd | nd | nd | nd | nd | 0.58 d |
| 24 h | 0.08 b | 12.64 d | 1.88 | 0.03 b | 0.99 ab | <LOQ | 2.77 ab | 2.84 b | 42.53 bc | 18.68 b | 69.65 | 7.67 d | 159.77 b |
| Kerman | |||||||||||||
| 0 h | nd | nd | nd | nd | nd | nd | nd | nd | nd | nd | nd | nd | nd |
| 4 h | nd | nd | nd | nd | 0.48 bc | nd | nd | nd | nd | nd | nd | nd | 0.48 d |
| 8 h | nd | nd | nd | nd | 0.49 bc | nd | nd | 0.22 c | 0.46 e | nd | nd | nd | 1.17 d |
| 24 h | 0.12 b | 18.50 c | 1.95 | 0.02 bc | 1.18 a | <LOQ | 2.68 ab | 2.79 b | 28.85 cd | 15.33 b | 74.66 | 9.08 c | 156.203 b |
| Larnaka | |||||||||||||
| 0 h | nd | nd | nd | nd | nd | nd | nd | nd | nd | nd | nd | nd | nd |
| 4 h | nd | nd | nd | nd | 0.43 bc | nd | nd | nd | nd | nd | nd | nd | 0.43 d |
| 8 h | nd | nd | nd | nd | 0.50 bc | nd | nd | nd | nd | nd | nd | nd | 0.50 d |
| 24 h | 0.23 a | 30.08 a | 2.17 | 0.07 a | 1.05 a | <LOQ | 2.46 b | 2.83 b | 35.25 bc | 34.39 a | 75.36 | 17.37 a | 201.76 ab |
| Sirora | |||||||||||||
| 0 h | nd | nd | nd | nd | nd | nd | nd | nd | nd | nd | nd | nd | nd |
| 4 h | nd | nd | nd | nd | 0.38 c | nd | nd | nd | nd | nd | nd | nd | 0.38 d |
| 8 h | nd | nd | nd | nd | 0.36 c | nd | 3.36 a | 0.38 c | 0.35 e | nd | nd | nd | 4.45 c |
| 24 h | 0.13 b | 14.73 cd | 2.20 | 0.04 b | 1.12 a | <LOQ | 2.86 ab | 2.42 b | 70.53 a | 41.76 a | 70.05 | 9.36 c | 215.20 a |
Disclaimer/Publisher’s Note: The statements, opinions and data contained in all publications are solely those of the individual author(s) and contributor(s) and not of MDPI and/or the editor(s). MDPI and/or the editor(s) disclaim responsibility for any injury to people or property resulting from any ideas, methods, instructions or products referred to in the content. |
© 2023 by the authors. Licensee MDPI, Basel, Switzerland. This article is an open access article distributed under the terms and conditions of the Creative Commons Attribution (CC BY) license (https://creativecommons.org/licenses/by/4.0/).
Share and Cite
Velasco-Ruiz, I.; De Santiago, E.; Ordóñez-Díaz, J.L.; Pereira-Caro, G.; Moreno-Rojas, J.M. Effect of In Vitro Gastrointestinal Digestion and Colonic Fermentation on the Stability of Polyphenols in Pistachio (Pistacia Vera L.). Int. J. Mol. Sci. 2023, 24, 4975. https://doi.org/10.3390/ijms24054975
Velasco-Ruiz I, De Santiago E, Ordóñez-Díaz JL, Pereira-Caro G, Moreno-Rojas JM. Effect of In Vitro Gastrointestinal Digestion and Colonic Fermentation on the Stability of Polyphenols in Pistachio (Pistacia Vera L.). International Journal of Molecular Sciences. 2023; 24(5):4975. https://doi.org/10.3390/ijms24054975
Chicago/Turabian StyleVelasco-Ruiz, Isabel, Elsy De Santiago, José Luis Ordóñez-Díaz, Gema Pereira-Caro, and José Manuel Moreno-Rojas. 2023. "Effect of In Vitro Gastrointestinal Digestion and Colonic Fermentation on the Stability of Polyphenols in Pistachio (Pistacia Vera L.)" International Journal of Molecular Sciences 24, no. 5: 4975. https://doi.org/10.3390/ijms24054975
APA StyleVelasco-Ruiz, I., De Santiago, E., Ordóñez-Díaz, J. L., Pereira-Caro, G., & Moreno-Rojas, J. M. (2023). Effect of In Vitro Gastrointestinal Digestion and Colonic Fermentation on the Stability of Polyphenols in Pistachio (Pistacia Vera L.). International Journal of Molecular Sciences, 24(5), 4975. https://doi.org/10.3390/ijms24054975

